2. 中国科学院水利部水土保持研究所, 陕西杨凌 712100;
3. 陕西科技大学陕西农产品加工技术研究院, 西安 710021
土壤有机碳是参与土壤养分循环和供应的重要物质,同时与土壤理化性质和作物产量密切相关,是影响陕晋蒙接壤区作物产量高低的决定性因素之一[1-3]。陕晋蒙接壤区是西北地区典型的风蚀水蚀交错带,主要以沙黄土和砒砂岩为主,土壤质地粗、砂粒含量高、有机碳匮乏且难以积累[2],严重影响了该区域农业生产和生态环境恢复。因此,了解粗质地土壤有机碳的快速提升方法及其保护机制对区域土壤肥力提升和生态环境恢复具有重要的意义。
大量研究表明,添加外源有机物可以快速提升土壤有机碳含量,同时对土壤结构有一定的改善效果,能够对农业生产起促进作用[1-4]。木本泥炭是一种类似于生物质炭的具有很大潜力的天然土壤改良剂,其富含腐植酸和多种矿物质养分,具有疏松多孔、比表面积大等特点;此外,其表面含有酚羟基、羧基等含氧官能团,对土壤养分离子具有吸附和解吸作用;同时腐殖物质的存在可以有效改良土壤团聚体结构,增加土壤保水保肥性能[5-6],而目前有关其对土壤改良的研究却相对较少。褐煤是由泥炭经过成岩作用形成的低等级煤炭,具有较高的含碳量和丰富的腐植酸。研究表明,土壤中添加褐煤能够提高土壤有机碳含量,同时促进土壤腐殖物质各组分间的转化,对土壤改良具有一定的效果[7-8]。以往的研究中对土壤有机碳含量的提升主要以添加外源有机物为主,虽然可以快速提高土壤有机碳含量,但在一定环境条件下,也容易流失[9]。近年来,有关土壤有机碳的物理保护机制受到国内外学者的广泛关注,其中黏粒在土壤有机碳的物理保护方面发挥着重要作用[9-12],特别是对粗质地土壤非常重要。Burke等[13]研究发现,土壤有机碳含量与黏粒含量成正比。Müller等[14]通过综述前人文章得出,土壤有机碳含量增加是因为土壤有机碳周转速率随土壤黏粒含量的增加而降低的结果。膨润土作为一种具有较强吸附能力和离子交换能力的黏土矿物[15],其晶体结构以2∶1型的蒙脱石为主,具有提高土壤保水抗旱能力且对土壤中养分具有截留和束缚作用[15-16]。赵雪淞等[17]研究发现,膨润土与肥料配施,显著提高了土壤生化特性及微生物数量,对保持土壤养分供给能力具有重要意义。砒砂岩是一种以钙蒙脱石和石英为主的风化物,成岩程度低,易风化,颗粒间胶结程度低,因富含2∶1型黏土矿物,遇水容易膨胀[18-19]。王丽丽等[19]通过对陕晋蒙矿区土壤改良研究发现,沙黄土掺混砒砂岩(质量比为7∶3)处理下土壤有机碳含量显著提升,并在一定程度上减少了氨态氮的挥发。
综上,外源有机物和黏粒材料(2∶1型)均对土壤有机碳的提升及土壤结构的改良具有积极作用,那么将两者相结合是否具有协同效应?有关这一方面的研究却鲜有报道。粗质地土壤保水保肥性能差,虽然添加外源有机物能够快速提高土壤有机碳含量,但其分解过程也很迅速,土壤结构难以彻底改善。因此,本试验以添加外源有机物木本泥炭和褐煤物质作对比,同时尝试其中一种外源有机物木本泥炭与3种2∶1型黏土矿物配施,探究其对土壤有机碳的提升及保护效果,以进一步探索黄土区粗质土壤快速培肥与地力提升的方法,为区域农业生产提供理论依据。
1 材料与方法 1.1 试验材料与试验地点试验地点位于西北农林科技大学水土保持研究所黄土高原土壤侵蚀与旱地农业国家重点实验室人工模拟干旱大厅常态人工气候室,室内温度、湿度和CO2浓度分别维持在25 ℃、70% 和400 μmol/mol,光照控制在400 μmol/(m2·s),光周期为12 h/d。
供试土壤釆自陕西省榆林市定边县,为粗质沙黄土,将土壤风干后除去石砾和作物残留物,过2 mm筛备用。供试木本泥炭来源于江苏省中向旭曜科技有限公司。褐煤物质1来源于陕西省榆林市神木现代特色农业示范园区,是通过引进台湾中央研究院院士的TTT®创新快速有机废弃物处理技术加工而成的一种褐煤腐植酸物质。褐煤物质2来源于陕西省延安市宝塔区,是一种风化褐煤。膨润土来源于内蒙古宁城天宇膨润土科技有限公司。红黏土黏粒和砒砂岩黏粒在实验室内经供试红黏土和砒砂岩通过沉降法[20]获得。供试盆(呈柱状,高20 cm,内径15 cm)由聚氯乙烯(PVC)材料制成。供试菠菜品种为陕西省秦兴种苗有限公司的金菠(Jin Novum)。供试材料基本理化性质如表 1所示。
