2. 中国科学院大学, 北京 100049;
3. 成都理工大学生态环境学院, 成都 610059;
4. 生态环境部环境工程评估中心, 北京 100012
稀土是国家高新技术和国防工业不可或缺的战略资源[1-2],我国赣南地区是重要的离子型稀土生产基地,其开采原理是利用酸性浸矿剂与矿体中的稀土离子置换,进而沉淀富集得到稀土产品[3-5]。因早期使用的池浸和堆浸工艺导致强烈的水土流失和环境污染[6],目前离子型稀土大多采用原地浸矿工艺进行开采,该工艺在矿区山体表面布设注液井,以硫酸铵溶液作为浸取剂注入到矿体中,然后在山体底部收集稀土离子浸出液[7-8]。与被称为“搬山运动”的池浸和堆浸相比,原地浸矿工艺对山体的破坏扰动较小,但由于开采过程中注入硫酸铵浸矿剂浸泡矿体,矿体中存在的大量残留浸矿剂随地下水渗漏或坡面水土流失过程进入水体,对矿区水土环境造成了严重的氨氮污染[9-12]。
赣南地区的离子型稀土矿体赋存于该区广泛分布的花岗岩风化壳中,成矿山体往往连片分布,在稀土矿区内一般采用大规模、全覆盖式的原地浸矿开采方式,将成矿山体内部自上而下完全浸透,导致矿区所有的浸矿山体都是污染源。据统计,每生产1 t稀土氧化物(REO)需消耗7 ~ 10 t硫酸铵和3 ~ 6 t碳酸氢铵,形成了大量高浓度氨氮污染物[13-14],随着降雨和径流过程缓慢释放,对周边水土环境产生持久的负面影响。根据环保部发布的《稀土工业污染物排放标准》[15],水环境中氨氮污染物的浓度限值为15 mg/L,受严格的环保标准影响,赣南地区的稀土开采活动近些年陆续出现大范围关停,因而准确评价矿区氨氮污染风险是刻不容缓的现实问题。
氨氮污染物在水体中的释放和迁移受流域汇水过程主导,特别是在降雨丰沛的雨季,由于矿区流域汇流过程强烈,污染物迁移通量和污染负荷在全年最高[16-19]。另一方面,由于浸矿活动降低了山体稳定性,在雨季很容易诱发山体滑坡和崩塌,导致山体内部高度富集的氨氮污染物直接出露地表,随强烈的水土流失过程进入水体,威胁下游灌溉及居民饮用水安全。国内外学者对稀土开采导致的水体污染等问题进行了研究。部分学者以稀土原地浸矿条件下的地下水氨氮污染为对象,探讨了残留浸矿剂在地下水中的迁移机制及对地下水环境的污染[20-22]。由于离子型稀土元素赋存的花岗岩风化壳较为疏松,地下水容易在山脚低洼处出露为地表径流,因而残留浸矿剂可通过坡面地表径流汇入河流而形成地表水体污染[23]。近年来这一问题也开始引起关注,学者们通过对稀土矿区周边地表水体进行采样分析,发现氨氮污染超出标准限值10倍至数百倍,且主要来源于稀土残留浸矿剂[24-25]。目前此类研究大多是对矿区水环境风险现状的描述,对原地浸矿条件下氨氮污染物在水体中的空间迁移过程关注较少。
鉴于离子型稀土矿区往往以流域集水区为界线或采矿单元,且目前的稀土环境标准也是以矿区流域沟道出口为监测断面[15],有必要以矿区所在的小流域为研究对象,阐明氨氮污染物从山体到沟道和流域出口的空间迁移机制。因此,本研究选择赣南典型离子型稀土矿区小流域,在雨季开展野外采样和指标测定,基于GIS水文分析等方法研究矿区流域地表汇水驱动下的氨氮污染物浓度变化特征,探讨流域水文指标对氨氮污染物空间迁移的影响,以期揭示矿区雨季流域尺度上的氨氮污染物的迁移分布趋势,从而为矿区水环境风险评价和污染治理提供依据。
1 材料与方法 1.1 研究区概况研究区为江西省龙南县县城东南约10 km的某稀土矿区。该区属亚热带东南季风气候,温暖潮湿,四季分明,多年平均气温19.2℃,多年平均降雨量1 510.8 mm,其中每年的4—6月为丰水期,占全年降雨量的56.4%,10月至次年1月为枯水期,占全年降雨量的14.2%,而2、3、7、8、9等5个月为平水期。
