生物质炭是生物质材料在缺氧条件下高温热解炭化而成的富含碳且性能稳定的固体产物,具有孔隙多、比表面积大和吸附能力强等特点[1-2]。大量研究结果表明,生物质炭具有改善土壤理化性质、提高土壤肥力[3-4]、促进植物生长[4]、提高作物产量[5]和改善农田生态环境的效应。其可能的机理主要有:生物质炭本身含有的养分的输入[3];生物质炭具有较高的阳离子交换量从而增加对土壤养分的吸附[6-7];通过对微生物群落及其活性的影响提高土壤氮、磷和钾等养分元素的含量[2, 8]。
土壤动物是农田生态系统物质循环、能量流动和信息传递的重要参与者,其行为活动能够改善土壤结构、加快有机质转化、促进植物对养分的吸收,同时可以修复受污染土壤或缓解土壤退化等[9]。目前国内外学者已广泛开展生物质炭对土壤生物区系影响的研究,但多集中在土壤微生物丰度和活性方面,关于对土壤动物群落影响的研究较少[2]。对土壤动物群落的研究又多集中于蚯蚓室内毒理控制试验[10-12],探讨生物质炭对其生长、繁殖和行为活动等毒性的影响。农田生态系统中,生物质炭可吸附有机农药和重金属离子等有害物质,降低其生物有效性,有利于土壤生物的生存[3]。研究表明生物质炭施用于农田可以有效地降低蚯蚓对化学农药的生物富集,从而增加土壤中蚯蚓的数量[13];但同时蚯蚓也会因为取食含有毒物质的生物质炭而受到毒害[14-15]。
生物质炭对土壤动物群落的影响,其作用途径主要包括:生物质炭自身特性的差异对土壤动物群落造成直接影响;生物质炭施用后改变土壤物理、化学和生物学特性等环境间接影响土壤动物群落[16]。生物质炭对土壤动物影响具体表现为,低量添加促进土壤动物的生长繁殖和行为活动,若施炭量过高则会对土壤动物产生毒害作用[16-19]。本研究在贵州典型分布的石灰性土壤中,开展生物质炭施用对农田土壤节肢动物群落的影响,并提出如下假设:①土壤节肢动物数量随施炭量的增加先升高再降低;②生物质炭施用导致土壤pH的改变是影响土壤节肢动物群落结构最主要的环境因子。
1 材料与方法 1.1 研究区概况研究区位于贵州大学农学院试验场(106°31′E,26°30′N),属于亚热带季风性湿润气候,年平均气温14.9℃,年平均降雨量1 200 mm。试验区土壤为贵州广泛分布的石灰土,pH为8.16,有机质含量为12.19 g/kg。
1.2 试验设计在试验区内,按5 t/hm2(B5)、10 t/hm2(B10)、20 t/hm2(B20)和50 t/hm2(B50)设置生物质炭不同施用量梯度,以不施用生物质炭处理为对照(CK)。试验采用完全随机区组设计,每个处理重复5次,共计25个试验小区。每个试验小区面积为2.8 m × 2.5 m=7 m2,小区间设保护行。玉米行距60 cm,株距30 cm,每个小区内种植5行玉米。播种时施尿素450 kg/hm2。生物质炭以玉米秸秆为原料,经过高温热解(500℃) 6 h制成,pH为7.98,灰分含量为29.53%,粒径0.3 ~ 0.35 cm。2019年4月15日,将生物质炭均匀施入各试验小区,并进行翻耕,使其与表层0 ~ 20 cm土壤充分混匀。试验布置完成后,随机选择各处理的1个试验小区,采用三温三湿温湿度记录仪自动记录土壤深度5 cm处的温度和湿度。于4月25日种植玉米,各处理田间管理方式与当地大田相同。
1.3 样品采集与处理于2019年玉米生长季,分别在5月下旬(苗期)、7月中旬(穗期)、9月上旬(成熟期)和10月上旬(收获后)进行样品的采集。每次采样时,在每个试验小区内用直径5 cm的土钻在玉米行间随机2处采取表层0 ~ 10 cm的土壤样品2份(数据处理时,合并为一份),用于土壤节肢动物的分离提取。采用干漏斗法分离土壤动物,并保存于75% 的酒精中。体视显微镜下对收集的土壤动物进行鉴定(鉴定到纲或目)和计数,土壤动物的分类鉴定主要参考《中国土壤动物检索图鉴》[20]。
分离完土壤动物的土壤样品用于土壤理化指标的测试。土壤pH采用电位法(水土质量比为5∶1)进行测定;土壤电导率使用电导率仪测定;土壤有机碳采用重铬酸钾–浓硫酸外加热法测定。
1.4 数据处理与统计分析对土壤动物个体类群进行等级划分:个体数占总个体数10% 以上的土壤动物类群为优势类群,1% ~ 10% 的为常见类群,1% 以下的为稀有类群。土壤动物多样性特征分析采用Shannon-Wiener多样性指数、Pielou均匀度指数和Simpson优势度指数等指标。