|
|
表 1 供试材料基本理化性质 Table 1 Basic physiochemical properties of tested materials |
本试验设置7个处理(表 2),每个处理5次重复。通过前人试验研究结果[21]确定木本泥炭和褐煤的添加量按有机碳含量(干基)为7.76 g/kg施入土壤(每盆装0.65 kg土壤),红黏土黏粒、砒砂岩黏粒和膨润土的添加量为土壤质量的1.0%,各处理在播种前均施用基肥(氮(N) 0.10 g/kg,磷(P2O5) 0.20 g/kg,其中氮肥为尿素,磷肥为过磷酸钙)。将各物料与土混合均匀后装入盆内,每盆播种10粒种子,通过称重法浇水至土壤含水量为250 g/kg。
|
|
表 2 试验处理及代码 Table 2 Treatments and codes of test |
供试菠菜于2019年12月12日播种,于2020年1月15日收获,全生育期共35 d。生育期内采用称重法控制土壤含水量(沙土田间持水量约为140 g/kg)使之维持在100 ~ 250 g/kg。于2019年12月24日(菠菜生长第二片真叶期间)进行间苗,每盆均留大小相近的5株幼苗,同时开始每隔5 d测量菠菜株高以及采样测定菠菜生物量;从2019年12月30日(菠菜生长第六片真叶期间)开始,每隔5 d测定叶面积和叶绿素含量;于2020年1月12日(菠菜生长第八片真叶期间)测量菠菜净光合速率(Pn)、气孔导度(Gs)、胞间CO2浓度(Ci)和蒸腾速率(Tr);在2020年1月15日收获后采集土样测定土壤pH、电导率、全氮和有机碳含量。
1.2.3 测定项目与方法菠菜生长及生理指标的测定:依次测量菠菜株高、叶绿素含量、生物量、叶面积和光合指标,每个处理5次重复中舍弃最大值和最小值后求取平均值为结果数据。株高采用卷尺测量,每盆选取长势均匀的3株菠菜分别测量从土壤表层到自然生长状态下的最高点高度;叶绿素含量(用SPAD值表示)采用SPAD-502Plus叶绿素测定仪(Konica Minolta,Inc.,Japan)测定,每盆选取测量株高时选定的3株菠菜分别测定从基部向上的第2、3片真叶;叶面积采用LI-3000A便携式叶面积仪(Li-Cor,Inc.,USA)测定,每盆选取测量鲜重后的菠菜植株进行测量;采用LI-6400XT便携式光合仪(Li-Cor,Inc.,USA),在早晨9:00—11:00时间段内,设定光合仪的CO2浓度和叶室光强参数分别为500 μmol/mol和1 000 μmol/(m2·s)条件下,测定每盆菠菜的净光合速率(Pn)、气孔导度(Gs)、胞间CO2浓度(Ci)和蒸腾速率(Tr)。
菠菜生物量的测定:第一次是在间苗期间测量,选取间苗中除去的3株大小相近的幼苗测量,取其平均值作为单株生物量;第二次测量时每盆有5株菠菜,选取本次测量株高时选中的3株中的1株剪取测量;依次类推,到第五次测量时,每盆有2株菠菜,选取其中1株进行测量。每次取样时用剪刀沿着土壤表面剪取菠菜地上部分,用蒸馏水洗除残留泥土,再用滤纸吸干表面水分,之后用信封袋装起来在精度为0.001 g的电子天平测量鲜重,随后放入烘箱中,105 ℃条件下杀青30 min后调至75 ℃烘干至恒重,再用同一精度电子天平称量其干重。
土壤理化性质的测定:在菠菜收获后采用直径为1.5 cm的土钻采取土样,采样深度为10 cm,每盆中在等距的3个位置取3钻土混合为一个土样,风干后去除作物残留物,分别过2 mm和0.25 mm筛备用。土壤养分的测定采用常规方法进行[22],其中,有机碳采用重铬酸钾容量法(外加热法)测定,全氮采用凯氏定氮法测定,全磷采用HClO4-H2SO4氧化法测定,pH采用电极法,用雷磁PHSJ-4F型酸度计测定,电导率采用雷磁DDS-303A型便携式电导率仪测定。
