2. 南京市蔬菜科学研究所,南京 210042
尾菜是蔬菜生长、采收、加工、物流、消费等环节产生的废弃叶、根、茎和果实等,也称“蔬菜废弃物”[1]。近年来,随着蔬菜产业设施化、规模化的不断发展,在蔬菜产区蔬菜采收与初加工过程中常伴有大量的尾菜产生,尤其是随着城镇居民生活水平的日益提高,净菜上市增多,大量残次蔬菜和净菜加工处理过程中产生的根、叶、茎和果实等成为尾菜废弃物。随意倾倒的尾菜堆积于田间地头和乡村道路旁、沟渠内,严重污染环境[2-3]。尾菜含有大量有机、无机元素,携带病菌虫卵,如处理不当,不仅对生产、生活、生态环境和蔬菜生产产生危害,且造成资源浪费,影响蔬菜产业的健康发展[4-5]。因此,亟待尾菜高效资源化利用技术工艺。
当前尾菜资源化利用方式主要包括肥料化、饲料化、基质化等,而其中肥料化是最有效也是最普遍的处理方式。好氧发酵是废弃物无害化处理和资源化利用的重要方式,目前主要的堆肥工艺为条垛式发酵和槽式发酵[6-7]。气流膜堆肥发酵工艺,为最近兴起的资源化农业废弃物堆肥模式,其具有堆肥成本低、堆肥场无臭气等优点,并且气流膜发酵过程中,利用滤气膜将堆体覆盖,可有效地减少发酵过程中氨氮的挥发,减少肥料中营养成分的流失[8-9]。目前,气流膜堆肥发酵工艺已经在不同废弃物好氧发酵生产有机肥过程中被广泛利用,但利用其发酵纯植物源废弃物的研究依然较少。另外,气流膜发酵槽中距离风机远近程度对堆体物料发酵效率的影响依然缺乏研究。
本研究以废弃尾菜配伍蘑菇渣和醋糟为原料,研究了气流膜堆肥发酵过程中,距离风机不同位置的堆体物料理化性质变化特征,以及不同位置的腐熟肥料在田间应用中的效果,以期为利用气流膜堆肥工艺资源化尾菜类废弃物研制有机肥提供依据。
1 材料与方法 1.1 气流膜堆肥发酵试验供试堆肥物料尾菜混合物、蘑菇渣及醋糟由江苏省太仓绿丰农业资源开发有限公司提供,其基本理化性质见表 1。堆肥发酵试验于2020年1月16日到2020年3月5日在上述公司某气流膜堆肥车间进行。
|
|
表 1 堆肥原料基本理化性质 Table 1 Basic physiochemical properties of main composting materials |
试验时,将尾菜、醋糟和蘑菇渣按照C/N为30∶1,鲜重比为1∶1∶3混合均匀,初始含水率调节至55% ~ 65%,砌成条垛状堆放于发酵棚内后,堆体基料长18 m,宽5 m,高1.9 m。在条垛外覆盖戈尔膜,覆盖后利用沙袋将条垛周围压实,采用功率为3.7 kW,曝气量为80 000 L/min的风机底部曝气发酵。曝气频率根据温度自行调节,发酵过程中不翻堆,堆肥30d后堆体开始降温,整个堆肥过程中堆温50℃以上维持20d以上。本研究采用的堆肥工艺为气流膜堆肥工艺,气流膜高温好氧堆肥系统的核心设备是盖在有机废弃物堆上的复合膜,该膜以聚四氟乙烯为原料经膨化拉伸形成多微孔膜(e-PTFE膜)为核心材料,被夹持在两层牢固的聚氨酯基材膜(防紫外线和耐腐蚀)中间。用气流膜覆盖堆肥后,堆肥内的水蒸气可蒸发散出,而大分子气体等无法透过分子膜,有效减少了发酵过程中臭气挥发、营养成分流失,增强了肥料品质。
堆肥开始时,在堆体中部安插温度计,通过智能控制系统传输温度信息,每天上午9:00和下午15:00各记录1次温度,取平均温度作为堆体的实际温度。堆肥过程中,以靠近风机一侧的终点为0点,分别于距离风机1.5、4.5、9.0、13.5、16.5 m处取样,分别称为位置A、B、C、D、E,取样时间设置为堆肥1、3、5、24、27、36、41 d。采样时每个位置,分别从3个高度(距地面0.6、0.9、1.5 m处)采集等量样品混合均匀。样品分成3份,其中2份分别保存于4 ℃和-80 ℃冰箱,另一份自然风干粉碎后待用。
