2. 中国热带农业科学院环境与植物保护研究所, 海口 571101;
3. 广西农业科学院园艺研究所荔枝龙眼研究室, 南宁 530007;
4. 广西农业科学院微生物研究所, 南宁 530007
荔枝(Litchi chinensis Sonn.)果实色泽鲜艳、肉质细嫩多汁,素有“岭南果王”之美称。我国是荔枝的原产国,截至2017年,荔枝种植面积和产量均占世界的65% 以上[1],主要分布于广东、广西、海南等省区[2],对当地农村经济发展及农民增收具有重要作用。然而,由于果农盲目追求早产高产,忽视荔枝园综合养分管理,导致荔枝园普遍存在土壤板结、营养失衡、肥料利用率下降及酸碱度失衡等一系列问题[3-4],不仅降低经济效益,也造成环境危害,甚至由于经济效益降低,广西、广东荔枝生产面积分别减少9.05% 和3.45%[5]。农业农村部“双减”计划提出,有机肥和化肥配施是解决化肥使用过量问题的重要措施,其中生物有机肥集有机肥和功能微生物为一体,与化肥配施时起到“四两拨千斤”的作用,在改良土壤、提高作物产量、改善品质等方面作用显著[6-7]。魏晓兰等[8]发现,在减化肥25% 范围内配施等量生物有机肥不仅提高土壤肥力及小白菜产量,还能一定程度提高肥料利用率;陶磊等[9]、宋以玲等[10]和赵满兴等[11]也发现,在化肥减量20% ~ 40% 或10% ~ 30% 情况下,配施生物有机肥可以改善土壤微生物区系结构、提高土壤酶活性、改善土壤根际环境、提高根系活力,实现养地、增产、提质。可见,利用生物有机肥替代部分化肥的方式是实现化肥减量增效的重要途径。本文在综合考虑荔枝养分投入与带走量的基础上,开展不同种类及用量的有机肥田间试验,通过综合评价产量品质及经济效益,为荔枝合理减施化肥、提质增效与可持续发展提供理论依据。
1 材料与方法 1.1 荔枝养分管理调查 1.1.1 果园施肥现状调查广东省和广西壮族自治区是我国荔枝栽培面积最大的两个省份[5],海南省则是早熟荔枝的重要产地。针对荔枝主产区进行施肥现状调查,调查区域位于广东省东莞市、广西壮族自治区的贵港市、桂平市、北流市、玉林市、钦州市、南宁市以及海南省海口市、澄迈县、儋州市等,分别选取22个有代表性的“妃子笑”荔枝园(调查果园的种植面积均在30亩以上)进行施肥现状调查。
1.1.2 荔枝养分带走量调查海南省琼山区大坡镇东昌农场(20°00′31″N、110°35′41″E)早熟荔枝栽培面积约200亩(1亩=667 m2),栽培品种为“妃子笑”,树龄19 a,株行距4 m×5 m,每667 m2种植约36株。选择3株长势相对一致、具有代表性的妃子笑荔枝树进行养分带走量测定。2018年5月10日进行整株果实采收并记录产量,6月8日进行修剪,记录修剪枝和修剪叶鲜重。每棵树随机选取20个果实样品,采用四分法采集枝条和叶片样品。将植株样品用去离子水洗净,于105 ℃杀青30 min,在70 ℃下烘至恒重,称取干物质量,研磨后放置自封袋中。采用H2SO4-H2O2法消煮植株后用流动分析仪(德国seal公司)测定植株N含量[12];采用浓硝酸-高氯酸(4:1)消煮,ICP-OES710(电感耦合等离子体发射光谱仪)测定P、K含量,用标准物质GBW07603控制测试质量。
1.2 试验地概况海南省琼山区大坡镇东昌农场土壤类型为赤红壤,壤质黏土,行间土壤(0 ~ 30 cm)基本性质如下:pH 4.91,有机质38.32 g/kg,铵态氮5.57 mg/kg,硝态氮16.93 mg/kg,有效磷38.71 mg/kg,速效钾71.60 mg/kg,有效钙277.17 mg/kg,有效镁34.21 mg/kg。
1.3 试验设计在对该园施肥调查的基础上设置6个处理:①不施肥处理(CK,空白);②单施化肥,即常规施肥(CF,对照);③化肥减量30% 配施5 kg/株羊粪有机肥(OF5);④化肥减量30% 配施10 kg/株羊粪有机肥(OF10);⑤化肥减量30% 配施5 kg/株生物有机肥(BIO5);⑥化肥减量30% 配施10 kg/株生物有机肥(BIO10)。有机肥施用量约合2 700 kg/hm2和5 400 kg/hm2。其中,不施肥处理(CK)仅进行测产用于计算肥料利用率及效益。选取长势基本一致的6行荔枝树,每个处理6株树,每2株为一个重复,共3个重复。
整个生育期内荔枝共施肥3次,依次为采后基肥(2018年6月)、坐果肥(2019年3月)和壮果肥(2019年4月),其中有机肥作基肥一次性施入。果农常规施肥(CF)中,基肥采用22-7-11复合肥1.6 kg/株、26-8-19复合肥0.5 kg/株,各有机肥处理中施用22-7-11复合肥1 kg/株,化肥及有机肥处理均施用钙镁磷肥1 kg/株。所有处理坐果肥和壮果肥均施用高钾复合肥(15-5-30)1 kg/株和硫酸钾镁肥0.5 kg/株。基肥采用条施法在树体一侧距树干120 cm处开沟(长50 cm、深30 cm、宽20 cm),施肥时将肥料与挖出的土壤混匀后一并填埋入沟。壮果肥则根据当地习惯施肥方法水溶后绕树体均匀淋施。