1.2.4 数据整理与分析试验数据采用Microsoft Excel 2010进行整理,采用SPSS 25.0进行方差分析及显著性检验(邓肯法,P < 0.05),采用Origin 2021软件进行绘图。
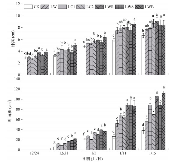
2 结果与分析 2.1 不同外源有机物和黏粒材料添加对菠菜生长和生理指标的影响在菠菜整个生育期内,与CK相比,添加外源有机物和黏粒材料对菠菜株高和叶面积的增加具有不同程度的促进效果(图 1)。由图 1可知,随着生长时间的增加,不同处理下菠菜株高显著增加,在生长旺期(2020年1月11日),LWB处理显著大于其他处理,株高为8.6 cm,CK最小为5.9 cm,其他处理间无显著性差异,株高变幅在7.5 ~ 8.1 cm。在收获期(2020年1月15日),与CK相比,单施外源有机物处理菠菜株高有不同程度的增加,其中LC2处理增幅最大,增加了30.2%,LW处理增幅最小为15.2%;与LW处理相比,LWR、LWS和LWB处理株高有一定程度的增加,增幅在0.6% ~ 15.8%,所有处理中LWR处理株高最大,为9.1 cm,CK最小为6.7 cm。由图 1还可知,在幼苗期内(2019年12月24日至2020年1月5日),各处理菠菜叶面积均呈显著性差异,单施外源有机物处理中,LW和LC2处理大于LC1处理;与LW处理相比,LWR、LWS和LWB处理有一定程度的增加,CK显著小于其他处理。在收获期,LW、LC2、LC1、LWS、LWR和LWB处理下菠菜叶面积分别是CK的1.5倍、1.8倍、2.3倍、2.3倍、2.8倍和2.9倍,其中LWB处理最大,为1 12.1 cm2/株,CK最小为38.3 cm2/株。
|
(柱图上方不同小写字母表示同一时间不同处理间差异在P < 0.05水平显著;下同) 图 1 不同处理下菠菜株高和叶面积 Fig. 1 Plant heights and leaf areas of spinaches under different treatments |
在菠菜整个生育期内,与CK相比,添加外源有机物和黏粒材料对菠菜叶绿素含量有一定的提升效果(图 2)。在菠菜收获期之前,LC1处理叶绿素含量最高,LW、LC2、LWR、LWS和LWB处理之间差异未达到显著性水平,但均大于CK。在菠菜收获期,CK最低,SPAD值为62.7,除LW处理外其他处理之间差异未达显著性水平,各处理SPAD值变幅在72.3 ~ 77.7。添加外源有机物和黏粒材料对菠菜光合作用有一定的促进效果(表 3)。与CK相比,单施外源有机物处理对菠菜净光合速率(Pn)具有不同程度的提升效果,其中LC1处理大于LW和LC2处理;与LW相比,LWR、LWS和LWB处理净光合速率(Pn)具有一定程度的提升。所有处理中,LWR处理净光合速率(Pn)和胞间CO2浓度(Gi)最大,分别为27.7 μmol/(m2·s)和428.8 μmol/mol。此外,LWR处理气孔导度(Gs)和蒸腾速率(Tr)也均大于其他处理,但各处理间差异未达显著性水平。
|
图 2 不同处理下菠菜叶绿素含量 Fig. 2 Chlorophyll contents in spinaches under different treatments |
|
|
表 3 不同处理下菠菜光合作用指标 Table 3 Photosynthetic indexes of spinaches under different treatments |
在不同生长时期,与CK相比,添加外源有机物和黏粒材料对菠菜的生物量具有显著的提升效果(图 3)。在幼苗期内(2020年1月5日之前),LWB处理鲜物质量显著大于其他处理。随着生长时间的增加,不同处理间鲜物质量呈显著性增加,在生长旺期(2020年1月10日),CK显著小于其他处理,为0.8 g/株;单独添加外源有机物处理中,LC1处理鲜物质量为2.5 g/株,分别是LC2和LW处理的1.0倍和1.4倍;与LW处理相比,补充黏粒材料后菠菜鲜重显著增加,增幅在81.4% ~ 93.4%,但LWR、LWS和LWB处理之间差异未达显著性水平,变幅在3.3 ~ 3.5 g/株。
