2. 洛阳市共生微生物与绿色发展重点实验室,河南洛阳 471023;
3. 河南省乡村人居环境工程中心,河南洛阳 471023
钼矿是我国的优势矿种之一,主要分布于河南、陕西、辽宁等省区[1],其中河南省洛阳市栾川县钼储量达206万t,位居亚洲第一,日采矿量可达1.3万t[2]。丰富的矿产资源虽然为当地创造了巨大的经济效益,但此前研究也已证明[3],矿山采掘、剥离、开采以及尾矿废渣堆积等人为活动不仅会对地表植被造成直接破坏,还会破坏土壤结构,造成土壤养分的大量流失,这也是导致矿区植被短期内难以恢复的一大重要原因,因此对矿区土壤养分特征的研究也就尤为必要。
有研究表明,土壤碳、氮、磷的特性是衡量其有效性的重要指标,对揭示土壤养分含量以及碳、氮、磷元素的循环和平衡机制具有重要的意义。而土壤生态化学计量学结合了化学、生物学与生态学等学科的基本原理,以土壤碳、氮、磷含量变化为主要指标[4],对研究生态系统养分循环及养分间的限制与平衡具有重要指示意义,并已引起许多学者的广泛关注[5-7]。学者们对于钼矿区的研究,主要关注重金属的形态及稳定性等方面[8-9],而关于钼矿开采对土壤生态化学计量特征影响的研究较少。此外,关于钼矿区土壤丛枝菌根真菌(arbuscular mycorrhizal fungi, AMF)分泌物-球囊霉素相关土壤蛋白(glomalin-related soil protein, GRSP)与生态化学计量特性的关系也知之甚微。
作为AMF的代谢产物,GRSP广泛分布于陆地生态系统中[10]。Purin和Rillig[11]根据GRSP提取的难易程度将其分为总提取球囊霉素(total extractable glomalin,TG)和易提取球囊霉素(easily extractable glomalin,EEG)。已有研究表明GRSP难溶于水,在土壤中的性质极为稳定,是土壤碳库和氮库的重要来源,同时GRSP还具有改善土壤结构、增强土壤团聚体的稳定性等作用[12-13]。不同生态系统中GRSP对土壤生态化学计量特征的响应是近年来的研究热点之一。张梦歌等[14]在热带雨林的研究发现,TG和EEG含量均随着土壤全碳、全氮和碳氮比的增大显著增加,而与土壤全磷含量没有明显的相关关系。马洁怡等[15]对盐碱地土壤的研究发现,TG与土壤全磷含量没有相关关系,而EEG则与土壤全磷含量呈显著的负相关关系。张亚娟等[16]在沙地的研究发现,TG和EEG含量均与土壤全氮、全磷呈显著的正相关关系。而钼矿开采对AMF分泌GRSP的影响并不清楚,不同开采程度的土壤化学计量特性对GRSP的影响也鲜有报道。
因此本研究以不同开采程度钼矿区植物根际土壤为研究对象,测定其碳、氮、磷和GRSP含量,分析土壤GRSP和生态化学计量特征变化规律及其两者之间的关系,从而为日后钼矿区的生态修复提供更多的理论基础和科学依据。
1 材料与方法 1.1 研究区域概况与样品的采集和处理本研究选择河南洛阳钼矿区的3个典型区域进行研究,分别为开采区、恢复区和未开采区。其中开采区设置在正在开采的中心矿区的边缘,且有较好的植被覆盖,距离矿区中心约600 m;恢复区为2012年停止钼矿开采,正处于自然恢复阶段的区域;未开采区位于已探明钼储量但还未进行钼矿开采的区域。
每个研究区域内设置5个采样点,每个采样点内设置5个20 m × 20 m的样方,对各样方内优势植物的植物种进行记录(表 1);同时采集每个样方内同种优势植物及其根系周围0 ~ 20 cm土壤3 ~ 5份,并混合成一份土壤样品,即每个样方采集5个土壤样品,每个区域采集25个土壤样品,共75个土壤样品。将采集的土壤样品带回实验室,风干处理,进行相关指标的测定。
|
|
表 1 不同开采程度钼矿区的植物种 Table 1 Plant species in Mo-mining areas with different mining levels |
土壤全碳、全氮含量用元素分析仪测定[17],土壤全磷含量采用高氯酸-浓硫酸消煮-钼锑抗比色法测定[18]。