供试商品有机肥(羊粪有机肥)购于当地农资部门,pH为9.3,含N 12.2 g/kg、P2O5 14.9 g/kg、K2O 16.7 g/kg,有机质含量186.7 g/kg;生物有机肥为南京农业大学自主研发的促生生物有机肥(江苏联业肥料有限公司生产),以腐熟有机肥接种解淀粉芽孢杆菌SQR9二次发酵而成,含解淀粉芽孢杆菌SQR9菌落数为1×108 cfu/g,pH为6.6,含N 25.9 g/kg、P2O5 39.5 g/kg、K2O 17.8 g/kg,有机质含量404.1 g/kg。各处理养分投入量见表 1。
|
|
表 1 不同处理下有机肥和化肥中养分投入量及配比 Table 1 Nutrient amounts and ratios of organic and inorganic fertilizers in different treatments |
于2018年11月4日在各个植株东、南、西、北4个方位选取12条形状完好、长势均一的荔枝新梢,在一蓬梢结节处以下第3复叶处取第二小叶,每个方位各取10片叶,每个处理共计240片,从中选取100片叶测定百叶重,20片叶测定相对叶绿素含量,新梢结节处测定梢粗。新梢抽生处至一蓬梢结节为一蓬梢长度,一蓬梢结节至新梢顶端为末次梢长度,测定梢长。梢长使用钢卷尺测量;梢粗使用游标卡尺测量;叶片叶绿素含量使用手持式SPAD仪(KONICA MINOLTA SPAD-502 Plus)测定。
1.4.2 荔枝叶片养分测定分别在荔枝一蓬梢期(2018年8月8日)、二蓬梢期(2018年11月4日)、末次梢期(2018年12月29日)、果实成熟期(2019年5月11日采果当天)采集叶片,共计4次。每株树采集8个方位上枝条生长点以下第二复叶第二小叶,合计10 ~ 15片叶,每2株树为一个混合样。叶片养分测定方法同1.1.2。
1.4.3 果实产量品质指标测定于2019年5月11日(果实成熟期)在每株树东、南、西、北4个方位共采集20个均匀一致的果实,每个处理随机取50颗果实测定品质,根据株产换算成每公顷产量。可溶性固形物含量采用PAL-1型电子折光仪(日本ATAGO公司)测定;可溶性糖含量采用蒽酮比色法测定[13];可滴定酸含量采用氢氧化钠滴定法测定;还原型维生素C采用2, 6-二氯靛酚滴定法测定[14]。同时,用游标卡尺测定荔枝果实的纵径(cm)和横径(cm),每个处理测定20个果实及果肉重量,得到平均单果重及可食率。
1.5 数据处理 1.5.1 养分带走量荔枝养分带走量=荔枝果实养分吸收量+荔枝修剪叶养分吸收量+荔枝修剪枝养分吸收量
荔枝果实养分吸收量=荔枝果实养分含量×果实干物质量
荔枝修剪叶养分吸收量及荔枝修剪枝养分吸收量公式同果实养分吸收量。
1.5.2 肥料利用率通过以下公式计算作物氮(N)、磷(P2O5)、钾(K2O)的肥料利用效率,参数计算公式如下[15-17]:
氮(磷、钾)肥偏生产力(kg/kg)=荔枝产量/总氮(磷、钾)素施用量;
氮(磷、钾)肥农学效率(kg/kg)=(施氮(磷、钾)肥区产量-不施氮(磷、钾)肥区产量)/总氮(磷、钾)素施用量;
增产率(%)=(施肥区荔枝产量-不施肥区荔枝产量)/不施肥区荔枝产量。
1.5.3 荔枝经济效益产值(万元/hm2)=产量(t/hm2)×单价(元/kg)×1 000/10 000;
收益(万元/hm2)=产值(万元/hm2)-投入(万元/hm2);
式中:由于各处理田间管理一致,管理费用相当,此处只考虑肥料投入成本。生物有机肥1 800元/t;羊粪有机肥800元/t;22-7-11复合肥、26-8-19复合肥、15-5-30复合肥、硫酸钾镁肥及钙镁磷肥市场价格分别为7 250、6 250、6 250、5 500和2 800元/t。
1.5.4 数据分析采用Excel 2007、Oringin 2018进行数据处理、绘制图表和统计分析,采用SPSS 25.0进行单因素方差分析,差异显著性分析用Duncan法(P < 0.05)。
