氯苯类化合物(chlorobenzenes,CBs)是指苯环上只有氢、氯原子的一类单环芳香族化合物,共有12种同系物,主要包括:氯苯、二氯苯、三氯苯、四氯苯、五氯苯和六氯苯等[1]。氯苯类化合物已广泛存在于环境中,在污染的土壤、废水、湖水、污泥、饮用水、蔬菜、沉积物、鱼类、甚至在人类的脂肪组织和乳液中,都已有检出[2-7]。随着我国工业的发展,土壤和地下水中氯苯类化合物污染愈发严重[8]。氯苯类化合物能够通过皮肤、呼吸道及消化道进入人体内,被人体吸收后,主要分布和蓄积于神经组织、脂肪组织及肝、肾等中性脂肪内[9-10]。人体长期接触低浓度的氯苯类化合物,机体抵抗力低下,出现神经衰弱综合征,慢性疾病的发病率和死亡率也増加[11-12]。氯苯为氯苯类化合物的一种,广泛应用于染料、农药、医药和有机合成等工业中[13-14],因毒性大,具有生物累积性,已被美国环保局列为优先控制污染物。我国将氯苯、1, 2-二氯苯、1, 4-二氯苯和六氯苯列入水中优先控制污染物黑名单[15]。氯苯密度比水大,属于典型的重质非水相流体DNAPL (Dense Non-Aqueous Phase Liquid, DNAPL),在常温常压下,化学性质稳定,难以被生物降解,容易造成持久性污染[16-18]。
在氯苯的生产、使用、运输和存储过程中,由于操作不当或者管理失误,导致氯苯泄漏或随意排放进而造成土壤污染。氯苯进入土壤后,大部分会在土壤表层挥发而进入大气。但是,仍有一部分氯苯进入到土壤中,并在重力作用下不断向土壤内部迁移,并在毛细水、地下水等作用下发生弥散、对流、吸附等过程[19-21],造成土壤和地下水污染问题。目前,随着我国“退二进三”、“退城进园”战略的全面实施,大量化工企业被关停或者搬迁,大批搬迁后遗留场地污染问题逐渐暴露,急需场地环境调查和修复治理。在场地环境调查过程中,由于土壤质地不均匀、污染物种类多样和场地状况复杂,导致污染物空间分布具有显著变异性,给污染场地风险评估和治理修复带来诸多不确定性[22]。因此,系统地研究污染物在土壤中的分布特征,对场地调查过程中采样点的布设、采样深度的确定、样品的送检具有指导意义,对污染物的空间分布具有更精确和宏观的认识,有助于后期的场地风险评估和修复。
本研究以某化工污染场地为研究对象,分析场地主要污染物氯苯在土壤中的分布特征,探讨污染场地氯苯空间分布特征形成的原因,研究场地水文地质、生产历史等因素对氯苯空间分布的影响,为类似场地环境调查、风险评估及治理修复等工作提供参考和支持。
1 研究对象与分析方法 1.1 场地生产历史该场地为某搬迁遗留化工污染场地,其主要原辅材料之一为氯苯。该场地生产历史较长,生产过程中粗放式管理,存在生产物料渗漏情况。目前该化工企业已搬迁,设备、厂房已全部拆除。
1.2 场地水文地质根据场地地质勘探结果,按照岩性、成因、状态或密实度、颗粒组成、包含物、夹层情况等指标,将该场地分为5个工程地质层,7个工程地质亚层,自上而下分别为回填土层、黏土层、粉质黏土层、粉质黏土层1、粉质黏土夹薄层粉土层、粉土层和粉质黏土层。土壤结构特征和相关参数测定参考GB/T50123-1999《土工试验标准》进行试验确定,如表 1所示。该场地承压含水层为粉质黏土1层、粉质黏土夹薄层粉土层和粉土层,地下水流向为北偏东。
|
|
表 1 土壤结构特征和相关参数 Table 1 Soil structure characteristics and relevant parameters |
土壤采样点位参照《土壤环境监测技术规范》(HJ/T166-2004)等相关技术规范,根据场地实际状况进行布设。原则上采用网格布点法,但是对办公绿化、机修配电、包装组装等非污染重点关注区适当减少布点或不布点。设置每个土壤采样点间距20.0 ~ 30.0 m,部分采样点间距为10.0 m×10.0 m,共布设土壤采样点位86个,具体采样点位见图 1。采样深度地表以下0.0 ~ 18.0 m,每隔1.2 m采集一个土壤样品,共采集土壤样品1 290个。
|
