2. 蚌埠玻璃工业设计研究院浮法玻璃新技术国家重点实验室, 安徽蚌埠 233000
农田土壤是种植农作物和粮食的重要场所,农田土壤环境质量会影响到粮食和食品安全[1]。随着经济的发展,人类在生产和生活中产生的各种气态、液态和固态的废弃物通过各种途径进入农田土壤,对土壤环境产生了严重影响,不仅改变了农田土壤中重金属元素含量[2-3],还改变了农田土壤的磁学性质[4]。为了监测农田土壤环境变化,一般采用传统化学分析方法,但这种方法具有费用高、检测时间长、监测点有限等缺点,为解决这些问题需要研发新的监测方法。
环境磁学方法最早用于研究古环境和古气候的变化[5],由于具有检测时间短、经济、环保等特点,逐步被应用到土壤、大气降尘、沉积物等环境介质的污染监测中[6-9]。研究表明,人类活动如工业生产和汽车尾气排放,都会产生大量含有亚铁磁性矿物和重金属元素的颗粒污染物,当其进入到土壤中,能显著增强土壤磁性,同时增加土壤中重金属元素含量,且两者之间存在正相关关系[10-11]。这为科研人员应用磁学手段研究土壤环境污染提供了一种新方法。近年来应用环境磁学方法研究土壤环境污染发展十分迅速,主要集中在研究城市表土[12-13]和工业区周边土壤[14-15]方面。研究发现,城市表土和工业区周边被工业粉尘污染的旱地及森林土壤,其磁学参数能很好地记录土壤被污染的过程及程度[16-17]。农田土壤由于经常被人为翻动,科研人员在研究工业生产活动和城市交通对周边土壤磁学性质影响时,一般建议避开农田土壤。另外,农田土壤特别是稻田土壤长期被水浸泡,在厌氧、还原和低pH的条件下,表层土壤中强磁性的磁铁矿和磁赤铁矿能向弱磁性的针铁矿及纤铁矿转化,使其磁性大幅降低[18-19],增加了应用环境磁学方法识别稻田土壤与污染物磁学性质的难度。但在当下城镇化快速发展的我国,要在工业区周边找到没有人为翻动的土壤越来越困难,科研人员正在尝试利用工业区周边的农田土壤作为环境磁学研究的新对象,分析工业粉尘对农田土壤磁学性质的影响。
已有研究发现,水泥厂排放出来的水泥粉尘富含钙、重金属元素和磁性颗粒[20-21]。大量水泥粉尘排放对水泥厂周边旱地表土和农田表土都会产生严重影响,改变土壤的磁学性质,增加其中钙和重金属元素含量。但应用环境磁学方法研究水泥粉尘对水泥厂周边稻田土壤剖面磁学性质影响的文献极少,这可能是由于水泥粉尘相对于钢铁厂粉尘磁性要弱,而且稻田土壤长期在水浸泡和外来污染物共同作用下,其磁学参数变化具不确定性,应用环境磁学方法提取有用的磁学信息也比较困难。本文选取水泥厂周边两类不同类型土壤剖面,一类是稻田土壤剖面,一类是山林土壤剖面,通过对两类土壤剖面磁学参数的测量,对比分析其磁学性质的差异,探索应用环境磁学方法分析水泥粉尘对稻田土壤磁学性质影响的可行性。
1 材料与方法 1.1 样品采集凤阳县隶属于安徽省滁州市,位于淮河中游南岸,属亚热带季风气候区,春季多东风,夏季多南风,秋季和冬季多东北风,年均温度14.9 ℃,年均降水量904.4 mm。凤阳县水泥工业区位于该县西泉镇至刘府镇的交接处,水泥厂自20世纪90年代开始生产,每年生产硅酸盐水泥约3×109 kg,水泥厂周边每月大气降尘量约为91.1×103 kg/km2。水泥厂东面、北面及西北面主要是农田,西南面有一片山林。本研究于2016年12月在水泥厂北面挖掘了2个稻田土壤剖面——L01和L02,其中L01距离水泥厂围墙约400 m,L02距离水泥厂围墙约2 km;同时,在距水泥厂约40 km的无污染区挖掘了1个稻田土壤剖面——L03(图 1),L03所在位置远离工厂和城市,是水稻主产区。剖面L01、L02和L03采样点都是选择在地形平坦、土壤干燥无积水、水稻收割后无翻动痕迹的稻田中央,具有代表性。另外,本研究还于水泥工业区内山林土坡上采集土壤剖面样品L04[22],与L01和L02剖面样品进行同层对比研究,L04剖面距离水泥厂围墙约200 m。4个剖面的土壤类型都是黄白土,剖面深度均为70 cm,采样自上而下连续采集,采样间距为2 cm。样品采好后用塑封袋装好,并用记号笔在塑封袋上标出采样的深度和编号,带回实验室。样品在阴凉处自然风干,研磨,过80目(0.178 mm)尼龙筛待测。水泥粉尘样于2013年4月在水泥厂内的原料粉磨和煅烧车间收集[23],水泥粉尘的磁学参数测量结果和矿物成分见文献[23]。