2 结果与分析 2.1 荔枝园养分投入与带走量调查广东、广西及海南3省(自治区)化肥和有机肥投入的N、P、K养分量如图 1A所示,3省(自治区)化肥和有机肥养分投入总量为N 265.17 kg/hm2、P2O5 186.00 kg/hm2、K2O 232.96 kg/hm2,其中化肥养分投入量分别为N 189.78 kg/hm2、P2O5 132.75 kg/hm2、K2O 200.64 kg/hm2,有机肥养分投入量分别为N 75.38 kg/hm2、P2O5 53.25 kg/hm2、K2O 32.32 kg/hm2。整体来看,3省养分投入均以化肥养分为主,有机肥养分投入量较少。由图 1B可知,不同器官干物质年积累大小顺序为采收果 > 修剪叶 > 修剪枝,果实、修剪叶及修剪枝中养分总积累量依次为N > K > Ca > Mg > P。其中,N带走量最大,K、Ca带走量分别是N的89% 和56%;Mg和P带走量是N的17% 和10%。
|
图 1 调查各果园的氮磷钾养分投入量(A)和荔枝不同器官年干物质积累量及养分带走量(B) Fig. 1 Nitrogen, phosphorus, potassium inputs of orchard surveyed (A), annual dry matter accumulation and nutrient removal of different organs of litchi (B) |
如图 2A~2C所示,化肥减量配施不同有机肥对荔枝梢生长有不同影响,OF5处理一蓬梢长度显著大于CF处理,其余有机肥处理与CF处理无显著差异;OF10处理二蓬梢长度显著低于CF处理,而其余有机肥处理与CF处理无显著差异;OF5处理总梢长最大,但各处理间无显著差异。如图 3D~3E所示,CF处理梢粗百叶鲜物质量均显著高于化肥减量配施有机肥处理,且OF5处理梢粗显著大于BIO5处理,各有机肥处理百叶鲜物质量之间无显著性差异。对于新梢叶SPAD值,OF5处理显著高于CF处理和OF10处理,其余有机肥处理SPAD值也有高于CF处理的趋势(图 3F)。综上所述,化肥处理在生长初期肥效更直接,但减施化肥并未对荔枝梢期生长产生显著影响。
|
(图中小写字母不同表示处理间的差异显著(Duncan检验,P < 0.05),下同) 图 2 不同施肥处理对荔枝生长的影响 Fig. 2 Litchi growth traits under different fertilization treatments |
|
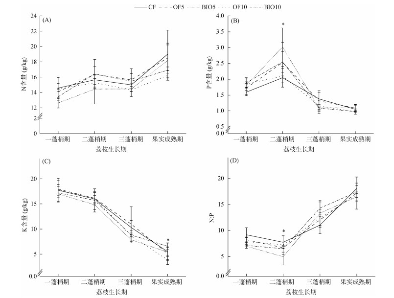
(图中* 表示处理间存在显著差异(P < 0.05)) 图 3 不同施肥处理对荔枝叶片养分含量(A、B、C)及N: P(D)的影响 Fig. 3 Nutrient contents (A, B, C) and nitrogen phosphorus ratios (D) of litchi leaves under different fertilization treatments |
如图 3A~3C所示,荔枝叶片中各时期养分含量为N > K > P,从梢期到果实成熟期,叶片N含量始终保持较高水平,而P、K呈现下降趋势。各时期叶片N含量虽与CF处理均无显著性差异,但在一蓬梢时期,CF处理叶片N含量有高于各有机肥处理的趋势,而二蓬梢及末次梢时期,均表现出OF5处理与BIO10处理叶片N含量高于CF处理的趋势。在果实成熟期,由于壮果肥的施入,各处理叶片N含量均维持较高水平,但OF10与BIO10处理叶片N含量有低于化肥处理的趋势。在二蓬梢期,BIO5处理叶片P含量显著高于化肥处理,其余时期有机肥处理叶片P含量与CF处理相比无显著性差异。各时期有机肥处理叶片K含量与CF处理相比均无显著性差异,但在一、二蓬梢期,OF5、OF10处理叶片K含量均有高于CF处理的趋势。叶片N: P趋势在梢期与叶片N含量趋势一致,在果实成熟期,与叶片P含量趋势一致(图 3D)。综上,在减施化肥30% 情况下,配施有机肥对荔枝营养生长并无显著影响。
2.4 减施化肥增施有机肥对荔枝产量及品质的影响 2.4.1 减施化肥增施有机肥对荔枝外观品质及单株平均产量的影响如图 4A所示,BIO5、OF10以及BIO10处理下荔枝单株平均产量均显著高于CF处理,其单株平均产量分别达到81.27、76.23、66.37 kg,相比CF处理增幅分别为44.77%、35.81%、18.23%;OF5处理单株平均产量与CF处理无显著性差异。如图 4B~4D所示,有机肥BIO5处理平均单果重和纵径数值均最大,OF10处理横径数值最大,但各处理间未达到显著性差异。就单株总产量及平均单果重,施用生物有机肥5 kg效果最佳。
|
图 4 不同施肥处理对荔枝外观品质及单株平均产量的影响 Fig. 4 Litchi appearance qualities and average yields per plant under different fertilization treatments |
