2. 西北农林科技大学资源环境学院, 陕西杨凌 712100
土壤有机质是土壤的重要组分,它能吸收水分、胶结矿物、螯合金属、供应热量,其含量高低直接影响着土壤的基础肥力[1]。土壤有机质的时空分布并不稳定,存在一定的变异性[2]。近年来,随着地统计学和地理信息系统的发展,有关土壤有机质含量空间变异性的研究在中小尺度已有所突破[3-4],而有关时间变异性的研究大多还集中于点上的数据[5]。研究土壤有机质的时空变异性及其影响因素,不仅是揭示碳素时空格局与生态过程的关系[6],也为科学取样[7]和土壤改良[8]提供了依据。研究表明近40 a我国大部分地区耕地土壤有机质含量呈上升趋势,这与人类活动密不可分[9-12]。泥河沟流域作为“黄土高原综合治理试验示范区”,国家自1980年在此进行了10多年的重点治理,为评价流域治理的环境效益,多次调查研究了流域土壤养分状况。本文将近40 a的调查研究进行了整理汇总,深入分析了流域在综合治理和社会化自由管理条件下土壤有机质含量的变异情况,并探讨了引起变异的相关因素,使土壤有机质含量的时间变异性研究在期限和尺度上得到了突破,也为今后耕地的科学利用管理提供了依据。
1 材料与方法 1.1 研究区概况从地貌类型来看,研究区属于典型的黄土高原残塬沟壑区,水土流失严重,土壤肥力贫乏,生产水平较低。针对此种情况,1985年开始国家在此流域实施了塬-坡-面水土保持工程,塬面修建梯田,沟边修建沟边埂,坡面修筑水平沟和反坡梯田。从气候条件来看,研究区属于暖温带大陆性季风气候,水热同季,气象灾害频繁,小麦孕穗期遇干旱将对粮食产量造成巨大影响。针对此种情况,1988年开始国家在此地引进苹果进行栽培,2005年开始又推广种植玉米,农业生产结构优化。从农业技术水平来看,农业机械和水利设施配套差,经营管理不善,投资效益不高。针对此种情况,1988年建成水库1座,成为该流域农业灌溉的重要水源,土地翻耕全部达到机械化,化肥、农药、农电的使用量增加很快,使农业生产条件发生了很大的变化。这种变化在渭北黄土高原具有很强的代表性[13-14]。
1.2 样品采集与测试方法自“七五”期间建立泥河沟试验示范区以来,国家在此进行了许多土壤方面的调查研究,留下了大量珍贵的研究资料[15-19]。根据前人的调查布点情况,于2015年7月重新进行了调查和布点,利用土钻在耕地采用“X”或“S”型取样法采取0 ~ 20 cm深度的混合土壤样品共64个。采集的样品于室内风干,风干后测定吸湿水含量,研磨过100目筛,于2015年12月利用重铬酸钾容量法(外加热法)进行了土壤有机质含量的测定。
1.3 数据处理引起变异的因素可分为两个部分,一部分为随机变异,主要由取样和实验误差引起;另一部分是系统变异,是各类因素引起的土壤有机质平衡条件的改变[20-21]。可以利用方差(D)和变异系数(CV)对各类因素引起的变异进行分析[22]。
2 结果与分析 2.1 变异特征分析 2.1.1 土壤有机质含量数据汇总将近40 a来流域耕地表层土壤有机质含量的数据进行汇总(表 1),并对各年份和年份段土壤有机质含量的变异性进行比较,得出土壤有机质含量的变异可以分为3个阶段,1980—1998年呈稳定上升,平均含量为10.46 g/kg,年份段的变异系数为0.97;1998—2004年稍有下降,平均含量为11.76 g/kg,年份段的变异系数为0.30;2004—2015年迅速回升,平均含量为11.76 g/kg,年份段的变异系数为1.55。
|
|
表 1 泥河沟耕地土壤有机质含量的变化 Table 1 Historical data of soil organic matter (SOM) contents |
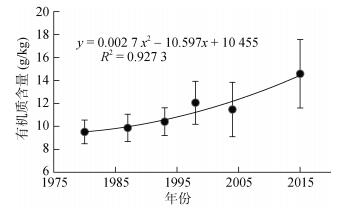
将土壤有机质含量随年份的变化趋势进行了拟合,呈现抛物线变化,拟合函数为y = 0.002 7x2 - 10.597x + 10 455 (图 1)。从图 1可以看出土壤有机质含量总体呈上升趋势,这种趋势并不稳定。1980—1993年流域处在治理初期,治理对土壤有机质含量提升的效果还不太明显;1993—1998年国家完成了流域的治理工作,土壤有机质的提高也是治理取得成效的表现;1998—2004年受到国家的资助,当地开始大面积实施坡改梯工程[23-24],200 hm2的坡耕地一半变成了水平梯田,引起了土壤扰动。2004—2015年“三农”问题越来越受重视,国家各项惠农政策的实施,使耕地投入逐渐加大,土壤有机质含量上升到一个较高的水平。
|
图 1 土壤有机质含量的变化 Fig. 1 Changes of SOM content |
1998—2004年因坡改梯的影响土壤有机质含量有所降低,呈现出的变异性较小,这其中存在正向变异和逆向变异的抵消作用,所以对该年份段的变异情况进行分析,应该将邻近的1993—1998年份段的变异情况纳入其中进行考虑。得出各年份段的相对变异系数1998—2004年 > 1993—1998年 > 2004—2015年 > 1980—1993年,呈现先增高后降低的趋势(图 2)。