|
图 1 采样点位置及分布 Fig. 1 Distribution of sampling sites of typical soil profiles |
挑选代表性土壤颗粒,进行镀金,使用德国ZEISS公司生产的ZEISS EVO18型扫描电镜观察土壤颗粒的微观形貌;并用X射线能谱仪对土壤颗粒进行扫描,分析其化学元素成分。该试验在安徽科技学院分析测试中心完成。使用德国BRUKER-AXS公司生产的D8 ADVANCE型X射线衍射仪分析土壤样品中矿物成分,该试验在蚌埠玻璃工业设计研究院物化所完成。
1.3 土壤磁学参数测量称量一定质量的土壤样品(每个样品约5 g),装入8 cm3的立方体无磁性塑料盒中,测量土壤磁学参数。使用捷克AGICO公司生产的MFK1-FA卡帕桥磁化率仪、JR-6A旋转磁力仪、KLY-4S卡帕桥磁化率仪和CS-3温度控制装置和美国ASC公司生产的D-2000交变退磁仪等仪器设备测量土壤样品的κ(体积磁化率)、χL(低频磁化率)、χH(高频磁化率)、ARM(非磁滞剩磁)、IRM300mT(等温剩磁)和SIRM(饱和等温剩磁)等磁学参数,并根据测量结果计算土壤样品的χ(质量磁化率)、χfd(频率磁化率)、χARM(非磁滞剩磁磁化率)、Sratio(磁化系数)和比值参数χARM/SIRM。其中,χfd=(χL–χH)/χL,Sratio=IRM300mT/SIRM。挑选典型土壤样品测量等温剩磁获得曲线和退磁曲线、κ–T曲线(磁化率随温度变化曲线)。土壤样品的磁学参数测量在中国地质大学(北京)古地磁学与环境磁学实验室完成。
样品的χ、SIRM和χARM主要反映土壤样品中磁性矿物含量,Sratio主要与土壤样品中磁性矿物类型有关,χfd和χARM/SIRM主要反映土壤样品中磁性矿物的粒度特征。
1.4 化学成分分析对土壤样品和水泥粉尘样品中CaO质量分数(ωCaO)采用配位滴定法进行测量,该试验在安徽省蚌埠玻璃工业设计研究院物化所完成。
2 结果与分析 2.1 矿物成分稻田土壤剖面和山林土壤剖面典型土壤样品(L01-17、L04-17)的扫描电镜(SEM)和X射线能谱(EDS)测量结果(图 2)显示,土壤呈颗粒状,主要元素都是Si、Al、O、Fe、K、Mg、Ba等。稻田土壤剖面和山林土壤剖面典型土壤样品(L01-01、L01-17、L01-30、L03-17、L04-17)的X射线衍射测量结果(图 3)显示,稻田土壤和山林土壤样品的衍射峰位置大致相同,且同一稻田土壤剖面(L01)上不同深度土壤样品的衍射峰位置几乎相同,只是衍射峰高度不一致,说明两类土壤中矿物成分基本一致,所有土壤样品中主要矿物均是石英,另外还含有伊利石、针铁矿、蒙脱石、方解石等矿物。
|
图 2 典型土壤样品的SEM和EDS Fig. 2 SEM and EDS diagrams of typical soil samples |
|
图 3 典型土壤样品的X射线衍射图谱 Fig. 3 X-ray diffraction patterns of typical soil samples |