|
图 3 不同处理下菠菜鲜物质量 Fig. 3 Fresh mass of spinaches under different treatments |
在菠菜收获期(2020年1月15日),不同处理之产量差异性显著,其中LWB处理最大,为4.7 g/株,是CK的2.9倍。不同处理间产量由大到小依次表现为:LWB > LWR > LWS > LC1 > LC2 > LW > CK。
2.3 不同外源有机物和黏粒材料添加对沙黄土土壤理化性质的影响添加外源有机物和黏粒材料对土壤pH和电导率均有一定程度的影响(表 4)。与CK相比,各处理pH均有不同程度的下降,其中LWB处理降幅最大,pH降低了0.36个单位,为7.53。LW、LC1、LC2、LWR和LWS处理之间差异未达显著性水平,pH变幅在7.74 ~ 7.82。LC1处理土壤电导率显著高于其他处理,为264.0 μS/cm,其他处理间差异未达显著性水平,变幅在149.56 ~ 187.86 μS/cm。
|
|
表 4 不同处理下土壤理化性质 Table 4 Soil physiochemical properties under different treatments |
添加外源有机物和黏粒材料对土壤全氮和有机碳含量均有不同程度的提升效果(表 4)。与CK相比,LWS处理土壤全氮含量降低了4.1%,其他处理下土壤全氮含量均有不同程度的增加,增幅在0 ~ 6.1%。添加外源有机物和黏粒材料显著提升了土壤有机碳含量,与CK相比,LC1、LWS、LC2、LW、LWB和LWR处理土壤有机碳含量分别提升了66.8%、84.0%、84.3%、92.4%、98.3%和116.3%;在补充黏粒处理中,与LW处理相比,LWB和LWR处理土壤有机碳提升了3.3% 和12.4%,而LWS处理下降了4.4%。
3 讨论 3.1 添加外源有机物对菠菜生长及土壤理化性质的影响本研究表明,添加外源有机物木本泥炭和2种褐煤物质对菠菜生长具有良好的促进作用,显著提升了菠菜的生物量和土壤有机碳含量,并且对土壤全氮、电导率和pH也有一定程度的改善效果,这与前人研究的结果相一致[21, 23-24]。在本试验中,2种褐煤物质处理下收获期菠菜产量分别是木本泥炭处理下的1.5倍和1.3倍,同时株高、叶面积及叶绿素含量也均高于木本泥炭处理,这可能是因为木本泥炭含有羧基、酚羟基、甲氧基等多种官能团,导致其分子结构复杂,施入土壤难以被微生物分解利用[6],而褐煤物质施入后提高了土壤的生物活性以及离子交换能力[7],为土壤提供了更多的养分,进而增加了菠菜生长所需的有效养分含量,从而导致添加木本泥炭处理下菠菜的生长及生理指标均低于褐煤处理。陈硕等[25]通过改良设施大棚土壤(低盐渍化)研究发现,单施木本泥炭处理与常规施肥相比,收获期番茄产量和耕层土壤无机氮含量均有所下降,而土壤pH却有所升高。类似研究表明,在潮土区域通过一季玉米种植,单施木本泥炭处理玉米籽粒产量和地上生物量均有所降低[5]。本试验结果与之恰好相反,可能与木本泥炭对不同质地土壤养分的吸附作用有关[6]。木本泥炭本身具有较强的吸附能力,导致设施大棚和潮土土壤中的有效养分离子难以被作物吸收利用,因此作物产量有所降低[6, 25]。本试验中,单施木本泥炭处理,与对照相比菠菜产量虽然有所提升,但未达显著性水平,可能是沙黄土本身养分含量较低,添加木本泥炭为土壤提供了一定的养分,从而有利于菠菜产量的增加。赵文慧等[5]、Fu等[23]和陈硕等[25]研究表明,添加木本泥炭后土壤有机质含量显著提升;柳夏艳等[26]通过定位试验研究发现,向沙土中添加褐煤后土壤有机质含量显著提升了115.0%,本试验研究结果与之相一致。然而土壤有机质积累是一个长期的过程,因而本试验中短期内增加的有机质实则为添加到土壤中的有机碳含量,试验中木本泥炭处理土壤有机碳含量提升了92.4%,分别是褐煤物质1和褐煤物质2处理的1.4倍和1.1倍。此外,本试验结果表明,添加木本泥炭与2种褐煤物质对土壤电导率有一定的调节作用(表 4)。其中,褐煤物质1处理下土壤电导率显著提升,而其他处理之间差异未达显著性水平,可能与该褐煤物质本身电导率较高相关。目前关于添加外源有机物对土壤电导率影响的相关研究鲜有报道,其具体原因还有待于进一步研究。