堆体含水率的测定:将干净铝盒盖上盖子放入105 ℃电热鼓风恒温干燥箱中烘干至恒重,称重(m1); 称取适量肥料样品m2(精确至0.001 g)平铺于铝盒底部,盖上盖子放于干燥箱中烘12 h(105 ℃)至恒重后再置于干燥器中1 h,称重(m3),由公式:含水率(%)=(m3 - m1)/m2 × 100计算。每个样品设置5次重复。
堆体pH和EC的测定:新鲜样品和去离子水以1∶10(m/V)混合,置于水平摇床振荡2 h,静置30 min后用pH计和电导仪测定。每个样品进行5次重复。
堆体全碳、氮、磷、钾含量的测定:经风干、粉碎、细化、均一化的样品过100目筛后用锡箔纸包被,使用元素分析仪(Vario EL, Germany),通过干烧法进行全碳和全氮含量的测定,C/N =全碳含量/全氮含量。每个样品设置5次重复。风干样品过20目筛参照农业部行业标准NY/T525—2021《有机肥料》[10],用钼黄法测定全磷(P2O5)含量。用火焰光度法测定全钾(K2O)含量,每个样品进行5次重复。
堆体铵态氮和硝态氮含量的测定:取新鲜样品与去离子水以1∶10(m/V)充分混匀后,置于30 ℃、170 r/min摇床置振荡24 h后,在4 ℃、12 000 r/min条件下离心10 min,取上清液并用0.45 μm水系滤膜过滤,用连续流动分析仪(Auto Analyzer 3, Germany)测定铵态氮和硝态氮含量,每个样品进行5次重复。
腐熟堆肥发芽指数的测定:将腐熟堆肥A、B、C、D、E位置新鲜样品与去离子水以1∶10(m/V)混合,置于水平摇床振荡2 h后过滤; 取5 ml滤液加入铺有滤纸的培养皿内,每个培养皿内放置20颗独行菜(Lepidium. apetalum)种子,去离子水并设置空白对照; 将培养皿放置于25 ℃恒温培养箱中暗培养3 d后,测定发芽种子数以及根长,并计算发芽指数:发芽指数(%)=[样品发芽率(%)×样品根长×100]/[对照发芽率(%)×对照根长]。每个样品设置5次重复。
1.2 田间试验田间试验于2020年3—6月在南京市蔬菜科学研究所横溪基地的设施大棚内进行。供试作物为豇豆,试验共设计8个处理:处理1(CK):不施肥; 处理2(CF):施用化肥,其中尿素、过磷酸钙和硫酸钾的施用量分别为387.5、1 037.5和275 kg/hm2; 处理3~处理 > (A~E):每小区施用堆肥试验中A~E位置的腐熟肥料6.8 kg; 处理8(VW):每小区施用未经发酵的尾菜6.8 kg(全氮12.3 g/kg,未经发酵的尾菜已放置一段时间,养分与堆肥时新鲜尾菜有差别; 全磷(P2O5)7.3 g/kg; 全钾(K2O) 9.5 g/kg)。为使各施肥处理总养分与处理2相等,处理3 ~ 处理8剩余的养分用化肥补齐。其中,化肥处理基肥施用量分别为尿素(含N 460 g/kg)155 kg/hm2、过磷酸钙(含P2O5 130 g/kg) 1 037.5 kg/hm2和硫酸钾(含K2O 540 g/kg) 110 kg/hm2,花期追肥的肥料施用量为尿素232.5 kg/hm2、硫酸钾165 kg/hm2。所有有机类肥料作为基肥施入,花期施用化肥追肥一次,使总养分与化肥处理相等。每个处理设置3个小区,每个小区8 m2,所有小区随机分布。豇豆成熟后测定全生育期产量。
1.3 数据分析数据统计分析采用WPS、Origin 2019 b和SPSS22.0软件,使用最小显著差异法(least significant difference, LSD)进行多重比较(P < 0.05)。
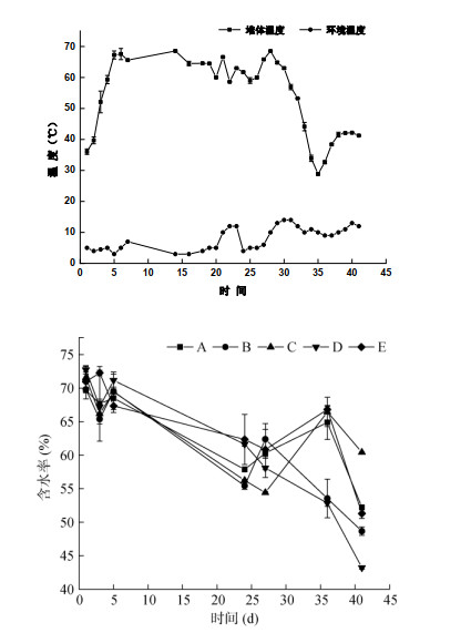
2 结果与分析 2.1 气流膜堆肥过程中堆体理化性质的变化 2.1.1 温度和含水量温度是反映堆肥腐熟发酵的一个重要指标,从图 1中可以看出,堆肥温度均经历了3个阶段(升温、高温和降温)。在堆肥开始后,温度便开始迅速上升,3 d时达到52.1 ℃,5 d时达到67 ℃,并且堆体温度在60 ℃以上持续了20 d以上。