采用主坐标分析方法(principal co-ordinates analysis, PCoA)研究生物质炭不同施用量下的土壤动物群落组成差异特征,并使用置换多元方差分析(permutational multivariate analysis of variance,PERMANOVA)进行差异显著性检验;采用单因素方差分析(one-way ANOVA)探究生物质炭施用量对土壤动物密度、类群数和多样性指数的影响,并采用最小显著差异法(LSD)进行多重比较;采用典范对应分析(canonical correspondence analysis, CCA)探讨土壤动物群落与土壤环境因子的相关关系(因三温三湿温湿度自动记录仪出故障,5月土壤温湿度数据丢失,CCA分析时仅使用7月、9月和10月的数据)。所有的统计分析和作图采用R语言进行。
2 结果 2.1 施用生物质炭对土壤理化性质的影响生物质炭的施用对土壤温湿度产生一定程度的影响,整个试验期间土壤平均温度以CK处理最高、B50处理最低,土壤平均湿度B50处理最高、CK处理相对较低。施用生物质炭显著增加了土壤有机碳(SOC)含量(P < 0.05,图 1),与CK处理相比,B5、B10、B20和B50处理SOC含量分别平均增加了30%、51.91%、125.59% 和228.28%。土壤pH随生物质炭施用量的增加而降低(图 1),但仅在5月和7月与CK处理相比差异达显著水平(P < 0.05)。除9月外,生物质炭的施用也显著影响土壤电导率(EC,P < 0.05),总体表现为高量生物质炭施用(B50)大于其他处理。
|
(图中数据为平均值±标准差,柱图上方不同小写字母表示各月份中不同处理间的差异显著(P < 0.05),下同) 图 1 生物质炭不同施用量下土壤理化性质 Fig. 1 Soil physiochemical properties under different biochar treatments |
本研究共捕获土壤节肢动物14 133头,分别隶属于6纲21类群(表 1)。其中疥螨目和中气门目为优势类群,分别占总个体数的54.5% 和25.68%;长角跳目、原跳目和绒螨目为常见类群,分别占总个体数的7.39%、3.23% 和2.31%;其他为稀有类群,共占总个体数的6.88%。基于物种数据的主坐标分析(PCoA)结果显示,不同采样时期,生物质炭不同施用量的样方分布在排序图的不同区域;PERMANOVA分析结果表明,施用生物质炭显著影响土壤群落组成结构(图 2,P < 0.05)。
|
|
表 1 生物质炭不同施用量下土壤节肢动物个体数量 Table 1 Total numbers of individuals of soil arthropods community under different biochar treatments |
|
图 2 生物质炭不同施用量下土壤节肢动物群落主坐标排序图 Fig. 2 Principal co-ordinates analysis (PCoA) plot of soil arthropods communities under different biochar treatments |
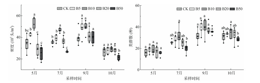
施用生物质炭对土壤节肢动物密度的影响在5月、7月和10月的样品中差异都达到显著水平(P < 0.05),总体上,土壤节肢动物密度均随施炭量的增加呈先升高后降低的趋势(图 3)。与CK处理相比,施用适量生物质炭(如10 t/hm2)可增加土壤节肢动物的数量,但施炭过多(如50 t/hm2)则会减少土壤节肢动物的数量。土壤节肢动物类群数随着生物质炭施用量的增多也呈单峰模式(先增加后降低)(图 3)。生物质炭不同施用量处理下土壤节肢动物类群数与CK处理相比,无显著差异;仅在7月和10月采集的样品中,B10处理土壤节肢动物类群数显著大于B50处理(图 3)。
|
图 3 生物质炭不同施用量下土壤节肢动物的密度和类群数 Fig. 3 Box-plot of soil arthropods densities and group numbers under different biochar treatments |
