2. 内蒙古农业大学农学院, 呼和浩特 010019;
3. 内蒙古旱作农业重点实验室, 呼和浩特 010031;
4. 农业农村部内蒙古耕地保育科学观测实验站, 呼和浩特 011705
作物秸秆作为一种可再生的生物质资源,富含多种矿质营养元素和有机物质[1],其综合利用可优化农田生态环境、缓解资源短缺、助推农业绿色可持续发展。我国秸秆年产量约1.04×109 t,而内蒙古黄土高原地区年产各类农作物秸秆达0.4×108t[2],利用潜力巨大。近些年随着秸秆禁烧政策颁布和人们环保意识的提高,秸秆大面积焚烧现象锐减,基本得到有效解决,但秸秆废弃仍较严重,大量秸秆弃置于田间地头,造成了资源浪费[3]。随着机械化程度提高,秸秆养分还田作为秸秆资源化利用最直接有效的手段得到广泛认可,但秸秆腐解时间长、效果差等缺点限制了秸秆还田措施的推广应用,尤以黄土高原旱作地区问题较为突出[4]。
水资源匮乏和季节性干旱是制约内蒙古黄土高原农业发展的重要因素,全膜双垄沟播技术在该区域玉米种植推广应用中较好地解决了这一现实问题。该技术改传统半膜覆盖为全覆盖地膜、改传统地膜平作为起垄覆膜、改传统垄上种植为沟内种植,集覆盖抑蒸、垄面集流、垄沟种植技术于一体[5],可将小于5 mm无效降雨汇集转化为有效水资源供给作物,极大程度改善土壤水热状况[6],同时为还田秸秆营造良好水热条件,促进秸秆腐解。
秸秆由于碳氮比(C/N)较高,还田后腐解需配施一定量的氮肥,否则容易造成对土壤氮素的争夺而影响作物生长。大量学者[7-9]认为秸秆还田配施氮肥是一种有效的耕作管理措施,秸秆还田额外补增氮肥可降低土壤碳氮比[10],提高土壤有机碳和缓解土壤养分流失[11],同时改善土壤性状和培肥土壤[12],提高土壤酶活性和增加土壤微生物碳氮固持[13]。目前关于秸秆还田下氮肥运筹研究多集中于秸秆量与施氮量的互作、施氮量的调控以及有无氮肥效应和氮素形态的差异比对,而秸秆还田条件下不增加氮肥投入,探究如何利用前期多施用的氮素减少后期氮肥投入方面研究较少。戴志刚等[14]研究表明作物中后期土壤中秸秆经微生物分解开始缓慢释放氮素,可供给植物吸收利用。
玉米作为内蒙古黄土高原主栽作物,在氮肥施用方面重施追肥和后肥,常以1/3的氮肥作基施,剩余2/3氮肥于拔节期至孕穗期追施,若秸秆还田前期补氮的情况下,中后期仍按照传统方式进行氮肥管理,氮肥过剩施用容易导致秸秆还田的玉米出现贪青晚熟的现象。鉴于此,本研究在全膜双垄沟播栽培方式下,探究秸秆还田条件下不同氮肥施用量和施用比例对土壤水、碳、氮量及作物产量的影响,利用通径分析更为精确详细地分析土壤微生物生物量碳、氮与土壤含水量、碳氮和酶活性间的相关关系,进一步揭示水、碳、氮耦合效应,并采用主成分分析法了解土壤因子与作物产量间的吻合性,为秸秆还田条件下氮素优化管理和高效节氮秸秆还田技术研发提供理论支撑。
1 材料与方法 1.1 试验地概况秸秆还田定位试验始于2016年10月,本试验于2019年5—10月在内蒙古清水河县农牧和科技局良种场秸秆定位试验地进行。试验地位于典型的黄土高原沟壑区,旱坡地占90% 以上,属中温带半干旱大陆性季风气候;降雨量365 mm,蒸发量2 577 mm,无霜期140 d,年平均气温7.1 ℃。试验期间降雨量和气温变化如图 1所示。试验前采集0 ~ 40 cm土层土样测定土壤肥力指标,结果见表 1,试验田为低等肥力水平。
|
图 1 试验期间降雨量和气温变化 Fig. 1 Changes in rainfall and temperature during experiment |
|
|
表 1 试验地0 ~ 40 cm土层土壤基础地力 Table 1 Basic fertility of 0–40 cm soil of tested field |