|
图 2 各年份段土壤有机质含量的变异 Fig. 2 Temporal variability of SOM content |
取样引起的随机变异可以通过对两年份的数据进行方差分析,分离取样误差对总变异的作用,再根据表 2中该年份段的变异系数算出取样引起的随机变异。于是选取了变异因素较为一致,数据记录较为完整的2004—2015年的数据进行分析(表 2),得出2004—2015年取样引起的随机变异占总变异的百分比很小,仅4.2%,引起的随机变异为0.50%。这里取样误差的影响因素主要为取样的个数和两年份间总体的变异程度,由于前期取样数目多而变异程度小,所以取样所引起的随机变异更小。
|
|
表 2 取样引起的随机变异 Table 2 Random variation caused by sampling |
室内分析实验产生的误差也会引起随机变异。可以通过计算重复性相对标准偏差和再现性相对标准偏差估计由实验误差引起的随机变异。重复性的检验是通过设置3个重复进行实验分析,再现性的检验是通过测量国家标准样品进行分析。这里选取了2015年的实验数据进行分析(表 3),得出重复性变异为0.9%,再现性变异为1.9%,累计为2.8%。实验误差的控制一直是土壤研究中需要注意的部分,控制该部分误差越小,研究结果越可信[25]。
|
|
表 3 实验误差引起的随机变异 Table 3 Random variation caused by experimental error |
修筑梯田主要发生在1998—2004年,1998年流域有200 hm2坡地、100 hm2平地。到2004年,坡地面积缩减为100 hm2,平地面积增至200 hm2。2004—2015年坡地和平地面积的变动很小,可以忽略。因此,可以将修筑梯田引起的地类变化均分为3类,第一类为平耕地,第二类为坡耕地,第三类为变动地。据此对各年份样点数据进行了分配整理(图 3),得出1998—2004年因坡改梯的影响,改动地土壤有机质含量降低很大,而平耕地和坡耕地土壤有机质含量都有提升;2004—2015年因修筑梯田淋洗作用减弱,改动地土壤有机质得到了较好的累积[26-27],与另外两种地类的差异缩小。
|
图 3 修筑梯田引起的土壤有机质含量的变化 Fig. 3 Changes of SOM content caused by building terraces |
修筑梯田引起的土壤有机质含量的变异需要综合考虑不同地类之间的变异性和不同年份之间的变异性。据此对1998—2004年和2004—2015年两年份段的以上3种地类的置信区间数据进行双因素重复性方差分析(表 4),从中分离地类和交互作用对总变异的影响。地类均方越高,说明不同地类之间的变异程度越大,代表了不同地类的一种长期稳定变异效果;交互均方越高,说明不同地类在年份段间的增长程度越不一致,代表了不同地类在年份段内的特殊变异效果。得出1998—2004年修筑梯田引起的系统变异占总变异的百分比很大,为82.9%,相对每年引起的系统变异为1.73%。2004—2015年修筑梯田引起的系统变异占总变异的百分比较小,仅28.4%,相对每年引起的系统变异为0.31%。说明修筑梯田表现的土壤扰动对土壤有机质含量的变化影响很大,而表现的减弱侵蚀对有机质含量的变化较小。
|
|
表 4 修筑梯田引起的系统变异 Table 4 Systematic variation caused by building terraces |
沟坡防护能有效改善沟沿地的土壤侵蚀状况。1988—1990年完成了全流域约40 hm2沟沿地沟边的修复工作,占流域耕地面积的1/6[28]。该年份段流域耕地类型具有多样性,可以均分为6类,分别为平地、平缓地、缓坡地、沟沿地、陡坡地和较陡坡地,它们对应的坡度也分别为0 ~ 2°、2°~ 4°、4° ~ 7°、7° ~ 10°、10° ~ 20°、20° ~ 30°。经过沟坡防护,沟沿地坡度变缓,从1993年的7° ~ 10°变成了1998年的3° ~ 6°。据此对1993—1998年份段的样点数据进行了分配整理(图 4),得出1993—1998年土壤有机质含量变化较大的有平地、平缓坡地和沟沿地,而其他类型耕地土壤有机质含量变化较小。尤其到1998年沟沿地土壤有机质含量超过了缓坡地,改变了土壤有机质的空间分布状况。
|
图 4 沟坡防护引起的有机质含量的变化 Fig. 4 Changes of SOM content caused by slope protection |
沟坡防护改变了沟沿地的坡度,和修筑梯田具有相似的效果,也是通过减弱了淋洗作用而引起的土壤有机质含量的改变。据此对1993—1998年份段的6种不同地类的置信区间数据进行双因素重复性方差分析(表 5)。得出1993—1998年沟坡防护引起的系统变异占总变异的百分比为46.7%,相对每年引起的系统变异为0.68%。说明沟坡防护因对土壤扰动小,在减弱侵蚀和提高土壤有机质含量方面比修筑梯田更有优势。