1.3 球囊霉素相关土壤蛋白的测定TG和EEG的含量根据Wright等[10]和David等[19]的方法测定。EEG的主要提取步骤:取1 g风干土于试管中,加入8 ml柠檬酸钠浸提剂(20 mmol/L pH 7.0),在103 kPa、121 ℃条件下提取90 min后,在6 000 r/min下离心15 min,收集上清液。TG提取方法:在装入1 g风干土的试管中,加入8 ml柠檬酸钠浸提剂(50 mmol/L,pH 8.0),于103 kPa、121 ℃条件下连续提取60 min,并重复提取2次;6 000 r/min下离心15 min,收集上清液。分别吸取上清液0.5 ml加入5 ml考马斯亮蓝G-250染色剂,在595 nm波长下比色;用牛血清蛋白作为标准液,考马斯亮蓝法显色,绘制标准曲线,计算出球囊霉素相关土壤蛋白的含量。
1.4 数据处理使用SPSS 21.0对不同开采程度钼矿区全部植物根际土壤及不同开采程度钼矿区草本和木本植物根际土壤的碳、氮、磷和GRSP含量分别进行单因素方差分析,对钼矿区植物根际土壤的碳、氮、磷间的关系进行Pearson相关分析。土壤碳、氮、磷对GRSP含量的影响,则采用线性回归的方法进行分析。
2 结果与分析 2.1 不同开采程度钼矿区土壤碳、氮、磷的分布特征通过对3个区域根际土壤碳、氮、磷含量的测定发现(图 1),未开采区土壤的全氮、全碳含量均显著高于开采区域(P < 0.05),未开采区土壤的全氮含量分别为开采区和恢复区全氮含量的2.70倍和1.35倍,全碳全磷含量则分别为开采区和恢复区的2.01倍和1.74倍。木本植物根际土壤的全磷含量在3个区域间均没有显著差异。未开采区木本植物的全氮、全碳含量分别为2.76 g/kg和48.13 g/kg,而未开采区草本植物根际土壤的全氮、全碳含量则分别2.70 g/kg和53.50 g/kg。
|
(图柱上方不同小写字母表示钼矿区不同开采程度下同种植物类型根际差异达P < 0.05显著水平,下同) 图 1 不同开采程度钼矿区植物根际土壤的碳、氮、磷含量 Fig. 1 The content of C, N and P in the rhizosphere soil of plants in Mo-mining areas with different mining leves |
此外,3个区域植物根际土壤的碳氮比范围为13.53 ~ 29.74(图 2),恢复区根际土壤的C/N显著低于其他两个区域。通过对不同生活型植物根际土壤的碳氮比调查也得到相似的结果,其中恢复区木本植物根际土壤的碳氮比为13.53,草本植物根际土壤的碳氮比为15.66。
|
图 2 不同开采程度钼矿区植物根际土壤的碳氮比 Fig. 2 The C/N in the rhizosphere soil of plants in Mo-mining areas with different mining levels |
总体来看,钼矿区土壤碳含量与氮含量间存在极显著的正相关关系(r=0.707,P < 0.01)与之相似,氮磷间也存在极显著的正相关关系(r=0.374,P < 0.01)而碳含量与磷含量没有明显的相关关系(r=0.057,P > 0.05)。进一步分析不同开采程度钼矿区土壤碳、氮、磷间的相关关系发现,恢复区和未开采区土壤碳氮间均存在极显著的正相关关系(r=0.905,P < 0.01;r=0.614,P < 0.01),而开采区土壤碳、氮、磷间均不存在显著相关关系(表 2)。
|
|
表 2 不同开采程度钼矿区土壤碳、氮、磷的相关性 Table 2 Correlation of soil C, N and P in Mo-mining areas with different mining levels |
总体来看,洛阳钼矿区土壤TG的含量变化范围为1.35 ~ 4.06 mg/g,EEG含量的变化范围为0.57 ~ 2.22 mg/g,其中未开采区植物根际土壤TG和EEG含量都显著高于开采区和恢复区土壤的TG和EEG含量(P < 0.05)(图 3A)。进一步比较不同开采程度钼矿区草本或木本植物根际土壤的TG和EEG含量发现,未开采区木本植物根际土壤TG和EEG含量分别为4.07和1.81 mg/g,均显著高于恢复区和开采区TG和EEG含量;无论是TG还是EEG含量,都是在开采区其含量最低,分别为1.34和0.57 mg/g(图 3B)。与木本植物相似,草本植物根际土壤的TG和EEG含量也是在未开采区达到最大,分别为3.30和2.22 mg/g,且显著高于恢复区和开采区(图 3C)。
|
