2. 闽侯县土壤肥料技术站, 福建闽侯 350100
我国是世界水稻(Oryza sativa L.)生产第一大国,常年播种面积约0.3亿hm2。在水稻种植过程中,由于长期大量施用化肥而产生的面源污染等负面影响日益突出。而另一方面,我国有机肥源丰富,年产秸秆约10亿t(风干),合计总养分约2 000万t;粪尿类资源实物量约为46亿t (鲜),养分资源量约为5 000万t;绿肥约1亿t(鲜),合计总养分约97万t[1]。随着国家和社会对提升耕地质量、保障农产品品质和生态环境安全日益关注,利用有机物料替代部分化肥的水稻科学种植技术越来越受重视。研究表明,紫云英、水稻秸秆和畜禽排泄物是水稻生产中替代化肥的常用有机肥源,是提高水稻产量与品质的重要举措[2-4]。2008—2019年间开展的11个联合定位试验结果(n = 930) 表明,冬种紫云英在不减肥或者减肥20% 条件下增产效果显著,水稻产量增加幅度分别为6.53% 和4.15%[5]。黄棕壤潜育性水稻土连续种植紫云英并配施化肥,与100% 化肥相比,化肥减施20% ~ 40%,水稻不减产,同时氮肥农学效率和氮肥偏生产力提高,增幅分别为11.64% ~ 149.65% 和2.66% ~ 149.92%[6],另外,关于紫云英、有机物料与化肥配施对水稻产量和土壤肥力影响的研究也较多。研究表明,紫云英、稻草和禽粪能有效提高土壤中间团聚体和轻组比例,促进稻田碳、氮的稳定和固定[7],长期施肥降低了土壤DOC/SOC,但施用绿肥减缓了DOC/SOC下降,说明绿肥不仅有利于土壤有机碳提高,同时有利于土壤有机碳生态功能的稳定[8]。但是,不同有机物料由于自身碳氮结构与理化性质存在差异[9-10],其还田施用对土壤质量影响也不尽相同,并最终影响水稻产量和品质[11]。此外,受到稻田土壤类型的影响,不同土壤所需的有机物料种类可能也存在差异,需针对区域特定作物、土壤与气候选择适宜的有机物料还田方式。
黄泥田属渗育型水稻土,是福建等南方稻区主要的中低产田类型之一。福建黄泥田面积约占水稻土面积的30%,该类土壤主要分布于山地丘陵、山前倾斜平原、滨海台地和河谷阶地,存在酸、瘦、黏、旱等障碍因素[12],当前承担着地力提升与化肥减施增效双重任务。有机物料合理还田能增加黄泥田有机碳固存,提高水稻产量和品质[13-14]。然而,不同种类有机物料联合还田对黄泥田肥力影响的研究甚少,目前尚不清楚黄泥田绿肥等有机物料联合还田下化肥替代潜力,以及土壤理化性质变化与水稻产量和品质的关系。为此,基于福建黄泥田连续11 a的定位试验,研究紫云英与有机物料联合还田对黄泥田水稻产量、养分吸收利用及土壤性质的影响,探讨土壤肥力因子与水稻产量和品质之间的内在联系,旨在为南方中低产田改土培肥、化肥替代及作物品质提升提供理论依据与技术支撑。
1 材料与方法 1.1 试验设计试验设在福州市闽侯县白沙镇农业部福建耕地保育科学观测试验站。土壤类型为黄泥田,成土母质为低丘坡积物。试验前耕层土壤理化性状:pH 5.26,有机质24.4 g/kg,碱解氮171.6 mg/kg,有效磷13.5 mg/kg,速效钾83.4 mg/kg。试验始于2009年,设置6个处理,分别为不施肥(T0,CK)、单施化肥(T1)、仅翻压紫云英(T2)、紫云英与水稻秸秆联合还田(T3)、紫云英与牛粪配施还田(T4),以及紫云英与水稻秸秆联合还田+40% 化肥(T5)。每处理重复3次,完全随机区组排列,小区面积为15 m2。小区间用水泥田埂隔开,筑高20 cm,埋深40 cm,以减少小区间串水串肥和侧渗。氮肥用尿素,磷肥用过磷酸钙,钾肥用氯化钾。每茬各施肥处理磷肥全部基施,氮、钾肥60% 基施,40% 在分蘖期追施。常规化肥用量为施氮量(N)135 kg/hm2,N: P2O5: K2O=1:0.4:0.7,每年紫云英翻压量为18 000~22 500 kg/hm2,牛粪用量为3 000 kg/hm2(干基),秸秆全量还田平均3 750 kg/hm2(干基)。水稻种植密度20×105丛/hm2。紫云英均在盛花期(3—4月份)翻压,前2 a为异地翻压,后9 a为原田种植翻压,干耕翻压至20 cm土层。