|
图 1 堆肥过程中的温度和含水率变化 Fig. 1 Temperature and water content change during composting |
由图 1中可以看出,堆体中各位置的含水率基本呈现下降趋势,比较堆肥开始与结束时的含水率,其中堆体位置D下降幅度最大,从72.72%下降到43.22%,位置C下降幅度最小,从71.53%下降到60.42%。
2.1.2 pH和EC由图 2可知,距风机不同距离的样品,pH变化规律有所差异,在27 d时,各位置间pH差异最大; 在堆肥结束时,各位置pH较堆肥开始均有所上升,靠近曝气设备的A、B、C三个位置的pH分别是从7.08上升到7.70、从7.08上升到7.71和从7.12上升到7.79,远离曝气设备的D和E两个位置的pH分别从7.16上升到7.82和从7.2上升到7.6。
|
图 2 堆肥过程中pH和EC的变化 Fig. 2 pH and EC changes during composting |
由图 2还可知,各位置的EC值基本呈现先小幅度下降,然后升高,最后趋于稳定的趋势,堆肥结束时各位置较堆肥开始均有小幅度升高,位置E的上升幅度最大,从2.15 mS/cm上升到3.24 mS/cm,且该位置EC值一直略高于其他位置。
2.1.3 C/N比由图 3可知,在堆肥的过程中,堆体的C/N比一直呈现降低的趋势,至堆肥结束,A、B、C、D和E五个位置的C/N比分别降低到11.45、10.8、11.36、13.23和11.24,较堆肥开始时分别降低了60.02%、64.03%、59.69%、53.51%和59.33%。
|
图 3 堆肥过程中C/N比的变化 Fig. 3 C/N ratio change during composting |
A、B、C、D、E五个位置的铵态氮呈现先升高后降低的趋势,在5 d时都达到最高值,分别为2.74、4.14、2.96、3.67、4.17 g/kg,位置B和E的铵态氮含量较高,并且各处理间差异最大; 与堆肥开始时相比,堆肥结束时各位置的铵态氮含量分别下降了71.36%、72.11%、57.05%、68.13%和68.25%(图 4)。各位置的硝态氮含量均呈现逐渐升高趋势,在整个堆肥过程中,位置E的硝态氮含量略微高于其他位置,但差异不明显; 至堆肥结束时,各位置的硝态氮含量分别为0.41、0.40、0.42、0.40、0.43g/kg(图 4)。
|
图 4 堆肥过程中铵态氮和硝态氮的变化 Fig. 4 Ammonium and nitrate nitrogen changes during composting |
由表 2可以看出,堆肥过程中各位置的养分含量均有所增加,堆肥结束时,A ~ E位置的肥料总养分含量分别达到了5.31%、5.20%、5.27%、4.94% 和4.83%,其中位置A肥料的总养分含量(N+P2O5+K2O)最高。
|
|
表 2 堆肥过程中不同位置取样点养分含量的变化(%) Table 2 Nutrient variations of different locations during composting |
种子发芽指数能有效反映堆肥产品质量,完全腐熟的堆肥产品中小分子有机酸和酚类等抑制种子发芽的有毒有害物质较少,植物种子能顺利发芽,而未完全腐熟的堆肥产品的种子发芽指数较低。由图 5可知,在堆肥结束时,各位置物料的发芽指数分别为102.8%、89.3%、98.0%、82.4%和85.5%,均达到了80% 以上。
|
(柱图上方不同小写字母表示不同位置堆肥间差异在P < 0.05水平显著) 图 5 堆肥结束后不同位置取样点发芽指数 Fig. 5 Sample germination indexes at different locations after composting |