样品的κ–T曲线可以用来分析和判断土壤中磁性矿物类型及其转化规律[5, 24]。从4个土壤剖面中挑选4个代表性样品L01-12、L02-12、L03-12和L04-12 (均取自剖面上23 ~ 24 cm土壤)进行κ–T曲线测量,结果见图 4。从室温加热至250 ℃,3个稻田土壤剖面上的样品L01-12、L02-12、L03-12的磁化率值随温度的升高略有下降,但山林土壤剖面上的样品L04-12的磁化率值变化并不明显。当温度升至300 ℃左右时,4个样品都出现了一个峰值,其中L02-12的峰值最高,峰值的出现,可能是土壤样品中弱磁性纤铁矿或针铁矿在加热过程中生成了强磁性的磁赤铁矿所致[25],这种现象在凤阳县其他土壤样品的加热曲线中也存在[23]。当温度从300 ℃升至580 ℃的过程中,4个样品的磁化率值都随温度的升高而下降,在580 ℃附近,4个样品的磁化率值都下降到接近于零,表现出磁铁矿的居里温度,指示4个土壤样品的磁学特征主要由亚铁磁性矿物主导。4个土壤样品的冷却曲线都在580 ℃附近随温度的降低而大幅升高,且冷却曲线高于加热曲线,指示4个土壤样品在加热过程中都有强磁性矿物生成[26]。由于4个土壤样品中亚铁磁性矿物含量较低,其X射线衍射图中未出现亚铁磁性矿物的衍射峰(图 3),土壤样品的κ–T曲线主要反映了在加热过程中新生成的次生亚铁磁性矿物的磁学特征。
|
图 4 典型土壤样品的κ–T曲线 Fig. 4 k–T curves of typical soil samples |
4个土壤剖面磁学参数测量数据统计结果(表 1)和磁学参数随深度的变化关系(图 5)显示,山林剖面L04的χ、SIRM和χARM值大幅高于3个稻田土壤剖面(表 1,图 5A ~ C),表明剖面L04中磁性矿物含量最高。剖面L01、L02和L04上0 ~ 20 cm土壤的χ、SIRM和χARM值高于20 cm以下土壤,且随采样深度的增加而减小,χ的变幅小于SIRM和χARM,而20 cm以下土壤的χ、SIRM和χARM值随采样深度增加变化不太明显。剖面L03的χ、SIRM和χARM值在整个剖面上变化并不大。已有研究表明,水泥厂附近土壤剖面中表层土壤存在磁性增强的现象,这主要是表土受到磁性较强的水泥粉尘影响所致,而且离水泥厂越近,影响越严重[22, 27]。剖面L01、L02和L04也存在表层土壤磁性增强现象,3个剖面中0 ~ 20 cm土壤χ、χARM、SIRM的平均值明显高于20 cm以下土壤平均值,而远低于水泥粉尘的平均值。剖面L01、L02和L04的0 ~ 20 cm土壤磁性增强,可能也是受水泥粉尘影响造成的。在2个稻田土壤剖面L01和L02中,由于剖面L01离水泥厂更近,受水泥粉尘的影响更严重,其0 ~ 20 cm土壤磁性增强现象更明显。
|
|
表 1 样品磁学参数统计结果 Table 1 Statistics of magnetic parameters of typical samples |
|
图 5 磁学参数的土壤剖面分布 Fig. 5 Profile distributions of magnetic parameters |
Sratio主要反映样品中亚铁磁性矿物与反铁磁性矿物比例[28],Sratio值越高指示样品中亚铁磁性矿物含量越高。剖面L01、L02和L03上0 ~ 40 cm土壤的Sratio平均值(85.86%、83.50 %和83.99%)高于40 cm以下土壤的平均值(79.04%、80.11% 和76.35%)(图 5D)。剖面L01和L02上0 ~ 20 cm土壤的Sratio平均值(88.32% 和85.41%)分别为2个剖面最高值,这可能也是因为其受水泥粉尘影响,亚铁磁性矿物含量升高所致。剖面L04上所有土壤样品的Sratio值都相差不大(表 1),最高值为92.60 %,最低值为87.37%。剖面L04上0 ~ 20 cm土壤的Sratio值与剖面L01和L02几乎没有差别,剖面L04上20 cm以下土壤的Sratio值明显高于剖面L01和L02,说明剖面L04上20 cm以下土壤中亚铁磁性矿物含量高于剖面L01和L02。