2009年紫云英品种为‘弋江籽’,2010—2016年为‘闽紫7号’,2017年为‘信阳籽’,2018—2019年为‘闽紫8号’。原田种植时多余的紫云英移出,不足时从外源补充。紫云英鲜草养分多年均值为有机碳58.7 g/kg、N 4.0 g/kg、P2O5 0.9 g/kg、K2O 2.7 g/kg,水分含量85.9%。牛粪干物质养分多年均值为有机碳253.4 g/kg、N 13.5 g/kg、P2O5 7.7 g/kg和K2O 8.9 g/kg,水稻秸秆干物质养分多年均值为有机碳349.9 g/kg、N 7.9 g/kg、P2O5 3.5 g/kg和K2O 28.9 g/kg。种植的单季稻品种2009—2011年为‘宜香优2292’,2012—2016年为‘中浙优1号’,2017—2019年为‘中浙优8号’。插秧时间为每年的6月下旬至7月上旬,收割时间为10月中旬。各处理每年养分投入情况见表 1。
|
|
表 1 紫云英与有机物料还田下各处理养分每年投入量 Table 1 Annual nutrient input from combined return of milk vetchand organic materials in each treatment |
2017—2019年水稻收割时,采集各处理小区的籽粒与秸秆样品,于105 ℃杀青15 min,65 ℃烘干24 h至恒重后磨碎,用于测定水稻籽粒和秸秆养分含量,2018年(第10年)同时采集分蘖期水稻植株样品。植株氮磷钾采用H2SO4-H2O2消煮,全氮用凯氏法测定,全磷用钒钼黄比色法测定,全钾用火焰光度计法测定[15];籽粒氨基酸含量按照GB 5009.124—2016检测,用全自动氨基酸分析仪LA8080进行分析。
1.2.2 土壤样品采集于2018年水稻分蘖盛期采集各小区新鲜土样,置于无菌的自封袋中,封口后置于冰盒中低温保存运回实验室,剔除动植物残体和石块,采用氯仿熏蒸–0.5 mol/L K2SO4浸提法测定土壤微生物生物量碳、氮,总有机碳采用分析仪法测定,其中,以未熏蒸土样浸提的氮作为可溶性氮。2017—2019年水稻收获后,在各处理小区通过五点采样法采集0 ~ 20 cm耕层土壤样品,2019年(第11年)加采环刀样品供土壤容重测定。土样风干后经磨细、过筛,上述均采用常规分析方法测定土壤理化性质[15]。
1.3 数据处理地上部养分吸收量(kg/hm2)=籽粒产量×籽粒养分含量+秸秆产量×秸秆养分含量
土壤养分表观平衡(kg/hm2)=养分投入-养分输出
数据采用DPS软件进行方差分析LSD多重比较,并进行相关性分析。
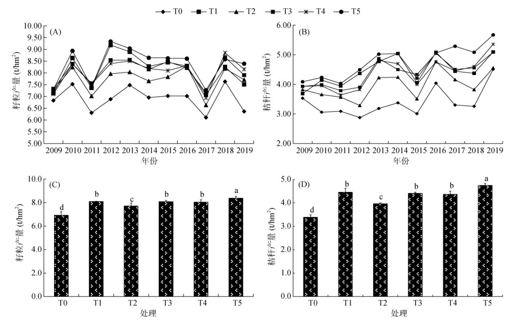
2 结果与分析 2.1 紫云英与有机物料连续还田对水稻产量的影响连续11 a紫云英与有机物料连续还田的水稻产量动态变化(图 1A、1B)可以看出,不同施肥均明显增加了水稻籽粒和秸秆产量,T5处理增产效果最为明显,不同年份籽粒产量较CK增幅6.8% ~ 35.6%;T2处理产量增幅最小,不同年份籽粒产量较CK增幅6.4% ~ 21.2%。从2009—2019年平均产量来看,相比CK,不同施肥处理的水稻籽粒增产11.4% ~ 21.0%,秸秆增产17.1% ~ 40.2%,差异均显著(图 1C、1D),其中紫云英与秸秆联合还田+40%化肥处理T5效果尤为明显,其连续11 a的籽粒与秸秆平均产量分别比T1处理提高3.4% 和6.6%,差异显著。从年际产量增产效果来看,前3年(2009—2011年)与后3年(2017—2019年)的T5籽粒产量分别比T1提高2.1% 与6.2%,显示随着试验进程的进行,T5与T1的产量差异变幅增幅在进一步扩大,说明秸秆与紫云英联合还田具有较高的化肥替代率与维持水稻增产潜力。另外,在未施用化肥条件下,仅翻压紫云英的T2处理籽粒产量与秸秆产量分别相当于T1的95.2% 与89.0%,差异均显著,而紫云英与秸秆或牛粪联合还田(T3和T4)的水稻产量与T1处理未有明显的差异,表明对中低产黄泥田而言,紫云英+秸秆或紫云英+牛粪模式与水稻习惯施肥产量基本相当。
|
