土壤是作物赖以生存的基础,土壤肥力高低对作物产量和品质起着至关重要的作用。pH、有机质和微量元素是表征土壤肥力的指标[1]。有机质是土壤的重要组成部分,能够提升土壤养分供应能力,改善土壤结构和耕层微生物区系[2-3],是植物的养分来源和土壤微生物生命活动的能量来源[4],对稳定土壤结构起着重要的作用。pH影响土壤养分的形成、转化和有效性,从而影响作物的生长发育以及产量和质量[5-6]。微量元素主要参与植株体内生理生化过程,并与叶绿体、多种氧化酶和多种呼吸酶的合成息息相关,从而参与植物的代谢过程[7]。土壤pH和有机质与微量元素有效态之间存在密切的联系[8-9],我国已有植烟土壤pH和有机质与微量元素有效态之间关系的报道[10-14],但河南烟区这方面的研究却鲜有报道。为此,本文以河南豫中烟区为研究对象,通过系统采样和测定,分析土壤有效态微量元素、pH和有机质的含量特征及其之间的关系,以期为豫中烟区植烟土壤养分管理和土壤保育提供参考。
1 材料与方法 1.1 土壤样品采集根据豫中烟区的烤烟种植空间分布情况,2020年采用网格式取样法在许昌市(建安、襄城、禹州)和漯河市(城区、临颍、舞阳)的6个植烟县(区),确定了191个代表性烟田。在整地起垄前进行土样采集,采样方式为在每个代表性烟田内,采用梅花形5点取样法,用竹铲采集0 ~ 20 cm的耕层土壤,组成混合样品,充分混匀后采用四分法留取1 kg左右带回实验室,经室内常温自然风干后,研磨过不同孔径尼龙筛装瓶备用待测。
1.2 测定项目及方法采用电位法(水土比=2.5:1,V: m)测定pH,重铬酸钾外加热法测定有机质[15],二乙烯三胺五乙酸浸提- ICP-AES法测定有效铜、铁、锰、锌和钼[16]。
1.3 植烟土壤pH、有机质和有效态微量元素含量适宜性分级参照《全国第二次土壤普查土壤养分分级标准》[17]和邓小华等[18]的方法,进行植烟土壤pH、有机质和有效态微量元素的分级(表 1)。
|
|
表 1 土壤pH、有机质和微量元素分级标准 Table 1 Grading standards of pH, SOM and available trace element contents for tobacco-planting soil |
采用Excel 2010和SPSS 21.0软件进行原始数据处理及统计分析。采用SPSS中的探索性分析剔除异常值;多重比较采用新复极差法,差异显著水平P < 0.05。
2 结果与分析 2.1 有效态微量元素含量分布特征土壤有效铜含量比较丰富,变化范围0.10 ~ 3.68 mg/kg,均值为1.20 mg/kg,占比96.81% 的样点有效铜处于中等以上水平(表 2)。许昌以禹州含量最高,均值达到1.36 mg/kg,其次是建安和襄城,分别为1.08、1.07 mg/kg;但3个烟区之间差异不显著,90% 以上的样点处于中等-丰富水平,另有少部分处于极丰水平。漯河烟区以舞阳最高,均值达到1.56 mg/kg,且90% 以上的样点处于丰富-极丰水平;其次是城区,90% 的样点处于丰富-极丰水平,仅3.33% 的样点缺乏;临颍烟区变异较大,显著低于城区和舞阳,且有16.67% 的样点有效铜含量缺乏。
|
|
表 2 豫中不同县区土壤有效态微量元素含量统计 Table 2 Statistics of available trace elements contents in tobacco-planting fields in different counties |
土壤有效铁含量变化范围较大,介于1.43 ~ 184.5 mg/kg,均值为49.24 mg/kg,90.34% 的样点处于丰富-极丰水平(表 2)。许昌以禹州最高,均值为32.86 mg/kg,处于极丰水平;其次是建安区,为18.73 mg/kg,97.62% 的样点处于丰富-极丰水平;襄城显著低于禹州和建安,2.78% 的样点极为缺乏。漯河以舞阳最高,均值达到92.13 mg/kg,其次是临颍和城区,分别为82.72和54.49 mg/kg;3个烟区有效铁含量均非常丰富,分别有95.65%、94.44% 和76.67% 的样点处于极丰水平。
