2. 北京师范大学地理科学学部自然资源学院, 北京 100875
土壤的冻融循环是高寒区陆地生态系统的重要特征,它伴随着一系列土壤物理、土壤化学以及土体力学过程,体现在水热传输、水分相变、盐分积聚以及地貌形态的改变[1]。近年来,全球增暖[2-5]、降水增加等[6-7]一系列气候变化和人类活动,深刻地影响着土壤的冻结和融化过程,进而使得土壤的水热特性及变化规律发生了改变。土壤水热状况的改变不仅会影响地气能量的交换[8],还会导致寒区水循环及生态环境[9]的变化。因此,刻画土壤冻融过程及其水热变化特征成为高寒区陆地生态系统研究的重要内容。季节冻土是存在于地表之下一定深度,冷季冻结,暖季融化的土层,其冻结状态持续一月以上,不足一年[10]。青藏高原是中、低纬度高海拔冻土集中分布的地区[11],广泛分布着季节冻土和多年冻土,其中季节冻土约占高原面积的56% [12]。作为大气与陆面热交换的产物,季节冻土在温度年变化层上部,更接近地表,其冻融过程对气候变化的响应更为敏感,土壤温度、水分变化也更为复杂[13],清晰地刻画其变化特征及趋势是研究季节冻土的基础和关键。
近年来,多种方法应用到冻土水热变化研究中。陈家利等[14]基于SMAP亮温数据成功反演得到玛曲地区冻结期土壤未冻水变化特征;吴小丽等[15]利用CCI主被动组合遥感产品, 发现多年冻土区暖季土壤水分与降水的相关性低,季节冻土区相关性较高。同时,杨成松等[16]通过MODIS LST数据对青藏高原地表温度时空变化进行分析,发现地表温度的空间分布与海拔、地表覆盖类型等具有相关性,年内振幅从青藏高原东南部向西北部呈上升趋势。遥感方法能够获得大尺度动态的土壤水热数据,但也需要站点原位监测资料的精度验证[17-18]。此外,有学者通过模型模拟的方法对季节冻土温度、水分变化特征进行分析,如郭东林和杨梅学[19]利用SHAW模型在青藏高原中部较好地模拟了深层土壤的温湿度特征,并且模拟的土壤湿度基本能够再现土壤未冻水随时间的变化趋势。夏坤等[20]通过陆面过程模式CLM 3.0发现冻结过程中土壤温湿度模拟效果优于融化过程。王子龙等[21]发现结合GIUE方法CoupModel模型可用于不同积雪覆盖下土壤水热变化规律的研究。但由于实测数据的缺乏,一些关键参数难于获取且多为经验参数,模型模拟值与实测值存在一定的偏差;另一方面已有的土壤水热模型的有效性和适用性需要大量实测数据的验证[10],野外原位实测是季节冻结层土壤水热数据获取与分析最直接、精确的方法,成为研究土壤冻融循环过程的主要手段。韩炳宏等[22]根据青海省南部季节性土壤冻融监测资料探讨了不同土层温度、水分的变化特征,将土壤冻融阶段分为初冻期、稳定冻结中期、稳定冻融后期和消融期;戴黎聪等[23]利用青海海北站水热观测数据分析了冻融期土壤水热运移特征。张娟等[24]在青藏高原玉树地区利用土壤温湿数据和同步气象观测数据,分析了高寒草甸不同时间尺度下土壤温度、水分的动态变化。然而诸多野外观测试验对土壤结构与土壤水热特征的影响分析较少,因此,亟须结合野外实测分析与土壤结构特征调查,为季节冻土水热变化及迁移特征的综合研究奠定良好的数据基础。
高寒草甸是青海湖流域典型植被类型之一,占流域总面积的26.64%[25]。作为水源涵养、生物多样性保护的重要生态屏障[26],流域内土壤冻融格局、水热性质的改变使高寒草甸生态系统出现大规模的退化现象[27]。研究发现,高寒草甸的退化可能对下伏冻土的消融产生正反馈作用[26],同时冻土的变化与发展对高寒草甸植被生长及地上生产量的形成具有一定的影响[28],甚至可能引发植被类型演替和系统的显著改变。所以,探讨高寒草甸覆被下冻土温湿变化特征,对理解气候变化下土壤-植被-大气连续体(SPAC)水分、能量的交换具有重要意义。本文以青海湖流域高寒草甸生态系统季节冻土为例,利用2018年10月至2020年6月野外定点实测的大气温度、降水及土壤水热数据,综合分析了高寒草甸生态系统不同冻融阶段各层土壤温度和湿度的日变化、季节变化及其水热分布规律,旨在进一步提高对草甸冻融土壤水热性质的认识,为寒区生态环境的保护和水热资源的利用提供参考。