在不同采样时期,施用生物质炭对土壤节肢动物群落多样性指数的影响不同:在生物质炭施用初期(5月和7月)Shannon-Wiener多样性指数、Simpson优势度指数和Pielou均匀度指数在各处理间的差异均达显著或近似显著水平,而在中后期(9月和10月)各多样性指数在各处理间均无显著差异(表 2)。总体上,土壤节肢动物多样性在生物质炭适量施用下(B10处理)最大,过量施用下(B50处理)最低(表 2)。
|
|
表 2 生物质炭不同施用量下土壤节肢动物多样性特征 Table 2 Diversities, evenness and richness of soil arthropods communities under different biochar treatments |
典范对应分析(CCA)结果显示,排序轴1与轴2分别解释了土壤节肢动物群落与环境因子关系的71.44% 和14.78%(图 4)。其中轴1主要反映土壤温度及湿度的影响,轴2主要反映土壤电导率的影响。疥螨目(Sarcoptiformes)和原尾纲(Protura)与土壤温度正相关,泄管纲(Secernentea)与土壤温度负相关;倍足纲(Diplopoda)与土壤湿度正相关,愈腹跳目(Symphypleona)与土壤湿度负相关;蜱目(Ixodida)、绒螨目(Trombidioidea)、啮目(Psocoptera)和鞘翅目幼虫(Coleoptera larvae)与土壤pH正相关,等翅目(Isoptera)与其负相关。生物质炭施用导致环境因子的改变显著影响土壤节肢动物群落,试验测定的环境指标共解释了24.81% 的物种变异(P < 0.01);其中土壤温度的影响最大,单独解释了16.1% 的物种群落变化(P < 0.01);其次为土壤湿度,单独解释了土壤节肢动物群落结构变化的4.4%(P < 0.01);土壤pH单独解释了土壤节肢动物群落结构变化的3.2%(P < 0.05),土壤有机碳和电导率对土壤节肢动物群落的解释量相对较小,且未达显著水平(P > 0.05,表 4)。
|
图 4 土壤节肢动物与环境因子典范对应分析 Fig. 4 Canonical correspondence analysis (CCA) of soil arthropods species in association with soil environmental factors |
|
|
表 4 基于典范对应分析环境因子对土壤节肢动物群落变化的解释量 Table 4 Percentage of variance in soil arthropods community data explained by measured soil environmental variables in CCA and associated P value (Monte Carlo permutation test) |
本研究的试验结果与第一个假设相符:土壤节肢动物密度和类群数,随着生物质炭施用量的增加呈先增加后降低的趋势。B10(10 t/hm2)处理下的土壤节肢动物密度和类群数高于其他处理,这可能是因为添加适量的生物质炭能够改善土壤环境,给土壤节肢动物提供适宜的生存条件。B50(50 t/hm2)处理下土壤节肢动物的密度和类群数总体上低于其他处理,这可能是因为生物质炭本身也是一种毒物。室内控制试验表明,生物质炭对土壤节肢动物的毒性在添加量 > 5% (生物质炭与土壤的质量比)时就会表现出来[21]。盆栽试验结果也表现出相似趋势,生物质炭低量添加下(< 5%)对土壤节肢动物群落起促进作用,施炭量过高(> 10%)对土壤节肢动物产生负面影响[13, 18-19]。土壤节肢动物群落的多样性指数和均匀度指数等是土壤肥力的重要标志,也可用于监测农业生态系统的变化[22-23]。本研究发现,在玉米不同生育期生物质炭不同施用量对土壤节肢动物多样性特征的影响不同,尤其在生物质炭施入的初期阶段较为明显。这可能是因为施用生物质炭初期,较大地改变土壤理化性质,进而对土壤动群落多样性特征造成较大影响;随着时间的延长,土壤环境逐渐趋于稳定,对土壤动物群落多样性特征的影响逐渐减小。另一方面,生物质炭施入初期也是玉米生长初期,作物对土壤节肢动物的影响较小;生物质炭输入后期,到玉米的灌浆期或成熟期,玉米地上地下生物量增大,根系分泌物增多,对土壤节肢动物的影响增加,可抵消部分生物质炭高施入量对土壤节肢动物的毒害作用[24]。