研究矿区位于面积为2.75 km2的小流域内(图 1A),流域地形以低山丘陵为主,海拔高度为250 ~ 433 m。流域内土地利用90% 为林地,另外有约7% 的草地和3% 左右的水田,主要土壤类型为红壤。以流域主沟道为界,其北侧为自然地块,南侧为稀土矿分布区,矿区范围包括流域整个南部(主沟道南部),主要为表露型稀土矿,矿体埋深1 ~ 1.5 m,开采工艺为露天方式的原地浸矿法,在开采过程中采用2% ~ 2.5% 硫酸铵作为浸矿剂、碳铵作为沉淀剂。浸矿剂通过浸矿井注入山体,浸矿井的口径为180 mm,深度为1.5 ~ 2.5 m,浸矿井在山体上呈菱形分布,间隔2 ~ 3 m(图 1B)。该矿区的稀土开采活动自2012年开始,2015年结束。矿体中的残留浸矿剂在山底出露为地表径流,通过矿区沟系向环境中释放造成氨氮污染,局部存在山体滑坡和崩塌,导致严重的水土流失问题(图 1C)。
|
(A:矿区流域范围和采样点分布;B:典型原地浸矿山体浸矿井分布;C:支沟G1沿程崩塌分布) 图 1 矿区概况示意图 Fig. 1 Small watershed of mine area and runoff sampling points |
野外调查和采样工作于2019年6月开展,由于正值赣南地区雨季,矿区浸矿剂有高强度浸出风险,具有季节代表性。实地采样之前收集研究区1∶10 000比例尺地形图资料并生成5 m分辨率DEM,在此基础上进行水文分析以提取流域水系等要素,根据Strahler河流分级方案划分流域水系级别,通过野外踏勘确定受矿区影响的水系及其对应的集水区范围,使用无人机摄影辅助判断矿区沟道内存在的崩塌山体位置,并以此为依据开展野外采样工作。
根据氨氮污染物的空间迁移特征,野外样品采集包括土壤采样和沟道径流泥沙采样两部分。土壤采样在矿区两个支沟内(G1和G5)的崩塌浸矿山体和原状浸矿山体上进行,在3个崩塌浸矿山体自上而下采集表层土壤,共采集10个崩塌浸矿坡面表层土壤样品。在5个原状浸矿山体自上而下设计采样点,每个采样点用土钻垂直向下分层采集样品(20 ~ 30、50 ~ 100、150 ~ 200 cm),共采集15个原状浸矿坡面的分层土壤样品。沟道径流泥沙采样根据水文分析的流域水系结构布设样点,包括支沟采样和主沟道采样两部分。流域内共有矿区支沟10条(G1 ~ G10),其中支沟G1是与主沟道相连的最末端支沟,G5具有典型的崩塌山体,G1和G5两条支沟从沟头开始等间距采集径流样品和沉积泥沙样品,其余8条支沟均只在出口处采集径流样品,共采集支沟径流样品16个,沉积泥沙样品9个。根据Strahler河流分级方案,本研究小流域主沟道对应3、4级水系,采样从3级水系开始(R1),根据矿区支沟汇入主沟道的位置和迁移距离,在汇入点前后采集径流样品,综合考虑实际采样中的可达性,共设置8个径流采样点(R1 ~ R8)。沟道径流采样点的位置分布如图 1A所示。
1.2.2 指标测定将采集的样品放入保温箱内低温保存,经处理后送至中国科学院南京土壤研究所分析测试中心,测定土壤和径流样品中的硝态氮、铵态氮、土壤颗粒组成等指标。需要指出,硝态氮并不是浸矿剂中的物质,但由于氨氮在迁移过程中会转化为硝态氮,且以往研究表明稀土矿区水土环境中的氨氮与硝态氮浓度具有很强的相关性,说明了矿区氨氮和硝态氮均来自残留浸矿剂[2-26],因此本研究也对硝态氮进行了分析。对于野外采集的径流样品,将其过滤15 ml至送样试管中,然后采用流动分析仪进行硝态氮、氨氮的指标测定,单位为mg/L。土壤和沉积泥沙样品则需要预先测定含水率,然后利用2 mol/L的氯化钾溶液进行浸提,采用流动分析仪测定其中的氨氮和硝态氮含量,最后将溶液中的体积含量单位换算为质量单位(mg/kg)。
沉积泥沙中的颗粒组成指标则采用激光粒度仪法进行测定。称取0.1 ~ 0.3 g过2 mm筛孔的风干土样,经去除有机质、蒸干、分散和超声处理等步骤之后,使用激光粒度仪将土壤颗粒分为4个级别,分别是黏粒(< 0.002 mm)、粉粒(0.05 ~ 0.002 mm)、细砂粒(0.1 ~ 0.05 mm)、粗砂粒(2 ~ 0.1 mm)。
1.2.3 数据分析方法完成实验室指标测定以后,使用SPSS和Origin等软件进行数据处理与分析作图,开展回归分析以描述污染物含量与影响因素之间的关系并构建预测模型,采用确定性系数和模型有效系数[27]表征回归方程和预测模型的精度,其中模型有效系数(ME)的计算公式为:
| $ {\text{ME}} = 1 - \frac{{\sum {{{\left( {{Q_{\text{i}}} - {Q_{\text{c}}}} \right)}^2}} }}{{\sum {{{\left( {{Q_{\text{i}}} - {Q_{\text{m}}}} \right)}^2}} }} $ | (1) |
式中:Qi为实测值,Qc为预测值,Qm为实测值的平均值,ME取值范围为–∞ ~ 1,取值越接近于1说明模型预测精度越高。
使用ArcGIS 10.3软件基于1∶10 000地形数据对研究区流域进行水文分析,首先进行填洼处理(Fill函数)生成无洼地DEM,进而使用Flow Direction函数计算地表水流方向,在此基础上使用Flow Accumulation和Flow Length函数计算矿区流域的累计汇流面积和水流长度等流域水文指标,将以上流域水文指标与径流采样点图层进行空间叠加,以便分析氨氮污染物在流域沟道内迁移的连续变化趋势及其影响因素。
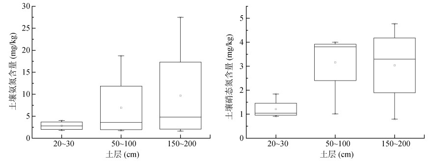
2 结果与分析 2.1 土壤和沉积泥沙中残留氨氮赋存和迁移特征图 2所示为矿区原状浸矿山体采集的分层土壤样品氨氮和硝态氮含量,可以看出土壤氨氮含量随着采样深度的增加整体上呈增大趋势,20 ~ 30、50 ~ 100和150 ~ 200 cm层次的平均氨氮含量分别为2.85、6.92和9.69 mg/kg,这一趋势体现了稀土原地浸矿主要影响深层土壤的特征。需要指出,尽管矿区浸矿井深度一般为1.5 ~ 2 m,但考虑到浸矿剂在井中形成的液面高度,以及山体坡度导致的浸矿剂侧向扩散,浸矿剂的影响范围可能超过矿体上限而到达50 ~ 100 cm土层。表层20 ~ 30 cm的土壤受浸矿活动影响较小,且表层土壤与外界水、气环境接触较多,硝化、反硝化作用强烈,再者表层植物根系对氮具有吸收作用[28],因而其氨氮含量接近自然背景值且变幅较小。较深层次的土壤氨氮含量变幅扩大且上限增加,而下限则变化不大,这主要是由于浸矿剂在深层土体中迁移的不确定性所致,浸矿剂所及之处土壤氨氮含量较高,而影响不到的深层土体氨氮含量较低,接近自然背景值。矿区土壤中硝态氮的含量整体上也表现出与氨氮类似的趋势,即随深度增加硝态氮平均含量和变幅均增大,但其递增趋势没有氨氮典型,其中50 ~ 100 cm层次的平均硝态氮含量与150 ~ 200 cm层次差别不大。
|
图 2 原状浸矿山体土壤氨氮和硝态氮垂直分布特征 Fig. 2 Vertical distribution of soil ammonia and nitrate nitrogen on undisturbed leaching mountains |
进一步分析崩塌浸矿山体表层土壤和沟道沉积泥沙中的氨氮和硝态氮含量(图 3),与图 2的原状浸矿山体土壤相比,图 3所示的氨氮和硝态氮含量均高出一个数量级,其中崩塌浸矿山体表层土壤氨氮和硝态氮含量分别为89.4 mg/kg和8.04 mg/kg,分别是原状浸矿山体表层含量的31.4倍和6.7倍,这主要是由于山体崩塌导致高浓度浸矿剂直接出露地表所致。矿区山体崩塌的主要原因是浸矿注液井密集分布(图 1B),浸矿剂浸透山体内部致其失稳而崩塌。因此,崩塌山体一般是浸矿剂大量注入或汇集部位,崩塌导致山体内部浸矿剂出露,故而表层浸矿剂含量较高。从这个角度来看,尽管稀土原地浸矿没有严重污染20 ~ 30 cm层次土壤,然而一旦山体被浸矿活动诱发而发生崩塌和滑坡,出露表层的氨氮污染物将直接随坡面地表径流迁移扩散。
|
图 3 崩塌浸矿坡面土壤和沟道沉积泥沙中的氨氮和硝态氮含量特征 Fig. 3 Contents of ammonia and nitrate nitrogen in soil of collapsed slopes and deposited sediment in channels |
