有机质是反映土壤肥力的重要指标[1],对烤烟生长发育和产质量均有重要的影响[2-4]。过高或过低的pH均会损害烟株根系,降低养分吸收效率,还会改变土壤中营养元素的形态和含量[5]。一定范围的有机质可以增强烟株的抗病能力,改善烟株农艺性状,促进烟株生长[6],增加烟叶中油分和还原糖含量,促进烟叶香气物质合成[7],提高烟叶产量和上等烟比例[8]。
研究表明,海拔和成土母岩或母质会影响到植烟土壤的pH和有机质[9-10],海拔梯度上温度和水分等环境因子变化会影响到土壤母质的风化、矿物质的分解和合成,以及物质积累和淋失[11],造成土壤肥力的差异。攀西山区覆盖四川省的凉山州和攀枝花市,位于101°14′ ~ 102°34′E、25°51′ ~ 28°17′N,面积6.36万km2,海拔梯度大,地貌类型和成土母岩类型多,加之独特的干热河谷半干旱气候造就了攀西烟叶独特的香型风格,其隶属于我国烤烟生产的西南高原生态区-清甜香型[12],也是四川烤烟主要种植区域。攀西山区植烟土壤方面的研究已有相关报道,涉及土壤系统分类[13]、pH、有机质、氮磷钾、有效铜和有效锌含量及空间变异[14],但攀西烟区植烟土壤pH和有机质的剖面垂直分布特征,以及耕层pH和有机质含量与海拔和成土母岩关系尚缺乏系统的研究。为此,本文选取了攀西山区主要植烟县区的代表性烟田,分析了其pH和有机质基本特征、剖面垂直分布模式以及耕层pH和有机质与海拔和成土母岩之间的关系,旨在为攀西地区烟田土壤改良和进一步提升烤烟产质量和品质提供科学指导。
1 材料和方法 1.1 典型烟田的确定代表性烟田的确定依据各县第二次土壤普查资料,按照地形地貌、成土母质、土地利用、土壤类型等的空间差异,结合当地烤烟种植区划,每个县(区)划分出4 ~ 5个植烟片区,在每个植烟片区,根据烟农经验以及烟株常年长势情况确定1个取样典型田块,一共确定了19个典型烟田,其基本信息见表 1。
|
|
表 1 四川攀西植烟区典型烟田区域的地理信息 |
在确定代表性田块大致的中心位置,用便携式GPS确定经纬度和海拔信息,挖掘土壤标准剖面:宽1.0 m×深1.2 m(若浅于1.2 m,则到基岩上界面向下至少10 cm)。成土因素、发生层划分以及形态观察记录依据《野外土壤描述与采样手册》[15]。采集的发生层土样,经室内自然风干、去杂、研磨过不同孔径筛后,有机质含量采用重铬酸钾氧化外加热法测定,pH测定采用电位计法[16]。
1.3 土壤有机质和pH分级标准参考梁红[17]的研究,pH和土壤有机质分级标准如表 2所示。
|
|
表 2 植烟土壤pH和有机质丰缺指标 |
采用SAS 9.4及Microsoft Excel 2016等软件进行数据处理和统计分析。
2 结果与讨论 2.1 耕层土壤pH和有机质含量 2.1.1 土壤pH代表性烟田耕层土壤pH变幅为4.11 ~ 7.89,平均为6.25,变异系数为16.3%,为中度变异[18]。从图 1可知,15.79% 烟田pH位于适宜植烟范围,处于最适宜植烟范围的为36.84%。但21.05%样点偏酸(pH < 5.5),可能与该地区长期大量施用酸性肥料有关[19]。4个植烟县之间土壤pH差异较大(表 3),会理县土壤pH最低,均值为5.73,而仁和区土壤pH均值最高,接近中性。部分烟田呈酸性的原因可能是因为该地区属于酸沉降区,高温多雨,并且长期使用酸性化肥所致。呈中性的烟田,多是由于施用了石灰或白云石粉改酸所致。个别烟田呈弱碱性,主要是由于这些烟田石灰性母岩所致(如石灰性紫色岩或石灰岩),对于pH低于5.5的酸性烟田,有必要继续酌情施用石灰或白云石粉等以改酸。