据调查,当地农户习惯施肥一般氮(N)、磷(P2O5)、钾(K2O)为225、150、75 kg/hm2,施用方法为部分氮肥和全部磷钾肥基施,剩余氮肥于拔节期至孕穗期追施,追施比例为1﹕2。根据前人研究结果[15-17],试验设置播种前(基施)、大喇叭口期为玉米最佳施氮时期,在此基础上,试验共设置5个处理,分别为:①氮肥习惯施用(FN);②氮肥习惯施用配合秸秆还田(FNS);③氮肥高量施用配合秸秆还田(HNS);④氮肥后肥前移施用(RN);⑤氮肥后肥前移施用配合秸秆还田(RNS),以氮肥习惯施用(FN)为对照,各处理小区面积均为96 m2(12 m×8 m),每个处理设置3次重复,随机区组排列。
氮肥习惯施用为基肥﹕大喇叭口肥=1﹕2,氮肥后肥前移施用为基肥﹕大喇叭口肥=1﹕1,基肥均匀抛散于田间,春季播种前随旋耕整地施入,大喇叭口肥用小型施肥罐随灌水追入,HNS处理尿素用量为N 270 kg/hm2,其余4个处理尿素用量为N 225 kg/hm2,所有处理过磷酸钙(P2O5 150 kg/hm2)和硫酸钾(K2O 75 kg/hm2)一次性基施。
玉米进入完熟期后,采用大型玉米收获机进行收获,同时将玉米秸秆粉碎(长度约为3 ~ 5 cm),并均匀抛散于田间;采用液压旋耕机进行旋耕作业,旋耕深度约为20 ~ 30 cm,可将秸秆翻埋至10 ~ 20 cm土层,并进行耙平,达到土壤深、松、平、碎、墒的状态,玉米秸秆还田带入养分折算为N 39.12 ~ 45.36 kg/hm2,P 5.4 ~ 6.8 kg/hm2,K 26.85 ~ 29.47 kg/hm2,还田量参考本地往年试验结果,为6 000 kg/hm2。
玉米2019年5月上旬播种,10月下旬收获,播种方式为全覆膜双垄沟播种植(图 2),垄高15 cm,小行距50 cm,大行距70 cm,株距30 cm,种植密度为52 500株/hm2,供试玉米品种为当地主栽品种种星618。其余田间管理方式均一致,并与当地农事习惯相符。
|
图 2 玉米垄膜沟植种植图 Fig. 2 Planting map of furrow-planted corn with ridge film |
在玉米成熟期采用土钻分别以0 ~ 10、10 ~ 20、20 ~ 40、40 ~ 60、60 ~ 80、80 ~ 100 cm共6个土层取土样,烘干法测定土壤含水量;同时,每个小区进行5点取样,分取0 ~ 20 cm和20 ~ 40 cm土层土样,去除表层杂质、装入灭菌自封袋混匀后带回实验室。将田间所取土样分两部分,一部分自然风干过1 mm筛,用于测定土壤养分,另一部分存放于4℃冰箱用于测定土壤酶活性和微生物生物量。土壤有机碳采用重铬酸钾容量法–稀释热法测定,全氮采用半微量凯氏定氮法测定[18];过氧化氢酶、脲酶、蔗糖酶、碱性磷酸酶活性分别采用高锰酸钾滴定法、靛酚蓝比色法、3, 5-二硝基水杨酸比色法、磷酸苯二钠比色法测定[19];微生物生物量碳、氮采用氯仿熏蒸K2SO4提取法进行测定。
在玉米成熟期每小区随机选10 m双行进行玉米产量测定,并按照14% 含水率进行折算。
1.4 数据处理采用Microsoft Excel 2016进行试验数据处理和统计图表绘制,采用SPSS 26.0进行方差分析(LSD法,P < 0.05水平)、相关性分析、主成分分析及通径分析。
氮肥偏生产力(kg/kg)=作物产量(kg/hm2)/氮肥施用量(kg/hm2)。
玉米产量与土壤因子吻合性分析的综合得分计算:采用主成分分析法,根据累积方差贡献率大于80%的原则,各土壤因子共提取到2个主成分F1和F2,根据主成分得分系数矩阵,土壤指标标准化后代入计算主成分F1和主成分F2得分,最后以各主成分的方差贡献率为权重,根据评价函数:F= 0.57287F1+ 0.410 47 F2,计算各处理综合得分并排序。