χfd和χARM/SIRM主要反映样品中磁性颗粒大小特征。剖面L04的χfd和χARM/SIRM值明显高于3个农田土壤剖面(图 5E、F),其平均值分别为14.20% 和15.18×10–4 m/A(表 1),说明该土壤剖面中磁性矿物粒径细,含有大量SP(超顺磁性)颗粒[29]。剖面L04上0 ~ 20 cm土壤的χfd和χARM/SIRM值都随采样深度的增加而增加,这主要是0 ~ 20 cm土壤被水泥厂粉尘污染,导致土壤中磁性矿物粒径变粗;而20 cm以下土壤的值基本保持不变,说明20 cm以下土壤的磁性矿物主要来源于土壤母质,没有被污染。剖面L01和L02的χfd和χARM/SIRM值随采样深度的增加变化不太明显,其平均值分别为3.41%、5.63×10–4 m/A和3.08%、5.62×10–4 m/A(表 1),说明这2个土壤剖面中磁性矿物粒径相对于剖面L04要粗,且SP颗粒含量低。剖面L03的χfd和χARM/SIRM平均值4.62%、6.49×10–4 m/A(表 1)略高于剖面L01和L02,指示其中的磁性矿物粒径比剖面L01和L02细。
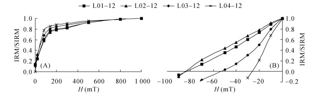
4个土壤剖面上典型土壤样品的等温剩磁获得曲线和反向场退磁曲线图(图 6)显示,当外加磁场(H)为300 mT时,L04-12获得的等温剩磁已达饱和等温剩磁的90.51%,而L01-12、L02-12和L03-12分别为76.73%、75.86% 和83.66%(图 6A)。土壤样品的反向场退磁曲线(图 6B)显示,L04-12剩磁矫顽力(Bcr)值为26.1 mT,明显低于L01-12、L02-12和L03-12的Bcr值(82.4、84.3和54.0 mT),说明L04-12中以亚铁磁性矿物为主,而L01-12、L02-12和L03-12中都含有一定数量剩磁矫顽力较大的不完全反铁磁性矿物。
|
图 6 典型土壤样品的等温剩磁获得曲线和反向场退磁曲线 Fig. 6 IRM acquisition and DC demagnetization curves of typical soil samples |
已有研究指出,水泥粉尘中富含钙元素,被其污染的土壤ωCa升高[20, 30]。稻田剖面L01、L02、L03及山林剖面L04和水泥粉尘中ωCaO测量结果(表 2)显示,剖面L03中ωCaO的平均值(0.86%)最低,剖面L01、L02、L04中ωCaO的平均值(1.30%、1.14%、1.27%)相差不大,但远低于水泥粉尘的平均值(48.62%)。剖面L03中ωCaO随采样深度增加变化不大,剖面L01、L02、L04中ωCaO随采样深度的变化规律与磁学参数χ、SIRM和χARM相一致(图 7和图 5A ~ C),0 ~ 20 cm土壤中ωCaO 随采样深度的增加而减小,20 cm以下土壤中ωCaO随采样深度增加变化不明显。由于水泥粉尘中ωCaO远高于剖面L01、L02、L04,这3个土壤剖面表层土壤中ωCaO的升高可能是受水泥粉尘影响所致。
|
|
表 2 样品ωCaO统计结果 Table 2 Statistics of ωCaO of typical soil samples |
|
图 7 ωCaO的土壤剖面分布 Fig. 7 Profile distribution of ωCaO |