3.2 补充黏粒材料对菠菜生长及土壤有机碳保护效果的影响本研究表明,添加木本泥炭的基础上补充黏粒材料在一定程度上能够提升菠菜的株高、叶绿素含量、净光合速率以及土壤有机碳含量,同时显著增加了菠菜叶面积和生物量,这与前人研究结果基本一致[21, 23, 25]。补充3种黏粒材料后,其中补充砒砂岩黏粒处理下收获期(2020年1月15日)菠菜叶面积和产量均显著小于红黏土黏粒和膨润土处理,这可能与砒砂岩黏粒处理下土壤有机碳和全氮含量均小于其他两种黏粒处理有关。补充黏粒处理中以补充膨润土处理菠菜生长效果最佳(图 1、图 3和表 3、表 4),可能是因为膨润土的保水蓄肥能力较强,更适用于沙性土壤改良[15],从而有效改善了沙黄土土壤结构及其他理化性状,更利于促进菠菜生长。土壤黏粒会对土壤团聚体的周转和破碎过程产生一定的影响,土壤黏粒等胶结物质将有机碳包裹在团聚体中,减少了空气接触,降低了分解者的分解速率,因而增加了团聚体的稳定性,有利于土壤结构的维持和有机碳的保护[21, 27-29]。本研究结果表明,在添加木本泥炭的基础上补充黏粒材料能够对土壤有机碳起到物理保护效果,同时对土壤的理化性质也具有一定的改良作用。与单施木本泥炭相比,补充膨润土和红黏土黏粒处理下土壤有机碳含量分别提升了3.3% 和12.4%,而补充砒砂岩黏粒处理下土壤有机碳含量下降了4.4%,可能是因为补充砒砂岩黏粒处理下菠菜产量远高于单施木本泥炭处理,从而导致土壤有机碳消耗较多。类似研究表明,于晋陕蒙矿区排土场添加沙黄土+风化煤+砒砂岩处理培肥土壤,土壤有机质和力稳性团聚体含量得到了提升,同时增加了土壤结构的稳定性[29]。这进一步证明补充黏粒可以有效改良土壤结构,能够对土壤有机碳起到物理保护的作用。关于黏粒对土壤有机碳具有物理保护作用这种观点大多研究者都持肯定态度[9-13, 23, 27-29],但也有人持否定观点,Müller等[14]通过模型研究土壤黏粒与土壤有机碳周转速率关系发现,在实际农林条件不同的情况下,土壤有机碳与土壤黏粒含量之间没有或只有很弱的关系,而与当地气候变异性、有机物输入等因素相关程度较高;Li等[30]通过土壤培养试验发现,土壤中有机物的生物有效性受土壤水分含量及其在土壤基质中分布的直接影响,而土壤质地在很大程度上只起到间接作用。本研究结果与大多数学者研究结果相一致。由于本试验周期较短和条件限制,虽然不同处理之间菠菜的生长、生理指标和土壤理化性质均表现出一定的差异性,然而不同处理是否完全发挥了其应有的作用还有待于进一步研究。此外,单施外源有机物处理中,褐煤物质对菠菜生长的促进效果优于木本泥炭处理,但对土壤有机碳的提升效果低于木本泥炭,那么将其与黏粒配施是否比木本泥炭与黏粒配施的综合效果更佳?为此,本研究将在后期试验中针对不同外源有机物和黏粒材料配施,探究其对土壤有机碳的提升及保护效果。同时建议进行长期定点试验,观测在添加外源有机物的基础上补充黏粒材料对粗质沙黄土土壤有机碳保护的时效性以及土壤结构的改善效果,进一步揭示两者相结合对土壤有机碳提升及保护效果的机理,为黄土区粗质地土壤快速培肥和地力提升找到更优方案。