1 材料与方法 1.1 研究区域概况青海湖流域是气候变暖情景下陆面生态系统变化较为剧烈的区域之一[29],介于36°15′ ~ 38°20′N,97°50′ ~ 101°20′E,四面环山,东西长106 km,南北宽63 km,海拔3 242 ~ 5 279 m,流域面积为29 664 km2。青海湖流域内天然草地类型主要有高寒草甸、高寒灌丛、山地草原、沼泽草甸、平原荒漠等草地类型,其中高寒草甸分布最广。流域内为典型的高原大陆性气候,气温日较差大,常年低温、冬长夏短,流域内发育着大面积的多年冻土和季节冻土,多年冻土主要分布于流域的西北部,季节冻土分布于流域的中东部[30]。受全球气候变化影响,近几十年流域内部分多年冻土退化为季节冻土,冻土活动层厚度增大,水热动态变化明显。研究站点位于青海湖北岸海北藏族自治州刚察县千户里子流域(37°25′ N,100°15′ E),属于季节冻土区,海拔3 551 m,多年平均温度-0.6 ℃,极端低温-31 ℃,极端高温25 ℃,年平均降水量389.3 mm,主要集中在6—9月,年蒸发量为1 501 ~ 1 848 mm,植被以小蒿草为主,土壤类型为高山草甸土[31]。土层厚度约为75 cm,0 ~ 10 cm为草毡层(As),10 ~ 22 cm为腐殖质层(O),23 ~ 75 cm为淋溶淀积层(AB),75 cm以下有岩石出现(图 1)。
|
图 1 研究区位置及仪器布设图 Fig. 1 Location of study area and layout of the equipment |
土壤水热数据均使用澳大利亚Datataker公司生产的DT80系列数采,加以相配套的土壤温湿度、电导率传感器采集完成。
2018年8月,在研究区进行了实验仪器的埋设(图 1),如图所示,分别在土壤垂直剖面5、10、20、40、80、100、120、140、160、180 cm深度,水平埋入土壤水分、温度和电导率传感器(TRIME PICO 32),探头和电路保护壳都埋入土壤中,以减少太阳辐射对测量结果的影响。土壤水分测量精度为±1%,土壤温度测量精度为±0.1 ℃,电导率精度0 ~ 10 000 μS/cm范围内为±3%,每30 min记录一次数据。传感器自动采集数据并保存在数据采集器中,通过无线数据传输传送到ENVIdata数字化生态站管理系统。需要指出的是,仪器测得的土壤水分为土壤未冻水含量。为了排除前期仪器埋设所造成的土壤环境的改变,本文采用了2018年10月之后的土壤温湿度数据。研究区所在的千户里子流域是我国高寒地区地球关键带(critical zone observatory, CZO)观测样点区域,架设有涡度相关系统及自动气象站,可对站点降水及温度开展连续观测。研究使用的降水和温度气象数据每30 min记录一次,高度为2 m。
1.3 冻融阶段划分方法基于土壤温度的冻融阶段划分方法:不考虑土壤颗粒表面能和盐分对土壤冻结温度的影响,一般情况下,一天内某一深度土壤温度经历0 ℃的波动,土壤存在冻融现象[32]。根据研究区各层土壤温度的日变化特征,将冻融过程分为始冻期、完全冻结期、解冻期和完全融化期。始冻期土壤温度Tmax > 0 ℃、Tmin < 0 ℃,完全冻结期土壤温度Tmin < Tmax < 0 ℃,解冻期土壤温度Tmax > 0 ℃、Tmin < 0 ℃,完全融化期土壤温度Tmax > Tmin > 0 ℃[33]。