如表 2所示,各施肥处理中,BIO5处理可溶性固形物含量最高,OF5处理次之,分别为187.7、186.6 g/kg;OF5处理可食率最高,BIO10处理Vc含量最高,各处理间无显著性差异。可溶性糖含量表现为BIO5处理与BIO10处理显著高于CF处理,含量分别达到185.7、177.9 g/kg,相比CF处理分别提高21.85%、16.73%。可滴定酸含量表现为有机肥处理低于化肥处理,呈现出随有机肥施用量增加而降低的趋势。各有机肥处理糖酸比有高于化肥处理的趋势,且BIO10处理显著高于CF处理,比CF处理高出67.60%。
|
|
表 2 不同施肥处理对荔枝品质指标的影响 Table 2 Quality indicators of litchi under different fertilization treatments |
将荔枝的单株产量、单果重、可溶性固形物、可食率、纵径、横径、维生素C(Vc)、可溶性糖、可滴定酸、糖酸比作为荔枝的产量指标和品质指标去量纲化绘制雷达图(图 5),以雷达图的平均面积和平均周长构建评价函数进行综合评价(表 3),评价函数结果Y值越高,则产量与品质综合评价越好,方法参照文献[18-19]。由雷达图可以看出,BIO5处理在总产量、单果重、可溶性固形物以及可溶性糖含量4项指标表现最好,除可滴定酸指标较低外,其余指标表现为中等偏上。BIO10处理各指标表现较好且均匀,OF10处理各项指标表现为中等偏上但优势不突出。OF5处理除在可食率、横径以及Vc 3个指标优势明显外,其余指标表现为中等偏下。CF处理除在Vc上表现较好,其余各指标均表现一般,且可溶性糖含量和可滴定酸指标均表现最差。通过综合评价函数得到的各个处理的产量和品质综合评价结果排序为:BIO5 > BIO10 > CF > OF10 > OF5(表 3)。BIO5处理与BIO10处理Y值高达1.90和1.82,其余3个处理Y值差异不大,且BIO5处理平均面积与Vx值均较大,表明其综合表现较为突出,各指标协调性也较好。
|
图 5 荔枝产量及品质评价指标雷达图 Fig. 5 Radar chart of evaluation indicators of litchi yield and quality |
|
|
表 3 荔枝产量指标和品质指标综合评价结果 Table 3 Comprehensive evaluation results of indicators of litchi yield and quality |
肥料利用效率体现了作物对于肥料的吸收利用情况,而养分偏生产力是肥料利用率最简单的表达方法。如表 4所示,与CF处理相比,OF5和OF10两种普通商品有机肥处理的氮肥偏生产力分别增加了37.85、66.44 kg/kg,氮肥农学效率分别增加了0.48、43.51 kg/kg;BIO5和BIO10两种生物有机肥处理的氮肥偏生产力分别增加了67.91、10.68 kg/kg,氮肥农学效率分别增加了50.44、14.87 kg/kg,各有机肥处理的氮肥偏生产力和氮肥农学效率均显著高于化肥处理(OF5处理氮肥偏生产力除外),综上,BIO5处理氮肥利用率最高,OF10处理次之。与CF处理相比,BIO5处理磷肥偏生产力、磷肥农学效率分别提高了74.77、105.57 kg/kg,显著高于其他处理,OF10处理的磷肥偏生产力、磷肥农学效率分别提高了17.59、71.82 kg/kg,仅次于BIO5处理。从钾肥利用率来讲,BIO5处理的钾肥偏生产力和钾肥农学效率均显著高于其他处理,与磷肥利用率一致。不同施肥处理肥料增产率排序与钾肥利用率排序一致,BIO5处理及OF10处理分别为61.02%、51.05%,OF5处理略低于CF处理。
|
|
表 4 不同施肥处理对荔枝肥料利用率的影响 Table 4 Fertilizer efficiencies of litchi under different fertilization treatments |
如表 5所示,不同施肥处理下,成本投入和效益明显不同。BIO5、OF10与CF处理相比,投入略高但收益却显著提高,达到51.20、47.94万元/hm2,与CK处理相比,收益增幅高达56.62%、46.65%。BIO10处理收益显著高于OF5处理和CF处理,与CK处理相比,收益增幅为25.77%。OF5处理收益略低于CF处理,但未达到显著差异,且投入低于CF处理。与CK处理相比,OF5处理与CF处理收益增幅分别为4.82%、6.89%。不同施肥处理的产投比排序为BIO5 > OF10 > OF5 > CF > BIO10,OF5处理产投比仅次于BIO5处理、OF10处理。