土壤有效锰含量均值为84.80 mg/kg,变化范围为6.22 ~ 182.24 mg/kg,99.54% 的样点处于丰富-极丰水平(表 2)。许昌3个烟区差异显著,以禹州最高,均值达到161.98 mg/kg,处于极丰水平;建安和襄城分别有97.62% 和61.11% 的样点处于极丰水平。漯河以临颍最高,均值为113.33 mg/kg,且与城区和舞阳差异显著,3个烟区除舞阳有8.70% 的样点为丰富水平外,其余均处于极丰水平。
土壤有效锌含量均值为1.71 mg/kg,变化范围0.40 ~ 9.94 mg/kg,97.68% 的样点处于中等水平以上(表 2)。许昌以禹州最高,均值为2.36 mg/kg,其次是建安,为1.42 mg/kg,襄城最低,为0.85 mg/kg,襄城和禹州差异显著;3个烟区除襄城县有13.89% 的样点缺乏之外,其他烟区均为中等及以上级别。漯河以城区最高,均值为2.27 mg/kg,其次是临颍,为1.95 mg/kg,舞阳含量最低,为1.40 mg/kg,3个烟区差异不显著,均处于中等以上级别。
土壤有效钼含量均值为0.02 mg/kg,变化范围为0.002 ~ 0.056 mg/kg(表 2)。其中许昌以禹州最高,均值为0.04 mg/kg,建安和禹州均为0.01 mg/kg;漯河以临颍最高,均值为0.02 mg/kg,城区和舞阳均为0.01 mg/kg。总体上看豫中植烟土壤有效态钼含量非常低,均处于极缺水平。
2.2 土壤pH和有机质含量特征表 3显示,豫中植烟土壤pH介于5.11 ~ 8.82,平均为7.90,有78.64% 的样点大于7.5。许昌3个烟区差异不显著,pH值均在7.0以上;漯河以舞阳最低,与城区和临颍差异显著,有56.52% 的样点介于5.5 ~ 7.0范围之内。
|
|
表 3 豫中不同县区土壤pH和有机质含量统计 Table 3 Statistics of pH values and SOM contents in tobacco-planting fields in different counties |
土壤有机质均值为17.78 g/kg,变化范围为8.90 ~ 29.39 g/kg,94.69% 的样点处于中等水平,仅1.98%和3.33% 的样点为缺乏或偏高(表 3)。许昌3个烟区差异不显著,建安和襄城处于中等水平,禹州有7.50%的样点处于缺乏水平。漯河以城区最高,均值达22.64 g/kg,与临颍和舞阳差异显著;3个烟区舞阳有4.35%的样点缺乏之外,其余均处于中等-丰富水平。
2.3 土壤有效态微量元素与pH和有机质的关系 2.3.1 相关性分析土壤中有效态微量元素与pH和有机质间的相关分析(表 4) 表明,有效铁和锌与pH之间呈显著正相关;有效铜、锰和钼与pH亦呈正相关,但相关性不显著。有效铜、锰和钼与有机质呈极显著正相关;有效锌与有机质呈正相关,有效铁与有机质呈负相关,但相关性均不显著。有效铜与有效铁、锰、锌和钼均呈正相关,且与有效铁呈极显著正相关,与有效锰呈显著正相关;有效铁与锰和锌呈正相关,与有效钼呈负相关,相关性均不显著;有效锰、锌和钼之间呈极显著正相关。
|
|
表 4 豫中烟区土壤有效态微量元素与pH和有机质间的相关性 Table 4 Correlations of soil available trace elements with pH and SOM in central Henan tobacco areas |
将191个土壤样品按照pH高低顺序等样本分组,每10个一组,最后一组11个数据,取每一个组内对应有效铜、铁、锰、锌和钼的平均值,分别形成19组数据,利用新的数据组采用平滑回归分析法分析有效态微量元素与pH和有机质的关系[19]。