1.4 数据处理使用surfer 16.0进行土壤温湿度剖面绘制,利用SPSS 22.0、OriginPro 2021软件进行数据处理与制图。
2 结果与分析 2.1 土壤冻融特征由各层土壤冻融发生日期和持续天数可见(表 1),2018年10月25日土壤表层出现日消夜冻现象,土壤冻融进入始冻期,土壤10 cm以上由于受到近地表大气的影响反复冻融的天数为5 ~ 12 d,持续时间较长,10 cm以下土层经历1 ~ 3 d的反复冻融后迅速冻结;2018年11月6日,5 cm土层最先进入完全冻结期,持续天数为129 d,随着土壤深度的不断增加,土层冻结滞后时间依次为1、5、16、33、41、49、52、72、78 d,持续天数为131、142、137、118、118、107、110、85、77 d,2019年1月23日0 ~ 180 cm土层全部冻结,呈现出由土壤表层向下的单向冻结规律;3月中旬冻土区太阳短波辐射增强,地面热量的收入大于支出,地表温度上升,土壤日消夜冻现象在土壤5、10 cm处分别持续了27、15 d,随着深度的增加,持续时间变短,同时由于深层土壤热量的上升,4月10日冻结层从底部180 cm开始解冻并向上不断发展,呈现出与多年冻土不同的双向融化规律;4月2日10 cm土层最先进入完全融化期,4月20日0 ~ 180 cm土层全部融化,土壤完全融化期持续天数占全年的一半以上说明了该地区土壤长期处于未冻结状态,尤其是深层土壤。各层土壤从始冻期到完全冻结期用时90 d,平均冻结速率为2 cm/d,从解冻期到完全融化期用时33 d,平均融化速率为5.45 cm/d,可以判定土壤融化的速率是远远快于土壤冻结的速率,这与戴黎聪等[23]在青藏高原季节冻土区得出的结论一致。
|
|
表 1 不同深度土壤冻融发生日期和持续天数(2018年10月至2019年10月) Table 1 Dates and duration of freezing/ thawing at different soil depths |
土壤表层与大气之间存在着频繁的能量交换,大气温度的变化引起土壤温度周期性的季节变动。图 2为研究区日平均气温和土壤温度剖面图,从图中可以看出,整个冻融循环过程,大气温度降到最低(或升至最高),土壤各层温度也降到最低(或升至最高),土壤对于气温变化的响应深度有限,0 ~ 60 cm土层温度变化剧烈,60 cm以下变化平缓。土壤热量的传递在各冻融阶段具有明显的差异性,土壤冻结阶段(始冻期+完全冻结期)深层土壤的温度高于浅层土壤,热量由下向上传递,土壤融化阶段(解冻期+完全融化阶段)浅层土壤温度高于深层土壤,热量由地表向下传递。等温线的疏密程度能够很好地反映土壤温度梯度的变化,始冻期向完全冻结期转变阶段,土壤等温线密集,不同土层之间温度变化剧烈,解冻期向完全融化期转变阶段,等温线稀疏,3月下旬0 ℃等温线几乎与深度轴平行,不同深度土壤温度变化平缓,土壤融化时间相差较小。
|
图 2 日平均温度和土壤温度剖面(2018年10月至2020年6月) Fig. 2 Daily mean temperature and soil temperature profile |
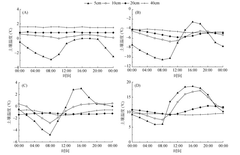
