2. 文山州农业农村局植保植检站, 云南文山 663000
烤烟是我国重要的经济作物,种植面积和总产量占世界的1/3以上[1]。云南省是我国第一植烟大省,烟叶产量约占全国总产量的45%。文山州位于云南省东南部,地处103°35′ ~ 106°12′ E和22°40′ ~ 24°28′ N,光、热、水、土资源非常适宜优质烤烟的生长,故被誉为“东方的津巴布韦”[2-3],是“云南黄金走廊”生态特色优质烟区的核心区域,目前烟叶种植面积2.47万hm2,是全国大型烟区之一。
烟草对土壤条件的反应相当敏感,土壤条件影响甚至决定烟叶产量和质量[4-8]。为保障优质烤烟的生产,我国烟草行业对烟田土壤管理非常严格,各烟区均制定了烤烟栽培技术规范,其中对施肥技术有较为详细的规定。国内关于烟田土壤肥力方面的研究报道很多,在中国知网(https://kns.cnki.net/)以“烟”“土壤”和“肥力”为关键词检索出的中文文献就近600篇,其中关于文山州的有6篇[9-14],但这些文献报道多关注肥力指标的现状,甚少涉及其动态变化。监测烟田土壤肥力指标的动态变化,有助于及时发现土壤存在的问题、指导科学施肥和开展相应的土壤保育工作。为此,本研究利用获取的2005—2020年期间文山州烟田土壤主要肥力指标信息,分析了其动态变化情况,以为合理施肥和土壤保育提供科学指导,以进一步促进烤烟产质量的协同发展。
1 材料与方法 1.1 土样采集与测定2005—2020年间(不含2015年)在文山州7个主要植烟片区(文山、丘北、砚山、广南、西畴、马关和麻栗坡)采集6 554个烟田的耕层土样(0 ~ 20 cm),按平均值±3×标准差方法剔除测定结果异常值后,剩余烟田土样5 176个(图 1)。
|
图 1 2005—2020年期间采集的烟田土样数量 Fig. 1 Numbers of soil samples collected from 2005 to 2020 |
调查采样烟田的确定主要是考虑烟田的空间分布均匀性和烟叶长势,采样时间为每年烤烟完全采摘后至第二年整地施肥移栽前,在确定的烟田中用不锈钢土钻随机采集5 ~ 8个点的耕作层(0 ~ 20 cm)土壤,充分混匀后用“四分法”留取1.5 kg装入布袋带回文山州土壤肥料测试中心。土样在室内经自然风干、去杂、研磨过不同孔径筛后,分别采用电位计法测定pH,重铬酸钾外加热法测定有机质(SOM),碱解扩散法测定碱解氮(AN),钼锑抗比色法测定有效磷(AP),火焰光度计法测定速效钾(AK)[15-16]。
1.2 烟田土壤肥力指标分级我国关于烟田土壤肥力指标分级的报道较多,在研究全国第二次土壤普查养分分级标准基础上,依据文山州实际情况[17],并结合云南其他烟区植烟土壤肥力指标分级报道[18-23],按照便捷服务于分类管理的理念,将文山州烟田土壤肥力指标简单划分为偏低、适宜和偏高3个级别,具体分级标准见表 1。
|
|
表 1 文山州烟田土壤肥力指标分级标准 Table 1 Grading standards of soil fertility indexes for tobacco-growing fields in Wenshan |
文中数据的统计及回归分析、显著性检验和制图等采用Microsoft Excel 2016和IBM Statistics SPSS 20.0软件进行,测定指标异常值的剔除按平均值± 3×标准差方法进行。
2 结果与分析 2.1 土壤肥力指标描述性统计表 2 ~ 表 6分别为2005—2020年文山州烟田土壤pH、SOM、AN、AP和AK的描述性统计信息。
|
|
表 2 2005—2020年烟田土壤pH描述性统计 Table 2 Descriptive statistics of soil pH value of tobacco-planting fields from 2005 to 2020 |
|
|
表 3 2005—2020年烟田土壤SOM含量描述性统计 Table 3 Descriptive statistics of soil SOM content of tobacco-planting fields from 2005 to 2020 |
|
|
表 4 2005—2020年烟田土壤AN含量描述性统计 Table 4 Descriptive statistics of soil AN content of tobacco-planting fields from 2005 to 2020 |