图 1表明,仅有效铁和pH的回归方程拟合度较高,决定系数在0.500 0以上。有效铁与pH符合分段二次曲线关系,pH < 8.0时,随着pH的升高,有效铁含量增加;当pH > 8.0时,随pH的升高,有效铁含量下降。有效铜和锌与pH呈二次曲线关系,随着pH升高,有效铜和锌含量表现为先升后降的趋势;有效锰和钼含量与pH亦呈二次曲线关系,随着pH升高表现为先降后升的趋势。
|
图 1 土壤有效态微量元素与pH的关系 Fig. 1 Relationship between soil available trace elements and pH |
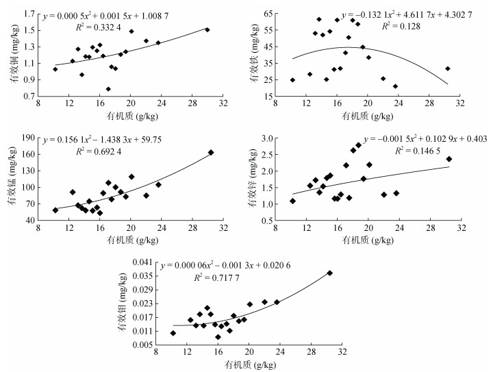
图 2表明,有效锰、钼和有机质的回归方程拟合度较高,决定系数在0.500 0以上。有效锰、钼、铜与有机质均呈二次曲线关系,随着有机质的增加,有效锰、钼和铜含量表现为上升趋势;有效铁与有机质呈二次曲线关系,但随着有机质的增加,有效铁含量表现为先升后降趋势;有效锌与有机质呈二次曲线关系,随着有机质的增加,有效锌含量表现为减速上升的趋势。
|
图 2 土壤有效态微量元素与有机质的关系 Fig. 2 Relationship between soil available trace elements and SOM |
微量元素是烟草生长发育所必需的营养元素,每种元素都有自己的特殊功能,缺一不可[20]。参照全国土壤第二次普查标准,豫中植烟土壤有效铜整体表现均丰富,小部分地区缺乏,其中漯河的临颍和城区分别有16.67% 和3.33% 的样点有效铜处于缺乏水平,可考虑配施铜肥。另外,外源铜元素易富集于土壤表层,对于有效铜含量丰富的烟区,应注重控制使用含硫酸铜的肥料和农药,防止铜对烟叶生长出现致毒效应。有效铁整体处于丰富-极丰水平,仅有许昌的襄城有2.78% 的样点表现为极缺乏,可考虑适当配施铁肥。有效锰基本处于丰富-极丰水平,且以极丰为主,表明豫中多数植烟土壤有效锰极为丰富,可不施用锰肥,以避免引起锰毒问题。有效锌整体处于适中-丰富水平,许昌襄城有13.89% 的样点处于缺乏水平,可考虑配施锌肥。有效钼整体处于极为缺乏水平,缺钼问题严重,应适当增施钼肥。
3.2 微量元素与pH和有机质的关系豫中土壤pH平均为7.90,表明土壤总体偏碱,这与陈海生和王素娜[21]的研究一致,可能与豫中烟区土壤母质为富含碳酸钙的黄土物质以及人为活动有关[22]。烤烟对土壤酸碱度适应性较强,在pH 4.0 ~ 9.0的土壤均能正常生长发育,一般认为适宜烤烟种植的土壤pH在5.5 ~ 6.5或7.0[11],但豫中植烟土壤pH明显偏高,应考虑采用秸秆还田、绿肥掩青等措施来降低土壤pH。有机质平均为17.78 g/kg,含量适中,这与优质烤烟种植要求有机质含量适中以及烟区严格控制氮肥投入有关。土壤有机质含量过高或过低都不利于烤烟生长,只有有机质含量适中的土壤,才能产出产量较高、品质较好的烟叶[23-25]。
土壤pH直接影响微量元素的活性,从而影响微量元素的迁移和淀积行为[26]。豫中土壤pH与有效铁和锌存在显著正相关,与有效铜、锰和钼相关性不显著,这与李强等[12]和郭山虎等[27]的研究结果不尽相同。杜明阳和赵秀兰[28]认为一定范围内提高土壤pH,可能使微生物分解活动加剧,促进溶解性有机质的生成,而溶解性有机质可以充当金属元素的“配位体”或结合“载体”,使土壤中金属元素的活性和迁移性大幅度提高。Harter[29]研究认为,当pH近中性或弱碱性时,土壤对铜、锌等元素的吸附能力大幅增加。本研究中pH与铜、铁和锌等有效态含量呈二次函数线性关系,在pH < 8.0时,有效铜、铁和锌的含量表现为上升趋势,pH大于8.0时,表现为下降的趋势,这可能是由pH介导的土壤吸附、微生物活动与有机质分解等多个过程综合作用的结果。