|
|
表 5 沟坡防护引起的系统变异 Table 5 Systematic variation caused by slope protection |
为了达到增收高产,合理施肥是较好的选择,这个过程中施化肥量的高低也会引起土壤有机质含量的变化[29-30]。1980—2015年该流域化肥投入量一直稳定增加。据调查,1980年泥河沟耕地平均施化肥量仅750 kg/hm2,配合土肥施用,在当时的研究为最佳施肥水平[32];到2004—2015年耕地土肥的施用变得很少,化肥的施用量很高,从2004年的1 750 kg/hm2增至2015年的2 250 kg/hm2。可以按施化肥量是否高于平均水平,将耕地均分为高投入地和低投入地。据此对2004—2015年份段的样点数据进行了分配整理(图 5),得出2004—2015年高投入地土壤有机质含量明显高于低投入地,而两种地类土壤有机质含量提升的差异并不明显。
|
图 5 增施化肥引起的有机质含量的变化 Fig. 5 Changes of SOM content caused by increasing fertilizer application |
土壤有机质含量与施加化肥量本来就具有相关关系,不同地块施加不同化肥量也是农民施肥经验的体现。对2004—2015年份段的2种高投入地和低投入地的置信区间数据进行双因素重复性方差分析(表 6)。得出增施化肥引起的系统变异占总变异的百分比为29.3%,相对每年引起的系统变异为0.32%。说明增施化肥相对修筑梯田和沟坡防护对提高土壤有机质含量的优势并不明显,尤其不同施肥量的地块在年份段的增长差异很小,表现了增施化肥在影响土壤有机质含量时间变异方面的局限性。
|
|
表 6 增施化肥引起的系统变异 Table 6 Systematic variation caused by increasing fertilizer application |
修筑梯田和沟坡防护体现的是不同年份段在减弱侵蚀方面对土壤有机质含量变化的影响,所以2004—2015年引起土壤有机质含量变化的其他因素就是除去因修筑梯田和增施化肥以外的因素。根据前面分析出的总变异、随机变异和系统变异,可以计算出修筑梯田、增施化肥和其他因素所占的系统变异的百分比分别为28.4%、29.3%和14.7%(图 6)。修筑梯田和增施化肥在影响土壤有机质含量变化方面起着较大的作用,而其他因素的综合作用仍然不可忽略。
|
图 6 各类因素所引起的变异占总变异的比例 Fig. 6 Ratios of factors to the total variance |
无论修筑梯田、沟坡防护还是增施化肥,都是属于人为因素,这些因素会对土壤有机质含量造成长期影响。从各类因素和年份段的交互作用的大小可以看出,除了修筑梯田引起的土壤扰动在年份段内的不一致效果比较大以外,其他类型的变异在年份段内的不一致效果都很小,都是由长期作用形成的变异规律。也就是说在减弱淋洗方面,不是在年份段内因坡度改变而减弱了淋洗作用,而是不同坡度地类在受到不同程度侵蚀的长期叠加效果;在增施化肥方面,也不是在年份段内因地块投入量的高低而增加了土壤有机质含量,而是不同投入量的地块在积累土壤有机质含量的长期叠加效果。
3.2 耕地土壤有机质含量提升的限度受黄绵土自身性质的影响,其有机质含量的变化会有一定的限度。将2004—2015年份段泥河沟流域耕地按有机质含量由高到底划分为4个等级,一等地土壤有机质含量为15 g/kg以上,二等地为14 ~ 15 g/kg,三等地为13 ~ 14 g/kg,四等地为13 g/kg以下。对4个等级耕地的变异情况进行了分析,结果表明土壤有机质含量越高的地块变异性越低(表 7),说明随着土壤有机质含量升高土壤有机质的增长速度会减弱,这与图 2以及2003年包耀贤[32]对延安碾庄沟流域坝地和梯田土壤有机质含量研究的演变规律相似。
|
|
表 7 不同肥力水平耕地的变异性 Table 7 SOM variabilities of cultivated lands under different fertility levels |
近40 a泥河沟流域耕地土壤有机质含量总体呈现上升趋势,前期变异很小,中期变大,后期又减小;修筑梯田、沟坡防护和增施化肥在其中起到了重要的作用,因修筑梯田和沟坡防护流域的地形发生了很大的改变,减弱了土壤侵蚀,使土壤有机质含量得以积累;而1998—2004年由于大面积修筑梯田,造成土壤扰动,引起了土壤有机质的损失;增施化肥在引起土壤有机质含量提高的效果略高于修筑梯田的效果,两者在影响土壤有机质含量变化方面起着主导作用;虽然沟坡防护所影响的地类面积较少,然而沟坡防护对土壤扰动较小,在引起土壤有机质含量上升方面的效果更好;各类因素所引起的土壤有机质的上升效果是一个长期积累的过程,这个过程中土壤有机质含量并不会无限度地上升,含量越高上升越不明显,甚至出现降低。