|
|
表 5 2005—2020年文山州烟田土壤AP含量描述性统计 Table 5 Descriptive statistics of soil AP content of tobacco-planting fields from 2005 to 2020 |
|
|
表 6 2005—2020年文山州烟田土壤AK含量描述性统计 Table 6 Descriptive statistics of soil AK content of tobacco-planting fields from 2005 to 2020 |
由表 1数据可知,研究区各年份土壤pH平均值介于6.01 ~ 6.71,总体平均为6.40,为适宜水平;SOM含量介于23.52 ~ 27.67 g/kg,平均为25.65 g/kg,为适宜水平;AN含量介于77.84 ~ 126.25 mg/kg,介于适宜–偏高水平,平均为102.25 mg/kg,为适宜水平;AP含量介于11.26 ~ 25.96 mg/kg,介于适宜–偏高水平,平均为18.84 mg/kg,为适宜水平;AK含量介于104.27 ~ 319.95 mg/kg,介于适宜–偏高水平,平均为164.33 mg/kg,为偏高水平。
各肥力指标在各年份均表现为中度变异(变异系数介于10% ~ 100%),以pH的变异系数最低,介于11.48% ~ 17.14%,平均为14.02%;其次是SOM,介于26.94% ~ 42.09%,平均为34.16%;AN介于27.07% ~ 41.91%,平均为34.75%;之后是AK,介于30.14% ~ 57.32%,平均为48.89%;AP最高,介于56.79% ~ 79.39%,平均为69.06%。pH在不同年份分别表现为正偏态分布(偏度 > 0)、负偏态分布(偏度 < 0)和接近正态分布(偏度≈0),SOM、AN、AP和AK则表现为正偏态分布或接近正态分布。pH、SOM、AN、AP和AK均为缓峰分布形式(峰度绝对值< 3)。
由土壤肥力指标年度间变化程度显著性检验结果(表 7)可知,pH及AN、AP含量分别有8个、7个和6个年份间的差异达到了显著水平(P < 0.05,下同),SOM和AK含量则均有9个年份间差异达到了显著水平。值得注意的是,2017年后,AK含量的年度升高程度均达到显著水平(P < 0.01)。
|
|
表 7 土壤肥力指标不同年度间差异显著性检验结果 Table 7 Results of significance test of soil fertility indexes between different years |
表 8为各肥力指标年度平均值与年份之间的Pearson相关系数,图 2为各肥力指标年度平均值随年份变化趋势图。表 8和图 2表明,仅AK含量与年份之间达到了显著相关,呈现出随年份显著升高趋势(y = 96.13e0.0615x,R2 = 0.847 6**,P < 0.01)。pH在2005—2010年期间总体呈下降趋势,之后总体呈现升高趋势;SOM含量变化趋势最为复杂,2005—2017年期间基本呈现升降交互趋势,之后呈现逐步升高趋势;AN含量在2005—2013年期间总体呈现升高趋势,2014—2017年期间呈现降低趋势,之后又呈现升高趋势;AP含量在2005—2012年期间总体呈现降低趋势,之后总体呈现升高趋势。
|
|
表 8 各土壤肥力指标年度平均值与年份之间的Pearson相关性 Table 8 Pearson correlation between soil fertility indexes with year |
|
图 2 土壤肥力指标年度平均值随年份变化 Fig. 2 Changes of soil fertility indexes with year |
表 9给出了2005—2020年期间各肥力指标各级别中的烟田土壤比例情况。由表 9可见,2005—2020年,pH和SOM、AN含量均以适宜级别的烟田土壤比例最高,分别介于35.62% ~ 66.00%、58.18% ~ 74.60%、40.30% ~ 64.44%,平均分别为50.02%、65.17%、54.15%;但AP和AK含量适宜级别与偏高级别的烟田土壤比例相当,AP含量适宜和偏高级别分别介于32.67% ~ 61.52% 和19.94% ~ 59.88%,平均分别为46.98% 和40.49%;AK含量适宜和偏高级别分别介于25.54% ~ 70.93% 和13.87% ~ 73.34%,平均分别为46.03% 和45.50%。