|
图 1 攀西山区植烟土壤pH级别分布 |
|
|
表 3 攀西植烟区烟田土壤pH |
从表 4中可以看出,耕层有机质含量平均为21.64 g/kg,变幅为9.20 ~ 47.80 g/kg,均属中等变异强度。依据全国第二次土壤普查肥力评价标准,其中会理、会东和仁和整体处于四级水平(10 ~ 20 g/kg),而米易整体处于二级水平(30 ~ 40 g/kg)。土壤有机质含量过高或者过低都不利于烟草的生长发育,从图 2可知,有机质含量大于35 g/kg的烟田占15.79%,而小于20 g/kg的占57.89%,这些烟田均不适宜植烟。其中有5.26% 烟田有机质含量小于10 g/kg,属于极低水平;而大于40 g/kg烟田占10.53%,属于极高水平;仅26.31% 烟田属于适宜-较适宜水平。陈江华等[20]研究认为我国北方适宜植烟土壤有机质含量为10 ~ 20 g/kg,而罗建新等[21]研究认为湖南省植烟区适宜烟叶生产的最佳有机质含量20 ~ 30 g/kg,但他们均认为有机质含量小于10 g/kg或高于40 g/kg时不利于烤烟的生长。除米易县有机质含量较高外,其余各县有机质含量偏低且差异不显著。
|
|
表 4 攀西植烟区烟田土壤有机质含量 |
|
图 2 攀西山区植烟土壤有机质各级别所占比例 |
研究表明,有机质含量高的土壤所产烟叶其香气物质总量显著高于有机质含量低的土壤,香气物质总量与土壤有机质含量呈正相关关系[30]。本地区36.84% 的土壤有机质含量处于极低或者低水平,因此为提升烤烟的香气需增施有机肥、秸秆还田和种植冬季绿肥。但也有15.79% 的烟田有机质含量处于很高或者高水平,这些烟田应减量使用氮肥,以防止烤烟吸氮过多,造成烟碱量偏高,进而降低烤烟品质[31]。综合看来,攀西烟区土壤有机质含量整体虽然略偏低,但接近适宜水平,有待进一步提升以更适合烟草的生长。
2.2 不同海拔土壤pH和有机质攀西山区代表性烟田海拔介于1 606 ~ 2 312 m(表 1)。以100 m为幅度,并控制每个水平内的样本量接近,将这19个取样点划分成6个海拔区间。与周炼川等[22]和贺丹锋等[23]所得出的随海拔上升,土壤pH降低的趋势的结论有所不同。由表 5可知,在1 600 ~ 1 700 m内,土壤平均pH为6.72,随着海拔升高,土壤pH变化较复杂。至1 900 ~ 2 000 m时,土壤pH平均值为6.97,达到最高值。至海拔高于2 100 m时,土壤pH平均值仅为5.12,降低到最低值。一方面可能是由于攀西地区气候条件所影响,高海拔地区温度低,土壤中微生物活性弱,且土壤淋溶作用较强,导致土壤有机质分解不彻底,产生了部分有机酸,使土壤pH降低,另外一方面也可能是由于各地区之间耕作制度上的差异。
|
|
表 5 不同海拔下攀西植烟区土壤pH |
从表 6可以看出,随着海拔升高,土壤有机质含量变化也很复杂。海拔1 600 ~ 1 700 m以及大于2 100 m这两个区间内有机质含量较高,分别达到了31.20和36.30 g/kg。在其他区间内,有机质含量较低,且变化不大,无显著性差异。
|
|
表 6 不同海拔下四川攀西植烟区土壤有机质含量 |
从图 3可以看出,土壤耕层有机质含量随着耕层土壤pH的增大而减小。这是由于酸性土壤会降低有机碳的溶解性[24],增加生物毒性阳离子(如Al3+和Mn2+)的数量[25],改变微生物种群组成和数量,以及改变土壤微生物活性和酶活性[26]。武小钢等[27]、阙劲松等[28]和尚斌等[29]均发现土壤有机质含量会随pH升高而降低,本文研究结论与他们相一致。