2 结果与分析 2.1 秸秆还田与氮肥运筹对土壤含水量的影响由表 2可见,0 ~ 100 cm土层各处理土壤含水量差异显著。FN、FNS、HNS、RN和RNS处理土壤含水量随着土层的加深,总体呈先下降再升高最后降低的多峰变化趋势。其中,0 ~ 20 cm土层土壤含水量逐渐降低,FNS、HNS、RNS处理与FN、RN处理差异明显,秸秆还田可减缓耕层土壤水分散失,减少无效蒸腾,增加土壤水分有效供应;FNS、HNS、RNS处理间差异不明显,FN和RN处理间差异不明显,表明氮肥施用量和施用比例对土壤含水量无影响。20 ~ 60 cm土层土壤含水量逐渐升高,FNS、HNS、RNS处理较FN、RN处理土壤含水量提升效果更明显,60 ~ 100 cm土层土壤含水量逐渐降低。FNS、HNS、RN和RNS处理0 ~ 100 cm土层土壤含水量较对照FN处理分别提高18.47%、17.73%、0.22% 和17.96%。秸秆还田可提高土壤含水量,保证作物的正常水分供应。
|
|
表 2 不同处理0 ~ 100土层土壤含水量(g/kg) Table 2 Soil moisture content in the 0 – 100 soil layer for different treatments |
由表 3可见,秸秆还田处理FNS、HNS、RNS与不还田处理FN和RN土壤有机碳含量差异显著,FN和RN处理间差异不显著,0 ~ 20 cm土层FNS、HNS、RNS处理较对照FN处理分别提高0.66%、1.16%和1.32%,20 ~ 40 cm土层FNS、HNS、RNS处理较对照FN处理分别提高0.55%、0.92% 和1.10%。各处理土壤全氮含量表现为0 ~ 20 cm土层大于20 ~ 40 cm土层,其中0 ~ 20 cm土层大小顺序为RNS>HNS>FNS>FN>RN,FNS、HNS、RNS处理较对照FN处理分别提高4.55%、10.61% 和13.64%。20 ~ 40 cm土层大小顺序为HNS>RNS>FNS>FN> RN,FNS、HNS、RNS处理较对照FN处理分别提高6.90%、17.24% 和13.79%,RN处理土壤全氮含量显著低于FN处理。0 ~ 40 cm土层土壤碳氮比总体表现秸秆不还田处理大于还田处理,秸秆还田结合氮肥较单一氮肥施用可降低土壤碳氮比。
|
|
表 3 不同处理0 ~ 40土层土壤碳氮含量 Table 3 Soil carbon and nitrogen contents under different treatments |
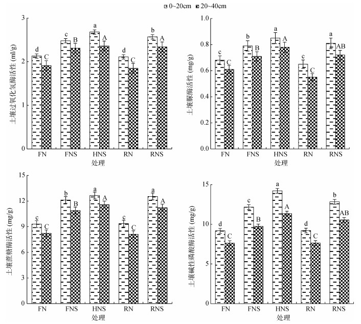
FN、FNS、HNS、RN、RNS处理土壤过氧化氢酶、脲酶、蔗糖酶和碱性磷酸酶活性均随土层加深呈降低态势(图 3),0 ~ 20 cm和20 ~ 40 cm土层土壤过氧化氢酶活性规律一致,变化范围分别为2.11 ~ 2.68、1.85 ~ 2.36 ml/g,大小顺序表现为HNS>RNS> FNS>FN>RN,均以HNS和RNS处理最大,相互间无明显差异,但均显著高于FN和RN处理。土壤脲酶与过氧化氢酶活性变化规律相同,0 ~ 20 cm和20 ~ 40 cm土层脲酶活性变化范围分别为0.68 ~ 0.85、0.61 ~ 0.78 mg/g,其中FNS、HNS、RNS处理较FN处理分别提高16.18%、25.00%、19.11% 和16.39%、27.87%、18.03%,FN和RN处理间无显著性差异。0 ~ 20 cm和20 ~ 40 cm土层蔗糖酶活性变化范围分别为9.31 ~ 12.65、8.12 ~ 11.59 mg/g,FN和RN处理间无明显差异,FNS、HNS、RNS处理较FN处理分别提高30.18%、35.87%、34.69% 和32.48%、40.99%、36.62%,HNS和RNS处理间无显著性差异,大小顺序表现为HNS≈RNS>FNS>RN>FN。0 ~ 20 cm和20 ~ 40 cm土层土壤碱性磷酸酶活性变化范围分别为9.18 ~ 14.22、7.63 ~ 11.35 mg/g,从大到小依次为HNS>RNS>FNS>RN>FN,FN和RN处理酶活性最小,且无显著性差异,FNS、HNS、RNS处理较FN处理分别提高32.57%、54.90%、39.87% 和27.65%、48.75%、38.40%。
