2. 中国科学院大学, 北京 100049;
3. 四川大学水力学与山区河流开发保护重点实验室, 成都 610207
土壤通过入渗、蒸散发、地表径流和地下水补给等途径调节水分平衡,从而对区域和全球地表水分和能量平衡产生重大影响[1-2]。土壤饱和导水率(soil saturated hydraulic conductivity,Ks)是研究地下水产流机制、径流发生以及土体可蚀性的重要参数。传统获取Ks值是通过原位测量或野外取样进行室内测定的方式获得,所获数据准确性高,但该方法成本高、耗时耗力,同时由于Ks较大的空间变异性,所测数据很难应用到大区域范围内[3]。1989年荷兰土壤学家Bouma[4]首次提出传递函数(pedo-transfer functions,PTFs)的概念,旨在通过大量数据建立土壤易获取性质(有机质、质地、容重等)与土壤水力学参数之间的关系,间接计算土壤水力学参数。传递函数的提出弥补了大量土壤水力学参数的缺失值,大大促进了土壤水分运动、溶质迁移和土壤侵蚀的研究[5]。近半个世纪,尤其是近30年来,科研工作者围绕Ks传递函数做了大量的研究工作,取得了丰硕的研究成果,也提出了基于不同因子的传递函数。Campbell和Shiozawa[6]根据英国大量的土壤样本数据,将土壤容重和颗粒大小分布作为因子构建土壤传递函数用于预测Ks;Wang等[7]利用青藏高原382个土壤数据,将土壤粒径分布、容重、有机碳含量以及首次加入纬度作为输入因子建立了Ks传递函数;同样,Zhang和Schaap[8]根据1 306个土壤数据,采用神经网络方法分别建立了将土壤颗粒分布、容重、田间持水量作为输入因子的多个传递函数并用于预测Ks。然而,影响Ks的因素极其复杂,其中土壤类型、质地、结构以及土壤大孔隙是影响Ks的主要因素[9-11],同时Ks还受区域气候以及土地利用类型的影响[12-13],导致Ks呈现极大的时空变异性。因此,在采用土壤传递函数预测Ks时,需要进行区域验证。
横断山地区位于四川盆地西部、云贵高原西北部和青藏高原东部,处于中国第一、二级地势阶梯的过渡部位,属高山峡谷地貌。区内地形地貌、气象水文、地质构造等地质环境条件复杂,土壤侵蚀严重,出露的岩层主要有三叠系上统灰白色砂板岩夹少许灰岩,第四纪松散沉积物质组成为古河床沉积形成的砂、卵石层,岩体较为破碎,风化强烈[14],在暴雨季节,崩塌、滑坡、泥石流爆发频繁,严重威胁居民生命安全及重大工程建设[15-16]。Ks是横断山地区土壤水分运动、自然灾害预测的重要参数[17]。然而,关于横断山地区Ks的相关研究鲜有报道,且目前在横断山地区水力学参数指标的可用数据非常有限[18-20]。战海霞[21]的研究发现,横断山地区土壤多为林地土壤,土体结构松散,根系发达且石砾含量高,土壤大孔隙结构丰富,由此导致的土体渗透系数高达25 mm/min。因此,现有的Ks传递函数在该类土壤Ks参数估算上有待验证。基于此,本研究结合研究区土壤含石率偏高的特点,增加土壤石砾含量(粒径 > 2 mm)作为输入变量,同时选取土壤容重、有机质含量和颗粒分布3种土壤基本特性参数作为输入变量,拟构建本区域Ks传递函数模型。
1 材料与方法 1.1 研究区概况本研究以贡嘎山海螺沟流域(29°20′ ~ 30°20′ N,101°30′ ~ 102°15′ E)为研究区。贡嘎山位于青藏高原东缘,主峰海拔7 556 m,是横断山地区的最高峰,区域内地势总体呈东西两侧和北面高、中部和东南部低的趋势,岭谷高差一般1 500 ~ 3 000 m,各支沟狭窄,多呈“V”型谷,谷坡坡度多35° ~ 55°;在支沟和主沟交汇处相对开阔,坡度较支沟两岸处低缓,为25° ~ 35°[22]。该区域属于亚热带季风气候区,年均气温4.1 ℃,年均降水量1 903 mm,雪线和林线分别位于海拔4 900 m和3 700 m附近[23]。