生物质炭可通过改善土壤理化性质,影响土壤节肢动物的群落结构。虽然本研究的结果与第二个假设不符,但并不否定生物质炭对土壤节肢动物群落的影响是由于土壤环境的变化。本次研究的几个土壤指标并不能很好地揭示土壤节肢动物群落结构的变化规律。土壤温湿度是影响土壤节肢动物群落的主要指标之一[25]。本研究中土壤湿度在B50处理下较高,这是因为生物质炭具有丰富的微孔结构,向土壤中添加生物质炭会增加土壤的含水量(图 1),进而提高土壤节肢动物丰度,这与相关研究结果一致[26-27]。研究表明,在作物不同生育期生物质炭不同施用量下对土壤温度的影响不同:施炭量较高的处理在玉米苗期和拔节期增温效果更强,在抽雄、灌浆和成熟期施生物质炭处理土壤温度反而比对照低[28]。本研究中,玉米整个生长周期(因温湿度记录仪故障,6月22日前的温湿度数据丢失)施炭处理土壤温度均低于CK处理,可能是因为施炭处理地块玉米的长势均比CK处理好,对土壤的覆盖面积增大,阻碍了太阳光对地面的辐射,降低了生物质炭的增温作用[29]。
土壤pH与土壤节肢动物类群组成具有一定的相关性。van Zwieten等[30]研究发现,生物质炭可提高土壤pH、增加微生物活性,进而正向影响土壤节肢动物的种群结构和多度。高温裂解的生物质炭大多呈中性或碱性,其本身含有Ca2+、K+、Mg2+等盐基离子,可以交换土壤中的H+和Al3+,从而调节土壤的酸碱度[31]。生物质炭原料不同对土壤pH影响也具有差异:稻壳炭和木炭会使土壤pH升高,而棉花秸秆生物质炭则会使土壤pH降低[32]。本研究中的生物质炭原料为玉米秸秆,土壤pH随着生物质炭的添加而降低,这与Robertson等[33]研究生物质炭对中性碱性土壤的影响研究结果一致。但本研究中生物质炭仅在施用初期对土壤pH具有显著影响,在中后期其影响程度逐渐减弱。其原因可能是玉米种植过程中施用氮肥对土壤pH的影响较大[34-35],从而减弱了生物质炭对土壤pH的影响。
生物质炭含碳量较高,施入土壤能够提高土壤有机碳含量[36]。生物质炭本身也是一种有机碳,其施用导致土壤有机碳含量的增多,并不代表土壤肥力就高。研究指出,长期单一施用生物质炭会使土壤有机质中腐殖酸比例下降,而黑炭和胡敏素比例上升,导致土壤肥力降低[37]。这可能也是本研究中生物质炭高施用量(B50)下土壤有机碳含量最高,但土壤节肢动物密度和类群数最少的原因。生物质炭具有较高的阳离子交换量,而且灰分中含有金属离子,施入土壤后可提高土壤电导率(EC)[38]。农田土壤电导率可以用来反映土壤中可溶性离子的含量水平,也在一定程度上反映了土壤的盐碱化程度。本研究中,电导率最高的B50处理土壤节肢动物密度最低。这可能是因为施炭量过高造成电导率明显上升,这对于在土壤孔隙中生活的土壤节肢动物来说环境恶劣较难适应。
本研究只关注了土壤温度、湿度、pH、电导率和有机碳等5个环境指标,尽管测定的这5个环境指标显著影响了土壤节肢动物群落结构,但仅解释了物种变异的24.81%。未来应加强其他环境指标在不同施炭量和不同原料生物质炭与土壤节肢动物之间关系的研究,如地上/地下生物量、土壤微生物和根系分泌物等。另外,本次研究历时较短,且仅探讨了生物质炭一次性施用对土壤节肢动物群落的影响,今后应加强对生物质炭稳定性等影响下土壤节肢动物动态变化特征的监测,为生物质炭的田间应用提供更加科学的依据。
4 结论施用生物质炭作为改善土壤理化性质的措施之一,10 t/hm2生物质炭添加有助于提高土壤节肢动物个体数,施用50 t/hm2则不利于土壤节肢动物生存。不同施炭量下土壤温度的改变是影响土壤节肢动物群落最主要的环境因子。
| [1] |
许云翔, 何莉莉, 陈金媛, 等. 生物炭对农田土壤氨挥发的影响机制研究进展[J]. 应用生态学报, 2020, 31(12): 4312-4320 ( 0) |
| [2] |
Lehmann J, Rillig M C, Thies J, et al. Biochar effects on soil biota -A review[J]. Soil Biology and Biochemistry, 2011, 43(9): 1812-1836 DOI:10.1016/j.soilbio.2011.04.022 ( 0) |
| [3] |
Lehmann J, Joseph S. Biochar for environmental management: Science, Technology and Implementation[M]. 2nd Edition. London: Routledge, 2015.