4 结论添加不同外源有机物对沙黄土有机碳含量和菠菜生长的影响效果不同,与对照相比,木本泥炭处理土壤有机碳含量显著提升了92.4%,同时菠菜产量也有所差异但增加未达显著性水平;褐煤1处理土壤有机碳含量提升最低为66.8%,而菠菜产量却显著高于木本泥炭和褐煤2处理。与单施木本泥炭相比,在添加木本泥炭的基础上补充黏粒材料对土壤有机碳具有一定程度的保护效果,同时对菠菜生长具有显著的促进作用,其中以木本泥炭配施膨润土处理菠菜叶面积和产量最高。此外,与对照相比,不同处理土壤pH有一定程度降低,同时电导率和全氮含量有一定程度增加。总体而言,在粗质沙黄土中添加木本泥炭的基础上补充膨润土能够显著促进作物生长,且对土壤有机碳具有一定的保护效果,是一种沙黄土土壤有机碳快速提升和肥力保持的有效途径。
| [1] |
孙雪, 张玉铭, 张丽娟, 等. 长期添加外源有机物料对华北农田土壤团聚体有机碳组分的影响[J]. 中国生态农业学报(中英文), 2021, 29(8): 1384-1396 ( 0) |
| [2] |
张云龙, 郜春花, 刘靓, 等. 矿区复垦土壤碳组分对外源碳输入的响应特征[J]. 中国生态农业学报(中英文), 2020, 28(8): 1219-1229 ( 0) |
| [3] |
顾鑫, 任翠梅, 杨丽, 等. 外源有机物料添加对东北重度苏打盐碱土团聚体及有机碳的影响[J]. 干旱区资源与环境, 2021, 35(8): 88-92 ( 0) |
| [4] |
Moyin-Jesu E I. Use of different organic fertilizers on soil fertility improvement, growth and head yield parameters of cabbage (Brassica oleraceae L)[J]. International Journal of Recycling of Organic Waste in Agriculture, 2015, 4(4): 291-298 DOI:10.1007/s40093-015-0108-0 ( 0) |
| [5] |
赵文慧, 马垒, 徐基胜, 等. 秸秆与木本泥炭短期施用对潮土有机质及微生物群落组成和功能的影响[J]. 土壤学报, 2020, 57(1): 153-164 ( 0) |
| [6] |
郑延云, 张佳宝, 谭钧, 等. 不同来源腐殖质的化学组成与结构特征研究[J]. 土壤学报, 2019, 56(2): 386-397 ( 0) |
| [7] |
刘梅堂, 王天雷, 程瑶, 等. 中国泥炭褐煤资源及发展腐植酸钾产业潜力[J]. 地学前缘, 2014, 21(5): 255-266 ( 0) |
| [8] |
方丽婷, 张一扬, 黄崇俊, 等. 泥炭和褐煤对土壤有机碳和腐殖物质组成的影响[J]. 土壤通报, 2017, 48(5): 1149-1153 ( 0) |
| [9] |
Kravchenko A N, Negassa W C, Guber A K, et al. Protection of soil carbon within macro-aggregates depends on intra-aggregate pore characteristics[J]. Scientific Reports, 2015, 5: 16261 DOI:10.1038/srep16261 ( 0) |
| [10] |
Kopittke P M, Dalal R C, Hoeschen C, et al. Soil organic matter is stabilized by organo-mineral associations through two key processes: The role of the carbon to nitrogen ratio[J]. Geoderma, 2020, 357: 113974 DOI:10.1016/j.geoderma.2019.113974 ( 0) |
| [11] |
Vogel C, Mueller C W, Höschen C, et al. Submicron structures provide preferential spots for carbon and nitrogen sequestration in soils[J]. Nature Communications, 2014, 5: 2947 DOI:10.1038/ncomms3947 ( 0) |