缺少植被保护的崩塌浸矿山体还将导致强烈的水土流失,氨氮污染物随地表径流携带泥沙迁移进入沟道并污染水体,而通过沟道输送的泥沙则会在沿程形成大量沉积物质[4]。图 3对比了沟道沉积泥沙和崩塌浸矿山体土壤中的残留浸矿剂含量,可以看出沉积泥沙中的氨氮和硝态氮平均含量分别为154.45 mg/kg和25.41 mg/kg,显著高于崩塌浸矿山体土壤中的含量。由于沟道沉积泥沙是崩塌坡面水土流失搬运泥沙的汇集结果,这一差异体现了沟道沉积泥沙中氨氮污染物的累积效应,同时也说明了氨氮污染物迁移源汇关系的复杂性:一方面沟道沉积泥沙是崩塌坡面污染物的汇,而另一方面高浓度的氨氮污染物也使得沉积泥沙成为新的污染策源地,从而加剧局部土壤和水体污染风险。
泥沙颗粒是氨氮污染物随地表径流泥沙迁移的重要载体[29]。将沉积泥沙的氨氮和硝态氮含量分别与黏粒、粉粒、细砂和粗砂粒含量进行回归分析(图 4),结果表明,沉积泥沙颗粒组成与氨氮及硝态氮含量存在显著的相关关系,氨氮和硝态氮含量均随黏粒和粉粒含量的增加而呈线性增大趋势,而随砂粒含量的增大而线性减小。Lu等[29]针对离子型稀土尾矿堆中残留浸矿剂的研究认为,细颗粒泥沙对铵态氮的吸附作用较强,因而氨氮含量较高,粗砂粒泥沙则因其吸附能力较弱而不利于氨氮的富集。本研究结果与之一致,但两者揭示的作用机制可能存在差异。Lu等[29]研究的残留浸矿剂赋存于尾矿物质中,随土壤侵蚀和泥沙搬运过程同步迁移,故而泥沙氨氮含量主要取决于颗粒吸附作用;而本研究条件下矿区支沟中的残留浸矿剂并不完全来自坡面侵蚀泥沙,还来自两侧浸矿山体渗流汇入,由于沟道不断接收两边山体的浸矿剂补给,因而沿程沉积泥沙中的氨氮和硝态氮自源头向沟口呈增加趋势;同时,沟道内的径流对泥沙颗粒组成有分选作用,细颗粒泥沙易被搬运到远处,从源头向沟口其含量逐渐增加,因而本研究报道的相关性不一定完全指示细颗粒泥沙的吸附作用。以带负电荷的硝态氮为例,从离子吸附原理看,其含量与细颗粒泥沙并无直接关系[30],图 4所示的硝态氮和泥沙颗粒关系可能是沟道沿程浸矿剂累积和泥沙分选两种不同机制相互耦合的结果。而另一方面,图 4中所示的氨氮与泥沙颗粒关系比硝态氮与之更密切,拟合方程斜率也更大,这一趋势可能体现了细颗粒泥沙对正电荷离子的吸附作用和汇流累积加泥沙分选的双重作用。
|
图 4 沉积泥沙中氨氮与硝态氮含量与颗粒组成关系 Fig. 4 Relationship between contents of ammonia and nitrate nitrogen and particle composition in sediment |
表 1统计了矿区流域沟道径流样品的氨氮和硝态氮含量的测定结果,由表 1数据可以看出,所有样点的径流氨氮含量均高于15 mg/L,超出了《稀土工业污染物排放标准》(GB26451—2011)[15]要求,其中矿区支沟的超标程度最高达到24.5倍,平均超标7.9倍,而主沟道局部河段超标程度接近10倍,平均超标程度为5.3倍,这一结果超过了祝怡斌等[24]和吴丁雨等[25]所报道的稀土矿区水体氨氮含量,说明该矿区流域的水体氨氮污染风险较高。水体中硝态氮的含量也处于较高的水平,与土壤中氨氮含量远大于硝态氮含量相比,水体中硝态氮与氨氮的含量差异相对较小,这可能是由于氨氮迁移运动过程中发生的硝化作用所致,即氨氮在氧和微生物的作用下最终形成硝酸盐[31],因而导致水体中硝态氮含量相对增加。整体来看,残留浸矿剂直接汇入的矿区支沟径流氨氮和硝态氮含量均高于主沟道,这体现了主沟道对氨氮和硝态氮污染物的稀释和消减作用。支沟和主沟的氨氮和硝态氮含量的变异系数基本都在0.5以上,说明沟道径流中的氨氮和硝态氮的空间分布变异程度较大。
|
|
表 1 沟道径流中的氨氮与硝态氮含量统计特征 Table 1 Statistical characteristics of ammonia and nitrate nitrogen contents in channel runoff |
进一步从流域尺度分析沟道径流中氨氮和硝态氮含量的空间分布特征,由图 5可知,不同支沟出口处以及主沟道沿程的径流氨氮和硝态氮含量均存在较大差异。由流域西南部顶端支沟(G1)出发追踪氨氮和硝态氮的迁移趋势,可以看出,支沟G1的氨氮和硝态氮含量均随着迁移路径呈增加趋势,支沟出口处的氨氮含量达到180 mg/L,这是由于支沟G1两侧具有典型的崩塌浸矿山体,高浓度浸矿剂直接出露地表,特别是雨季流域汇流过程强烈的时期影响更为明显。支沟G1氨氮与硝态氮含量高是由于两侧山体浸矿剂的补给,包括坡底的渗流及崩塌坡面的地表径流。在流域汇水过程中支沟两侧山体浸矿剂的输送导致沟道径流中浸矿剂浓度不断累加。