|
图 3 攀西山区植烟土壤耕层pH与有机质含量关系 |
攀西山区典型烟田的成土母质主要包括第四纪红黏土、石灰性紫泥岩风化残积物、石灰性紫砂岩风化坡积物、石灰岩风化坡积物、紫砂岩风化坡积物、石英岩风化坡积物、玄武岩风化坡积物、紫红砂岩风化坡积物、石英岩风化沟谷堆积物9种。为方便比较,本文将对成土母质的类型划分为第四纪红黏土、风化坡积物、风化残积物和沟谷堆积物四大类。
从表 7可以发现,沟谷堆积物发育形成的土壤pH为6.03,变幅为4.44 ~ 7.36,变异系数为20.7%;第四纪红黏土发育形成的土壤pH为6.48,变幅为5.96 ~ 7.45,变异系数为13.0%;岩类风化残积物发育形成的土壤pH均值为5.70,变幅为4.11 ~ 7.70,变异系数为32.1%;岩类风化坡积物发育形成的土壤pH为6.43,变幅为5.30 ~ 7.89,变异系数为12.7%。各成土母质的pH均属于中度变异[18]。
|
|
表 7 不同成土母质植烟区土壤pH |
攀西山区不同成土母质烟田耕层有机质含量分析结果显示(表 8),沟谷堆积物的烟田有机质含量为15.65 g/kg,变幅为10.70 ~ 27.40 g/kg,变异系数为50.8%;第四纪红黏土发育形成的土壤有机质含量为18.93 g/kg,变幅为12.00 ~ 26.90 g/kg,变异系数为39.6%;岩类风化残积物发育形成的土壤有机质含量均值为24.13 g/kg,变幅为12.30 ~ 34.20 g/kg,变异系数为45.8%,整体处于最适宜烟草生长的有机质含量水平;岩类风化坡积物发育形成的土壤有机质含量为24.39 g/kg,变幅为9.19 ~ 47.80 g/kg,变异系数为56.0%,也在最适宜烟草生长的含量范围内。各成土母质的有机质含量均属于中等变异强度[18]。变异系数较大主要是因为该区域施肥不均匀、翻耕或者是土壤侵蚀和水土流失等原因。各母质的烟田耕层有机质含量由高到低依次是岩类风化沟谷残积物、坡积物>第四纪红黏土>堆积物。第四纪红土发育的烟田土壤,其有机质含量也比较高,主要是因为第四纪红土的黏粒含量多,土壤有机质积累多[11]。另外母质为风化坡积物和风化残积物形成的土壤有机质含量相近,无显著性差异,这可能是因为风化残积物和坡积物都是在山坡上,且两类母质在攀西地区的地貌分布相近,差异性不大。
|
|
表 8 不同成土母质植烟土壤有机质含量 |
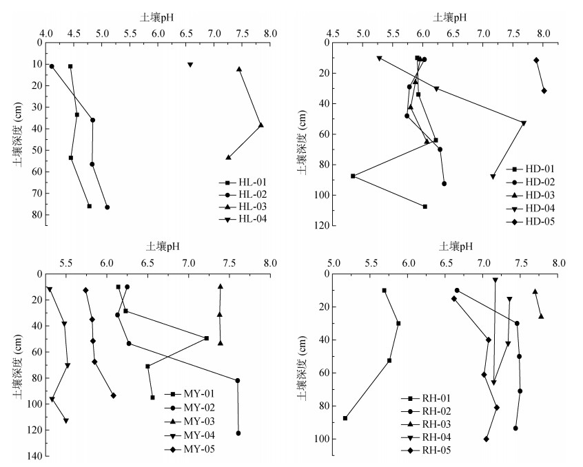
图 4表明,19个典型烟田整体多表现出pH随着土壤深度的加深而升高,仅RH-01表现出相反的趋势,可能与成土母质多样化和施肥状况有关。HD-04和MY-02的pH随土壤深度的变化趋势最大,其他烟田pH随深度变化较小。HL-03、HD-05、MY-03和RH-03耕层呈弱碱性,一方面是与石灰性的母质有关(如HD-05、MY-03和RH-03),另外一方面也可能与投入碱性物料改酸过量有关。HL-01和HL-02的pH明显低于其他烟田,可能与该样点长期使用酸性肥料有关。
|
图 4 四川攀西山区土壤pH剖面垂直分布特征 |
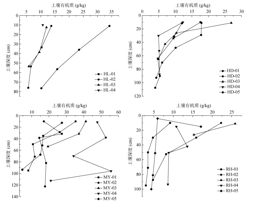