由不同冻融阶段土壤温度日变化曲线可见(图 3),土壤温度存在周期性的日变化特征。5 cm土层最低温出现在北京时间8:00左右,之后土壤温度快速上升,在午后达到最高,这种变化随着土层深度的不断增加,具有一定的滞后性。此外,始冻期5 cm土层最高温在14:00出现,一直持续到20:00后下降,完全融化期5 cm土壤也出现此现象,这可能是受中午太阳辐射增强的影响,土壤表层吸收了较多的热量,在植被和枯枝落叶层的保温作用下,土壤热量不易快速散失,土壤最高温度持续时间较长;而完全冻结期和解冻期5 cm土层最高温度在16:00左右出现后立即下降,持续时间较短。
|
(A. 始冻期;B. 完全冻结期;C. 解冻期;D. 完全融化期) 图 3 不同冻融阶段典型日土壤温度日变化 Fig. 3 Diurnal variations of soil temperatures at different freezing-thawing stages |
各冻融阶段土壤温度存在显著差异。浅层土壤日较差大,随着深度的增加,日较差变小并趋于稳定。始冻期,地表温度降低(日平均温度-0.55 ℃,最大值9.41 ℃,最小值-8.73 ℃),土壤表层5 cm、10 cm温度在0 ℃等温线附近波动,日较差为4 ℃、0.93 ℃,波动较大;20 cm、40 cm土层温度在0 ℃以上波动,日较差为0.13 ℃、0.17 ℃,波动较小。完全冻结期地表温度降到最低(日平均温度-11.1 ℃,最大值-2.6 ℃,最小值-19.5 ℃),0 ~ 40 cm土层温度均在0 ℃以下,日较差依次为7.3、2.5、1.5、0.63 ℃,过低的温度加快土壤水分相态的转变,土壤液态水变为固态,土壤温度波动变大。解冻期,太阳辐射增强,地表温度上升(日平均温度-1.24 ℃,最大值8.82 ℃,最小值-12.33 ℃),5 cm、10 cm土层温度在0 ℃等温线附近波动,日较差为7.93 ℃、2.5 ℃;20 cm、40 cm土层温度在0 ℃以下,日较差为0.67 ℃、0.3 ℃。完全融化期,地表温度达到一年中最大(日平均温度为5.27 ℃,最大值为14.7 ℃,最小值为-4.82 ℃),0 ~ 40 cm土层温度均在0 ℃以上,日较差依次为14.14、9.7、2.5、0.6 ℃,各层土壤温度波动剧烈。上述分析可知,不同冻融阶段0 ~ 40 cm土壤温度日变化幅度大小依次为完全融化期 > 完全冻结期 > 解冻期 > 始冻期。解冻期和始冻期日变化幅度较小,这可能与土壤反复冻融,部分能量用于土壤水分的相变消耗有关。
2.3 土壤未冻水动态变化 2.3.1 土壤未冻水季节变化土壤经过冻融循环过程,土壤中存在多相态物质的动态混合,包含有土壤未冻水、水蒸气、干空气、土壤团聚体颗粒以及土壤冰晶体。首先需要指出的是本文测得的土壤水分均为土壤未冻水含量,它是受土壤颗粒表面能作用以液态水膜的形式存在于冻结土壤的游离水分[34]。
由日累计降水量和土壤未冻水剖面图(图 4)可见,土壤剖面水分格局与变化随冻融过程呈现周期性的波动,不同冻融阶段土壤水分的变化和分布具有显著的差异性。2018年10月至2019年3月中旬,土壤处于冻结阶段(始冻期+完全冻结期),各层土壤未冻结水分表现为较低值。浅层土壤(0 ~ 40 cm)和深层土壤(120 ~ 180 cm)水分明显高于中部(40 ~ 120 cm)。这可能是浅层土壤质地以粉粒为主,砾石含量少(图 5),土壤颗粒表面能大,持水能力强,因此土壤水分较高;土壤中部砂粒含量急剧增加,砾石含量达50% 以上,土壤颗粒表面能变小,持水能力变差,导水能力增强,同时在重力作用下,土壤下渗增强,使得土壤中层,尤其是80 cm土壤水分在整个冻融循环过程中,一直处在水分的低值区;剖面底部土壤质地以砂粒为主,砾石含量可达80% 以上,大量的砾石起到一定的隔水作用,同时在水势梯度驱动下,水分不断向冻结锋底部聚集,土壤水分较高。3月下旬至10月为冻土的融化阶段(解冻期+完全融化期),降水量增多,各层土壤水分增加,浅层土壤对降水响应明显,在土壤0 ~ 40 cm形成了一个水分的高值区,而深层土壤对降水的响应较弱。此外,深层土壤水分增加或减少的时间明显滞后于浅层土壤(图 4、图 6),例如,表层土壤水分3月开始增加,10月下旬减少,深层土壤水分5月下旬开始增加,12月中下旬减少。上述分析表明土壤剖面结构特征对土壤水分分布具有较强的解释性。