|
(图中不同小写字母和大写字母分别代表 0 ~ 20 cm和20 ~ 40 cm土层不同处理间差异显著(P < 0.05)) 图 3 不同处理对土壤酶活性的影响 Fig. 3 Soil enzyme activities under different treatments |
由表 4可见,各处理土壤微生物生物量碳、氮呈现出一致性规律,0 ~ 20 cm和20 ~ 40 cm土层土壤微生物生物量碳含量变化范围分别为160.12 ~ 173.93、122.98 ~ 133.36 mg/kg,总体表现为RNS>HNS>FNS> FN>RN,以RNS处理最高,RN和FN处理间无显著性差异,秸秆还田处理FNS、HNS、RNS的0 ~ 20 cm和20 ~ 40 cm土层土壤微生物生物量碳含量较对照FN处理分别提高3.37%、5.97%、7.40%和2.60%、6.89%、7.63%。0 ~ 20 cm和20 ~ 40 cm土层土壤微生物生物量氮含量变化范围分别为16.54 ~ 21.96、15.12 ~ 20.08 mg/kg,总体表现为HNS>RNS>FNS>FN>RN,以HNS处理最高,RN处理最低,秸秆还田处理FNS、HNS、RNS的0 ~ 20 cm和20 ~ 40 cm土层土壤微生物生物量氮含量较对照FN处理分别提高18.07%、26.35%、26.24% 和19.90%、26.85%、26.41%。各处理0 ~ 20 cm和20 ~ 40 cm土层微生物生物量碳氮比的范围在7.81 ~ 9.68和6.60 ~ 8.13,秸秆还田与不还田处理间差异显著,秸秆还田配施氮肥各处理间差异不显著,均低于对照处理。
|
|
表 4 不同处理下土壤微生物生物量碳氮量 Table 4 Soil microbial biomass carbon and nitrogen under different treatments |
对土壤微生物生物量碳氮与土壤含水量、碳氮含量和酶活性进行相关性分析和通径分析,由表 5可见,土壤微生物生物量碳与有机碳含量呈显著正相关,与土壤含水量和全氮含量无显著相关性,与土壤过氧化氢酶、脲酶、蔗糖酶和碱性磷酸酶活性均表现出显著相关性。土壤微生物生物量氮与有机碳、全氮含量及4种酶活性均呈显著正相关,与土壤含水量也未表现出相关性。土壤微生物生物量与土壤含水量、碳氮含量和酶活性间关系复杂,本研究进一步以通径分析来说明它们之间的相互关系。土壤含水量对土壤微生物生物量碳、氮的直接正效应很大,但通过其他因子产生了强烈的负效应,两种作用相互影响,该因子的作用被完全抵消。土壤有机碳和全氮含量对土壤微生物量碳、氮的直接效应虽较小,但受其他因子的间接正效应的影响较大,均表现出显著正相关;土壤过氧化氢酶活性对微生物生物量碳、氮的直接负效应很大,但通过其他因子产生的间接正效应将其完全抵消,土壤微生物生物生物量碳、氮与过氧化氢酶活性呈显著正相关;土壤脲酶活性受其他因素影响作用被削弱,对微生物生物量碳的间接效应较小,但对微生物生物量氮的间接正效应较大;土壤碱性磷酸酶活性对土壤微生物生物量碳、氮的直接负效应很小,受其他因子的间接正效应影响很大,其间接正效应变大,其与土壤微生物生物量碳、氮呈显著正相关,过氧化氢酶、脲酶、碱性磷酸酶活性与土壤供氮能力相关。土壤蔗糖酶活性与微生物生物量碳呈显著正相关,蔗糖酶可促进土壤有机碳的分解和转化,同时还是土壤微生物生物量碳的首要影响因素,与土壤碳循环关系密切。从土壤理化性质和土壤酶活性对土壤微生物生物量碳、氮的间接通径系数来看,对土壤微生物生物量碳有较大影响的因素依次为过氧化氢酶、有机碳、蔗糖酶;对土壤微生物生物量氮有较大影响的因素依次为过氧化氢酶、有机碳、碱性磷酸酶、全氮和脲酶。由此可见,土壤微生物生物量碳、氮含量的高低不仅被其他土壤因子直接影响,还通过相互之间的作用间接调控土壤微生物生物量碳和氮。