调查的典型烟田土壤有机质整体上表现出明显的富集现象,表层的土壤有机质含量高,随着土壤深度的增加,土壤有机质含量减小,这主要是由于有机肥的施用以及秸秆还田等措施增加了耕层的有机质含量,如果中间出现有机质高的土层,一般是埋藏表层所致。攀西山区4个典型植烟县中,有机质含量剖面波动最大的是米易县,变幅为4.60 ~ 55.7 g/kg。同一剖面上,MY-04有机质含量最高,5个发生层有机质含量分别是47.80、52.70、34.10、55.70和21.00 g/kg,显著高于攀西山区其他烟田(图 5)。HL-02的4个发生层有机质含量分别为34.20、23.50、15.80和10.20 g/kg,显著高于会理县其他取样点。会东和仁和两地不同烟田同一剖面之间有机质含量差异较小。
|
图 5 四川攀西山区土壤有机质含量剖面垂直分布特征 |
本研究表明,攀西山区耕层pH总体上适宜植烟,但21.05% 样点偏酸。有机质总体上略低于植烟适宜水平,57.89% 的样点有机质偏低,15.79% 的烟田有机质偏高。不同成土母质的耕层有机质含量由高到低依次是风化坡积物、残积物>第四纪红黏土>沟谷堆积物,土壤pH和有机质之间呈负相关关系,pH随着深度的增加而增大,有机质表现出明显表聚现象,pH和有机质与海拔的关系均较为复杂。
| [1] |
何牡丹, 李志忠, 刘永泉. 土壤有机质研究方法进展[J]. 新疆师范大学学报(自然科学版), 2007, 26(3): 249-251 DOI:10.3969/j.issn.1008-9659.2007.03.077 ( 0) |
| [2] |
张久权, 张瀛, 张清明, 等. 土地整理后绿肥压青对土壤改良和烤烟产质量的影响[J]. 烟草科技, 2017, 50(10): 22-29 ( 0) |
| [3] |
唐莉娜, 熊德中. 土壤酸度的调节对烤烟根系生长与烟叶化学成分含量的影响[J]. 中国生态农业学报, 2002, 10(4): 65-67 ( 0) |
| [4] |
陈建军, 陈建勋, 吕永华. 根际pH值对烟草无机营养吸收的影响(简报)[J]. 植物生理学通讯, 1996, 32(5): 341-344 ( 0) |
| [5] |
刘国顺. 烟草栽培学[M].
中国农业出版社, 北京, 2003
( 0) |
| [6] |
张新要, 袁仕豪, 易建华, 等. 有机肥对土壤和烤烟生长及品质影响研究进展[J]. 耕作与栽培, 2006(5): 20-21, 46 DOI:10.3969/j.issn.1008-2239.2006.05.006 ( 0) |
| [7] |
刘国顺, 刘韶松, 贾新成, 等. 烟田施用有机肥对土壤理化性状和烟叶香气成分含量的影响[J]. 中国烟草学报, 2005, 11(3): 29-33 DOI:10.3321/j.issn:1004-5708.2005.03.006 ( 0) |
| [8] |
孙燕, 高焕梅, 和林涛. 土壤有机质及有机肥对烟草品质的影响[J]. 安徽农业科学, 2007, 35(20): 6160-6161 DOI:10.3969/j.issn.0517-6611.2007.20.080 ( 0) |
| [9] |
潘红丽, 李迈和, 蔡小虎, 等. 海拔梯度上的植物生长与生理生态特性[J]. 生态环境学报, 2009, 18(2): 722-730 DOI:10.3969/j.issn.1674-5906.2009.02.059 ( 0) |
| [10] |
Tranquillini W. Physiological ecology of the alpine timberline[M].
Springer Berlin Heidelberg, Berlin, Heidelberg, 1979
( 0) |
| [11] |
黄昌勇. 土壤学[M].