没有被污染的自然土壤,一般亚铁磁性矿物含量较低,磁性矿物粒径细[31]。而人类在生产和生活中产生的颗粒污染物,如化石燃料燃烧、现代工业生产以及汽车尾气排放等产生的颗粒物,其磁学性质与自然土壤完全不同,一般亚铁磁性矿物含量高,磁性强,磁性矿物粒径粗[15, 32]。已有研究指出,钢铁厂和火电厂周边土壤,被厂内排放出来的粉尘和飞灰污染后,土壤中亚铁磁性矿物含量会大幅升高、磁性矿物粒径变粗,主要是MD(多畴)颗粒和较粗的PSD(准单畴)颗粒[14, 33]。水泥粉尘是水泥厂在生产过程中产生的一种重要颗粒污染物,其中含有较多的MD亚铁磁性矿物,当它沉降下来进入周边土壤时,会改变土壤原有的磁学性质[21],还会增加土壤中钙元素含量,且二者之间存在正相关关系[20, 30]。
4个剖面上典型土壤样品的κ–T曲线(图 4)显示,样品的磁学性质主要由亚铁磁性矿物决定,但其含量较低,在X射线衍射图中并没有出现亚铁磁性矿物的衍射峰(图 3)。样品的等温剩磁获得曲线和反向场退磁曲线(图 6)显示,剖面L01-12、L02-12和L03-12的Bcr值都较大,分别为82.4、84.3和54.0 mT,表明稻田土壤样品中还存在一定数量的不完全反铁磁性矿物。剖面L01、L02和L03的Sratio值绝大部分都低于90%,最小的Sratio值只有72.69%,也说明3个稻田土壤剖面样品中存在不完全反铁磁性矿物。稻田土壤中反铁磁性矿物可能来自土壤母质,也可能是在特殊环境中由亚铁磁性矿物转化而来[34]。L04-12的Bcr值为26.1 mT(图 6B),剖面L04的Sratio值在87.37% ~ 92.60%,说明山林土壤剖面L04中以亚铁磁性矿物为主。水泥厂周边3个土壤剖面L01、L02和L04中0 ~ 20 cm土壤的Sratio值和ωCaO都高于20 cm以下土壤(图 5D和图 7),这可能是0 ~ 20 cm土壤受到水泥粉尘的影响,导致亚铁磁性矿物含量和ωCaO升高所致。3个土壤剖面中ωCaO随采样深度的变化规律与磁学参数χ、SIRM和χARM相一致(图 7和图 5A ~ C),且两类参数之间存在正相关关系(图 8),表明亚铁磁性矿物与钙富集在一起,这一结果与前人研究结果[20, 30]一致,说明土壤剖面L01、L02和L04中0 ~ 20 cm土壤ωCaO和磁性矿物含量高于20 cm以下土壤都是由于受水泥粉尘影响引起的。
|
图 8 土壤样品ωCaO与磁学参数的相关性 Fig. 8 Linear correlation between ωCaO and magnetic parameters of typical soil samples |
由于水泥粉尘中亚铁磁性矿物高于水泥厂周边土壤,在其影响下剖面L01、L02、L04中0 ~ 20 cm土壤磁性矿物含量升高后,导致0 ~ 20 cm土壤的χ、SIRM和χARM值高于20 cm以下土壤;而未被水泥粉尘污染的剖面L03,χ、SIRM和χARM曲线基本平行于纵轴(图 5A ~ C)。剖面L01采样点离水泥厂的距离比剖面L02近,受水泥粉尘的影响更严重,其0 ~ 20 cm土壤的χ、SIRM和χARM值高于剖面L02。剖面L01、L02和L04中0 ~ 20 cm土壤的χ、SIRM和χARM值都随采样深度的增加而减小,根据文献资料[35],这可能是随水泥粉尘进入土壤中的亚铁磁性矿物在雨水的作用下从表土层淋溶至心土层的结果。磁学参数χ、SIRM和χARM显示剖面L04中磁性矿物含量大幅高于剖面L01、L02和L03,这是因为稻田土壤长期被水浸泡,在还原、缺氧和低pH的条件下,土壤中强磁性的亚铁磁性矿物或被溶解或被转化成弱磁性矿物所致[18-19, 36]。