|
|
表 5 土壤微生物生物量与理化性质及酶活性之间相关分析和通径分析 Table 5 Correlation analysis and path analysis between soil microbial biomass and physicochemical properties and enzyme activities |
由表 6可见,秸秆还田配施氮肥可显著提高玉米产量,各处理玉米产量顺序从大到小依次为RNS> HNS>FNS>FN>RN,秸秆还田处理FNS、HNS、RNS较对照处理FN分别提高5.30%、10.93%、11.41%,以氮肥后肥前移施用配合秸秆还田处理(RNS)产量提升幅度最大,不还田处理RN产量较对照处理FN有所降低,但差异未达显著水平。各处理氮肥偏生产力顺序从大到小依次为RNS>FNS>FN>RN>HNS,氮肥的常量投入即可获得较高的氮肥偏生产力。将土壤含水量、碳氮含量、酶活性和微生物生物量进行主成分分析综合得分,各处理综合得分大小顺序为RNS>HNS>FNS>FN>RN,与玉米产量吻合,其中RNS处理综合得分最高。秸秆还田条件下氮肥后肥前移同样可满足玉米高产稳产的生产要求。
|
|
表 6 各处理间玉米产量及综合得分 Table 6 Corn yields and comprehensive scores under different treatments |
秸秆还田增施氮肥是实现秸秆高效资源化、加速秸秆分解与养分释放、平衡土壤碳氮收支及培肥增产的有效措施[20]。本试验在往年秸秆翻耕还田基础上[21-22],结合本区域已成熟且推广应用的全膜垄沟栽培技术继续开展氮肥运筹试验,结果表明,秸秆还田与地膜覆盖结合处理(FNS、HNS、RNS)较单一地膜覆盖处理(FN、RN)提高了土壤含水量,二者的协同效应提高了土壤保水增墒能力,降低了田间水分蒸腾散失,同时为秸秆腐解营造了良好土壤水热环境。这与杨封科等[23]在甘肃黄土高原旱作土壤探究秸秆还田与全膜覆盖的响应关系中得出的结论类似。
氮素运移和调控直接决定还田秸秆的分解与养分释放速率[24]。前人大量研究表明,秸秆不还田保证氮肥总量不变的前提下,通过氮肥后移,调整基追比例,重视追肥和后肥,增加作物生育中后期氮肥用量,可协调作物整个生育期对氮素的需求和优化氮素供应。然而秸秆还田条件下,一方面考虑作物生育前期土壤中秸秆对部分氮素的争夺;另一方面随着土壤中微生物对秸秆的逐步分解,秸秆中的养分也逐渐释放可以被作物吸收利用,即秸秆可以作为作物后期生长所需的氮源[25]。本研究表明,秸秆还田玉米田氮肥后肥前移后,耕层土壤有机碳和全氮含量显著提高,土壤碳氮比降低,且提升效果优于氮肥习惯施用配合秸秆还田。通过后肥前移秸秆还田,前期氮素供应增多,增强了微生物的代谢活性,土壤有机碳、氮的正激发效应增强,有利于养分的转化和有机碳的分解,从而提高了土壤碳氮含量。由于氮肥后肥前移,玉米生育前期氮素投入增多,秸秆还田的玉米田土壤无机碳氮固持增加,中后期秸秆矿化分解后释放大量碳素和氮素,为微生物的代谢与繁育提供了足够的能源物质,显著提高了土壤微生物生物量碳氮,且秸秆还田与氮肥配施明显降低了化肥对微生物的抑制作用。本研究表明,不同处理间土壤酶活性变化规律与微生物生物量一致,氮肥后肥前移土壤过氧化氢酶、脲酶、蔗糖酶和碱性磷酸酶活性可以达到高量氮肥施用水平,土壤酶与土壤微生物相互依存和作用,秸秆作为外源碳介入农田土壤,土壤酶来源增多,酶促反应底物增加,且土壤微生物可利用碳源增加及其生存环境得以改善,从而使得土壤酶活性、微生物状况得以改善。另外,本研究发现0 ~ 20 cm土层土壤碳氮、微生物生物量碳氮含量和酶活性均大于20 ~ 40 cm土层,即秸秆还田增加的土壤有机物质主要向土壤表层聚集,这与李秀等[26]和罗珠珠等[27]研究结果一致,这可能是土壤中微生物生命活动产生的热以及地膜和表层土的保温作用提高了土壤温度,浅层秸秆矿化速率和养分释放更快。