|
图 5 地表径流中氨氮和硝态氮空间分布 Fig. 5 Spatial distribution of ammonium and nitrate nitrogen in surface runoff |
随支沟汇流追踪到主沟道,从R1开始到R8之间的主沟道沿程径流氨氮和硝态氮含量整体呈波动变化趋势。分析主沟采样点和支沟汇入点位置关系可以看出,主沟道径流中的氨氮和硝态氮含量随着高浓度支沟径流的汇入而突增(R3、R5、R7、R8),而随着距离支沟汇入点水流长度的增加,由于受到沿程自然汇水稀释和泥沙沉降等作用的影响,又呈现出逐渐衰减的趋势(R1、R2、R4、R6)。Lu等[29]报道了稀土尾矿堆积区降雨径流中携带的氨氮随迁移距离呈指数函数趋势减小,这与本研究结果一致。影响主沟道径流浸矿剂含量变异的主要因素包括沿程自然汇水的流量、上游矿区支沟径流的汇入浓度以及距离矿区支沟汇入点的距离,距离上游矿区汇水越远、沿程自然汇水量越大,主沟道中的氨氮和硝态氮含量消减程度越大,如R4由于距高浓度汇入点较远,且接收了较大面积的自然汇水,其氨氮含量由R3的120 mg/L降低至30 mg/L,说明流域内水体具有较强的自然净化能力。反之,如果采样点近邻上游高浓度支沟汇入点,则氨氮和硝态氮含量普遍偏高,如流域出口附近存在多处高浓度支沟汇入点,导致此段主沟道的氨氮含量都在100 mg/L以上,流域出口处测得的结果(115 mg/L)超过国家标准的6.7倍,给废水处置和生态治理带来较大压力。
2.3 沟道径流氨氮污染物含量模拟 2.3.1 支沟径流氨氮、硝态氮含量模拟根据前文分析结果,以G1为代表的支沟氨氮及硝态氮含量随迁移距离增加而逐渐增大,这体现了末级支沟两侧山体和坡面对径流残留浸矿剂的补给和汇集作用。假定支沟两侧残留浸矿剂源地的浓度均一,且残留浸矿剂主要通过坡底地表径流汇入沟道,则决定支沟沟道某点氨氮和硝态氮累计量的主要因素是该点所接收的累计地表汇水面积。通过GIS水文分析提取流域累计汇水面积指标,提取G1沿程各点对应的面积信息并建立与残留浸矿剂含量之间的关系(图 6),如图 6的散点图和回归分析结果所示,支沟G1沿程径流氨氮及硝态氮含量随累计汇水面积的递增趋势可以用指数函数进行模拟,氨氮和硝态氮回归方程的决定系数都高于0.9,在P < 0.01水平上显著,说明拟合效果较好。
|
图 6 支沟氨氮、硝态氮浓度与汇水面积关系 Fig. 6 Relationship between ammonium and nitrate nitrogen concentrations in branch channel runoff and accumulating flow area |
由前文分析结果可知,主沟道氨氮含量主要取决于沿程矿区径流和北部自然径流的交替汇入过程,则由矿区某一支沟汇入点开始到下一汇入点之前的主沟道分段,可以看作是一个排污口将污染物排入河流并迁移扩散的过程。由于研究区沟道水系规模较小(主沟水面宽度一般在3 m之内)且流量不大,因而由支沟汇入主沟道的残留浸矿剂容易混合,采用完全混合模型预测氨氮含量:
| $ {\rho _0} = \frac{{Q{\rho _1} + q{\rho _2}}}{{Q + q}} $ | (2) |
式中:ρ0为支沟汇入后的氨氮含量;Q为主沟道流量;ρ1为汇入点上游主沟道中的氨氮含量;q为矿区支沟汇入河流的流量;ρ2为支沟汇流的氨氮含量。
在本研究中主沟道沿程同时接收来自流域南侧的矿区支沟氨氮和来自流域北部的自然地表径流氨氮。如图 7所示,主沟道A1点的氨氮含量为ρ1,由矿区支沟汇入A2点的氨氮含量为ρ2,则在主沟道A0点的氨氮含量ρ0可以通过公式(1)进行计算。由于流域面积较小且区内土地利用方式和土壤类型都比较均一,在不考虑地表产流能力变异的条件下A1和A2点的流量可以用该点的累计汇水面积进行表征。此外考虑到主沟道由A1到A0沿程接收了自然径流,径流携带的氨氮将受稀释和转化作用影响而发生衰减,若将衰减过程看作是迁移距离的反比,则公式(1)可以变换为:
| $ {\text{ }}{\rho _{\text{0}}}{\text{ = }}\frac{{{\rho _1}\frac{{{S_1}}}{{{D_1}}} + {\rho _2}\frac{{{S_2}}}{{{D_2}}}}}{{{S_0}}} \times K $ | (3) |
|
图 7 沟道汇流关系示意图 Fig. 7 Diagram of channel confluence relationship |
式中:ρ0为支沟汇入后的氨氮含量;ρ1为上一段主沟道采样点的浸矿剂浓度;ρ2为支沟汇流的浸矿剂浓度;S1、S2、S0分别为各自点位对应的累计汇水面积;D1和D2则分别为待预测点到上游采样点和支沟汇流处的距离;K为衰减系数。
由公式(3)可知,主沟道沿程某一点的径流氨氮含量可以使用上游氨氮含量、支沟氨氮含量、汇水面积和水流距离共同构成的综合变量的线性函数进行估算。在本研究流域中,以主沟道沿程采样点和矿区支沟汇入点为依据,可以将主沟道划分为多个支沟氨氮汇入和衰减的河段以估算污染物浓度,表 2所示本研究流域主沟道可以分为8个联动的分段,每个分段末端取样点为下一分段的上游取样点,使用GIS水文分析功能计算每个分段对应的矿区支沟汇水面积、末端主沟累计汇水面积、末端取样点距支沟汇入点以及上游取样点的距离,将表 2中各分段信息和支沟及上游主沟径流氨氮含量测定结果按公式(2)计算之后作为自变量x,建立与分段末端氨氮含量实测值之间的关系,得到常数项为0的回归方程:Y = 139.14x(R² = 0.79,n = 8),该方程接近0.8的决定系数证实了公式(2)所示线性函数的合理性,同时也可以求算出本研究流域条件下衰减系数K取值为139.14,将此系数代入公式(2)即可用于估算主沟道沿程某一位置的径流氨氮含量。
|
|
表 2 主沟道分段方式及水文指标计算结果 Table 2 Segmentations of main channel and the related hydrology indexes |
采用公式(2)估算主沟道沿程8个采样点的径流氨氮含量,并将其与实测值对比得到图 8,由图 8可以看出,预测值整体上与实测值的波动变化趋势较为一致,除R1和R3两处位置预测值偏低外,其余各点的预测值均较接近实测值。用于评价估算值和实测值接近程度的模型有效系数ME大于0.75,说明估算模型的效果较好[32],可以在和研究区矿区小流域类似的条件下应用。
|
图 8 主沟道氨氮迁移浓度预测效果 Fig. 8 Prediction efficiency of ammonia nitrogen migration concentration in main channel |
需要指出,流域尺度的空间迁移主要驱动因素是地表汇水过程,本研究从地表产流能力的角度构建氨氮迁移估算模型,主要考虑了流域地表径流过程,尚未考虑浸矿山体通过地下水过程直接补给主沟道的作用,而在实际条件下主沟道沿程的浸矿山体可能直接通过地下水影响地表水中的氨氮含量,这可能是导致R1和R3分段出现氨氮低估的原因之一,研究这一过程的影响需要依据流域水文地质条件开展长期监测。另外,由于本研究流域面积相对较小、水系结构较为简单,且绝大部分面积为自然林地覆盖,因而背景条件比较均一,可以使用汇水面积预测支沟汇入对主沟道氨氮含量的影响,图 8所示的较高预测精度也证明了这一思路的可行性。而当矿区流域面积较大且区内包含农田和居民点等土地利用类型时,需要考虑不同地块产流能力的异质性和其他污染源地可能对水体氨氮的影响。此外,由于沟道沉积泥沙在丰水期主要表现为污染物的汇,累积形成了较高的残留浸矿剂含量,而在枯水期此部分累积污染物又将成为新的源地,这说明残留浸矿剂向主沟道的迁移过程可能随季节变化而表现出不同的规律。而本文主要研究了流域丰水期的氨氮污染物迁移特征,在后续研究中应重点探讨季节变化的影响,进一步揭示离子型稀土矿区流域氨氮污染物迁移的时空变异机制并构建更科学的预测模型。