|
|
表 5 不同施肥处理对荔枝经济效益的影响 Table 5 Economic benefits of litchi under different fertilizer treatments |
化肥配施有机肥能提高土壤养分有效性,保证作物整个生育期对养分的需求[20]。本研究中,我们发现减施化肥配施有机肥处理有助于荔枝叶片中叶绿素产生和积累,且生物有机肥处理叶绿素含量高于普通商品有机肥处理,与陈乃祥等[21]、刘拴成[22]和赵满兴等[23]在西瓜、马铃薯、烟草上研究结果相似。减施30% 化肥后,配施不同用量有机肥不仅不会减缓荔枝树体生长(图 2A~2C),还能一定程度提高树体养分含量(图 3A),与梨、葡萄、苹果、蜜柚上的研究结果一致[24-27]。梢期是积累养分的重要阶段,高产妃子笑荔枝末次梢老熟期叶片中矿质元素适宜含量为N 19.7 ~ 22.0 g/kg,P 1.69 ~ 1.95 g/kg,K 10.8 ~ 12.7 g/kg[28]。荔枝不同物候期叶片养分需求不同,各个生育阶段N、P、K的需求量依次为N > K > P[29],叶片中N、P水平均在花叶分化期达到最高水平,而K素营养在末次梢老期达到最高水平,采果后,P、K含量降低,而N素含量始终维持较高水平[30]。本研究各处理N、P、K养分配比均属正常水平,末次梢时期荔枝叶片N素含量处于适宜含量范围,而P、K元素含量均偏低,且末次梢N、P钾养分水平低于二蓬梢期,可能由于秋梢尚未达到老熟,养分积累还未达到最高。果实成熟期时有机肥处理P、K元素含量低于化肥处理可能由于产量增多而导致更多P、K元素转移到果实中[31]。叶片N: P被认为是评价植物N、P限制特征的信息[32],当植物N: P < 14时,生长受到N限制;植物N: P > 16时,生长受到P限制;植物N: P处于14和16之间时,植物生长无明确的N、P限制[33]。本研究中,一、二蓬梢期N: P < 14,此时N素限制植物生长,是荔枝利用基肥中养分进行营养生长的时期。末次梢期N: P > 16,此时高N基肥中大量N素满足供应,P素相对较低,供应较慢。果实成熟期N: P > 16,此时受P素限制,是由于大量P素转移到果实,各时期养分供应均符合荔枝生理需要。综上,减施化肥配施不同用量有机肥与单施化肥相比,荔枝枝梢生长并未受到显著影响。各有机肥处理树体养分变化趋势符合荔枝生长规律,养分含量与化肥处理相比不但未降低,一定程度上还有所提高。
3.2 减施化肥配施适宜用量有机肥能够在稳产基础上提高品质前人研究表明,施用有机肥对改善土壤肥力、实现果树高产发挥着重要作用,而有机肥与化肥配施的施肥模式增产效果优于单施化肥或有机肥[34-35]。在本研究中,减施30% 化肥,配施5 kg生物有机肥、10 kg生物有机肥、10 kg普通商品有机肥处理的产量较单施化肥分别提升44.77%、18.23%、35.81%。除显著增产外,有机肥处理的单果重和纵横径也有不同程度提升,与邹亚丽等[36]和陶云彬等[37]研究一致。在桃、苹果及芒果研究中发现,相比单施化肥或生物有机肥,有机肥化肥配施可显著提高果实的可溶性糖、糖酸比、总糖和Vc含量[38-40]。果实品质是复杂的生理生化现象和结果,与矿质元素供应水平有着密切联系。有机肥中含有丰富的N、P、K 3种果实发育的必要元素,其缓释的特点保证了稳定持续的养分释放,相对满足作物不同时期的生理需求[41],且缓效的N素供应水平保证了荔枝不会出现N素过多导致的氨基酸合成、纤维素和多酚类物质增多而还原糖减少,有利于提高果实风味[42]。此外,荔枝作为修剪较重的果树,其采果及修剪势必带走大量中微量元素[43],而有机肥含有丰富的Ca、Mg、Zn、Fe、B等多种中微量元素,配施有机肥能够有效补充上述带走的中微量元素,从而在稳产的基础上提高品质。因此,在本研究中配施有机肥均能一定程度提高荔枝可溶性固形物、可溶性糖和糖酸比,其中配施生物有机肥10 kg还能大幅提升Vc含量,同时通过综合评价产量、外观品质以及内在品质,我们发现,减施化肥30% 下配施生物有机肥5 kg、10 kg能极大提升荔枝产量和品质(图 5、表 3),配施普通商品有机肥10 kg在品质方面优势虽不突出,但产量比化肥处理有很大提高。