(图中小写字母不同表示处理间差异显著(P < 0.05),下同) 图 1 紫云英与有机物料连续还田下水稻籽粒与秸秆产量动态变化(A, B)以及2009—2019年平均产量(C, D) Fig. 1 Dynamic changes(A, B)and average yields(C, D)of rice grains and straws affected by continuous return of milk vetch and organic materials from 2009 to 2019 |
从2017—2019年水稻产量经济性状表现进一步可以看出(表 2),与CK相比,翻压紫云英绿肥的有效穗数增幅23.0% ~ 31.2%;差异均显著,其中以T5处理增幅最为明显,其较单施化肥T1处理提高6.6%,差异显著。紫云英与有机物料联合还田处理的每穗实粒数较单施化肥T1处理均有不同程度提高,但未达到显著差异。施肥均不同程度提高了千粒重,同样以T5处理提升最为明显,较CK提高3.0%,差异显著,但与单施化肥T1处理相比无明显差异。说明有效穗是紫云英与有机物料联合还田与单施化肥处理水稻产量差异的重要性状因子。
|
|
表 2 紫云英与有机物料连续还田下水稻产量经济性状 Table 2 Economic characters of rice yield affected by continuous return of milk vetch and organic materials |
从第10年分蘖期各处理水稻植株养分吸收累积来看,与CK相比,施肥均显著提高了植株氮素含量(表 3),各处理增幅43.1% ~ 64.4%,其中以T5处理增幅最为明显,其也显著高于T1处理;施肥植株磷、钾含量也均有增加的趋势,其中T5处理的钾素含量较CK与T1分别提高42.9%与24.6%,差异均显著。从2017—2019年成熟期来看,不同施肥处理的籽粒氮、磷、钾含量总体高于CK,其中T1与T4处理的籽粒氮素含量较CK分别提高12.1% 与12.8%,差异显著,但与T1相比,紫云英及与有机物料处理的籽粒氮、磷、钾含量呈下降趋势;施肥处理的秸秆氮、磷、钾含量较CK呈总体降低趋势,但除T2处理秸秆钾含量较CK显著降低外,其余各施肥处理秸秆氮、磷、钾含量与CK相比均无显著差异。
|
|
表 3 紫云英与有机物料连续还田下水稻籽粒和秸秆养分含量(g/kg) Table 3 Nutrient contents in rice grains and straws affected by continuous return of milk vetch and organic materials |
表 4显示,各施肥处理植株籽粒氮、磷、钾吸收量较CK分别增幅17.2% ~ 32.7%、7.6% ~ 27.9%、4.2% ~ 23.5%,氮、磷吸收量以T4处理最高,钾吸收量以T3处理最高;秸秆氮、磷、钾吸收量较CK分别增幅5.9% ~ 41.4%、14.5% ~ 56.5%、17.1% ~ 53.6%,吸收量均以T5处理最高,其与CK差异均显著,且T5处理磷、钾吸收量也显著高于T1;从地上部来看,施肥处理氮、磷、钾吸收量较CK分别增幅14.3% ~ 30.6%、8.9% ~ 32.7%、2.9% ~ 47.2%,其中氮、磷吸收量以T4处理吸收量最高,钾吸收量以T5处理最高,各施肥处理氮素吸收量与CK差异均显著。
|
|
表 4 紫云英与有机物料连续还田下水稻成熟期籽粒和秸秆养分吸收量(kg/hm2) Table 4 Nutrient uptake by rice grains and straws affected by continuous return of milk vetch and organic materials at mature stage |
从2017—2019年养分表观盈亏来看(表 5),各施肥处理除T2处理外氮素均实现平衡或盈余;但各施肥处理的磷素亏缺12.27 ~ 39.35 kg/hm2;从钾素表观盈亏来看,T3与T5处理的钾素表观呈现盈余,其余处理均呈现亏缺状态;表明紫云英与有机物料联合还田,尤其是结合秸秆还田,有助于农田生态系统氮、钾养分平衡。