3 结论1) 浸矿山体自然坡面土壤氨氮含量随采样深度的增加而增大,而山体崩塌将导致深层高浓度氨氮直接出露地表,并随地表径流泥沙过程在沟道沉积泥沙中进一步富集,沉积泥沙中氨氮、硝态氮含量与黏粒和粉粒物质的含量呈正相关,与砂粒含量呈负相关。
2) 流域主沟道径流中的氨氮含量平均超标5.3倍,出口处超标6.7倍,流域内局部矿区支沟超标达24.5倍,矿区支沟径流的氨氮和硝态氮含量整体上高于主沟道,且随累计汇水面积的增加而呈指数函数趋势增大,主沟道径流中氨氮和硝态氮含量受沿程矿区支沟和自然径流交替汇入影响,表现出突增和衰减交替的波动趋势。
3) 在河流污染物完全混合模型思路的指导下,本研究综合考虑上游氨氮含量、支沟氨氮含量、累计汇水面积和水流距离等因子构建了主沟道沿程氨氮含量估算模型,经实测值验证的模型有效系数达0.79,估算效果较好。
| [1] |
魏娟萍, 王海宁, 晏江波. 南方离子型稀土矿开采的环境损伤及防治[J]. 有色金属科学与工程, 2016, 7(1): 125-132 ( 0) |
| [2] |
刘斯文, 黄园英, 朱晓华, 等. 离子型稀土采矿对矿山及周边水土环境的影响[J]. 环境科学与技术, 2015, 38(6): 25-32 ( 0) |
| [3] |
朱和玲, 姚骥. 南方离子型稀土矿矿区氨氮废水治理工艺研究[J]. 现代矿业, 2019, 35(6): 13-16 DOI:10.3969/j.issn.1674-6082.2019.06.004 ( 0) |
| [4] |
马彩云. 基于GIS的离子型稀土原地浸矿尾矿区稀土和浸取剂分布规律研究[D]. 赣州: 江西理工大学, 2015.
( 0) |
| [5] |
侯潇. 离子型稀土原生矿床及原地浸析尾矿中稀土和铵的分布特征[D]. 南昌: 南昌大学, 2015.
( 0) |
| [6] |
卢慧中, 梁音, 曹龙熹, 等. 赣南稀土尾矿堆积区水土流失规律初探[J]. 土壤, 2015, 47(2): 387-393 ( 0) |
| [7] |
刘芳. 龙南离子型稀土矿生态环境及综合整治对策[J]. 金属矿山, 2013(5): 135-138 DOI:10.3969/j.issn.1001-1250.2013.05.036 ( 0) |
| [8] |
李青, 周连碧, 祝怡斌, 等. 离子型稀土矿山土壤氨氮污染预测[J]. 环境影响评价, 2017, 39(6): 56-59 ( 0) |
| [9] |
王秀丽, 张哲源, 李恒凯. 离子型稀土矿开采的环境影响及治理措施[J]. 国土与自然资源研究, 2020(2): 20-22 DOI:10.3969/j.issn.1003-7853.2020.02.006 ( 0) |
| [10] |
王瑞苹. 江西赣南离子型稀土矿原地浸矿可能引发的环境问题[J]. 科技资讯, 2012, 10(33): 150-151 DOI:10.3969/j.issn.1672-3791.2012.33.123 ( 0) |
| [11] |
赵中波. 离子型稀土矿原地浸析采矿及其推广应用中值得重视的问题[J]. 南方冶金学院学报, 2000, 21(3): 179-183 DOI:10.3969/j.issn.2095-3046.2000.03.006 ( 0) |
| [12] |
黄紫彬, 蔡昶, 袁宪强, 等. 浅析原地浸矿开采的离子型稀土矿山安全问题[J]. 稀土, 2013, 34(4): 99-102 ( 0) |
| [13] |
李天煜, 熊治廷. 南方离子型稀土矿开发中的资源环境问题与对策[J]. 国土与自然资源研究, 2003(3): 42-44 DOI:10.3969/j.issn.1003-7853.2003.03.019 ( 0) |
| [14] |
杨芳英, 廖合群, 金姝兰. 赣南稀土矿产开采环境代价分析[J]. 价格月刊, 2013(6): 87-90 DOI:10.3969/j.issn.1006-2025.2013.06.22 ( 0) |
| [15] |
环境保护部, 国家质量监督检验检疫总局. 稀土工业污染物排放标准: GB 26451-2011[S]. 北京: 中国环境科学出版社, 2011.