3.3 减施化肥配施适宜用量有机肥能够提高肥料利用率和经济效益肥料农学效率、偏生产力和养分回收率是表达肥料利用率的常用指标,其与产量、施肥量和土壤肥力水平关系最为密切[44]。Dobermann等[45]认为粮食作物氮肥回收利用率为30% ~ 50%,氮肥农学效率为10 ~ 30 kg/kg,氮肥偏生产力为40 ~ 70 kg/kg,代表N素管理较好。本研究发现,减化肥30% 配施不同种类有机肥均能使氮肥的农学利用率及氮肥偏生产力提高且维持在较好水平;同时,除配施普通商品有机肥5 kg,其余有机肥处理相比化肥均有效提高磷、钾肥的农学利用效率及偏生产力,与玉米、马铃薯、油菜及红薯上研究结果一致[46, 16-17]。一方面,有机肥含有丰富的碳源,施入后促进根际微生物繁殖与生长,从而促进对肥料的吸附及N转化作用,改善了根际环境[47];同时,有机肥施入促进作物根系生长,增加根系生物量与根系分泌物,可溶解土壤中难溶性P、K,有利于植株的养分吸收[48];另一方面,有机肥特别是生物有机肥,不仅接种有大量有益菌群,同时可以富集固氮菌群、磷钾细菌以及与疾病抑制相关菌群,减少养分淋溶流失,抑制有害真菌、细菌定殖,优化根际微域环境,从而增加作物产量,提高肥料利用率[10, 49-51]。与化肥处理相比,配施生物有机肥5 kg/株或普通商品有机肥10 kg/株均极大提高了经济效益。在有机肥替代化肥研究中,不仅要保证肥料养分的高效利用,更要把握好肥料资源投入与经济效益的平衡,普通商品有机肥10 kg/株与生物有机肥5 kg/株处理产投比均较低,是最佳配施用量的参考。
4 结论减施30% 化肥养分下配施适宜用量的有机肥可以维持荔枝叶片养分持续供应,有利于提高产量与品质。配施有机肥还可以显著提高荔枝氮肥偏生产力与农学利用效率,提高经济效益。综合有机肥施用对树体生长及经济效益的影响,株施生物有机肥5 kg(2 700 kg/hm2)或羊粪有机肥10 kg(5 400 kg/hm2)具有显著提质增效作用。
| [1] |
郑红裕, 袁燕梅. 2018年中国国际荔枝产业大会在广州顺利召开[J]. 中国热带农业, 2018(4): 2-3 ( 0) |
| [2] |
赵飞, 廖美敬, 章家恩, 等. 中国荔枝文化遗产的特点、价值及保护——基于岭南荔枝种植系统(增城)的实证研究[J]. 中国生态农业学报(中英文), 2020, 28(9): 1435-1442 ( 0) |
| [3] |
陈明智, 林彬, 谢国干, 等. 海南荔枝园土壤基本养分状况分析[J]. 海南师范学院学报(自然科学版), 2001, 14(2): 57-59 ( 0) |
| [4] |
周兆禧, 林兴娥, 刘永霞, 等. 海南荔枝果园土壤存在的问题及提肥增效措施[J]. 中国热带农业, 2018(5): 23-24 DOI:10.3969/j.issn.1673-0658.2018.05.006 ( 0) |
| [5] |
齐文娥, 陈厚彬, 罗滔, 等. 中国大陆荔枝产业发展现状、趋势与对策[J]. 广东农业科学, 2019, 46(10): 132-139 ( 0) |
| [6] |
田益华, 王倩, 奚晓军, 等. 有机肥施肥量对'夏黑'葡萄生长和果实品质的影响[J]. 中国农学通报, 2015, 31(31): 125-129 DOI:10.11924/j.issn.1000-6850.casb15050135 ( 0) |
| [7] |
Wang L, Li J, Yang F, et al. Application of bioorganic fertilizer significantly increased apple yields and shaped bacterial community structure in orchard soil[J]. Microbial Ecology, 2017, 73(2): 404-416 DOI:10.1007/s00248-016-0849-y ( 0) |
| [8] |
魏晓兰, 吴彩姣, 孙玮, 等. 减量施肥条件下生物有机肥对土壤养分供应及小白菜吸收的影响[J]. 水土保持通报, 2017, 37(1): 40-44 ( 0) |
| [9] |
陶磊, 褚贵新, 刘涛, 等. 有机肥替代部分化肥对长期连作棉田产量、土壤微生物数量及酶活性的影响[J]. 生态学报, 2014, 34(21): 6137-6146 ( 0) |
| [10] |
宋以玲, 于建, 陈士更, 等. 化肥减量配施生物有机肥对油菜生长及土壤微生物和酶活性影响[J]. 水土保持学报, 2018, 32(1): 352-360 ( 0) |
| [11] |
赵满兴, 刘慧, 白二磊, 等. 腐殖酸肥或生物有机肥替代部分化肥对土壤肥力、红枣产量和品质的影响[J]. 西北农业学报, 2019, 28(6): 981-987 ( 0) |
| [12] |
鲍士旦. 土壤农化分析[M].