| [1] |
王磊, 应蓉蓉, 石佳奇, 等. 土壤矿物对有机质的吸附与固定机制研究进展[J]. 土壤学报, 2017, 54(4): 805-818 ( 0) |
| [2] |
赵其国. 中国东部红壤地区土壤退化的时空变化、机理及调控[M].
科学出版社, 北京, 2002: 20-30
( 0) |
| [3] |
Dostal J. Results of the long-term organic matter balance investigations in Usti Nad Orlici District and the trends in the whole Czech Republic[J]. Archives of Agronomy and Soil Science, 2002, 48: 155-160 DOI:10.1080/03650340214161 ( 0) |
| [4] |
连纲, 郭旭东, 傅伯杰, 等. 黄土高原县域土壤养分空间变异特征及预测——以陕西省横山县为例[J]. 土壤学报, 2008, 45(4): 577-584 ( 0) |
| [5] |
Scott H D, Handayani I P, Miller D M. Temporal variability of selected properties of Loessial soil as affected by cropping[J]. Soil Sci. Soc. Am. J., 1994, 58: 1531-1538 DOI:10.2136/sssaj1994.03615995005800050037x ( 0) |
| [6] |
Evrendilek F, Celik I, Kilic S. Changes in soil organic carbon and other physical soil properties along adjacent Mediterranean forest, grassland, and cropland ecosystems in Turkey[J]. Journal of Arid Environment, 2004, 59: 743-752 DOI:10.1016/j.jaridenv.2004.03.002 ( 0) |
| [7] |
Stark C H, Condron L M, Stewart A, et al. Small-scale spatial variability of selected soil biological properties[J]. Soil Biological Biochemistry, 2004, 36: 601-608 DOI:10.1016/j.soilbio.2003.12.005 ( 0) |
| [8] |
Bai J H, Ouyang H, Deng W, et al. Spatial distribution characteristics of organic matter and total nitrogen of marsh soils in river marginal wetlands[J]. Geoderma, 2005, 124: 181-192 DOI:10.1016/j.geoderma.2004.04.012 ( 0) |
| [9] |
Liu D W, Wang Z M, Zhang B, et al. Spatial distribution of soil organic carbon and analysis of related factors in crop lands of the black soil region, Northeast China[J]. Agriculture, Ecosystems and Environment, 2006, 113: 73-81 DOI:10.1016/j.agee.2005.09.006 ( 0) |
| [10] |
Ettema C H, Wardle D A. Spatial soil ecology[J]. Trends in Ecology&Evolution, 2002, 17(4): 177-183 ( 0) |
| [11] |
杨帆, 徐洋, 崔勇, 等. 近30年中国农田耕层土壤有机质含量变化[J]. 土壤学报, 2017, 54(5): 1047-1056 ( 0) |
| [12] |
赵明松, 李德成, 张甘霖, 等. 1980-2010年安徽省耕地表层土壤养分变化特征[J]. 土壤, 2018, 50(1): 173-180 ( 0) |
| [13] |
淳化县地方志办公室. 淳化年鉴[M].