( 0) |
| [16] |
黄文军. 川中丘陵区典型小流域多尺度磷素迁移特征[D]. 绵阳: 绵阳师范学院, 2018.
( 0) |
| [17] |
张林. 三峡库区兰陵溪小流域水土及养分流失特征研究[D]. 北京: 中国林业科学研究院, 2018.
( 0) |
| [18] |
闫瑞, 闫胜军, 赵富才, 等. 黄土丘陵区岔口小流域暴雨条件下氮素随地表径流迁移特征[J]. 水土保持学报, 2014, 28(5): 82-86 ( 0) |
| [19] |
蒋锐. 紫色丘陵区农业小流域氮迁移的动态特征及其环境影响研究[D]. 重庆: 西南大学, 2012.
( 0) |
| [20] |
徐水太, 项宇, 刘中亚. 离子型稀土原地浸矿地下水氨氮污染模拟与预测[J]. 有色金属科学与工程, 2016, 7(2): 140-146 ( 0) |
| [21] |
刘勇. 离子型稀土矿原地浸矿开采对地下水环境影响数值模拟[J]. 南京工程学院学报(自然科学版), 2014, 12(2): 64-68 ( 0) |
| [22] |
鞠学亮. 赣南试验矿块稀土开发对地下水氨氮影响模拟预测的研究——以某试验矿块为例[D]. 大连: 辽宁师范大学, 2015.
( 0) |
| [23] |
陈斌, 刘选鹏. 某稀土矿原地浸矿活动对地表水环境影响预测[C]//2015年中国环境科学学会学术年会论文集. 深圳, 2015: 699-702.
( 0) |
| [24] |
祝怡斌, 周连碧, 李青. 离子型稀土原地浸矿水污染控制措施[J]. 有色金属(选矿部分), 2011(6): 46-49 ( 0) |
| [25] |
吴丁雨. 南方离子型稀土矿山残余物质稳定性研究[D]. 北京: 中国地质大学(北京), 2018.
( 0) |
| [26] |
师艳丽, 张萌, 姚娜, 等. 江西定南县离子型稀土尾矿周边水体氮污染状况与分布特征[J]. 环境科学研究, 2020, 33(1): 94-103 ( 0) |
| [27] |
Nash J E, Sutcliffe J V. River flow forecasting through conceptual models part I-A discussion of principles[J]. Journal of Hydrology, 1970, 10(3): 282-290 ( 0) |
| [28] |
侯潇, 许秋华, 孙圆圆, 等. 离子吸附型稀土原地浸析尾矿中稀土和铵的残留量分布及其意义[J]. 稀土, 2016, 37(4): 1-9 ( 0) |
| [29] |
Lu H Z, Cao L X, Liang Y, et al. Mineral-leaching chemical transport with runoff and sediment from severely eroded rare-earth tailings in Southern China[J]. Solid Earth, 2017, 8(4): 845-855 ( 0) |
| [30] |
杜国强, 陈秀琴, 牟守国, 等. 模拟降雨条件下氮素在土壤中的迁移转化对比研究[J]. 江苏农业科学, 2016, 44(12): 436-439 ( 0) |
| [31] |
俞慎, 李振高. 稻田生态系统生物硝化-反硝化作用与氮素损失[J]. 应用生态学报, 1999, 10(5): 630-634 ( 0) |
| [32] |
Moriasi D N, Arnold J G, Liew M W V, et al. Model evaluation guidelines for systematic quantification of accuracy in watershed simulations[J]. Transactions of the ASABE, 2007, 50(3): 885-900 ( 0) |
2. University of Chinese Academy of Sciences, Beijing 100049, China;
3. College of Ecology and Environment, Chengdu University of Technology, Chengdu 610059, China;
4. Environmental Engineering Assessment Centre, Ministry of Ecological Environment, Beijing 100012, China
2021, Vol. 53



0)