图 5E、F显示,剖面L04的χfd、χARM/SIRM明显高于剖面L01、L02和L03,说明山林土壤剖面中磁性矿物粒径比稻田土壤剖面中的细。在4个土壤剖面样品的Dearing图(图 9)中,山林土壤剖面L04上的样品分布位置与稻田土壤剖面L01、L02、L03上的样品存在很大差异。剖面L01、L02、L03上的样品集中分布在粗粒SSD(稳定单畴)区域,SP颗粒的含量较低,指示这3个剖面上样品中磁性矿物颗粒粒径相对较粗。剖面L04除0 ~ 20 cm土壤中个别样品分布在粗粒SSD区域和细粒SSD区域,大部分样品都分布在细粒SSD至SP过渡区域,SP含量高(> 75%),指示剖面L04上样品中磁性矿物颗粒粒径很细。剖面L04中20 cm以下土壤的χfd平均值高达14.3%,指示这部分土壤中磁性矿物是在自然成土过程中形成的[37],该层土壤是未受工业污染的自然土壤。稻田土壤剖面由于长期浸泡在水中,其中细粒亚铁磁性颗粒物最容易被破坏[38],这可能是导致剖面L01、L02、L03中磁性矿物粒径较剖面L04粗的原因。另外,由于剖面L01、L02、L04受到水泥粉尘影响,剖面L01和L02上的样品在Dearing图中的分布位置相对于剖面L03更接近横轴,SP含量更低,与水泥粉尘样品分布位置更接近(图 9),而剖面L04上0 ~ 20 cm土壤中磁性矿物粒径明显变粗,在Dearing图中与20 cm以下土壤明显分开。
|
图 9 Dearing分析结果 Fig. 9 Result of Dearing analysis |
已有研究指出,引起旱地表土磁性增强的原因可能是成土作用,也有可能是外来工业粉尘和飞灰,但二者对土壤磁学性质改变方式不同[39]。成土作用不仅增加磁性矿物含量,还使磁性颗粒粒径变细。如果是被工业粉尘和飞灰污染所致,主要是增加磁性矿物含量,而且增加量明显高于成土过程生成的磁性矿物。通过对4个土壤剖面磁学参数的分析,得出水泥厂周边山林土壤剖面L04上0 ~ 20 cm土壤磁性增强,主要是被水泥粉尘污染所致。水泥厂周边稻田土壤剖面L01和L02也是因其被水泥粉尘污染后,导致0 ~ 20 cm土壤中磁性矿物含量增加,磁性矿物粒径变粗,ωCaO升高,而且离水泥厂近的剖面L01磁性增强现象更明显,这2个土壤剖面的磁学参数χ、χARM、SIRM变化幅度较其他参数明显,它们对稻田土壤磁性增强现象具有较好的指示作用。由于稻田土壤经常被翻动,又长期被水浸泡,其中亚铁磁性矿物含量比山林土壤低。
4 结论1) 稻田土壤剖面和山林土壤剖面中主要矿物有石英、伊利石、针铁矿、蒙脱石、方解石等。两类土壤的磁学性质主要由亚铁磁性矿物决定,其中稻田土壤中存在亚铁磁性矿物和反铁磁性矿物,但亚磁性矿物含量较低,磁性矿物粒径较粗;山林土壤剖面中亚铁磁性矿物含量较高,磁性矿物粒径较细。
2) 稻田土壤剖面和山林土壤剖面由于受到水泥粉尘影响,0 ~ 20 cm土壤磁学性质和ωCaO都发生了明显变化,磁性增强,磁性矿物粒径变粗,ωCaO升高,两类土壤剖面中ωCaO与磁学参数χ、χARM、SIRM存在正相关关系。表明稻田土壤剖面的磁学参数χ、χARM、SIRM和ωCaO对水泥粉尘的影响具有较好的指示作用,两类参数的值越高,指示稻田土壤被水泥粉尘影响越严重。
| [1] |
刘鹏, 胡文友, 黄标, 等. 大气沉降对土壤和作物中重金属富集的影响及其研究进展[J]. 土壤学报, 2019, 56(5): 1048-1059 ( 0) |
| [2] |
王爽, 李荣华, 张增强, 等. 陕西潼关农田土壤及农作物重金属污染及潜在风险[J]. 中国环境科学, 2014, 34(9): 2313-2320 ( 0) |
| [3] |
陈卫平, 杨阳, 谢天, 等. 中国农田土壤重金属污染防治挑战与对策[J]. 土壤学报, 2018, 55(2): 261-272 ( 0) |
| [4] |
王新, 夏敦胜, 王博, 等. 西北干旱区农田土壤磁性特征及其环境意义[J]. 环境科学, 2017, 38(8): 3507-3518 ( 0) |
| [5] |
Evans M E, Heller F. Environmental magnetism[M].