中国农业出版社, 北京, 2007
( 0) |
| [13] |
赵世杰. 植物生理学实验指导[M].
中国农业科学技术出版社, 北京, 2002
( 0) |
| [14] |
高俊凤. 植物生理学实验指导[M].
高等教育出版社, 北京, 2006
( 0) |
| [15] |
宋蝶, 陈新兵, 董洋阳, 等. 养分专家系统推荐施肥对苏北地区水稻产量和肥料利用率的影响[J]. 中国生态农业学报(中英文), 2020, 28(1): 68-75 ( 0) |
| [16] |
张绪成, 于显枫, 王红丽, 等. 半干旱区减氮增钾、有机肥替代对全膜覆盖垄沟种植马铃薯水肥利用和生物量积累的调控[J]. 中国农业科学, 2016, 49(5): 852-864 ( 0) |
| [17] |
邬梦成, 李鹏, 张欣, 等. 不同有机物施用对油菜-红薯轮作模式下养分吸收利用的影响[J]. 水土保持学报, 2018, 32(1): 320-326 ( 0) |
| [18] |
邓禄军, 夏锦慧, 卢扬, 等. 雷达图分析法在马铃薯品种特征综合评价中的应用[J]. 贵州农业科学, 2013, 41(7): 59-62, 66 DOI:10.3969/j.issn.1001-3601.2013.07.018 ( 0) |
| [19] |
方长云, 胡贤巧, 邵雅芳, 等. 基于雷达图分析法初步评价稻米食味品质的研究[J]. 中国稻米, 2017, 23(2): 13-17 DOI:10.3969/j.issn.1006-8082.2017.02.004 ( 0) |
| [20] |
张士荣, 王军, 张德龙, 等. 有机肥C/N优化及钾肥运筹对烤烟钾含量及香气品质的影响[J]. 华北农学报, 2017, 32(3): 220-228 ( 0) |
| [21] |
陈乃祥, 李艳莉, 杨霞光, 等. 商品有机肥替代化肥对设施西瓜生产的影响[J]. 上海蔬菜, 2018(6): 55-57 DOI:10.3969/j.issn.1002-1469.2018.06.028 ( 0) |
| [22] |
刘拴成. 有机肥与无机肥配施对马铃薯生长发育及产质量的影响[J]. 河南农业科学, 2020, 49(3): 32-39 ( 0) |
| [23] |
赵满兴, 刘慧, 白二磊, 等. 腐殖酸和生物有机肥替代化肥对烤烟生长及品质的影响[J]. 分子植物育种, 2019, 17(9): 3105-3114 ( 0) |
| [24] |
刘茂, 柴仲平, 盛建东, 等. 施用有机肥对库尔勒香梨叶片营养元素及果实产量、品质的影响[J]. 北方园艺, 2014(10): 159-163 ( 0) |
| [25] |
周兴. 不同有机肥对酿酒葡萄生长及果实品质的影响[D]. 银川: 宁夏大学, 2013.
( 0) |
| [26] |
蔺浩然. 有机肥对苹果园土壤及果实品质的影响[D]. 杨凌: 西北农林科技大学, 2016.
( 0) |
| [27] |
李水祥, 佘文琴, 吴世涛, 等. 有机肥替代部分化肥改善'三红蜜柚'树体营养及果实品质[J]. 热带作物学报, 2020, 41(4): 649-654 DOI:10.3969/j.issn.1000-2561.2020.04.003 ( 0) |
| [28] |
罗东林, 王伟, 朱陆伟, 等. 华南荔枝叶片营养诊断指标的建立[J]. 植物营养与肥料学报, 2019, 25(5): 859-870 ( 0) |
| [29] |
樊小林, 黄彩龙, Juhani U, 等. 荔枝年生长周期内N、P、K营养动态规律与施肥管理体系[J]. 果树学报, 2004, 21(6): 548-551 ( 0) |
| [30] |
杨苞梅, 姚丽贤, 李国良, 等. 荔枝叶片养分含量动态及不同比例钾、氮肥施用效应[J]. 植物营养与肥料学报, 2014, 20(5): 1212-1220 ( 0) |
| [31] |
姚丽贤, 周昌敏, 何兆桓, 等. 荔枝年度枝梢和花果发育养分需求特性[J]. 植物营养与肥料学报, 2017, 23(4): 1128-1134 ( 0) |
| [32] |
Elser J J, Dobberfuhl D R, MacKay N A, et al. Organism Size, Life History, and N: P Stoichiometry Toward a unified view of cellular and ecosystem processes[J]. BioScience, 1996, 46(9): 674-684 DOI:10.2307/1312897 ( 0) |
| [33] |
Koerselman W, Meuleman A F M. The vegetation N: P ratio: A new tool to detect the nature of nutrient limitation[J]. The Journal of Applied Ecology, 1996, 33(6): 1441 DOI:10.2307/2404783 ( 0) |
| [34] |
李涛涛, 翟丙年, 李永刚, 等. 有机无机肥配施对渭北旱塬红富士苹果树生长发育及产量的影响[J]. 果树学报, 2013(4): 591-596 ( 0) |
| [35] |
吴峰. 化肥与牛粪肥配施对设施黄瓜增产提质及氮肥利用效率的研究[D]. 沈阳: 沈阳农业大学, 2019.