中国农业出版社, 北京, 2000
( 0) |
| [12] |
罗登山, 王兵, 乔学义. 《全国烤烟烟叶香型风格区划》解析[J]. 中国烟草学报, 2019, 25(4): 1-9 ( 0) |
| [13] |
王程栋, 徐宜民, 杨建春, 等. 四川省攀西山区代表性烟田土壤系统分类研究[J]. 土壤, 2019, 51(3): 617-621 ( 0) |
| [14] |
杨智棋. 攀西地区植烟土壤有效磷空间变异特征及其对烟叶品质的影响研究[D]. 雅安: 四川农业大学, 2014.
( 0) |
| [15] |
张甘霖, 龚子同. 土壤调查实验室分析方法[M].
科学出版社, 北京, 2012
( 0) |
| [16] |
鲁如坤. 土壤农业化学分析方法[M].
中国农业科技出版社, 北京, 1999
( 0) |
| [17] |
梁红. 重庆植烟土壤肥力特征及评价[D]. 重庆: 西南大学, 2014.
( 0) |
| [18] |
胡伟, 邵明安, 王全九. 黄土高原退耕坡地土壤水分空间变异的尺度性研究[J]. 农业工程学报, 2005, 21(8): 11-16 DOI:10.3321/j.issn:1002-6819.2005.08.003 ( 0) |
| [19] |
王丽颖. 本溪县土壤理化性质的变化及改进措施[J]. 农业科技与装备, 2018(3): 12-13 ( 0) |
| [20] |
陈江华, 李志宏, 刘建利, 等. 全国主要烟区土壤养分丰缺状况评价[J]. 中国烟草学报, 2004, 10(3): ■-■ ( 0) |
| [21] |
罗建新, 石丽红, 龙世平. 湖南主产烟区土壤养分状况与评价[J]. 湖南农业大学学报(自然科学版), 2005, 31(4): 376-380 ( 0) |
| [22] |
周炼川, 徐天养, 张家征, 等. 文山烟区植烟土壤pH分布特点及其与主要养分的相关关系[J]. 中国烟草学报, 2014, 20(1): 61-64 DOI:10.3969/j.issn.1004-5708.2014.01.011 ( 0) |
| [23] |
贺丹锋, 周冀衡, 张毅, 等. 云南省罗平烟区植烟土壤pH分布特征及其与土壤养分的相关性[J]. 作物研究, 2016, 30(2): 136-141 ( 0) |
| [24] |
Vance G F, David M B. Forest soil response to acid and salt additions-of sulfate[J]. Soil Science, 1991, 151(4): 297-305 DOI:10.1097/00010694-199104000-00005 ( 0) |
| [25] |
Foy C D. Physiological effects of hydrogen, aluminum, and manganese toxicities in acid soil//Madison WI. Agronomy monographs[M]. USA: American Society of Agronomy, Crop Science Society of America, Soil Science Society of America, 2015: 57-97.
( 0) |
| [26] |
Haynes R J, Swift R S. Effects of lime and phosphate additions on changes in enzyme activities, microbial biomass and levels of extractable nitrogen, sulphur and phosphorus in an acid soil[J]. Biology and Fertility of Soils, 1988, 6(2): 153-158 ( 0) |
| [27] |
武小钢, 郭晋平, 杨秀云, 等. 芦芽山典型植被土壤有机碳剖面分布特征及碳储量[J]. 生态学报, 2011, 31(11): 3009-3019 ( 0) |
| [28] |
阙劲松, 唐佐芯, 李贤峰, 等. 红河州弥勒市植烟土壤pH和有机质分析[J]. 西南农业学报, 2019, 32(7): 1633-1638 ( 0) |
| [29] |
尚斌, 李德成, 徐宜民, 等. 武陵山烤烟产区土壤有机质与pH特征研究[J]. 土壤通报, 2015, 46(3): 590-596 ( 0) |
| [30] |
唐春闺, 李帆, 杨红武, 等. 浏阳植烟土壤pH和有机质时空变异及丰缺评价[J]. 云南农业大学学报(自然科学), 2017, 32(1): 134-139 ( 0) |
| [31] |
朱经伟, 彭友, 李志宏, 等. 配施菜籽饼对贵州省烟叶氮素和烟碱累积的影响[J]. 中国土壤与肥料, 2016(2): 120-125 ( 0) |
2021, Vol. 53



0)