图 1 采样点位分布图 Fig. 1 Distribution of soil sampling points |
样品采集后进行密封,并放于4 ℃专用样品箱中保存,72 h内送实验室分析检测。土壤样品中氯苯的测定参照国家环境保护标准HJ 605-2011《土壤和沉积物挥发性有机物的测定吹扫捕集/气相色谱-质谱法》。
2 结果与讨论 2.1 土壤中氯苯污染数据描述性统计特征本次调查共布设土壤采样点位86个,采集土壤样品1 290个,其中22个采样点位检测到氯苯,检测出含有氯苯的土壤样品数为260个,土壤样品氯苯检出率为20.16%。对不同深度土壤中氯苯数据和检测到氯苯的22个点位数据分别进行统计分析,不同深度和不同点位污染数据统计分析结果分别见表 2和表 3。
|
|
表 2 不同深度土壤氯苯污染数据描述性统计特征 Table 2 Descriptive statistics of chlorobenzene concentrations in different soil depths |
|
|
表 3 不同采样点位土壤氯苯污染数据描述性统计特征 Table 3 Descriptive statistics of chlorobenzene concentrations at different sampling points |
表 2结果显示,从污染浓度范围来看,最低浓度未检出,最高浓度高达11 400 mg/kg,不同深度土壤氯苯浓度中位数为3 ~ 97 mg/kg,均低于100 mg/kg,第三四分位数最高为389 mg/kg,即各深度土壤中,75%土壤样本氯苯浓度小于389 mg/kg。从污染深度来看,9.6、12.0、13.2、14.4、15.6 m深的土壤污染严重,氯苯污染浓度最大值分别为4 170、2 950、1 000、11 400、8 350 mg/kg。
表 3结果显示,检测到氯苯土壤的点位有22个,其中20个点位土壤中氯苯浓度最大值超过100 mg/kg,占90.90%;19个点位中氯苯浓度中位数小于50 mg/kg,占86.36%。结合采样点位分布图可以看出,氯苯浓度高值点主要分布在间甲基二苯醚车间、醚醛车间、污水处理设施和危险品仓库附近,在原料存储、产品生产和废水废物处置过程中,生产设施和工艺管线中存在氯苯渗漏、遗洒、泄露等情况,导致氯苯进入土壤中,经过长时间的迁移扩散进入深层土壤,造成土壤污染。
通过以上分析可知,不同点位和不同深度土壤中氯苯最大值和最小值差异较大,不同点位、不同深度土壤中氯苯均存在少数极大值,样本数据具有较大的偏度和峰度,氯苯空间分布不均匀,重度污染存在于较深土层中。
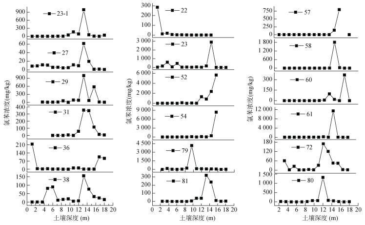
2.2 氯苯在土壤中的垂直分布特征不同采样点位氯苯在土壤中的垂直分布如图 2所示。从图 2可以看出,氯苯在土壤中的垂直分布呈现相似规律,虽然不同点位氯苯污染程度不同,但在土壤中纵向分布均存在明显的富集特征。氯苯浓度高值点多出现于12.0 ~ 15.6 m深的土壤中,根据现场采样记录,12.0 ~ 15.6 m深的土壤为灰色粉质黏土,而浅层回填土和黏土层土壤氯苯浓度较低。这存在两种情况,一种是在生产过程或者企业建设过程中管道泄漏,而管道埋深在黏土层以下,氯苯污染物直接泄露到粉质黏土层,并在粉质黏土层中不断下渗;另外一种情况是污染物泄露至表层土壤,一部分污染物在人类活动和自然因素的影响下,很快会挥发到大气中,还有一部分污染物在重力和淋洗作用下,不断向深层土壤扩散和迁移,越过渗透性差的黏土层,到达更深层的粉质黏土层。因此,浅层填土和黏土中氯苯浓度比较低。这说明在重力和淋洗作用下,氯苯能够在黏土层和粉质黏土层中迁移。该场地土壤中高浓度氯苯主要出现在较深层土壤,与罗泽娇等[23]人的研究结果一致。这与氯苯性质和企业生产年限较长有关。一方面氯苯为重质非水相液体(DNAPL),在重力作用下不断向土壤深处下渗,同时氯苯在水中具有一定的溶解度,在水中的纵向迁移能力较强,能够在地下水的作用下达到深层土壤[24-25];另一方面企业生产历史较长,导致场地受污染年限长,氯苯在土壤中长时间迁移扩散,逐渐达到较深土壤层中。随着时间的推移,在自身重力、地下水等作用下,氯苯将进一步向下迁移,穿透粉质黏土层,直到承压水层顶板,开始不断富集并横向扩散。