咸阳卓雅印务有限公司, 咸阳, 2014: 47-48
( 0) |
| [14] |
淳化县农业区划委员会. 淳化县农业区划报告集[M].
西安市新城区印刷厂, 西安, 1984: 1-12
( 0) |
| [15] |
刘秉正, 李光录, 吴发启, 等. 黄土高原南部土壤养分流失规律[J]. 水土保持学报, 1995, 9(2): 77-86 ( 0) |
| [16] |
吕俊杰.泥河沟小流域土壤养分分布特征与生产力评价研究[D].陕西杨凌: 西北林学院, 1999.
( 0) |
| [17] |
莫翼翔, 吴发启. 泥河沟小流域土壤养分的分布与保护[J]. 水土保持学报, 2002, 16(3): 23-26 ( 0) |
| [18] |
李光录, 高存劳. 黄土高原南部土地生产力及其与侵蚀的关系[J]. 干旱地区农业研究, 2007, 25(4): 42-46 DOI:10.3321/j.issn:1000-7601.2007.04.008 ( 0) |
| [19] |
刘海斌.黄土高原已治理小流域土地利用现状解析与评价[D].陕西杨凌: 西北农林科技大学, 2007. http://cdmd.cnki.com.cn/Article/CDMD-10712-2007189317.htm
( 0) |
| [20] |
Goovaerts P. Geo statistical tools for characterizing the spatial variability of microbiological and physico-chemical soil properties[J]. Biol. Fert. Soils, 1998, 27(4): 315-334 DOI:10.1007/s003740050439 ( 0) |
| [21] |
Cambardella C A, Moorman TB, Novak J M, et al. Field-scale variability of soil properties in Central Iowa soils[J]. Soil Science Society of American Journal, 1994, 58: 1501-1511 DOI:10.2136/sssaj1994.03615995005800050033x ( 0) |
| [22] |
沈思渊. 土壤空间变异研究中地统计学的应用及其展望[J]. 土壤学进展, 1995, 9(2): 77-86 ( 0) |
| [23] |
薛萐, 刘国彬, 张超, 等. 黄土高原丘陵区坡改梯后的土壤质量效应[J]. 农业工程学报, 2011(4): 310-316 DOI:10.3969/j.issn.1002-6819.2011.04.054 ( 0) |
| [24] |
吕甚悟. 紫色土丘陵区坡地改梯田的效益[J]. 土壤, 1989(3): 151-153 ( 0) |
| [25] |
方樟法. 土壤农化常规分析中某些误差的产生及其根源[J]. 浙江农业科学, 1989(6): 68-270 ( 0) |
| [26] |
邱虎森, 苏以荣, 黎蕾, 等. 典型喀斯特高原坡地土壤养分分布及其影响因素[J]. 土壤, 2013, 45(6): 985-991 ( 0) |
| [27] |
Alexandra N K, Donald G B. Correlation of corn and soybean yield with topography and soil properties[J]. Agronomy Journal, 2000, 92(1): 75-83 ( 0) |
| [28] |
李光录, 赵晓光, 吴发启, 等. 水土流失对土壤养分的影响研究[J]. 西北林学院学报, 1995, 10(增): 28-33 ( 0) |
| [29] |
黄晶, 高菊生, 张杨珠, 等. 长期不同施肥下水稻产量及土壤有机质和氮素养分的变化特征[J]. 应用生态学报, 2013, 24(7): 1889-1894 ( 0) |
| [30] |
金琳, 李玉娥, 高清竹, 等. 中国农田管理土壤碳汇估算[J]. 中国农业科学, 2008(3): 734-743 DOI:10.3864/j.issn.0578-1752.2008.03.014 ( 0) |
| [31] |
王建民, 孟德顺.旱地小麦高产综合栽培试验//王佑民.黄土高原沟壑区综合治理及其效益研究[C].北京: 中国林业出版社, 1990: 184-189.
( 0) |
| [32] |
包耀贤.黄土丘陵沟壑区坝地和梯田土壤理化性质研究[D].陕西杨凌: 西北农林科技大学, 2005. http://d.wanfangdata.com.cn/Thesis/Y753376
( 0) |
2. College of Resources and Environment Sciences, Northwest A & F University, Yangling, Shaanxi 712100, China
2020, Vol. 52



0)