( 0) |
| [4] |
Hol W H G, Vestergård M, ten Hooven F, et al. Transient negative biochar effects on plant growth are strongest after microbial species loss[J]. Soil Biology and Biochemistry, 2017, 115: 442-451 DOI:10.1016/j.soilbio.2017.09.016 ( 0) |
| [5] |
Jeffery S, Abalos D, Prodana M, et al. Biochar boosts tropical but not temperate crop yields[J]. Environmental Research Letters, 2017, 12(5): 053001 DOI:10.1088/1748-9326/aa67bd ( 0) |
| [6] |
Laird D, Fleming P, Wang B Q, et al. Biochar impact on nutrient leaching from a Midwestern agricultural soil[J]. Geoderma, 2010, 158(3/4): 436-442 ( 0) |
| [7] |
Spokas K A, Cantrell K B, Novak J M, et al. Biochar: a synthesis of its agronomic impact beyond carbon sequestration[J]. Journal of Environmental Quality, 2012, 41(4): 973-989 DOI:10.2134/jeq2011.0069 ( 0) |
| [8] |
Güereña D, Lehmann J, Hanley K, et al. Nitrogen dynamics following field application of biochar in a temperate North American maize-based production system[J]. Plant and Soil, 2013, 365(1/2): 239-254 DOI:10.1007/s11104-012-1383-4 ( 0) |
| [9] |
尹文英. 土壤动物学研究的回顾与展望[J]. 生物学通报, 2001, 36(8): 1-3 DOI:10.3969/j.issn.0006-3193.2001.08.001 ( 0) |
| [10] |
Liesch M, Weyers S, Gaskin J, et al. The effects of two different biochars on earthworm survival and microbial carbon levels[J]. Proceedings of the 19th World Congress of Soil Science: Soil solutions for a changing world, Brisbane, Australia, 1-6 August 2010. Symposium 4.2.2 Soil and water -global change, 2010, 67-70 ( 0) |
| [11] |
Djousse Kanouo B M, Allaire S E, Munson A D. Quality of biochars made from Eucalyptus tree bark and corncob using a pilot-scale retort kiln[J]. Waste and Biomass Valorization, 2018, 9(6): 899-909 DOI:10.1007/s12649-017-9884-2 ( 0) |
| [12] |
Malev O, Contin M, Licen S, et al. Bioaccumulation of polycyclic aromatic hydrocarbons and survival of earthworms (Eisenia andrei) exposed to biochar amended soils[J]. Environmental Science and Pollution Research, 2016, 23(4): 3491-3502 DOI:10.1007/s11356-015-5568-2 ( 0) |
| [13] |
Zhang Q M, Saleem M, Wang C X. Effects of biochar on the earthworm (Eisenia foetida) in soil contaminated with and/or without pesticide mesotrione[J]. Science of the Total Environment, 2019, 671: 52-58 DOI:10.1016/j.scitotenv.2019.03.364 ( 0) |
| [14] |
Gu J Q, Zhou W Q, Jiang B Q, et al. Effects of biochar on the transformation and earthworm bioaccumulation of organic pollutants in soil[J]. Chemosphere, 2016, 145: 431-437 DOI:10.1016/j.chemosphere.2015.11.106 ( 0) |
| [15] |
Sanchez-Hernandez J C, Ro K S, Díaz F J. Biochar and earthworms working in tandem: Research opportunities for soil bioremediation[J]. Science of the Total Environment, 2019, 688: 574-583 DOI:10.1016/j.scitotenv.2019.06.212 ( 0) |
| [16] |
唐静, 袁访, 宋理洪. 施用生物炭对土壤动物群落的影响研究进展[J]. 应用生态学报, 2020, 31(7): 2473-2480 ( 0) |
| [17] |
Domene X, Enders A, Hanley K, et al. Ecotoxicological characterization of biochars: Role of feedstock and pyrolysis temperature[J]. Science of the Total Environment, 2015, 512 ( 0) |
| [18] |
Li D, Hockaday W C, Masiello C A, et al. Earthworm avoidance of biochar can be mitigated by wetting[J]. Soil Biology and Biochemistry, 2011, 43(8): 1732-1737 DOI:10.1016/j.soilbio.2011.04.019 ( 0) |
| [19] |
Anyanwu I N, Alo M N, Onyekwere A M, et al. Influence of biochar aged in acidic soil on ecosystem engineers and two tropical agricultural plants[J]. Ecotoxicology and Environmental Safety, 2018, 153: 116-126 DOI:10.1016/j.ecoenv.2018.02.005 ( 0) |
| [20] |
尹文英. 中国土壤动物检索图鉴[M].