|
|
表 5 紫云英与有机物料连续还田下土壤养分表观盈亏 Table 5 Soil nutrient apparent balance under continuous return of milk vetch and organic materials |
籽粒氨基酸是表征稻米营养品质的重要成分。从第10年各处理籽粒氨基酸含量来看,与CK相比,施肥均显著提高了水稻籽粒中必需氨基酸与氨基酸总量(图 2),其中,籽粒氨基酸总量增幅为11.5% ~ 20.6%,必需氨基酸增幅11.1% ~ 19.8%,均以T5处理最高。与单施化肥T1处理相比,T5处理的必需氨基酸与氨基酸总量分别增加5.7%和6.5%,差异均显著,而处理T1、T2、T3、T4处理间未有明显差异。上述说明,紫云英与水稻秸秆联合还田,不仅可实现化肥减量60%,而且可提高籽粒氨基酸品质。
|
图 2 紫云英与有机物料连续还田下水稻籽粒氨基酸含量(第10年) Fig. 2 Amino acid contents in rice grains affected by continuous return of milk vetch and organic materials (10th year) |
从第10、11年不同处理的土壤性质(表 6,表 7)来看,与CK相比,施肥均不同程度提高了分蘖盛期土壤微生物生物量碳、氮含量,其中微生物生物量碳增幅6.6% ~ 22.9%,除T1外,紫云英与有机物料组合各处理与CK差异均显著,其中T5处理提升最为明显;紫云英与有机物料组合处理的微生物生物量碳、氮含量均高于单施化肥处理T1,其中T5比T1二者分别提高15.2%、42.3%,差异显著。对可溶性氮而言,T4与T5处理的土壤可溶性氮有高于单施化肥处理T1的趋势,但未达到显著水平。在水稻成熟期,各处理土壤pH无显著差异,但与T1相比,翻压紫云英或紫云英与有机物料联合还田有提高土壤pH的趋势。翻压紫云英或与有机物料联合还田的土壤有机质与全氮含量均显著高于CK与T1,与T1相比,有机质含量增幅9.7% ~ 16.7%,全氮含量增幅10.9% ~ 14.8%,其中以T5增幅最为明显,T1处理的土壤有机质及全氮含量与CK无明显差异。施肥总体有提高土壤碱解氮、有效磷含量的趋势,但未达到显著差异水平。施肥同样提高了土壤速效钾含量,较CK增幅33.1% ~ 139.5%,其中T3、T4、T5处理与CK差异显著,T4、T5处理的速效钾含量也显著高于T1处理。此外,与T1相比,紫云英与有机物料还田处理有降低土壤容重的趋势。上述结果说明黄泥田连续翻压紫云英或结合有机物料还田,耕层养分库容增加,微生物活性增强,土壤趋于疏松,土壤理化、生化特性得到一定程度改善。
|
|
表 6 紫云英与有机物料连续还田下水稻分蘖期土壤性质 Table 6 Soil properties at tillering stage affected by continuous return of milk vetch and organic materials |
|
|
表 7 紫云英与有机物料连续还田下水稻成熟期土壤性质变化 Table 7 Soil properties at mature stage affected by continuous return of milk vetch and organic materials |
由表 8可知,水稻籽粒、秸秆产量与水稻分蘖盛期土壤微生物生物量碳、氮均呈显著正相关。在水稻成熟期,水稻产量、籽粒氨基酸含量与土壤有机质、全氮、速效钾含量均呈显著正相关。水稻产量和品质指标与土壤容重间相关性并不明显。上述可知,水稻产量、籽粒氨基酸含量与土壤有机质、全氮、速效钾、微生物生物量碳氮之间密切相关,长期紫云英与有机物料还田有助于土壤理化、生化性质改善,进而促进水稻产量与籽粒氨基酸品质提升。
|
|
表 8 水稻产量及品质与土壤性质之间的相关性 Table 8 Correlation coefficients between rice yield, grain quality and soil properties |