本研究中,相关分析和通径分析表明,对土壤微生物生物量碳有较大影响的因素依次为过氧化氢酶、有机碳、蔗糖酶,对土壤微生物生物量氮有较大影响的因素依次为过氧化氢酶、有机碳、碱性磷酸酶、全氮和脲酶。过氧化氢酶与有机碳转化和腐殖质形成相关,蔗糖酶与土壤碳循环相关,脲酶和碱性磷酸酶与土壤供氮能力和养分提升相关。土壤酶与土壤微生物之间相互依存和作用,且随着酶活性和微生物生物量的提高,土壤有机碳氮的积累量增加,加速了土壤养分转化循环,有利于土壤肥力的提高。土壤含水量虽未与土壤碳氮含量、酶活性和微生物生物量表现出显著相关性,但秸秆还田后土壤含水量提高,水热环境得到改善,水肥耦合效应提升明显,加速了土壤养分循环,间接增强了土壤碳氮耦合效果,最终实现了秸秆还田氮肥前移后土壤水–碳–氮耦合效果的总体提升。
作物产量作为土壤生产力的综合反映,秸秆还田后玉米产量显著提高,可能是由于土壤水、碳、氮含量的综合提升,土壤水分和养分供应充足,提高了作物产量,契合了“有收无收在于水,多收少收在于肥”这一传统说法。氮肥前移玉米产量优于当地习惯氮肥施用,且可以达到高量氮肥施用水平,而提高氮肥用量玉米增产效果反而不明显,这可能是过量施氮,土壤氮素盈余导致玉米贪青晚熟,影响了产量形成,这与丛日环等[28]观点类似。
4 结论秸秆还田与氮肥运筹对土壤水、碳、氮量及作物产量影响显著,秸秆还田处理0 ~ 100 cm土层土壤含水量显著高于不还田处理,秸秆还田配施氮肥可显著增加0 ~ 40 cm土层土壤碳氮积累,提高土壤酶活性和微生物生物量碳、氮,且0 ~ 20 cm土层高于20 ~ 40 cm土层,其中以氮肥后肥前移施用配合秸秆还田和高量氮肥施用配合秸秆还田处理提升效果最显著。在产量和氮肥利用率方面,氮肥后肥前移施用配合秸秆还田处理玉米产量优于氮肥习惯施用配合秸秆还田处理,且可达到高量氮肥配施水平,氮肥的常量投入即可获得较高的氮肥偏生产力。本研究推荐氮肥N 225 kg/hm2(基肥﹕大喇叭口肥=1﹕1)为内蒙古黄土高原秸秆还田节氮、稳产、增效氮素施用方式。
| [1] |
宋大利, 侯胜鹏, 王秀斌, 等. 中国秸秆养分资源数量及替代化肥潜力[J]. 植物营养与肥料学报, 2018, 24(1): 1-21 ( 0) |
| [2] |
Li H, Dai M W, Dai S L, et al. Current status and environment impact of direct straw return in China's cropland—A review[J]. Ecotoxicology and Environmental Safety, 2018, 159: 293-300 DOI:10.1016/j.ecoenv.2018.05.014 ( 0) |
| [3] |
Hu N J, Wang B J, Gu Z H, et al. Effects of different straw returning modes on greenhouse gas emissions and crop yields in a rice-wheat rotation system[J]. Agriculture, Ecosystems & Environment, 2016, 223: 115-122 ( 0) |
| [4] |