图 3 不同开采程度钼矿区植物根际土壤球囊霉素相关土壤蛋白的含量 Fig. 3 The content of GRSP in plant rhizosphere soils in Mo-mining areas with different mining levels |
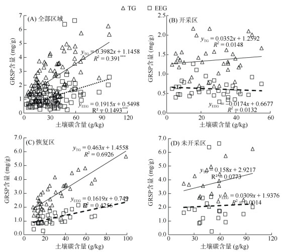
通过对不同开采程度钼矿区植物根际土壤碳、氮、磷含量对GRSP影响的分析可知,土壤碳、氮、磷含量对TG和EEG均有显著的影响(图 4A、5A和6A)。进一步分析不同开采程度土壤碳、氮、磷含量对GRSP的影响发现,开采区土壤的碳、磷含量对TG和EEG均没有显著的影响(图 4B和图 6B),而氮含量对TG和EEG有极显著的影响(图 5B)。恢复区土壤的碳、氮含量对TG和EEG有极显著的影响(图 4C和图 5C),而恢复区土壤磷含量对TG和EEG没有影响(图 6C)。未开采区土壤TG仅受氮的显著影响,不受碳、磷含量的影响;EEG则与碳、氮、磷均没有显著的关系(图 4D、5D和6D)。
|
(*、**、***分别表示相关性达P < 0.05、P < 0.01和P < 0.001显著水平,下同) 图 4 不同开采程度钼矿区土壤碳含量对球囊霉素相关土壤蛋白的影响 Fig. 4 The effect of soil carbon content on GRSP in Mo-mining areas with different mining levels |
|
图 5 不同开采程度钼矿区土壤氮含量对球囊霉素相关土壤蛋白的影响 Fig. 5 The effect of soil nitrogen content on GRSP in Mo-mining areas with different mining levels |
|
图 6 不同开采程度钼矿区土壤磷含量对球囊霉素相关土壤蛋白的影响 Fig. 6 The effect of soil phosphorus content on GRSP in Mo-mining areas with different mining levels |
已有研究表明土壤碳、氮、磷是许多生态系统生产力和物质循环的主要限制因素[4-5],其可以直接反映土壤肥力的基本状况。在本研究中,未开采区土壤碳的平均含量为51 g/kg。未开采区土壤氮、磷的平均含量为3 g/kg和1 g/kg,与全国第二次土壤普查养分分级标准相比[20],分别高于一级和二级标准,处于丰富和较丰富水平,但其低于陕西煤矿区土壤氮、磷含量[21],可能是由于钼矿露天开采移走大量的表层土壤,而本研究中开采区采集的根际土壤样品是在受到钼矿开采干扰后所留下的根际土壤,难以避免是深层次土壤受钼矿开采而翻堆至表层的土壤,从而导致其碳、氮含量显著低。本研究发现开采区土壤碳、氮含量均显著低于未开采区土壤的碳、氮含量,而土壤磷含量在两个区域间没有显著差异,说明钼矿开采主要造成了开采区土壤碳、氮这两种养分的大量流失。恢复区木本植物根际土壤的碳含量为34.39 g/kg,显著高于开采区木本植物根际土壤的碳含量,说明恢复区随着自然植被的恢复,有效减少了养分大量流失,土壤碳含量逐步提高,这一结果与之前研究结果相一致[22]。同时还发现恢复区草本植物根际土壤的碳、氮含量均显著低于未开采区草本植物,说明土壤养分恢复是一个缓慢的过程。
土壤碳氮比和有机质的分解与积累密切相关,是反映土壤养分循环的重要指标,通过对矿区土壤碳氮比的研究,有助于明确矿区土壤养分和能量循环对环境变化的响应。本研究发现,开采区土壤碳氮比约为恢复区土壤碳氮比的2.02倍,表明钼矿开采显著提高了土壤的碳氮比。通常情况下,碳氮比高表明有机质具有较慢的矿化作用,而植物、土壤微生物主要是以无机氮素为营养的,所以土壤有效氮可能成为限制开采区植物正常生长发育的限制因素。可见在开采区植被恢复的治理初期要加大无机氮的投入,从而创造更有利植物生长的环境条件,使土壤碳氮比能处于较平衡的状态。同时还发现,恢复区土壤碳氮比为14.56,与全球、中国土壤碳氮比均值(分别为14.3和14.4)均十分接近[23],说明恢复区经过长期的自然恢复,土壤碳氮比逐渐趋向平衡的状态。研究业已表明,因为土壤氮素大多是以有机态的形式存在于土壤有机碳中,而土壤有机碳又是土壤全碳的一部分,所以土壤碳氮间存在着一定的耦合关系[23]。