土壤肥力是农田生产力形成的基础。研究表明,湘南红壤地区绿肥联合早稻草全部还田和晚稻留高茬还田措施可提高土壤有机质含量,稳定土壤氮素供应的长期效果显著,是湘南红壤地区水稻高产稳产和可持续发展相对较好的耕作制度[16]。湘南双季稻区绿肥还田下,与习惯施肥相比,绿肥与化肥氮减量20% ~ 40% 能维持土壤磷素与钾素的供给,且化肥氮减施40% 仍能获得高产稳产,且氮肥利用率最高,产量稳定性最好[17]。冬种绿肥可提高土壤微生物生物量碳、微生物生物量氮和微生物商,是提升土壤肥力的高效措施[18]。黄泥田(渗育型水稻土)为南方丘陵山区广泛分布的一类中低产田,以往研究显示,黄泥田化肥配施有机肥或结合秸秆还田处理的土壤固碳速率分别是单施化肥处理的1.59倍、1.32倍[14]。本研究结果也进一步证实紫云英与有机物料还田处理均不同程度提高黄泥田土壤微生物生物量碳氮及土壤有机质、全氮含量,改善了土壤理化、生化性质,尤其是紫云英与水稻秸秆联合还田+40%化肥处理的效果最为明显,这可能与紫云英、有机物料联合还田下碳氮适宜配比及良好的生态功能有关。例如,畜禽粪便类有机物料中脂肪酸、蛋白质、多糖等成分含量较高,施入土壤后经过微生物作用,直接影响土壤碳、氮组分及其含量;秸秆类有机物料中木质素、纤维素和半纤维素含量较高,这些成分一般较难矿化,施入土壤后会提高土壤有机质的重组分含量[6]。紫云英其根瘤具有较强的固氮功能,据测算,种植压青25 000 ~ 30 000 kg/hm2紫云英鲜草一般能增加稻田土壤纯氮75 ~ 90 kg[19]。紫云英还田可改变土壤微生物种群结构,有助于形成“激发效应”[20]。绿肥与有机物料联合还田,可能形成良好的碳氮互济效果,进而促进碳氮循环与良好土壤生态功能的形成。相关研究表明,稻秆(C/N 63:1)与豆科绿肥(C/N 14:1)联合还田,可缓解二者单独应用时氮素固定与碳氮流失问题[21]。稻草-绿肥联合还田培肥地力效果明显,土壤有机质、全氮含量均比单独翻压绿肥与秸秆还田增加,且联合还田下有效养分提升更为全面[22]。稻秸全量覆盖与种植绿肥协同利用模式1 a后可显著提高土壤脲酶活性,2 a后显著提高土壤过氧化氢酶和蔗糖酶活性,3 a后的土壤过氧化氢酶和蔗糖酶活性增幅均是最大[23]。与单独利用稻秆与紫云英相比,稻秆与紫云英联合还田通过改变产甲烷菌与产甲烷氧化菌群落结构降低了甲烷排放[24]。另外,紫云英根系能分泌低分子量的有机酸,螯合酸性土壤中Al-P和Fe-P中的Al3+、Fe3+,使难溶性Al-P和Fe-P中的P释放出来供水稻吸收利用[25]。本研究条件下,紫云英与牛粪联合还田处理(T4)以及紫云英与秸秆联合还田+40% 化肥处理(T5),在磷素投入低于或相当于单施化肥处理(T1)的前提下(表 1),地上部磷素的累积量要高于T1处理(表 4),进一步说明紫云英与有机物料联合还田可活化土壤磷素,提高对土壤磷素的吸收利用能力。
3.2 紫云英与有机物料联合还田对水稻产量及籽粒品质的影响绿肥种植利用是中国传统农业技术的精华,也是绿色生态循环农业发展的关键性举措,为中国粮食稳定和绿色增效发挥着十分重要的作用[26]。亚热带双季稻种植模式下,适量紫云英还田配施化肥除可减少化肥用量外,也是亚热带双季稻区兼顾提升稻米产量和培肥土壤的有效技术,其中化肥减量40% 配合22 500 ~ 30 000 kg/hm2紫云英的配比综合效果较好[27]。本研究条件下,黄泥田连续11 a监测研究表明,与单施化肥相比,紫云英与牛粪、秸秆联合还田处理(T3、T4、T5)的产量或相当,或显著增产,其中T5处理在减量60% 化肥前提下仍实现显著增产3.4%,显示出紫云英与秸秆联合还田在水稻化肥替代方面的巨大潜力。究其原因,首先这可能是紫云英与有机物料中含有丰富的钾素及中、微量元素,更能为水稻生长提供所需均衡养分。相关研究表明,南方黄泥田水稻增产效果与土壤钾肥投入量、速效钾含量及钾素盈亏量有关[28];其次,从养分供应速率来看,紫云英与其他有机物料性质存在差异,不同有机物料腐解1 a后的残留率表现为绿肥<秸秆<根茬≈有机肥[29],即不同的有机物料腐解速率不同,导致养分释放与供应速率表现差异,紫云英与有机物料联合还田可形成速缓相济的供肥速率,保证养分供应较稳长,保证水稻生育期不脱肥。