|
图 4 日累计降水量和土壤未冻水剖面(2018年10月至2020年6月) Fig. 4 Cumulative daily precipitation and unfrozen water profile |
|
图 5 不同深度土壤颗粒组成(A)和砾石含量(B) Fig. 5 Soil particle composition (A)and gravel content(B)at different soil depths |
|
图 6 不同深度土壤未冻水随时间的变化(2018年10月至2020年6月) Fig. 6 Variations of unfrozen water at different depths over time |
不同冻融阶段土壤未冻水日循环存在明显差异(图 7)。始冻期、完全冻结期、解冻期5 cm土壤水分最小值出现在北京时间10:00左右,最大值出现在18:00左右;完全融化期则不同于其他冻融阶段,土壤未冻水最小值出现在16:00左右,最大值出现在0:00左右,随着深度的增加,各冻融阶段土壤未冻水的最大最小值出现时间具有一定的滞后性,水分变化近似一条直线。
|
(A. 始冻期;B. 完全冻结期;C. 解冻期;D. 完全融化期) 图 7 不同冻融阶段典型日土壤未冻水日变化 Fig. 7 Diurnal variations of unfrozen water at different freezing-thawing stages |
不同冻融阶段土壤未冻水日变化与土壤温度日变化具有一致性。浅层土壤未冻水日变幅最大,随着深度的增加,日变幅逐渐减小。始冻期处于秋冬转换期,对流旺盛,水分大量蒸发,土壤表层5 cm、10 cm未冻水波动较大,日较差分别为3.89%、2.11%;20 cm、40 cm土壤未冻水较高,过高的水分减缓了土壤温度的变化,日较差较小,分别为0.79%、0.27%。完全冻结期土壤水由液态转变为固态,土壤未冻水减少,5、10、20、40 cm土壤未冻水日较差为1.33%、0.42%、0.27%、0.08%,土壤未冻水波动小。解冻期温度上升,土壤最先从表层融化,5 cm土壤未冻水快速增加,日较差为14.86%,波动剧烈;10、20、40 cm土壤未冻水日较差分别为2.24%、0.52%、0.12%。完全融化期,季节冻结层大量融化,土壤未冻水充足,5、10、20、40 cm土壤水分变化微弱,日较差小,分别为2.06%、0.73%、0.39%、0.13%。以上分析表明不同冻融阶段土壤未冻水日变化幅度大小依次为解冻期 > 始冻期 > 完全融化期 > 完全冻结期。
3 讨论 3.1 季节冻土冻融特征秋季始冻期和春季解冻期是表层土壤发生冻融交替最为频繁的时期,本研究发现该站点日冻融循环主要发生在土壤表层5 cm、10 cm, 持续时间为39 d、20 d,20 cm、40 cm深度日冻融持续时间仅为4 ~ 5 d,这与林笠等[4]在海北站高寒草甸利用微根管结合土壤温度间接测量的结果相一致。位于青南牧场的高寒草地[22],土壤日冻融循环与高寒草甸具有较大的差异,日冻融深度可达40 cm, 土层10、20、40 cm日冻融循环持续时间分别为37、24、11 d,这可能是植被类型和生长环境不同,导致两种覆被下土壤冻融格局不一致。