|
|
表 9 肥力指标各级别土样占比分布统计 Table 9 Proportions of soil samples in different grades of fertility indexes |
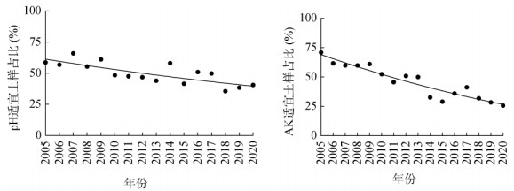
就适宜级别烟田土壤比例随年份变化情况来看(表 10和图 3),pH和AK含量适宜级别的烟田土壤比例随年份呈现显著降低趋势(pH:y = 1027e–0.029x,R2 = 0.609 3**,P < 0.01;AK:y = 0.0519x2–211.66x + 215872,R2 = 0.886 2**,P < 0.01),SOM、AN和AP含量适宜级别的烟田土壤比例总体上随年份呈现升高的趋势,但没有达到显著水平(P > 0.05)。
|
|
表 10 肥力指标适宜级别土样比例与年份的Pearson相关性 Table 10 Correlation between sample proportions in suitable grades of fertility indexes with year |
|
图 3 pH和AK含量适宜级别土样比例随年份的变化 Fig. 3 Changes of soil sample proportions in suitable grades of pH and AK with year |
本研究结果表明,2005—2020年期间,文山州烟田土壤pH介于6.01 ~ 6.71,平均为6.40,处于适宜水平(5.5 ~ 7.5)。这主要是烟草公司为了保障烤烟种植适宜的土壤pH,会不定期地对酸性土壤(pH < 5.5)施用碱性物料(如石灰、白云山粉、生物质炭等)进行改酸所致。这一点也反映在pH适宜级别的烟田比例最高方面(介于35.62% ~ 66.00%,平均为50.02%)。
2005—2020年期间,文山州烟田SOM介于23.52 ~ 27.67 g/kg,平均为25.65 g/kg,处于适宜水平(10 ~ 30 g/kg)。SOM是衡量土壤肥力的重要指标,不仅是烟株生长所需养分的主要来源,而且对改善烟叶化学品质、协调和提高烟叶香气品质有重要作用[24-28]。但SOM含量过高或过低均会对烟叶产量和质量产生不良影响[29]。文山州农田SOM本底较高(50% 以上土壤有机质20 g/kg以上)[30],加之秸秆还田[31]以及烤烟种植常年的饼肥基施,使得文山州烟田SOM总体上基本能够维持在烤烟种植的适宜水平,也保证了2005—2020年期间烟田SOM适宜级别的烟田比例最高(介于58.18% ~ 74.60%,平均为65.17%)。本研究发现,2017年后SOM呈现逐步升高趋势,这是注意到前几年SOM出现了较为明显的降低(图 2),为此采取了相应措施增加了有机物料(如秸秆还田、加施饼肥和施用生物有机肥等)的投入以提高SOM的结果。
2005—2020年期间,文山州烟田土壤AN含量为77.84 ~ 126.25 mg/kg,介于适宜–偏高水平,平均为102.25 mg/kg,为适宜水平。出现AN含量偏高的一个主要原因是一些烟农出于以高产获取高收益的想法,私下追施氮肥所致。但总体而言,由于土壤氮肥利用率相对较高,易被作物吸收,且氮在土壤中迁移率较高,易随着降雨而流失,不易在土壤中积累,所以烟田土壤AN含量总体上能够维持在烤烟生产的适宜水平。烟田土壤AN含量在2013年之前总体上呈现升高趋势,2014—2017年期间呈现降低趋势,之后又呈现升高趋势,这与烟草公司针对烟田土壤AN含量的不同变化情况,在不同时期采取了氮肥用量增减的措施有关。
2005—2020年期间,文山州烟田土壤AP含量为11.26 ~ 25.96 mg/kg,介于适宜–偏高水平,平均为18.84 mg/kg,为适宜水平。烟田土壤AP含量在2005—2012年期间总体上呈现降低趋势,之后总体上呈现升高趋势(图 2)。这是由于2005年的土壤调查分析发现,文山州烟田土壤AP含量总体上较高,平均含量约26 mg/kg,已处于偏高水平,为此烟草公司采取了降低烤烟专用复合肥中的磷素比例的措施,以逐步降低土壤AP含量。但2012年后调查分析发现,此时烟田土壤的AP含量已降到适宜水平的低值,于是重新调整烤烟专用复合肥配方,适当增加了磷素,于是烟田土壤AP含量总体上又开始逐年提升。