从中也可看出,对于南方丘陵山区广泛分布的中低产黄泥田而言,紫云英在水稻营养供给方面发挥着重要作用,连续多年紫云英与秸秆或牛粪联合还田,其水稻产量与习惯施肥条件下的产量基本相当,且随着时间延长,该模式与习惯施肥的产量差距正在缩小,本研究条件下第10 ~ 11年年籽粒产量甚至高于习惯施肥(图 1A),即紫云英与秸秆或牛粪联合还田可全部替代化肥施用,这为丘陵山区中低产田有机稻生产的肥源选择提供了新的思路。当然,从粮食高产创建与减肥增效带动稻区绿色发展考虑,紫云英与水稻秸秆联合还田+40% 化肥的模式较适合作为黄泥田稻区推荐施肥模式。
水稻籽粒氨基酸含量是表征稻米营养成分的重要指标,与食味品质密切相关,并受施肥措施的影响[11]。与T1处理相比,T5可明显提高水稻籽粒氨基酸和必需氨基酸含量,其中氮、钾元素可能起到了积极作用。一方面,水稻植株体内氮吸收量增加,可促进植株体内合成更多的酶和叶绿素,从而加速光合作用,促进氨基酸合成[30],本研究条件下,T5处理分蘖盛期的植株氮素含量较T1提高14.9%,为后期籽粒氨基酸的合成奠定了基础。另一方面,施钾一定程度上可提高稻米中清蛋白、球蛋白、谷蛋白等营养品质较高的蛋白质组分和蛋白质中赖氨酸、苏氨酸、精氨酸等必需氨基酸含量,从而在一定程度上改善了稻米的营养品质、食味品质和贮藏品质[31]。本研究下,T5处理的理论供钾水平要明显高于T1(表 1),有利于促进籽粒氨基酸含量的提高。值得一提的是,紫云英单独翻压或与有机物料联合还田的处理(T2、T3、T5)籽粒总氮含量(粗蛋白)有低于T1处理的趋势。相关研究表明,对氮肥而言,一定范围内施氮量越高,稻谷蛋白质含量越高[32]。本研究条件下,T2、T3、T4处理的氮总量投入均低于T1,T5虽然总氮投入高于T1,但紫云英与秸秆中的有机氮素在单季内并未充分腐解完全,实际供应的氮素速效养分可能也低于T1处理,从而导致紫云英还田的各处理籽粒蛋白质含量并未增加。由于氨基酸是蛋白质的基本组成单位,本研究条件下T5处理的氨基酸含量显著高于T1,但蛋白质含量并未表现相同趋势,可能是蛋白质合成过程中受到其他因素影响,这有待进一步分析。本研究也进一步显示,水稻产量、籽粒氨基酸含量与黄泥田土壤有机质、全氮及速效钾含量均呈显著正相关。对中低产黄泥田而言,有机质及养分含量普遍缺乏,提高土壤有机质和全氮含量直接或间接扩大了黄泥田养分库容,使养分供应更加均衡,从而促进产量和品质提升。上述说明,土壤有机质、全氮、速效钾、微生物生物量碳氮是影响黄泥田水稻产量、籽粒氨基酸含量的重要肥力因子。
4 结论紫云英与不同有机物料联合还田可显著提高黄泥田水稻产量,尤其是紫云英与秸秆联合还田+40% 化肥模式,该模式较单施化肥显著提升了水稻产量、籽粒氨基酸总量和必需氨基酸含量。有效穗是不同施肥处理产量差异的重要性状因子。与单施化肥相比,长期不同有机物料联合还田尤其是紫云英与秸秆联合还田+40% 化肥处理明显提高了分蘖期土壤微生物生物量碳氮含量,并增加了成熟期土壤有机质、全氮与速效钾含量。土壤有机质、全氮、速效钾、微生物生物量碳氮是影响水稻产量和稻米氨基酸品质的重要肥力因子。综上,连续11 a紫云英与不同有机物料连续联合还田均不同程度提高了黄泥田土壤有机质与养分,促进了植株养分吸收,进而提升水稻产量和氨基酸品质,紫云英+秸秆或紫云英+牛粪还田模式可全部替代黄泥田水稻化肥施用,紫云英与水稻秸秆联合还田+40% 化肥模式在提升产量与籽粒氨基酸品质以及改善稻田肥力方面作用尤为明显。
| [1] |
我国有机肥料资源及利用[J]. 植物营养与肥料学报, 2017, 23(6): 1462-1479 ( 0) |
| [2] |
Fang Y, Wang F, Jia X B, et al. Distinct responses of ammonia-oxidizing bacteria and Archaea to green manure combined with reduced chemical fertilizer in a paddy soil[J]. Journal of Soils and Sediments, 2019, 19(4): 1613-1623 DOI:10.1007/s11368-018-2154-5 ( 0) |