根据实际观测结果,本研究区多年平均温度为-0.6 ℃,4—10月表层土壤含水量均在35% 左右波动,0 ~ 10 cm土层为草毡层(As),0 ~ 22 cm为腐殖质层(O),较厚的有机质层能够减缓气温对深层土壤温度的影响。高寒草地多年平均温度为1.7 ℃,4—10月土壤剖面含水量均小于30%,较高的温度和较低的土壤含水量不利于土壤有机质层的发育,冻融向下发展的深度较深。相比季节冻土区,多年冻土区具有日冻融循环持续时间长的特点。焦永亮等[32]在唐古拉地区发现5 cm深度日冻融循环天数为61 d。王
学佳等[35]在D105站点观测发现2002—2005年4 cm深度存在土壤日冻融循环的平均天数为71 d。因此,土壤日冻融循环是多种因素综合作用的结果,不同冻土类型、覆被表现的冻融循环特征具有较大差异。
本研究站点土壤冻结天数小于土壤融化天数,而青藏高原中部季节冻土区研究发现土壤冻结时间是土壤消融时间的1.6倍[23],但两站点土壤融化速率均大于土壤冻结速率,这可能与两地受到的太阳辐射和积温有关。此外,本研究区土壤融化天数超过半年以上,尤其是深层土壤,这与海北站和青南牧场的研究结果一致,说明这些地区土壤长期处于未冻结状态,土壤接收的能量大于土壤支出的能量。研究发现,3个站点20 cm土层土壤冻结时间均最长(表 2)。不同于多年冻土,季节冻土呈现出单向冻结、双向融化的规律。土壤冻结过程浅层土壤冻结时间早、深层土壤冻结时间晚,土壤融化过程浅层和深层土壤融化时间均较早,土壤中部应是土体冻结时间较长的部分。大气辐射和热量使土壤从表层向下融化,0 ~ 10 cm土壤反复冻融持续时间长,能量多用于土壤的相变,对下层土壤影响小,土壤冻结时间长;地下热流促使土壤从下向上融化,融化过程中能量不断衰减,消融到20 cm时地下热流对土层影响微弱。因此,20 cm土层在季节冻土区多表现为受其他因素影响小、冻结较为稳定的土层。
|
|
表 2 不同站点土壤冻结与消融持续时间 Table 2 Duration of soil freezing and thawing at different sites |
土壤温度和水分的相互作用,对高寒植被的生长至关重要。土壤冻结后,探测土壤未冻水及土壤冰的变化十分困难。目前,土壤水分探头测得的均为土壤未冻水,代表了复杂土壤冻融过程中水分迁移变化的另一侧面,土壤未冻水也代表了土壤中植物可利用水量,是制约植物生长的关键因素。土壤未冻水与土壤温度之间保持着动态的平衡关系[36]。土壤冻结过程中,即使温度极低,但仍有一定数量的土壤未冻水存在。11月至次年3月中旬,为该站点土壤完全冻结阶段,温度低,土壤颗粒表面水分克服吸附作用和静电引力的能力强,土壤未冻水减少,剖面中部未冻水含量仅为2%;3月下旬土壤温度升高,剖面水分整体上升。温度控制着未冻水含量的变化,温度越低未冻水含量越少,这与郭红[37]的研究结果一致。冬季下层土壤冻融,表层封冻,土壤水分的迁移在剖面中主要表现为土壤未冻水的迁移。温度梯度引起土壤未冻水的迁移,当冻土中存在温度差,未冻水有向较低温度区域迁移的趋势[34]。冻结初期(11月至次年1月),该研究区土壤水分深层大于浅层,冻结后期(1—3月)土壤深层与浅层水分基本保持一致(图 6)。这与王晓巍[10]发现的冻结期土壤水分由下向上迁移后多积聚于近地表10 ~ 40 cm、浅层大于深层的结果不同。这可能是因为土壤未冻水的迁移与分布不仅受温度的影响,还与土壤剖面结构、砾石含量和土壤冰的分布息息相关,需要综合土壤多相态物质间的相互作用关系来进一步探讨。夏季,冻土融化,土壤水分的迁移受温度的影响,向上表现为土壤的蒸发、植被的蒸腾,向下土壤内部水分由上向下迁移,但还受到降水、植被的影响,迁移后该站点水分在土壤剖面中由表层到深层呈现出“高-低-高”的分布模式,土壤水分的分布则有利于浅根系植被的生长与发育。