田间试验不同处理对豇豆产量的影响如表 3所示,可见,A处理比CK处理每公顷增产1 167 kg,增产率为33.15%;比VW处理每公顷增产437 kg,增产率为10.28%;比CF处理每公顷增产83 kg,增产率为1.80%。B处理比CK处理每公顷增产1 292 kg,增产率为36.70%;比VW处理每公顷增产562 kg,增产率为13.22%;比CF处理每公顷增产208 kg,增产率为4.52%。C处理比CK处理每公顷增产1 396 kg,增产率为39.66%;比VW处理每公顷增产666 kg,增产率为15.67%;比CF处理每公顷增产312 kg,增产率为6.78%。D和E处理的产量同样高于VW处理,但略低于CF处理。由此可见,相比于施用原料,施用各发酵点的腐熟物料均对豇豆有增产效果,且施用距离风机近的3个采样点的肥料效果更优。
|
|
表 3 田间试验不同处理对豇豆产量的影响 Table 3 Cowpea yields under different treatments in field experiment |
本研究采用气流膜堆肥方式开发尾菜配伍辅料的高效堆肥工艺,探究了曝气距离对尾菜配伍辅料发酵的影响。对堆肥而言,温度是影响微生物活动和堆肥腐熟的重要因素,堆肥过程中温度的变化反映了微生物活性的变化,进而能很好地反映堆肥的进程[11-12]。本试验中,堆肥温度能达到60 ℃以上,且堆肥过程中60 ℃以上持续的时间超过20 d,可以满足堆肥杀灭大多数病原菌的要求[13],也满足堆肥无害化要求[14]。堆体各位置物料含水率均呈下降趋势,这是由于堆肥过程中的高温和通气作用伴随着热量和气体挥发以及微生物的分解作用造成水分损失[15]。本研究中距离风机13.5 m处的物料含水率下降幅度最大,而距离风机9 m处的物料含水率在堆肥结束时相较最初只是小幅下降,表明曝气距离对堆肥的效果是有一定影响的,堆体两端的含水率下降幅度更大,中部下降幅度最小。
pH是影响堆肥腐熟的重要因素,堆肥最合适的pH在5.5 ~ 8.0[16],过高或过低的pH均会抑制微生物活性[17]。本研究发现,所有堆体pH均在堆肥初期升高,随后开始出现下降,至后期趋于稳定。这是由于随着堆肥进行,蛋白质水解氨化,挥发的部分氨造成碱性环境; 堆肥后期,随着氨的挥发、蛋白质有机物的彻底降解以及硝化作用的进行,pH逐渐降低,这一结果与姜继韶等[18]研究结果一致。进一步分析发现,曝气距离对pH未产生显著的影响。电导率(EC)反映了肥料中水溶性盐离子含量,一定范围内溶液含盐量与EC正相关[19]。在整个堆肥过程中,各位置EC都呈现了先下降后略微上升最终保持稳定的趋势,这与Cáceres等[20]的研究结果一致,且本研究还发现距离风机最远处对EC的提升最显著。
在堆肥过程中,各位置的铵态氮含量均呈现先上升后下降的趋势,这是由于在堆肥前期,蛋白质、氨基酸等很容易分解,释放出大量的铵态氮,而使堆体中铵态氮的含量快速上升; 而在堆肥后期,硝化细菌受高温的抑制作用减弱,将铵态氮转化为硝态氮[21-22],因此后期铵态氮含量减少,硝态氮响应呈现逐渐升高的趋势。另外,距离风机距离较远时,铵态氮的变化幅度更大,但对硝态氮未产生显著影响。堆肥过程中,干物质以CO2的形式损耗,在堆肥结束时,堆体各位置的C/N比均下降到20以下,可以认为均已达到腐熟状态[23-24],进一步分析发现,曝气距离对C/N比未产生显著影响。
Zucconi等[25]指出许多植物种子在堆肥原料和未腐熟堆肥萃取液中生长受到抑制,而在腐熟堆肥中生长得到促进,一般发芽指数大于50% 即可认为有机肥腐熟。本试验中,气流膜堆肥各个位置的腐熟肥料发芽指数均超过了80%,因此可以认定各位点的堆肥均已腐熟。