土壤有机质具有大量吸附位点,可以有效吸附土壤中的微量元素,然而,随着土壤有机质含量升高,溶解性有机质也可能相应增加,其可通过络合和螯合作用,提高微量元素的生物可利用性[30],本研究有效铜、锰和钼与有机质存在极显著正相关,这与宋刚和胡腾胜[31]以及李万武[32]关于有机质与有效铜、锌和锰的关系研究一致。表明增加土壤有机质能显著提高土壤有效铜、锰、钼的含量。有效铁和锌与有机质相关性不显著,其原因可能是受pH等因素的影响。因此,在烤烟适宜范围内,有效调控土壤有机质和pH,并结合微量元素间的作用机制,可以有效改变土壤中微量元素的含量,进而改善土壤的生产力和肥力。
4 结论豫中植烟土壤有效铁、锰、铜和锌总体上含量较高,但缺钼较为严重;土壤pH偏高,呈碱性,有机质含量适中。有效铁和锌与pH之间,有效铜、锰和钼与有机质之间呈显著相关。在pH偏高和有机质偏低的烟田,可考虑适当增施酸性肥料、实现秸秆还田或种植绿肥、配施微肥,以有效调节土壤中有效态微量元素的含量,改善土壤肥力和提高烟叶品质。
| [1] |
武婕, 李玉环, 李增兵, 等. 南四湖区农田土壤有机质和微量元素空间分布特征及影响因素[J]. 生态学报, 2014, 34(6): 1596-1605 ( 0) |
| [2] |
李孝刚, 彭曙光, 靳志丽, 等. 有机物料对植烟土壤氮素矿化及微生物性质的影响[J]. 土壤学报, 2021, 58(1): 225-234 ( 0) |
| [3] |
张一扬, 粟深河, 林北森, 等. 靖西市植烟土壤有机质含量的时空变异特征[J]. 土壤, 2020, 52(1): 202-206 ( 0) |
| [4] |
王清奎, 汪思龙, 冯宗炜, 等. 土壤活性有机质及其与土壤质量的关系[J]. 生态学报, 2005, 25(3): 513-519 DOI:10.3321/j.issn:1000-0933.2005.03.019 ( 0) |
| [5] |
邹凯, 邓小华, 李永富, 等. 邵阳植烟土壤pH时空特征及其与土壤养分的关系[J]. 北京农学院学报, 2014, 29(1): 6-9 ( 0) |
| [6] |
胡向丹, 邓小华, 王丰, 等. 黔西南州植烟土壤pH分布特征及其与土壤养分的关系[J]. 安徽农业大学学报, 2014, 41(6): 1070-1074 ( 0) |
| [7] |
Zhang X P, Deng W, Yang X M. The background concentrations of 13 soil trace elements and their relationships to parent materials and vegetation in Xizang (Tibet), China[J]. Journal of Asian Earth Sciences, 2002, 21(2): 167-174 DOI:10.1016/S1367-9120(02)00026-3 ( 0) |
| [8] |
赵士鹏, 郑春江, 李惠明. 我国土壤表层微量元素背景值的影响因素分析[J]. 中国环境监测, 1992, 8(3): 12-17 ( 0) |
| [9] |
刘铮. 中国土壤微量元素[M].
江苏科学技术出版社, 南京, 1996
( 0) |
| [10] |
武德传, 施寒丰, 王维洁, 等. 黔南喀斯特地区植烟土壤有效态中微量元素空间变异及影响因子—以黔南山区为例[J]. 山地学报, 2017, 35(6): 826-834 ( 0) |
| [11] |
邓小华, 张瑶, 田峰, 等. 湘西州植烟土壤pH和中微量元素分布及其相关关系[J]. 烟草科技, 2017, 50(5): 24-30 ( 0) |
| [12] |
李强, 周冀衡, 张永安, 等. 曲靖植烟土壤有效微量元素的空间变异和影响因子[J]. 烟草科技, 2013, 46(10): 63-67, 79 ( 0) |
| [13] |
田晓春. 湘西烟区植烟土壤中微量元素分布及其影响因素[D]. 长沙: 湖南农业大学, 2015.