此前研究发现[24-25]耕作施肥、石油开采、重金属胁迫等因素对土壤GRSP含量有显著影响。在本研究中发现,钼矿开采显著降低了土壤GRSP的含量,恢复区和未开采区TG含量分别是开采区的2.28倍和2.70倍,EEG则分别是开采区的1.97倍和3.26倍。而钼矿开采导致土壤GRSP含量显著降低主要是因为AMF是以碳素为能源、氮素为营养的[16]。钼矿开采造成土壤养分大量流失,同时开采区土壤的高碳氮比表明氮的矿化速率较低。这两个因素造成AMF无法获取足够其维持正常生理活动的营养物质,并最终导致其分泌GRSP含量的显著减少。
业已证明,GRSP与土壤碳、氮存在一定的相关性[12-15, 26]。本研究通过对GRSP和土壤碳、氮的关系调查发现,GRSP与土壤碳、氮呈极显著正相关关系,进一步证实了GRSP是土壤碳库和氮库的重要来源。恢复区土壤碳、氮含量对TG和EEG均存有显著的影响,而未开采区土壤只有氮含量对TG有极显著的影响,由于植物种类是导致GRSP含量变化的一个关键因素,因此出现这一结果的原因可能与植物种类有关。马洁怡等[15]也研究发现同一区域不同树种根际土壤GRSP含量存在显著差异。胡家欣等[27]则发现不同树龄的同一树种根际土壤的GRSP含量也可能存在显著差异。而未开采区草本植物和木本植物的种类不一,所以土壤碳对GRSP是否有显著的影响有待进一步研究。GRSP含量这一结果在本研究中也得到证实,虽然总体上土壤磷含量对GRSP有显著的影响,但不同开采程度钼矿区土壤磷含量对GRSP没有显著的影响,原因可能是土壤中的磷主要来源于岩石的风化,在土壤中的含量相对稳定[28],而GRSP易受植被类型、土壤碳氮含量等因素影响[29],导致同一开采程度区域内GRSP含量变化较大,所以二者在不同开采程度钼矿区的关系均较弱。
4 结论钼矿开采主要导致了土壤碳、氮的大量流失,并显著提高了土壤的碳氮比。此外,钼矿开采显著降低了土壤的TG和EEG含量,对丛枝菌根真菌分泌GRSP具有明显的抑制作用。
| [1] |
张照志, 王贤伟, 张剑锋, 等. 中国钼矿资源供需预测[J]. 地球学报, 2017, 38(1): 69-76 ( 0) |
| [2] |
Zeng Q D, Liu J M, Qin K Z, et al. Types, characteristics, and time-space distribution of molybdenum deposits in China[J]. International Geology Review, 2013, 55: 1311-1358 DOI:10.1080/00206814.2013.774195 ( 0) |
| [3] |
黄仲德. 矿山开采对生态环境的影响及矿区生态修复分析[J]. 中国资源综合利用, 2020, 38(10): 134-136 DOI:10.3969/j.issn.1008-9500.2020.10.037 ( 0) |
| [4] |
贺金生, 韩兴国. 生态化学计量学: 探索从个体到生态系统的统一化理论[J]. 植物生态学报, 2010, 34(1): 2-6 DOI:10.3773/j.issn.1005-264x.2010.01.002 ( 0) |
| [5] |
区晓琳, 陈志彪, 陈志强, 等. 亚热带侵蚀红壤区植被恢复过程中土壤团聚体化学计量特征[J]. 土壤学报, 2018, 55(5): 1156-1167 ( 0) |
| [6] |
宁志英, 李玉霖, 杨红玲, 等. 沙化草地土壤碳氮磷化学计量特征及其对植被生产力和多样性的影响[J]. 生态学报, 2019, 39(10): 3537-3546 ( 0) |
| [7] |
赵洛琪, 付登高, 吴晓妮, 等. 滇中不同植物群落土壤养分及其计量比的变化特征[J]. 土壤, 2020, 52(6): 1248-1255 ( 0) |
| [8] |
程俊伟, 蔡深文, 黄明琴. 贵州毛石钼矿区土壤及表层沉积物中重金属形态分析及生态风险评价[J]. 水土保持研究, 2021, 28(1): 353-359 ( 0) |
| [9] |
韩张雄. 钼矿区污染特征及伴生Pb、Cd的稳定化研究[D]. 杨陵: 西北农林科技大学, 2020.