|
(23-1、27、29等为采样点位编号) 图 2 不同点位氯苯浓度随土壤深度的变化 Fig. 2 Chlorobenzene concentrations in different depths at different soil points |
点位79氯苯浓度最高值为4 170 mg/kg,出现在9.6 m深的粉质黏土层,较其他点位氯苯浓度高值出现的土壤深度浅;点位36、60浓度高值点出现在16.8 m深的粉质黏土层,较其他点位氯苯浓度高值出现的土壤深度深,这主要与污染物迁移时间有关。生产过程中由于氯苯泄漏的时间不同,导致氯苯在土壤中迁移时间不同,因此氯苯物浓度最高值点出现在不同深度的土壤中。
点位38、29和52在土壤中的纵向分布均存在不同的氯苯浓度高值点,这可能与多次污染物输入、污染物分批次下渗有关[11]。企业在生产过程中,间歇性、分批次地向土壤中转移氯苯污染物,导致同一点位氯苯浓度在纵向剖面上出现多处峰值。
点位22氯苯浓度高值点出现在表层土壤中,说明污染时间较短,该点位离醚醛车间较近,污染可能来自醚醛车间拆除时外来堆积物。
2.3 氯苯在土壤中的水平分布特征通过2.2分析可知,氯苯浓度高值点多集中于12.0 ~ 15.6 m深的粉质黏土层中,因此本节重点分析氯苯在12.0 ~ 15.6 m之间土壤层中的水平分布特征。
图 3分别为12.0、13.2、14.4、15.6 m深的粉质黏土层氯苯水平分布等值线图,结合图 3和点位分布图 1可以看出,氯苯浓度较高的点位主要出现在间甲基二苯醚车间(点位31、38)、醚醛车间(点位23、23-1)、储罐区(点位52)、污水池(点位54)、危险品库(点位73、91、99)或这些区域附近位置(点位29、57、58、61、72、88)。这些区域主要为氯苯存储、使用和含氯废水废料存储、处置区域,在生产过程中氯苯泄露或排放严重,导致该区域深层土壤污染严重,而办公区、设备区、包装区等未涉及氯苯的区域,土壤中氯苯检出浓度很低或未检出氯苯,这说明土壤中氯苯的水平分布特征与企业生产功能区密切相关。
|
(A. 12 m深的土壤;B. 13.2 m深的土壤;C. 14.4 m深的土壤;D. 15.6 m深的土壤) 图 3 氯苯在不同深度土壤层中的水平分布特征 Fig. 3 Horizontal distribution characteristics of chlorobenzene concentrations in soils with different depths |
点位29位于压缩机房,距离醚醛车间较近,点位57、58、72、88分别位于厂房间道路区、循环水泵房等区域,但距离危险品库、储罐区较近,点位61位于污水池附近,虽然这些点位所在区域未涉及氯苯存储、使用和处置,但因距离氯苯存储、使用和处置距离较近而受到污染。这说明氯苯在垂直渗透过程中发生了横向扩散。氯苯主要富集在12 ~ 15.6 m深的粉质黏土层中,相对于黏土层,粉质黏土层渗透性更好,同时,根据场地钻探结果,地下分布的微承压水主要赋存于粉质黏土、粉质黏土夹薄层粉土和粉土层中。因此在粉质黏土中,氯苯受地下水流的影响,在垂直渗透过程中发生了横向扩散,导致氯苯污染范围扩大,氯苯存储、使用和处置附近的区域也受到污染。另一方面,氯苯重污染主要发生在氯苯存储、使用和含氯废水废料存储、处置及其附近区域,而办公区、设备区、包装区等未涉及氯苯的区域未受氯苯污染或污染轻微,这说明氯苯只是发生了局部小范围扩散,并未发生重污染大范围迁移。这是因为粉质黏土层渗透性虽然比黏土层渗透性好,但土壤渗透性仍然相对较弱,横向渗透系数为9.10×10-7 ~ 5.20×10-6,属于弱透水层。因此氯苯在粉质黏土层中横向迁移受到限制,较慢、较少,难以集中大范围迁移。