| [3] |
Islam M, Khatu N, Hafeez M K, et al. The effect of zinc fertilization and cow dung on sterility and quantitative traits of rice[J]. Journal of Aridland Agriculture, 2021, 7: 60-67 ( 0) |
| [4] |
Maneepitak S, Ullah H, Paothong K, et al. Effect of water and rice straw management practices on yield and water productivity of irrigated lowland rice in the Central Plain of Thailand[J]. Agricultural Water Management, 2019, 211: 89-97 DOI:10.1016/j.agwat.2018.09.041 ( 0) |
| [5] |
南方稻田紫云英作冬绿肥的增产节肥效应与机制[J]. 植物营养与肥料学报, 2020, 26(12): 2115-2126 ( 0) |
| [6] |
种植翻压紫云英配施化肥对稻田土壤活性有机碳氮的影响[J]. 土壤学报, 2017, 54(3): 657-669 ( 0) |
| [7] |
Yu Q G, Ye J, Sun W C, et al. Influences of organic material application on the physically separated soil organic carbon and nitrogen fractions in rice fields[J]. Journal of Soils and Sediments, 2021, 21(2): 1079-1088 DOI:10.1007/s11368-020-02830-w ( 0) |
| [8] |
长期绿肥利用下红壤性水稻土有机碳和可溶性有机碳的垂直分布特征[J]. 浙江农业学报, 2020, 32(5): 878-885 ( 0) |
| [9] |
Azhar M, Zia Ur Rehman M, Ali S, et al. Comparative effectiveness of different biochars and conventional organic materials on growth, photosynthesis and cadmium accumulation in cereals[J]. Chemosphere, 2019, 227: 72-81 DOI:10.1016/j.chemosphere.2019.04.041 ( 0) |
| [10] |
长期施用不同肥料的土壤有机氮组分变化特征[J]. 农业环境科学学报, 2014, 33(10): 1981-1986 DOI:10.11654/jaes.2014.10.015 ( 0) |
| [11] |
不同有机肥处理对水稻品质和食味的影响[J]. 中国稻米, 2016, 22(4): 42-45 DOI:10.3969/j.issn.1006-8082.2016.04.012 ( 0) |
| [12] |
福建黄泥田肥力质量特征与最小数据集[J]. 中国生态农业学报, 2018, 26(12): 1855-1865 ( 0) |
| [13] |
长期不同施肥对南方黄泥田水稻子粒品质性状与土壤肥力因子的影响[J]. 植物营养与肥料学报, 2011, 17(2): 283-290 ( 0) |
| [14] |
不同施肥模式对南方黄泥田耕层有机碳固存及生产力的影响[J]. 植物营养与肥料学报, 2015, 21(6): 1447-1454 ( 0) |
| [15] |
土壤农业化学分析方法[M].