Academic Press, London, 2003
( 0) |
| [6] |
Liu D X, Ma J H, Sun Y L, et al. Spatial distribution of soil magnetic susceptibility and correlation with heavy metal pollution in Kaifeng City, China[J]. CATENA, 2016, 139: 53-60 DOI:10.1016/j.catena.2015.11.004 ( 0) |
| [7] |
Wang G, Liu Y, Chen J, et al. Magnetic evidence for heavy metal pollution of topsoil in Shanghai, China[J]. Frontiers of Earth Science, 2018, 12(1): 125-133 DOI:10.1007/s11707-017-0624-5 ( 0) |
| [8] |
王舒馨, 陈红, 夏敦胜, 等. 新疆典型地区大气降尘磁学特征及其环境意义[J]. 中国沙漠, 2016, 36(5): 1391-1399 ( 0) |
| [9] |
李文, 胡忠行, 吉茹, 等. 金华市义乌江沉积物磁性特征与重金属污染[J]. 环境科学学报, 2016, 36(1): 74-83 ( 0) |
| [10] |
Kawasaki K, Horikawa K, Sakai H. Environmental magnetism of roadside soil contamination in the restricted bijyodaira area of Mt. Tateyama, Toyama, Japan[EB/OL]. 2015
( 0) |
| [11] |
陈轶楠, 张永清, 张希云, 等. 晋南某钢厂周边土壤重金属与磁化率分布规律及其相关性研究[J]. 干旱区资源与环境, 2014, 28(1): 85-91 ( 0) |
| [12] |
王冠, 陈裕颖, 夏敦胜, 等. 上海城市表土磁性特征对重金属污染的指示作用[J]. 环境科学学报, 2018, 38(8): 3302-3312 ( 0) |
| [13] |
陈裕颖, 王冠, 陈姣, 等. 上海市杨浦区表土重金属污染的磁学响应[J]. 水土保持通报, 2017, 37(3): 28-34 ( 0) |
| [14] |
沈明洁, 胡守云, U. Blaha, 等. 北京石景山工业区附近一个污染土壤剖面的磁学研究[J]. 地球物理学报, 2006, 49(6): 1665-1673 ( 0) |
| [15] |
Kapic̆ka A, Jordanova N, Petrovský E, et al. Effect of different soil conditions on magnetic parameters of power-plant fly ashes[J]. Journal of Applied Geophysics, 2001, 48(2): 93-102 ( 0) |
| [16] |
沈明洁, 胡守云, Blaha U, 等. 北京东郊722土壤垂向剖面重金属污染的磁学响应及其统计意义[J]. 地球科学, 2006, 31(3): 399-404 ( 0) |
| [17] |
王学松, 秦勇. 徐州钢铁厂附近土壤中重金属及硫的垂向分布特征与磁学响应[J]. 环境科学学报, 2005, 25(12): 1669-1675 ( 0) |
| [18] |
韩光中, 黄来明, 李山泉, 等. 水耕人为土磁性矿物的生成转化机制研究回顾与展望[J]. 土壤学报, 2017, 54(2): 309-318 ( 0) |
| [19] |
Han G Z, Zhang G L. Changes in magnetic properties and their pedogenetic implications for paddy soil chronosequences from different parent materials in South China[J]. European Journal of Soil Science, 2013, 64(4): 435-444 ( 0) |
| [20] |
李勇, 赵应权, 邹长明. 水泥粉尘对农田土壤污染的环境磁学响应[J]. 环境科学学报, 2018, 38(5): 2023-2033 ( 0) |
| [21] |
Wang X S. Magnetic properties and heavy metal pollution of soils in the vicinity of a cement plant, Xuzhou (China)[J]. Journal of Applied Geophysics, 2013, 98: 73-78 ( 0) |
| [22] |
李勇. 安徽凤阳水泥工业区内污染土壤剖面的磁学研究[J]. 土壤通报, 2014, 45(5): 1089-1093 ( 0) |
| [23] |
Li Y, Zhao Y Q, Yao J. Magnetic influences of cement dust on soil in industrial area and its environmental implications[J]. Advances in Earth Science, 2016, 31(8): 829-839 ( 0) |
| [24] |
Li H Y, Zhang S H. Detection of mineralogical changes in pyrite using measurements of temperature-dependence susceptibilities[J]. Chinese Journal of Geophysics, 2005, 48(6): 1454-1461 ( 0) |