冻土分布区生态环境脆弱,土壤中植物可利用水量的多少是影响该地区植被生长、农牧发展的关键因子。冻土解冻期是植被生长的重要需水阶段,也是一年中最缺水的季节[38]。温度的上升,大量的土壤冰转化为液态水,未冻水的增加能够使土壤包气带水分上升,一定程度上缓解春季干旱对植被水分的胁迫。研究发现,3月下旬土壤开始解冻(图 6),此时降水对土壤水分影响微弱,但表层土壤水分最高可达35% 左右,说明季节冻土冻结固持了大量水分,并能在土壤解冻期为植物生长提供较多的可利用水,这与李英年等[28]在海北高寒草甸的研究结果相一致。
4 结论根据土壤温度的日变化,将季节冻土冻融过程划分为始冻期、完全冻结期、解冻期和完全融化期,4个阶段持续的天数依次为完全融化期 > 完全冻结期 > 解冻期 > 始冻期,0 ~ 180 cm土壤完全融化期持续天数超过半年以上,土壤,尤其是深层土壤长期处于未冻结状态。冻土表现出单向冻结、双向融化的规律,土壤融化速率(5.45 cm/d)快于土壤冻结速率(2 cm/d)。整个冻融过程,不同深度土壤水分的变化比温度的变化复杂。随着冻融循环过程,土壤温湿度呈现出周期性的季节变动特征。土壤温度和湿度的日变化具有一致性,表层日较差大,随着深度的增加,日较差变小并趋于稳定。土壤剖面的结构特征对土壤水分异质性分布具有较强的解释性。
| [1] |
硬壳覆盖条件下土壤冻融期水盐运动规律研究[J]. 冰川冻土, 2001, 23(3): 251-257 DOI:10.3969/j.issn.1000-0240.2001.03.007 ( 0) |
| [2] |
青海高原多年冻土对气候变化的响应[J]. 青海气象, 2005, 24(1): 20-25 ( 0) |
| [3] |
青海高原多年冻土对气候增暖的响应[J]. 高原气象, 2005, 24(5): 708-713 DOI:10.3321/j.issn:1000-0534.2005.05.008 ( 0) |
| [4] |
温暖化加剧青藏高原高寒草甸土非生长季冻融循环[J]. 北京大学学报(自然科学版), 2017, 53(1): 171-178 ( 0) |
| [5] |
青藏高原冻土对气候变化的响应[J]. 冰川冻土, 1996, 18(S1): 157-165 ( 0) |
| [6] |
岳国栋. 气候暖湿化对渭河流域土体冻融过程和水热运移影响研究[D]. 兰州: 兰州理工大学, 2020.
( 0) |
| [7] |
北半球季节性冻融区与北半球夏季降水关系的研究[J]. 冰川冻土, 2020, 42(1): 53-61 ( 0) |
| [8] |
Wang J Y, Luo S Q, Li Z G, et al. The freeze/thaw process and the surface energy budget of the seasonally frozen ground in the source region of the Yellow River[J]. Theoretical and Applied Climatology, 2019, 138(3/4): 1631-1646 ( 0) |
| [9] |
青藏高原冻土及水热过程与寒区生态环境的关系[J]. 冰川冻土, 2003, 25(3): 250-255 DOI:10.3969/j.issn.1000-0240.2003.03.002 ( 0) |
| [10] |
王晓巍. 北方季节性冻土的冻融规律分析及水文特性模拟[D]. 哈尔滨: 东北农业大学, 2010.