( 0) |
| [36] |
邹亚丽, 呼丽萍, 魏蓉, 等. 生物有机肥施用量对大樱桃果实品质的影响[J]. 安徽农业科学, 2019, 47(1): 149-150, 211 ( 0) |
| [37] |
陶云彬, 杨佳佳, 章日亮, 等. 有机肥替代、化肥养分调控对土壤理化性状、枇杷果实品质和产量的影响[J]. 浙江农业科学, 2019, 60(9): 1540-1541, 1543 ( 0) |
| [38] |
罗华, 李敏, 胡大刚, 等. 不同有机肥对肥城桃果实产量及品质的影响[J]. 植物营养与肥料学报, 2012, 18(4): 955-964 ( 0) |
| [39] |
赵佐平, 高义民, 刘芬, 等. 化肥有机肥配施对苹果叶片养分、品质及产量的影响[J]. 园艺学报, 2013, 40(11): 2229-2236 DOI:10.3969/j.issn.0513-353X.2013.11.015 ( 0) |
| [40] |
臧小平, 周兆禧, 林兴娥, 等. 不同用量有机肥对芒果果实品质及土壤肥力的影响[J]. 中国土壤与肥料, 2016(1): 98-101 ( 0) |
| [41] |
张晓敏. 肥料种类对葡萄品质构成因子影响研究[D]. 扬州: 扬州大学, 2019.
( 0) |
| [42] |
王允圃, 刘玉环, 阮榕生, 等. 有机肥改良农产品品质的科学探索[J]. 中国农学通报, 2011, 27(9): 51-56 ( 0) |
| [43] |
姚丽贤, 周昌敏, 何兆桓, 等. 荔枝主栽品种树体营养累积特点及与土壤养分关系[J]. 华南农业大学学报, 2020, 41(2): 40-47 ( 0) |
| [44] |
Qiu S J, He P, Zhao S C, et al. Impact of nitrogen rate on maize yield and nitrogen use efficiencies in northeast China[J]. Agronomy Journal, 2015, 107(1): 305-313 ( 0) |
| [45] |
Dobermann A, Dawe D, Roetter R P, et al. Reversal of rice yield decline in a long-term continuous cropping experiment[J]. Agronomy Journal, 2000, 92(4): 633-643 ( 0) |
| [46] |
高洪军, 朱平, 彭畅, 等. 等氮条件下长期有机无机配施对春玉米的氮素吸收利用和土壤无机氮的影响[J]. 植物营养与肥料学报, 2015, 21(2): 318-325 ( 0) |
| [47] |
Zhu S S, Vivanco J M, Manter D K. Nitrogen fertilizer rate affects root exudation, the rhizosphere microbiome and nitrogen-use-efficiency of maize[J]. Applied Soil Ecology, 2016, 107: 324-333 ( 0) |
| [48] |
余小芬, 杨树明, 邹炳礼, 等. 菜籽油枯有机无机复混肥对烤烟产质量及养分利用率的影响[J]. 土壤学报, 2020, 57(6): 1564-1574 ( 0) |
| [49] |
Xiong W, Li R, Ren Y, et al. Distinct roles for soil fungal and bacterial communities associated with the suppression of Vanilla Fusarium wilt disease[J]. Soil Biology and Biochemistry, 2017, 107: 198-207 ( 0) |
| [50] |
Moretti B, Bertora C, Grignani C, et al. Conversion from mineral fertilisation to MSW compost use: Nitrogen fertiliser value in continuous maize and test on crop rotation[J]. Science of the Total Environment, 2020, 705: 135308 ( 0) |
| [51] |
Otinga A N, Pypers P, Okalebo J R, et al. Partial substitution of phosphorus fertiliser by farmyard manure and its localised application increases agronomic efficiency and profitability of maize production[J]. Field Crops Research, 2013, 140: 32-43 ( 0) |
2. Environment and Plant Protection Research Institute, Chinese Academy of Tropical Agriculture Sciences, Haikou 571101, China;
3. Research Room of Litchi and Longan, Horticulture Research Institute, Guangxi Academy of Agricultural Sciences, Nanning 530007, China;
4. Microbiology Research Institute, Guangxi Academy of Agricultural Sciences, Nanning 530007, China
2021, Vol. 53



0)