| [25] |
Oches E A, Banerjee S K. Rock-magnetic proxies of climate change from loess-paleosol sediments of the Czech Republic[J]. Studia Geophysica et Geodætica, 1996, 40(3): 287-300 ( 0) |
| [26] |
Florindo F, Zhu R X, Guo B, et al. Magnetic proxy climate results from the Duanjiapo loess section, southernmost extremity of the Chinese loess plateau[J]. Journal of Geophysical Research: Solid Earth, 1999, 104(B1): 645-659 ( 0) |
| [27] |
Bermudez G M A, Moreno M, Invernizzi R, et al. Heavy metal pollution in topsoils near a cement plant: the role of organic matter and distance to the source to predict total and hcl-extracted heavy metal concentrations[J]. Chemosphere, 2010, 78(4): 375-381 ( 0) |
| [28] |
Evans M E, Heller F. Environmental Magnetism: Principles and applications of environmagnetics[M].
Academic Press, California, 2003
( 0) |
| [29] |
Oldfield F. Toward the discrimination of fine-grained ferrimagnets by magnetic measurements in lake and near-shore marine sediments[J]. Journal of Geophysical Research: Solid Earth, 1994, 99(B5): 9045-9050 ( 0) |
| [30] |
Paoli, Winkler A, Guttová A, et al. Magnetic properties and element concentrations in lichens exposed to airborne pollutants released during cement production[J]. Environmental Science and Pollution Research International, 2017, 24(13): 12063-12080 ( 0) |
| [31] |
Hanesch M, Scholger R. The influence of soil type on the magnetic susceptibility measured throughout soil profiles[J]. Geophysical Journal International, 2005, 161(1): 50-56 ( 0) |
| [32] |
单红丹, 卢升高. 火电厂粉煤灰的矿物磁性及其环境意义[J]. 矿物学报, 2005, 25(2): 141-146 ( 0) |
| [33] |
王博, 夏敦胜, 贾佳, 等. 中国西北地区典型钢铁工业城市表土重金属污染的环境磁学响应[J]. 吉林大学学报(地球科学版), 2013, 43(3): 962-973 ( 0) |
| [34] |
胡雪峰. "黄土-古土壤"序列中氧化铁和有机质对磁化率的影响[J]. 土壤学报, 2004, 41(1): 7-12 ( 0) |
| [35] |
俞劲炎, 卢升高. 土壤磁学[M].
江西科学技术出版社, 南昌, 1991
( 0) |
| [36] |
Grimley D A, Arruda N K. Observations of magnetite dissolution in poorly drained soils[J]. Soil Science, 2007, 172(12): 968-982 ( 0) |
| [37] |
卢升高. 土壤频率磁化率与矿物粒度的关系及其环境意义[J]. 应用基础与工程科学学报, 2000, 8(1): 9-15 ( 0) |
| [38] |
Lu S G, Zhu L, Yu J Y. Mineral magnetic properties of Chinese paddy soils and its pedogenic implications[J]. CATENA, 2012, 93: 9-17 ( 0) |
| [39] |
Dearing J A, Bird P M, Dann R J L, et al. Secondary ferrimagnetic minerals in Welsh soils: A comparison of mineral magnetic detection methods and implications for mineral formation[J]. Geophysical Journal International, 1997, 130(3): 727-736 ( 0) |
2. State Key Laboratory of Advanced Technology for Float Glass, Bengbu Glass Industry Design and Research Institution, Bengbu, Anhui 233000, China
2021, Vol. 53


0)