( 0) |
| [11] |
青藏高原开发中的冻土问题[J]. 第四纪研究, 2000, 20(6): 521-531 DOI:10.3321/j.issn:1001-7410.2000.06.004 ( 0) |
| [12] |
Zou D F, Zhao L, Sheng Y, et al. A new map of permafrost distribution on the Tibetan Plateau[J]. The Cryosphere, 2017, 11(6): 2527-2542 DOI:10.5194/tc-11-2527-2017 ( 0) |
| [13] |
青藏高原季节性冻土年际变化的异常特征[J]. 地理学报, 2001, 56(5): 522-530 ( 0) |
| [14] |
基于SMAP亮温数据反演青藏高原玛曲区域土壤未冻水[J]. 遥感技术与应用, 2020, 35(1): 48-57 ( 0) |
| [15] |
青藏高原多年冻土和季节性冻土区土壤水分变化及其与降水的关系[J]. 水文, 2021, 41(1): 73–78, 101 ( 0) |
| [16] |
青藏高原地表温度时空变化分析[J]. 遥感技术与应用, 2016, 31(1): 95-101 ( 0) |
| [17] |
CCI多传感器组合土壤水分产品在青藏高原不同地区的适用性[J]. 土壤, 2021, 53(2): 429-438 ( 0) |
| [18] |
光学与微波遥感协同反演藏北表层土壤水分研究[J]. 土壤, 2019, 51(5): 1020-1029 ( 0) |
| [19] |
SHAW模式对青藏高原中部季节冻土区土壤温、湿度的模拟[J]. 高原气象, 2010, 29(6): 1369-1377 ( 0) |
| [20] |
青藏高原东北部土壤冻融过程的数值模拟[J]. 科学通报, 2011, 56(22): 1828-1838 ( 0) |
| [21] |
基于COUPMODEL的松嫩平原黑土区土壤水热过程模拟[J]. 东北农业大学学报, 2019, 50(9): 50-58 DOI:10.3969/j.issn.1005-9369.2019.09.007 ( 0) |
| [22] |
青海南部高寒草地土壤冻融交替期水热特征分析[J]. 气象科技, 2018, 46(2): 361-368 ( 0) |
| [23] |
青藏高原季节冻土区土壤冻融过程水热耦合特征[J]. 冰川冻土, 2020, 42(2): 390-398 ( 0) |
| [24] |
青藏高原玉树地区巴塘高寒草甸土壤温湿特征分析[J]. 冰川冻土, 2015, 37(3): 635-642 ( 0) |
| [25] |
青海湖流域及周边地区的草地资源与生态保护[J]. 资源科学, 2006, 28(3): 94-101 DOI:10.3321/j.issn:1007-7588.2006.03.014 ( 0) |
| [26] |
高寒草甸草地退化对土壤水热性质的影响及其环境效应[J]. 中国沙漠, 2015, 35(5): 1183-1192 ( 0) |
| [27] |
三江源区退化高寒草甸浅层土壤冻融作用特征[J]. 生态与农村环境学报, 2019, 35(3): 352-359 ( 0) |
| [28] |
海北高寒草甸的季节冻土及在植被生产力形成过程中的作用[J]. 冰川冻土, 2005, 27(3): 311-319 DOI:10.3969/j.issn.1000-0240.2005.03.001 ( 0) |
| [29] |
全球变暖背景下冻土变化研究综述[J]. 吉林气象, 2013, 20(1): 25–28, 44 DOI:10.3969/j.issn.1006-5229.2013.01.006 ( 0) |
| [30] |
青海湖流域植被盖度时空变化研究[J]. 地球信息科学学报, 2019, 21(9): 1318-1329 ( 0) |
| [31] |
青海湖流域季节性冻土区坡面土壤有机碳分布特征及其影响因素[J]. 生态学报, 2020, 40(18): 6374-6384 ( 0) |
| [32] |
多年冻土区活动层冻融状况及土壤水分运移特征[J]. 冰川冻土, 2014, 36(2): 237-247 DOI:10.7522/j.issn.1000-0240.2014.0030 ( 0) |
| [33] |
季节性冻土区土体冻融过程及其对水热因子的响应[J]. 干旱区研究, 2019, 36(6): 1568-1575 ( 0) |
| [34] |
青藏高原多年冻土变化对水文过程的影响[J]. 中国科学院院刊, 2019, 34(11): 1233-1246 ( 0) |
| [35] |
藏北高原D105点土壤冻融状况与温湿特征分析[J]. 冰川冻土, 2012, 34(1): 56-63 ( 0) |
| [36] |
青藏高原多年冻土区土壤冻融期间水热运移特征分析[J]. 土壤, 2014, 46(2): 355-360 ( 0) |
| [37] |
郭红. 祁连山冻土未冻水含量变化特征及其影响因素[D]. 兰州: 兰州大学, 2017.
( 0) |
| [38] |
冻结期和冻融期土壤水分运移特征分析[J]. 水科学进展, 2002, 13(3): 298-302 DOI:10.3321/j.issn:1001-6791.2002.03.006 ( 0) |
2. School of Natural of Resources, Faculty of Geographical Science, Beijing Normal University, Beijing 100875, China
2022, Vol. 54



0)