闫洪亮, 李盖. 干旱半干旱地区秸秆还田研究进展[J]. 现代农业, 2015(6): 31-32 ( 0) |
| [5] |
刘广才, 杨祁峰, 段禳全, 等. 甘肃发展旱地全膜双垄沟播技术的主要模式[J]. 农业现代化研究, 2008, 29(5): 629-632 DOI:10.3969/j.issn.1000-0275.2008.05.029 ( 0) |
| [6] |
孙梦媛, 刘景辉, 赵宝平, 等. 全覆膜垄作种植对旱作马铃薯生长和土壤特性的影响[J]. 水土保持学报, 2018, 32(5): 262-269, 276 ( 0) |
| [7] |
Ghimire R, Adhikari K R, Chen Z S, et al. Soil organic carbon sequestration as affected by tillage, crop residue, and nitrogen application in rice-wheat rotation system[J]. Paddy and Water Environment, 2012, 10(2): 95-102 DOI:10.1007/s10333-011-0268-0 ( 0) |
| [8] |
李录久, 王家嘉, 吴萍萍, 等. 秸秆还田下氮肥运筹对白土田水稻产量和氮吸收利用的影响[J]. 植物营养与肥料学报, 2016, 22(1): 254-262 ( 0) |
| [9] |
汪军, 王德建, 张刚, 等. 连续全量秸秆还田与氮肥用量对农田土壤养分的影响[J]. 水土保持学报, 2010, 24(5): 40-44, 62 ( 0) |
| [10] |
赵亚丽, 于淑婷, 穆心愿, 等. 深耕加秸秆还田下施氮量对土壤碳氮比、玉米产量及氮效率的影响[J]. 河南农业科学, 2016, 45(10): 50-54 ( 0) |
| [11] |
Bennett A E, Grussu D, Kam J, et al. Plant lignin content altered by soil microbial community[J]. New Phytologist, 2015, 206(1): 166-174 DOI:10.1111/nph.13171 ( 0) |
| [12] |
李录久, 吴萍萍, 耿言安, 等. 秸秆还田结合氮肥运筹管理对白土稻田土壤理化性状的影响[J]. 植物营养与肥料学报, 2016, 22(5): 1259-1266 ( 0) |
| [13] |
卫婷, 韩丽娜, 韩清芳, 等. 有机培肥对旱地土壤养分有效性和酶活性的影响[J]. 植物营养与肥料学报, 2012, 18(3): 611-620 ( 0) |
| [14] |
戴志刚, 鲁剑巍, 李小坤, 等. 不同作物还田秸秆的养分释放特征试验[J]. 农业工程学报, 2010, 26(6): 272-276 DOI:10.3969/j.issn.1002-6819.2010.06.047 ( 0) |
| [15] |
李二珍, 靳存旺, 闫洪, 等. 氮肥分次施用比例对春玉米光合速率及产量的影响[J]. 中国土壤与肥料, 2017(5): 12-16 ( 0) |
| [16] |
张建军, 樊廷录, 党翼, 等. 密度与氮肥运筹对陇东旱塬全膜双垄沟播春玉米产量及生理指标的影响[J]. 中国农业科学, 2015, 48(22): 4574-4584 DOI:10.3864/j.issn.0578-1752.2015.22.017 ( 0) |
| [17] |
鱼欢, 杨改河, 王之杰. 不同施氮量及基追比例对玉米冠层生理性状和产量的影响[J]. 植物营养与肥料学报, 2010, 16(2): 266-273 ( 0) |
| [18] |
鲁如坤. 土壤农业化学分析方法[M].