3 结论1) 氯苯为重质非水相液体,在重力和淋洗作用下能够在黏土层或者粉质黏土层等不透水层或弱透水层中垂直迁移,并在垂直迁移过程中发生横向扩散。
2) 氯苯在土壤中的垂直分布具有明显的富集特征,该场地氯苯主要富集在12.0 ~ 15.6 m深的粉质黏土层中,而浅层回填土和黏土层中氯苯浓度较低,这与氯苯性质和企业生产年限较长有关。
3) 企业在生产过程中,氯苯分批次、间歇性地泄露到土壤中,导致氯苯在土壤中的迁移时间不同,因而导致在不同采样点位土壤中,氯苯浓度峰值出现的深度不同,在同一采样点位土壤中,氯苯出现多个浓度峰值。因此,了解企业生产时间、生产过程中有无泄露、有无倾倒等生产历史情况对场地土壤环境调查至关重要。
4) 该场地氯苯在土壤中的水平分布特征,主要受生产功能分区影响,同时受场地水文地质影响,氯苯产生局部小范围横向扩散。
| [1] |
黄雪琳, 杨丽, 李菊, 等. 氯苯类化合物及其检测方法研究进展[J]. 环境科学与技术, 2015, 38(12Q): 236-239, 391 ( 0) |
| [2] |
安琼, 董元华, 王辉, 等. 苏南农田土壤有机氯农药残留规律[J]. 土壤学报, 2004, 41(3): 414-419 DOI:10.3321/j.issn:0564-3929.2004.03.014 ( 0) |
| [3] |
Du Q P, Jia X S, Huang C N. Chlorobenzenes in waterweeds from the Xijiang River (Guangdong section) of the Pearl River[J]. Journal of Environmental Sciences, 2007, 19(10): 1171-1177 DOI:10.1016/S1001-0742(07)60191-0 ( 0) |
| [4] |
Jiang Y F, Wang X T, Jia Y, et al. Occurrence, distribution and possible sources of organochlorine pesticides in agricultural soil of Shanghai, China[J]. Journal of hazardous materials, 2009, 170(2/3): 989-997 ( 0) |
| [5] |
Wang M J, Jones K C. The chlorobenzene content of contemporary U.K. sewage sludges[J]. Chemosphere, 1994, 28: 1201-1210 DOI:10.1016/0045-6535(94)90337-9 ( 0) |
| [6] |
Wang M J, McGrath S P, Jones K C. The chlorobenzene content of archived sewage sludges[J]. The Science of The Total Environment, 1992, 121: 159-175 DOI:10.1016/0048-9697(92)90313-H ( 0) |
| [7] |
胡枭, 胡永梅, 樊耀波, 等. 土壤中氯苯类化合物的迁移行为[J]. 环境科学, 2000(6): 31-36 ( 0) |
| [8] |
李春平, 吴骏, 罗飞, 等. 某有机化工污染场地土壤与地下水风险评估[J]. 土壤, 2013, 45(5): 933-939 ( 0) |
| [9] |
宋艳辉, 曹先仲, 申松梅, 等. 氯代苯化合物的毒性分析[J]. 环境科学与管理, 2008, 33(9): 52-55 ( 0) |
| [10] |
刘小宁.利用热活化过硫酸盐修复氯苯污染地下水的研究[D].上海: 华东理工大学, 2013
( 0) |
| [11] |