各取样点的全氮、全磷和全钾含量比堆肥初始时均有所增加,这是由于微生物的活动导致堆肥的总干物质量下降和部分养分的释放的缘故[26]。至堆肥结束时,不同位置堆肥总养分具有微弱差异,其中靠近曝气风机的3个取样点的总养分含量(N+P2O5+K2O)分别达到了5.31%、5.20%、5.27%,均高于农业部行业标准NY/T525—2021《有机肥料》标准[10],且靠近风机的取样点(0 ~ 12 m)养分含量更高。
田间试验结果表明,首先,尾菜在经过腐熟之后用作肥料施用效果远比尾菜直接还田好。尾菜经过堆肥后,高温可以杀死寄生虫卵和病原菌,减少对植物的危害。尾菜直接还田主要适用于一年两茬且木质化程度较低的蔬菜,并且不能选择会与作物发生连作障碍的尾菜,否则会使土壤的理化性质发生改变,甚至发生植物自毒作用[27-28]。其次,A、B、C三个位置的堆肥对于豇豆的促生效果要好于化肥处理,尤其是B、C两个位置的堆肥。何浩等[29]研究发现,在等养分条件下,以有机肥替代部分化肥施用时,相较只施化肥的处理,玉米的产量有显著的提升,并且当有机肥替代率为16% 时,促生效果要好于有机肥替代率为8% 的处理。侯红乾等[30]利用有机肥替代70%、50%、30% 的化肥对水稻生长进行研究,结果表明当有机肥替代率为70% 时,水稻产量最高。说明在等养分的条件下,有机肥养分含量高,对作物产量有更好的促进作用。
4 结论1) 堆肥过程中,距离风机不同位置物料发酵效果具有一定的差异,但至堆肥结束时,各位置物料均能腐熟。
2) 至气流膜堆肥结束时,所有位置样品养分含量均高于初始养分含量和农业行业标准(NY/T525—2021《有机肥料》),且靠近风机3个取样点的腐熟物料总养分高于距离较远的2个取样点。
3) 腐熟物料对田间豇豆的促生效果优于未腐熟原料。
| [1] |
张俊涛, 黄熙瀛, 李蓉, 等. 四川蔬菜尾菜可培养乳酸菌多样性及优良菌株筛选[J]. 应用与环境生物学报, 2019, 25(6): 1428-1433 ( 0) |
| [2] |
毛海亮, 杨旭军, 武戊良, 等. 天水地区尾菜资源化利用现状与对策研究[J]. 环境生态学, 2020, 2(7): 52-55 ( 0) |
| [3] |
陈思奇, 牛明芬, 黄斌. 尾菜发酵液对设施土壤硝氮积累和蔬菜生长的调控研究[J]. 农业环境科学学报, 2018, 37(11): 2467-2474 DOI:10.11654/jaes.2018-0888 ( 0) |
| [4] |
齐利格娃, 张克强, 田雪力, 等. 羊粪与尾菜配比对高固体厌氧消化性能的影响[J]. 农业环境科学学报, 2018, 37(11): 2475-2482 DOI:10.11654/jaes.2018-0223 ( 0) |
| [5] |
王海候, 孟祥国, 金梅娟, 等. 蚯蚓生物消解尾菜废弃物工艺参数优化[J]. 农业资源与环境学报, 2019, 36(5): 694-702 ( 0) |
| [6] |
王若斐, 薛超, 刘超, 等. 起爆剂促进猪粪堆肥腐熟研究[J]. 土壤, 2017, 49(6): 1092-1099 ( 0) |
| [7] |
于子旋, 杨静静, 王语嫣, 等. 畜禽粪便堆肥的理化腐熟指标及其红外光谱[J]. 应用生态学报, 2016, 27(6): 2015-2023 ( 0) |
| [8] |
盛金良, 龚莹, 宫宁, 等. 污泥膜覆盖好氧发酵通风调节方法[J]. 环境工程学报, 2013, 7(2): 705-710 ( 0) |
| [9] |
杨丽楠, 李昂, 袁春燕, 等. 半透膜覆盖好氧堆肥技术应用现状综述[J]. 环境科学学报, 2020, 40(10): 3559-3564 ( 0) |
| [10] |
中华人民共和国农业部. 有机肥料: NY/T 525—2021[S]. 北京: 中国农业出版社, 2021.