2005—2020年期间,文山州烟田土壤AK含量为104.27 ~ 319.95 mg/kg,介于适宜–偏高水平,平均为164.33 mg/kg,为偏高水平。由于富钾烟叶燃烧性好、香气足、吃味佳、油分充足,且烤烟是喜钾作物,故钾常被作为评价烟叶品质优劣的重要指标之一[32-33],因此烟田土壤AK含量随着年份的增加呈现显著的升高趋势。我国土壤普遍缺钾[34],为了保证和提升烤烟烟叶含钾量,一般强调施用较多钾肥,文山州烟田每亩施用氧化钾(K2O)为约22 kg/亩(1亩= 667m2),远远高于其他作物(如玉米一般为5 ~ 8 kg/亩)。
根据本研究结果,目前文山州尚有25.84% 和33.50% 的烟田土壤pH偏低和偏高,前者需要注意施用碱性物料改酸,后者需要注意施用酸性物料改碱。尚有7.76% 和7.87%、34.42% 和42.9% 的烟田土壤AN和AP含量偏低、偏高,前者需要注意适当增施氮磷肥,后者需要注意适度削减氮磷肥用量。但值得注意的是,目前文山州已有73.34% 的烟田土壤AK含量偏高,考虑烟农的肥料投入成本,今后应采取有效措施提高残留于土壤中的钾素利用率,依据烤烟的长势酌情减少追施的钾肥量。
4 结论本研究表明,2005—2020年期间,文山州烟田土壤pH和SOM含量总体处于烤烟种植的适宜水平,但AN、AP和AK含量总体处于烤烟种植的适宜–偏高水平。AK含量随年份呈现显著增加趋势,pH及SOM、AN、AP含量随年份的变化趋势较为复杂。2020年文山州烟田土壤尚存在pH、AN和AP含量偏低或偏高的情况,需要酌情改酸改碱、适当增减氮磷肥施用。对于绝大部分烟田土壤AK含量偏高的突出情况,需提高残留于土壤中的钾素利用率,酌情减少钾肥的追施量。
| [1] |
刘国顺. 烟草栽培学[M].
中国农业出版社, 北京, 2003: 58-64
( 0) |
| [2] |
夏时波. 文山烟区生态条件及烟叶质量特征分析[D]. 长沙: 湖南农业大学, 2014.
( 0) |
| [3] |
云南省烟草公司文山州公司. 文山特色优质烟叶生产年鉴[M].
云南科技出版社, 昆明, 2018: 37-38
( 0) |
| [4] |
王永齐, 潘义宏, 符秀华, 等. 不同土壤改良措施对植烟土壤理化性质及烟叶品质的影响[J]. 江西农业学报, 2020, 32(4): 84-89 ( 0) |
| [5] |
陈翔, 高艾飞, 李晓清, 等. 不同栽培措施组合对白肋烟TSNAs含量及品质的影响[J]. 烟草科技, 2017, 50(2): 1-8 ( 0) |
| [6] |
罗万麟, 李永栋, 杨柳. 四川烟区植烟土壤理化性质对烟叶物理特性的影响[J]. 天津农业科学, 2018, 24(1): 71-75 ( 0) |
| [7] |
任四海, 徐辰生, 孙敬权, 等. 土壤肥力因子与烤烟品质的关系[J]. 安徽农业科学, 2004, 32(2): 368-369, 390 DOI:10.3969/j.issn.0517-6611.2004.02.093 ( 0) |
| [8] |
赵阿娟, 文婧, 丁春霞, 等. 长沙植烟区土壤理化性质与烟叶常规化学成分相关性分析[J]. 作物研究, 2018, 32(6): 511-515 ( 0) |
| [9] |
周炼川, 徐天养, 张家征, 等. 文山烟区植烟土壤pH分布特点及其与主要养分的相关关系[J]. 中国烟草学报, 2014, 20(1): 61-64 ( 0) |
| [10] |
殷红慧, 张家征, 徐天养, 等. 文山烟区主要植烟土壤养分综合评价与分析[J]. 云南农业大学学报, 2014, 29(6): 888-895 ( 0) |
| [11] |
李卫, 张树锋, 向成高, 等. 云南文山烟区土壤有机质的时空分布特征[J]. 中国烟草科学, 2014, 35(6): 44-47 ( 0) |
| [12] |
殷红慧, 许龙, 冯坤, 等. 文山植烟土壤有机质和氮含量的研究[J]. 云南农业大学学报(自然科学), 2015, 30(6): 902-908 ( 0) |
| [13] |
王政, 张晓龙, 敖金成, 等. 文山市不同生态区土壤养分的时空异质性及适宜性[J]. 中国烟草科学, 2016, 37(6): 37-42 ( 0) |
| [14] |
王治伟. 文山烟区植烟土壤养分状况及烤烟种植施肥建议[D]. 长沙: 湖南农业大学, 2015.