余梅.氯苯类化合物在低渗透粘性介质中的迁移规律研究[D].武汉: 中国地质大学, 2016
( 0) |
| [12] |
徐晓白.有毒有机物环境行为和生态毒理论文集[C].北京: 中国科学技术出版社, 1990
( 0) |
| [13] |
宋洋, 王芳, 杨兴伦, 等. 生物质炭对土壤中氯苯类物质生物有效性的影响及评价方法[J]. 环境科学, 2012, 33(1): 169-174 ( 0) |
| [14] |
Rapp P. Multiphasic kinetics of transformation of 1, 2, 4- trichlorobenzene at nano-and-micromolar concentrations by Burkholderia sp. strain PS14[J]. Applied and Environmental Microbiology, 2001, 67(8): 3496-3500 DOI:10.1128/AEM.67.8.3496-3500.2001 ( 0) |
| [15] |
周文敏, 傅德黔, 孙宗光. 水中优先控制污染物黑名单[J]. 中国环境监测, 1990, 6(4): 1-3 ( 0) |
| [16] |
朱杰, 罗启仕, 郭琳, 等. 碱热活化过硫酸盐氧化水中氯苯的试验[J]. 环境化学, 2013, 32(12): 2256-2262 DOI:10.7524/j.issn.0254-6108.2013.12.005 ( 0) |
| [17] |
甘平, 樊耀波, 王敏健. 氯苯类化合物的生物降解[J]. 环境科学, 2001, 22(3): 93-96 DOI:10.3321/j.issn:0250-3301.2001.03.020 ( 0) |
| [18] |
Yuan S Y, Su C J, Chang B V. Microbial dechlorination of hexachlorobenzene in anaerobic sewage sludge[J]. Chemosphere, 1999, 38(5): 1015-1023 DOI:10.1016/S0045-6535(98)00355-5 ( 0) |
| [19] |
韩春媚, 李慧颖, 杜晓明, 等. 化工污染场地土壤不饱和区典型氯代烃化合物的垂向分布特征[J]. 北京师范大学学报(自然科学版), 2009, 45(5/6): 636-641 ( 0) |
| [20] |
张富仓, 康绍忠. 非水相流体在多孔介质中迁移的研究进展[J]. 土壤学报, 2007, 44(4): 744-751 DOI:10.3321/j.issn:0564-3929.2007.04.024 ( 0) |
| [21] |
刘翠英, 王艳玲, 蒋新. 六氯苯在土壤中的主要迁移转化过程[J]. 土壤, 2014, 46(1): 29-34 ( 0) |
| [22] |
刘庚, 毕如田, 张朝, 等. 某焦化场地苯并(a)芘污染空间分布范围预测的不确定性分析[J]. 环境科学学报, 2013, 33(2): 587-563 ( 0) |
| [23] |
罗泽娇, 李龙媛, 余江. 氯苯(CB)在黏土上的解吸特征[J]. 地球科学-中国地质大学学报, 2015, 40(5): 933-940 DOI:10.3799/dqkx.2015.078 ( 0) |
| [24] |
丛鑫, 朱书全, 薛南冬, 等. 有机氯农药企业搬迁遗留场地土壤中污染物的垂向分布特征[J]. 环境科学研究, 2009, 22(3): 351-355 ( 0) |
| [25] |
史雅娟, 郭非凡, 孟凡乔, 等. 果园土壤有机氯农药残留的时间趋势研究[J]. 环境科学学报, 2005, 25(3): 313-318 DOI:10.3321/j.issn:0253-2468.2005.03.006 ( 0) |
2019, Vol. 51


0)