中国农业科技出版社, 北京, 2000
( 0) |
| [16] |
绿肥和稻草联合还田提高土壤有机质含量并稳定氮素供应[J]. 植物营养与肥料学报, 2020, 26(3): 472-480 ( 0) |
| [17] |
长期绿肥与氮肥减量配施对水稻产量和土壤养分含量的影响[J]. 农业工程学报, 2020, 36(5): 106-112 ( 0) |
| [18] |
长期冬种绿肥改变红壤稻田土壤微生物生物量特性[J]. 土壤学报, 2015, 52(4): 902-910 ( 0) |
| [19] |
中国紫云英[M].
福建科学技术出版社, 福州, 2000
( 0) |
| [20] |
Gao S J, Chang D N, Zou C Q, et al. Archaea are the predominant and responsive ammonia oxidizing prokaryotes in a red paddy soil receiving green manures[J]. European Journal of Soil Biology, 2018, 88: 27-35 DOI:10.1016/j.ejsobi.2018.05.008 ( 0) |
| [21] |
Zhou G P, Cao W D, Bai J S, et al. Co-incorporation of rice straw and leguminous green manure can increase soil available nitrogen (N) and reduce carbon and N losses: An incubation study[J]. Pedosphere, 2020, 30(5): 661-670 DOI:10.1016/S1002-0160(19)60845-3 ( 0) |
| [22] |
稻草高茬-紫云英联合还田改善土壤肥力提高作物产量[J]. 农业工程学报, 2017, 33(23): 157-163 DOI:10.11975/j.issn.1002-6819.2017.23.020 ( 0) |
| [23] |
种植绿肥与稻秸协同还田对单季稻田土壤有机碳库和酶活性的影响[J]. 农业工程学报, 2020, 36(7): 125-133 ( 0) |
| [24] |
Zhou G P, Gao S J, Xu C X, et al. Co-incorporation of Chinese milk vetch (Astragalus sinicus L.) and rice (Oryza sativa L.) straw minimizes CH4 emissions by changing the methanogenic and methanotrophic communities in a paddy soil[J]. European Journal of Soil Science, 2020, 71: 924-939 ( 0) |
| [25] |
不同紫云英基因型根系分泌物中有机酸成分分析[J]. 草业学报, 2014, 23(4): 146-152 ( 0) |
| [26] |
绿肥还田在稻作生态系统的效应分析及研究展望[J]. 土壤, 2021, 53(2): 243-249 ( 0) |
| [27] |
化肥减量配合紫云英还田对双季稻产量及氮肥利用率的影响[J]. 水土保持学报, 2019, 33(6): 280-287 ( 0) |
| [28] |
不同施肥措施提高南方黄泥田供钾能力及钾素平衡的作用[J]. 植物营养与肥料学报, 2017, 23(3): 669-677 ( 0) |
| [29] |
中国农田土壤中有机物料腐解特征的整合分析[J]. 土壤学报, 2016, 53(1): 16-27 ( 0) |
| [30] |
大气CO2含量增加对小麦籽粒营养品质的影响[J]. 中国农业大学学报, 2005, 10(1): 21-25 DOI:10.3321/j.issn:1007-4333.2005.01.006 ( 0) |
| [31] |
钾肥对稻米蛋白质组分和氨基酸含量的影响[J]. 吉林农业大学学报, 1994, 16(S1): 121-123, 142 ( 0) |
| [32] |
稻米蛋白质含量及其影响因素的研究进展[J]. 作物杂志, 2011(6): 1-6 DOI:10.3969/j.issn.1001-7283.2011.06.001 ( 0) |
2. Minhou Station of Soil and Fertilizer Technology, Minhou, Fujian 350100, China
2022, Vol. 54


0)