中国农业科技出版社, 北京, 2000: 1-329
( 0) |
| [19] |
关松荫. 土壤酶及其研究法[M].
农业出版社, 北京, 1986: 274-328
( 0) |
| [20] |
杨滨娟, 钱海燕, 黄国勤, 等. 秸秆还田及其研究进展[J]. 农学学报, 2012, 2(5): 1-4, 28 DOI:10.3969/j.issn.1007-7774.2012.05.001 ( 0) |
| [21] |
刁生鹏, 高日平, 高宇, 等. 内蒙古黄土高原秸秆还田对玉米农田土壤水热状况及产量的影响[J]. 作物杂志, 2019(6): 83-89 ( 0) |
| [22] |
高日平, 赵思华, 高宇, 等. 内蒙古黄土高原秸秆还田对土壤养分特性及玉米产量的影响[J]. 北方农业学报, 2019, 47(4): 52-56 DOI:10.3969/j.issn.2096-1197.2019.04.09 ( 0) |
| [23] |
杨封科, 何宝林, 张国平, 等. 膜下秸秆还田添加腐解剂对旱地土壤碳氮积累及土壤肥力性状的影响[J]. 草业学报, 2019, 28(9): 67-76 ( 0) |
| [24] |
侯贤清, 李荣, 吴鹏年, 等. 秸秆还田配施氮肥对土壤碳氮含量与玉米生长的影响[J]. 农业机械学报, 2018, 49(9): 238-246 ( 0) |
| [25] |
张维乐, 戴志刚, 任涛, 等. 不同水旱轮作体系秸秆还田与氮肥运筹对作物产量及养分吸收利用的影响[J]. 中国农业科学, 2016, 49(7): 1254-1266 ( 0) |
| [26] |
李秀, 韩佳乐, 吴文雪, 等. 秸秆还田方式对关中盆地土壤微生物量碳氮和冬小麦产量的影响[J]. 水土保持学报, 2018, 32(4): 170-176 ( 0) |
| [27] |
罗珠珠, 黄高宝, 张仁陟, 等. 长期保护性耕作对黄土高原旱地土壤肥力质量的影响[J]. 中国生态农业学报, 2010, 18(3): 458-464 ( 0) |
| [28] |
丛日环, 张智, 刘秋霞, 等. 水稻秸秆还田条件下氮肥前移效果初探[J]. 湖北农业科学, 2014, 53(10): 2261-2263 DOI:10.3969/j.issn.0439-8114.2014.10.008 ( 0) |
2. College of Agronomy, Inner Mongolia Agricultural University, Hohhot 010019, China;
3. Inner Mongolia Key Laboratory of Dryland Farming, Hohhot 010031, China;
4. Science Observing and Experimental Station of Arable Land Conservation Inner Mongolia, Ministry of Agriculture and Rural Affairs, Hohhot, 011705, China
2021, Vol. 53



0)