科学出版社, 北京, 1998
( 0) |
| [21] |
唐行灿. 生物炭修复重金属污染土壤的研究[D]. 泰安: 山东农业大学, 2013.
( 0) |
| [22] |
Sepp K, Ivask M, Kaasik A, et al. Soil biota indicators for monitoring the Estonian agri-environmental programme[J]. Agriculture, Ecosystems & Environment, 2005, 108(3): 264-273 ( 0) |
| [23] |
Wu T H, Ayres E, Bardgett R D, et al. Molecular study of worldwide distribution and diversity of soil animals[J]. Proceedings of the National Academy of Sciences of the United States of America, 2011, 108(43): 17720-17725 DOI:10.1073/pnas.1103824108 ( 0) |
| [24] |
阚正荣, 刘鹏, 李超, 等. 施用生物炭对华北平原土壤水分和夏玉米生长发育的影响[J]. 玉米科学, 2019, 27(1): 142-150 ( 0) |
| [25] |
Baronti S, Vaccari F P, Miglietta F, et al. Impact of biochar application on plant water relations in Vitis vinifera (L.)[J]. European Journal of Agronomy, 2014, 53: 38-44 DOI:10.1016/j.eja.2013.11.003 ( 0) |
| [26] |
陈威, 胡学玉, 张阳阳, 等. 番茄根区土壤线虫群落变化对生物炭输入的响应[J]. 生态环境学报, 2015, 24(6): 998-1003 ( 0) |
| [27] |
卢焱焱, 王明伟, 陈小云, 等. 生物质炭与氮肥配施对红壤线虫群落的影响[J]. 应用生态学报, 2016, 27(1): 263-274 ( 0) |
| [28] |
戴皖宁, 王丽学, Ismail Khan, 等. 秸秆覆盖和生物炭对玉米田间地温和产量的影响[J]. 生态学杂志, 2019, 38(3): 719-725 ( 0) |
| [29] |
Laird D A, Brown R C, Amonette J E, et al. Review of the pyrolysis platform for coproducing bio-oil and biochar[J]. Biofuels, Bioproducts and Biorefining, 2009, 3(5): 547-562 DOI:10.1002/bbb.169 ( 0) |
| [30] |
van Zwieten L, Kimber S, Morris S, et al. Effects of biochar from slow pyrolysis of papermill waste on agronomic performance and soil fertility[J]. Plant and Soil, 2010, 327(1/2): 235-246 ( 0) |
| [31] |
Laird D A, Fleming P, Davis D D, et al. Impact of biochar amendments on the quality of a typical Midwestern agricultural soil[J]. Geoderma, 2010, 158(3/4): 443-449 ( 0) |
| [32] |
孙嘉曼, 卜晓莉, 吴永波, 等. 喀斯特山地石灰土施用生物炭对刺槐幼苗生长和土壤特性的影响[J]. 生态学杂志, 2016, 35(12): 3250-3257 ( 0) |
| [33] |
Robertson S J, Rutherford P M, López-Gutiérrez J C, et al. Biochar enhances seedling growth and alters root symbioses and properties of sub-boreal forest soils[J]. Canadian Journal of Soil Science, 2012, 92(2): 329-340 DOI:10.4141/cjss2011-066 ( 0) |
| [34] |
Treseder K K. Nitrogen additions and microbial biomass: A meta-analysis of ecosystem studies[J]. Ecology Letters, 2008, 11(10): 1111-1120 DOI:10.1111/j.1461-0248.2008.01230.x ( 0) |
| [35] |
吴志丹, 尤志明, 江福英, 等. 行间覆盖绿肥对幼龄茶园土壤理化性状的影响[J]. 福建农业学报, 2013, 28(12): 1285-1290 DOI:10.3969/j.issn.1008-0384.2013.12.020 ( 0) |
| [36] |
Zimmermann M, Bird M I, Wurster C, et al. Rapid degradation of pyrogenic carbon[J]. Global Change Biology, 2012, 18(11): 3306-3316 DOI:10.1111/j.1365-2486.2012.02796.x ( 0) |
| [37] |
黄超, 刘丽君, 章明奎. 生物质炭对红壤性质和黑麦草生长的影响[J]. 浙江大学学报(农业与生命科学版), 2011, 37(4): 439-445 ( 0) |
| [38] |
才吉卓玛. 生物炭对不同类型土壤中磷有效性的影响研究[D]. 北京: 中国农业科学院, 2013.
( 0) |
2021, Vol. 53



0)