( 0) |
| [14] |
王永豪, 王昌全, 李冰, 等. 凉山会理植烟土壤微量元素特征及其影响因素[J]. 烟草科技, 2015, 48(12): 20-26 ( 0) |
| [15] |
鲍士旦. 土壤农化分析(3版)[M].
中国农业出版社, 北京, 2000
( 0) |
| [16] |
孙媛媛, 孙友宝, 盖荣银, 等. 二乙烯三胺五乙酸(DTPA)提取ICP-AES法测定土壤中有效态元素[J]. 环境化学, 2015, 34(8): 1578-1579 ( 0) |
| [17] |
全国土壤普查办公室. 中国土壤普查技术[M].
农业出版社, 北京, 1992
( 0) |
| [18] |
邓小华, 张瑶, 田峰, 等. 湘西植烟土壤pH和主要养分特征及其相互关系[J]. 土壤, 2017, 49(1): 49-56 ( 0) |
| [19] |
刘逊, 邓小华, 周米良, 等. 湘西植烟土壤有机质含量分布及其影响因素[J]. 核农学报, 2012, 26(7): 1037-1042 ( 0) |
| [20] |
李明德, 肖汉乾, 余崇祥, 等. 湖南烟区土壤中、微量元素状况及施肥效应研究[J]. 中国烟草科学, 2005, 26(1): 25-27 ( 0) |
| [21] |
陈海生, 王素娜. 豫中烟区植烟田土壤pH和阳离子交换量的空间变异性研究[J]. 西南农业学报, 2016, 29(2): 342-345 ( 0) |
| [22] |
任圆圆, 张学雷, 李笑莹, 等. 河南省成土母质与土壤空间分布多样性的特征[J]. 土壤学报, 2019, 56(6): 1309-1320 ( 0) |
| [23] |
王林, 许自成, 卢秀萍, 等. 烤烟烟碱含量与土壤有机质、氮素含量的关系分析[J]. 中国土壤与肥料, 2007(6): 58-60, 87 ( 0) |
| [24] |
连培康, 叶红朝, 赵世民, 等. 洛阳烟区土壤有机质状况及与烟叶中性致香物质的关系分析[J]. 江西农业学报, 2015, 27(3): 40-44, 49 ( 0) |
| [25] |
万川. 植烟土壤有机质状态对有机肥的响应及其与烟草品质的关联规律研究[D]. 重庆: 西南大学, 2015.
( 0) |
| [26] |
穆桂珍, 罗杰, 蔡立梅, 等. 广东揭西县土壤微量元素与有机质和pH的关系分析[J]. 中国农业资源与区划, 2019, 40(10): 208-215 ( 0) |
| [27] |
郭山虎, 张锦涛, 何志明, 等. 马龙植烟区土壤pH值和中微量元素的分布特征[J]. 湖南农业科学, 2020(10): 58-61 ( 0) |
| [28] |
杜明阳, 赵秀兰. 土壤有机质与重金属迁移转化关系文献综述[J]. 南方农业, 2016, 10(17): 92-94 ( 0) |
| [29] |
Harter R D. Effect of soil pH on adsorption of lead, copper, zinc, and nickel[J]. Soil Science Society of America Journal, 1983, 47(1): 47-51 ( 0) |
| [30] |
李思民, 王豪吉, 朱曦, 等. 土壤pH和有机质含量对重金属可利用性的影响[J]. 云南师范大学学报(自然科学版), 2021, 41(1): 49-55 ( 0) |
| [31] |
宋刚, 胡腾胜. 剑河县土壤微量元素与有机质、pH值的关系研究[J]. 耕作与栽培, 2014(3): 20-21, 26 ( 0) |
| [32] |
李万武. 屏山和兴文植烟土壤有机质含量及其对微量元素影响研究[J]. 农村经济与科技, 2019, 30(10): 9, 11 ( 0) |
2022, Vol. 54



0)