( 0) |
| [10] |
Wright S F, Frankesnyder M, Morton J B, et al. Time-course study and partial characterization of a protein on hyphae of arbuscular mycorrhizal fungi during active colonization of roots[J]. Plant and Soil, 1996, 181(2): 193-203 DOI:10.1007/BF00012053 ( 0) |
| [11] |
Purin S, Rillig M C. The arbuscular mycorrhizal fungal protein glomalin: Limitations, progress, and a new hypothesis for its function[J]. Pedobiologia, 2008, 51(2): 123-130 ( 0) |
| [12] |
曹梦, 唐中华, 赵龙, 等. 苏打盐碱化土壤pH与团聚体中球囊霉素相关土壤蛋白含量的关系[J]. 土壤, 2018, 50(2): 319-325 ( 0) |
| [13] |
肖玖军, 邢丹, 毛明明, 等. AM真菌对桑树根围土壤团聚体的影响机制[J]. 土壤学报, 2020, 57(3): 773-782 ( 0) |
| [14] |
张梦歌, 石兆勇, 杨梅, 等. 热带山地雨林土壤球囊霉素的分布特征[J]. 生态环境学报, 2020, 29(3): 457-463 ( 0) |
| [15] |
马洁怡, 王金平, 张金池, 等. 沿海造林树种根际丛枝菌根真菌与土壤因子的通径分析[J]. 南京林业大学学报, 2019, 43(4): 139-147 ( 0) |
| [16] |
张亚娟, 贺学礼, 赵丽莉, 等. 塞北荒漠植物根围球囊霉素和生态化学计量特征的空间分布[J]. 环境科学研究, 2017, 30(11): 1723-1731 ( 0) |
| [17] |
张威, 刘宁, 吕慧捷, 等. TruSpec CN元素分析仪测定土壤中碳氮方法研究[J]. 分析仪器, 2009(3): 46-49 DOI:10.3969/j.issn.1001-232X.2009.03.011 ( 0) |
| [18] |
鲁如坤. 土壤农业化学分析方法[M].
中国农业科技出版社, 北京, 2000
( 0) |
| [19] |
David P, Janos A, Sara G. Glomalin extraction andmeasurement[J]. Soil Biology and Biochemistry, 2008, 40(3): 728-739 DOI:10.1016/j.soilbio.2007.10.007 ( 0) |
| [20] |
杨皓, 胡继伟, 黄先飞, 等. 喀斯特地区金刺梨种植基地土壤肥力研究[J]. 水土保持研究, 2015, 22(3): 50-55 ( 0) |
| [21] |
毕银丽, 江彬, 秦芳玲, 等. 干旱半干旱煤矿区联合接菌对土壤改良动态生态效应[J]. 农业工程学报, 2021, 37(7): 85-93 ( 0) |
| [22] |
陈海滨, 陈志彪, 陈志强, 等. 不同治理年限的离子型稀土矿区土壤生态化学计量特征[J]. 生态学报, 2017, 37(1): 258-266 ( 0) |
| [23] |
Tian H Q, Chen G S, Zhang C, et al. Pattern and variation of C: N: P ratios in China's soils: A synthesis of observational data[J]. Biogeochemistry, 2010, 98(1/2/3): 139-151 ( 0) |
| [24] |
山宝琴, 李茜, 杨燕. 陕北石油污染对土壤球囊霉素含量的影响[J]. 环境工程学报, 2017, 11(11): 6155-6162 DOI:10.12030/j.cjee.201612187 ( 0) |
| [25] |
Cornejo P, Meier S, Borie G, et al. Glomalin-related soil protein in a Mediterranean ecosystem affected by a copper smelter and its contribution to Cu and Zn sequestration[J]. The Science of the Total Environment, 2008, 406(1/2): 154-160 ( 0) |
| [26] |
谢靖, 唐明. 黄土高原紫穗槐丛枝菌根真菌与土壤因子和球囊霉素空间分布的关系[J]. 西北植物学报, 2012, 32(7): 1440-1447 DOI:10.3969/j.issn.1000-4025.2012.07.024 ( 0) |
| [27] |
胡家欣, 彭思利, 张栋, 等. 氮添加对不同林龄杨树人工林丛枝菌根真菌群落的影响[J]. 生态环境学报, 2020, 29(9): 1768-1775 ( 0) |
| [28] |
Hou E Q, Chen C R, Wen D Z, et al. Phosphatase activity in relation to key litter and soil properties in mature subtropical forests in China[J]. The Science of the Total Environment, 2015, 515/516: 83-91 DOI:10.1016/j.scitotenv.2015.02.044 ( 0) |
| [29] |
权常欣, 马玲玲, 林钊凯, 等. 广东省森林球囊霉素相关土壤蛋白含量及影响因素[J]. 生态环境学报, 2020, 29(2): 240-249 ( 0) |
2. Luoyang Key Laboratory of Symbiotic Microorganism and Green Development, Luoyang, Henan 471023, China;
3. Henan Rural Human Settlement Environment Engineering Center, Luoyang, Henan 471023, China
2022, Vol. 54



0)