| [12] |
Lehmann J, Kinyangi J, Solomon D. Organic matter stabilization in soil microaggregates: Implications from spatial heterogeneity of organic carbon contents and carbon forms[J]. Biogeochemistry, 2007, 85(1): 45-57 DOI:10.1007/s10533-007-9105-3 ( 0) |
| [13] |
Burke I C, Yonker C M, Parton W J, et al. Texture, climate, and cultivation effects on soil organic matter content in US grassland soils[J]. Soil Science Society of America Journal, 1989, 53(3): 800-805 DOI:10.2136/sssaj1989.03615995005300030029x ( 0) |
| [14] |
Müller T, Höper H. Soil organic matter turnover as a function of the soil clay content: Consequences for model applications[J]. Soil Biology and Biochemistry, 2004, 36(6): 877-888 DOI:10.1016/j.soilbio.2003.12.015 ( 0) |
| [15] |
Tito G A, Chaves L H G, Souza F G, et al. Influence of bentonite and MB4 on the chemical characteristics of an oxisol[J]. Agricultural Sciences, 2019, 10(5): 651-664 DOI:10.4236/as.2019.105050 ( 0) |
| [16] |
郑毅, 周磊, 刘景辉. 膨润土-腐殖酸型改良剂对沙质土壤氮素气态损失、氮肥利用率和玉米产量的影响[J]. 生态学杂志, 2019, 38(12): 3887-3894 ( 0) |
| [17] |
赵雪淞, 杨晨曦, 冯良山, 等. 膨润土与肥料配施对土壤生化特性和微生物数量的影响[J]. 中国土壤与肥料, 2020(5): 183-188 ( 0) |
| [18] |
王立久, 李长明, 董晶亮. 砒砂岩分布及岩性特征[J]. 人民黄河, 2013, 35(12): 91-93, 97 ( 0) |
| [19] |
王丽丽, 甄庆, 王颖, 等. 晋陕蒙矿区排土场不同改良模式下土壤养分效应研究[J]. 土壤学报, 2018, 55(6): 1525-1533 ( 0) |
| [20] |
赵德博, 万世明, 沈兴艳, 等. 海洋沉积物中黏土矿物的两种提取方法的对比[J]. 海洋地质与第四纪地质, 2015, 35(5): 173-181 ( 0) |
| [21] |
付威, 雍晨旭, 马东豪, 等. 黄土丘陵沟壑区治沟造地土壤快速培肥效应[J]. 农业工程学报, 2019, 35(21): 252-261 DOI:10.11975/j.issn.1002-6819.2019.21.031 ( 0) |
| [22] |
鲍士旦. 土壤农化分析(3版)[M].
中国农业出版社, 北京, 2000
( 0) |
| [23] |