( 0) |
| [11] |
欧亚玲, 陈强, 邹宇, 等. 接种高温细菌复合菌剂对鸡粪堆肥的影响研究[J]. 四川农业大学学报, 2008, 26(1): 89-92, 120 DOI:10.3969/j.issn.1000-2650.2008.01.019 ( 0) |
| [12] |
黄国锋, 钟流举, 张振钿, 等. 有机固体废弃物堆肥的物质变化及腐熟度评价[J]. 应用生态学报, 2003, 14(5): 813-818 DOI:10.3321/j.issn:1001-9332.2003.05.037 ( 0) |
| [13] |
Déportes I, Benoit-Guyod J L, Zmirou D. Hazard to man and the environment posed by the use of urban waste compost: A review[J]. Science of the Total Environment, 1995, 172(2/3): 197-222 ( 0) |
| [14] |
国家质量监督检验检疫总局, 中国国家标准化管理委员会. 粪便无害化卫生要求: GB 7959—2012[S]. 北京: 中国标准出版社, 2012.
( 0) |
| [15] |
Li R, Li L Z, Huang R, et al. Variations of culturable thermophilic microbe numbers and bacterial communities during the thermophilic phase of composting[J]. World Journal of Microbiology & Biotechnology, 2014, 30(6): 1737-1746 ( 0) |
| [16] |
刘超, 徐谞, 顾文文, 等. 典型畜禽粪便配伍食用菌菌渣堆肥研究[J]. 中国农学通报, 2018, 34(21): 84-90 DOI:10.11924/j.issn.1000-6850.casb17050131 ( 0) |
| [17] |
姜新有, 王晓东, 周江明, 等. 初始pH值对畜禽粪便和菌渣混合高温堆肥的影响[J]. 浙江农业学报, 2016, 28(9): 1595-1602 DOI:10.3969/j.issn.1004-1524.2016.09.20 ( 0) |
| [18] |
姜继韶, 黄懿梅, 黄华, 等. 猪粪秸秆高温堆肥过程中碳氮转化特征与堆肥周期探讨[J]. 环境科学学报, 2011, 31(11): 2511-2517 ( 0) |
| [19] |
鲍士旦. 土壤农化分析(3版)[M].
中国农业出版社, 北京, 2000
( 0) |
| [20] |
Cáceres R, Flotats X, Marfà O. Changes in the chemical and physicochemical properties of the solid fraction of cattle slurry during composting using different aeration strategies[J]. Waste Management, 2006, 26(10): 1081-1091 DOI:10.1016/j.wasman.2005.06.013 ( 0) |
| [21] |
黄炎. 鸡粪生物有机肥的研制及其促生防病效果与机制研究[D]. 南京: 南京农业大学, 2016.
( 0) |
| [22] |
沈其荣, 王瑞宝, 王岩, 等. 堆肥制作中的生物化学变化特征[J]. 南京农业大学学报, 1997, 20(2): 51-57 ( 0) |
| [23] |
Wang P, Changa C M, Watson M E, et al. Maturity indices for composted dairy and pig manures[J]. Soil Biology and Biochemistry, 2004, 36(5): 767-776 DOI:10.1016/j.soilbio.2003.12.012 ( 0) |
| [24] |
邓小垦, 董存明, 张彦龙, 等. 生猪粪与香蕉茎杆高温堆肥的研究[J]. 南京农业大学学报, 2014, 37(3): 83-87 ( 0) |
| [25] |
Zucconi F, Pera A, Forte M, et al. Evaluating toxicity of immature compost[J]. Biocycle, 1981, 22(2): 54-57 ( 0) |
| [26] |
匡石滋, 李春雨, 田世尧, 等. 复合菌剂对香蕉茎秆堆肥中微生物和养分含量的影响[J]. 中国农学通报, 2011, 27(6): 182-187 ( 0) |
| [27] |
李欣苗, 李艳, 杨少杰, 等. 浅谈尾菜直接还田技术[J]. 农业科技与信息, 2020(9): 38-39 DOI:10.3969/j.issn.1003-6997.2020.09.016 ( 0) |
| [28] |
裴海东, 胡立伟. 敦煌市尾菜处理利用技术应用现状探析[J]. 农业科技与信息, 2016(25): 62 DOI:10.3969/j.issn.1003-6997.2016.25.042 ( 0) |
| [29] |
何浩, 张宇彤, 危常州, 等. 等养分条件下不同有机肥替代率对玉米生长及土壤肥力的影响[J]. 核农学报, 2021, 35(2): 454-461 ( 0) |
| [30] |
侯红乾, 冀建华, 刘秀梅, 等. 不同比例有机肥替代化肥对水稻产量和氮素利用率的影响[J]. 土壤, 2020, 52(4): 758-765 ( 0) |
2. Nanjing Institute of Vegetable Science, Nanjing 210042, China
2022, Vol. 54



0)