( 0) |
| [15] |
鲍士旦. 土壤农化分析(3版)[M].
中国农业出版社, 北京, 2000
( 0) |
| [16] |
鲁如坤. 土壤农业化学分析方法[M].
中国农业科技出版社, 北京, 2000
( 0) |
| [17] |
葛江云, 王跃能, 阎超, 等. 云南文山植烟土壤肥力Fuzzy综合评价[J]. 作物研究, 2014, 28(4): 375-378 ( 0) |
| [18] |
王育军, 李爽, 李强, 等. 云南陆良县烟区土壤肥力评价及其影响因素[J]. 湖南文理学院学报(自然科学版), 2018, 30(3): 89-94 ( 0) |
| [19] |
王育军, 鲁鑫浪, 陈丽鹃, 等. 云南宜良烟区土壤肥力适宜性评价[J]. 湖南农业大学学报(自然科学版), 2014, 40(3): 246-252 ( 0) |
| [20] |
谭智勇, 周冀衡, 王超, 等. 云南保山市植烟土壤养分含量及肥力适应性评价[J]. 湖南农业大学学报(自然科学版), 2013, 39(4): 429-434, 444 ( 0) |
| [21] |
胡海洲, 丁根胜, 陈志强, 等. 云南牟定主要植烟区土壤肥力评价[J]. 安徽农业科学, 2013, 41(19): 8158-8162 ( 0) |
| [22] |
段必挺, 苏仕开, 张儒和, 等. 云南施甸烟区植烟土壤肥力综合评价[J]. 江西农业学报, 2012, 24(3): 122-124, 131 ( 0) |
| [23] |
李卫, 周冀衡, 张一扬, 等. 云南曲靖烟区土壤肥力状况综合评价[J]. 中国烟草学报, 2010, 16(2): 61-65 ( 0) |
| [24] |
罗华元, 王绍坤, 常寿荣, 等. 烤烟钾含量与土壤pH、有机质和速效钾含量的关系[J]. 中国烟草科学, 2010, 31(3): 29-32 ( 0) |
| [25] |
何承刚, 张金华, 苏德艳, 等. 保山烤烟总糖含量与植烟土壤有机质含量的分布特征及关系分析[J]. 云南农业大学学报, 2008, 23(6): 832-835 ( 0) |
| [26] |
赵铭钦, 刘金霞, 刘国顺, 等. 增施不同的有机质对烤烟多酚和石油醚提取物含量的影响[J]. 云南农业大学学报, 2008, 23(4): 536-539 ( 0) |
| [27] |
许自成, 王林, 王金平, 等. 湖南烤烟化学成分与土壤有机质含量的关系[J]. 生态学杂志, 2006, 25(10): 1186-1190 ( 0) |
| [28] |
李强, 张一扬, 程昌新, 等. 曲靖烤烟钾含量特征及其与主要生态因子关系研究[J]. 核农学报, 2017, 31(5): 918-926 ( 0) |
| [29] |
王彦亭, 谢剑平, 李志宏. 中国烟草种植区划[M].
科学出版社, 北京, 2010
( 0) |
| [30] |
蒲敏昌. 略谈云南耕作土壤的有机质状况及其改善途径[J]. 云南农业科技, 1980(5): 43-46 ( 0) |
| [31] |
薄国栋. 秸轩还田对植烟土壤理化性质及生物学特性影响研究[D]. 中国农业科学院, 2014.
( 0) |
| [32] |
中国农业科学院烟草研究所. 中国烟草栽培学[M].
上海科学技术出版社, 上海, 1987
( 0) |
| [33] |
闫慧峰, 石屹, 李乃会, 等. 烟草钾素营养研究进展[J]. 中国农业科技导报, 2013, 15(1): 123-129 ( 0) |
| [34] |
冀宏杰, 张怀志, 张维理, 等. 我国农田土壤钾平衡研究进展与展望[J]. 中国生态农业学报, 2017, 25(6): 920-930 ( 0) |
2. Plant Protection and Inspection Station of Wenshan Agricultural and Rural Bureau, Wenshan, Yunnan 663000, China
2022, Vol. 54



0)