Fu W, Fan J, Wang S, et al. Woody peat addition increases soil organic matter but its mineralization is affected by soil clay in the four degenerated erodible soils[J]. Agriculture, Ecosystems and Environment, 2021, 318: 107495 DOI:10.1016/j.agee.2021.107495 ( 0) |
| [24] |
Makinde E A, Ayoola O T. Growth, yield and NPK uptake by maize with complementary organic and inorganic fertilizers[J]. African Journal of Food, Agriculture, Nutrition and Development, 2010, 10(3): 2203-2217 ( 0) |
| [25] |
陈硕, 聂海斌, 谭钧, 等. 木本泥炭促进设施番茄生长和改良土壤的效果[J]. 中国蔬菜, 2015(10): 42-46 DOI:10.3969/j.issn.1000-6346.2015.10.010 ( 0) |
| [26] |
柳夏艳, 郝思铭, 吕贻忠. 褐煤、粘土和有机肥对内蒙古风沙土腐殖质有机无机复合体的影响[J]. 腐植酸, 2018(6): 28-34, 46 ( 0) |
| [27] |
刘红梅, 李睿颖, 高晶晶, 等. 保护性耕作对土壤团聚体及微生物学特性的影响研究进展[J]. 生态环境学报, 2020, 29(6): 1277-1284 ( 0) |
| [28] |
Schapel A, Marschner P, Churchman J. Clay amount and distribution influence organic carbon content in sand with subsoil clay addition[J]. Soil and Tillage Research, 2018, 184: 253-260 DOI:10.1016/j.still.2018.08.001 ( 0) |
| [29] |
刘鸿涛, 郑纪勇, 李高亮, 等. 晋陕蒙露天煤矿排土场土壤团聚体的变化特征[J]. 农业环境科学学报, 2021, 40(1): 137-143 ( 0) |
| [30] |
Li H C, van den Bulcke J, Wang X L, et al. Soil texture strongly controls exogenous organic matter mineralization indirectly via moisture upon progressive drying-Evidence from incubation experiments[J]. Soil Biology and Biochemistry, 2020, 151: 108051 DOI:10.1016/j.soilbio.2020.108051 ( 0) |
2. Institute of Soil and Water Conservation, Chinese Academy of Sciences and Ministry of Water Resources, Yangling, Shaanxi 712100, China;
3. Shaanxi Agricultural Products Processing Technology Research Institute, Shaanxi University of Science and Technology, Xi'an 710021, China
2022, Vol. 54



0)