海螺沟流域属于典型山地生态系统,垂直气候带完整,随海拔升高,依次为亚热带、暖温带、寒温带、亚寒带、寒带等不同气候类型[24]。同时随着气候类型不同,形成明显的植被带,其中,1 900 ~ 2 200 m是阔叶林带,年降水量约2 000 mm,土壤类型为棕壤,植被以苞槲柯(Lihocarpus clestocarous)为优势种;海拔2 200 ~ 2 800 m为针阔混交林带,年降水量2 500 mm,土壤类型为暗棕壤,植被有铁杉(Tsuga chinensis)、槭树(Acer)、桦树(Betula)等组成;海拔2 800 ~ 3 600 m为针叶林带,年降水量2 800 ~ 3 100 mm,土壤类型为山地灰化土,主要树种以麦吊杉(Picea brachytyla)和峨眉冷杉(Abies fabri)为主。研究区土壤均具有粗骨性强、土薄、石砾含量丰富的基本特征[25-26]。
1.2 样品采集与分析于2019年8月在海螺沟流域开展野外调查,在常绿阔叶林、针阔混交林、针叶林3种植被带各选取3块代表性样地,除去地表凋落物后,每个样地挖一个1 m深的土壤剖面。每个剖面分四层(0 ~ 10、10 ~ 20、20 ~ 50和50 ~ 100 cm),用环刀(高度5 cm,直径5 cm,体积100 cm3)取原状土样用于测定土壤容重、石砾含量和Ks;并在环刀周围0 ~ 20 cm范围内采集土样,带回实验室自然风干后研磨分别过0.25 mm和2 mm筛孔用于土壤有机质和颗粒组成的测定。Ks利用定水头下的马氏瓶渗透仪进行测定[27],容重采用环刀烘干法测定[28],石砾含量以环刀内土样的全部石砾(粒径 > 2 mm)与环刀内全部土样的体积百分比计算,土壤有机质采用重铬酸钾外加热法测定[29],土壤颗粒组成采用吸管法测定[30],土壤颗粒粒级按照美国制土壤颗粒组成分组,分为3级:0.05 ~ 2 mm砂粒,0.002 ~ 0.05 mm粉粒和 < 0.002 mm黏粒。
1.3 研究方法本研究利用Excel 2010及SPSS 22.0对研究区所测得土壤参数进行基本统计分析,并将研究区实测数据分别代入不同土壤传递函数模型中进行计算,比较估算值与实测值的误差,采用平均误差(ME)、均方根误差(RMSE)、决定系数(R2)评价传统土壤传递函数的预测精度。在此基础上,选取土壤容重、石砾含量、有机质含量、土壤粒径组成作为输入参数,利用相关分析、主成分分析和多元逐步回归分析研究Ks的主要影响因素,建立横断山地区森林土壤Ks传递函数。
本研究所选取的9种经典传递函数包括Weynants模型[31]、Cosby模型[32]、Wosten模型[33]、Campbell模型[6]、Pucket模型[34]、Vereecken模型[35]、Saxton模型[36]、Julià模型[37]、Ahuja模型[38],其具体的函数表达式见表 1。
|
|
表 1 研究采用的土壤传递函数 Table 1 Pedo-transfer functions used in this study |
新建传递函数的具体构建步骤如下:①建立多元回归模型Y=a + b×x1 + c×x2 + d×x3(a、b、c分别为各自变量x1、x2、x3的回归系数);②回归系数显著性检验,将不显著变量剔除,再次进行回归;回归方程显著性F检验,确保P < 0.05;③模型检验:进行模型多重共线性检验,如果变量之间存在共线性,则剔除该变量;自相关检验,消除自相关带来的误差;④重复以上步骤① ~ ③,直至模型中各自变量与因变量达到统计学意义上的显著相关。
模型评价指标的计算:
| $ {\text{ME = }}\frac{{\sum {{{{\text{(}}{K_{\text{s}}} - {K_{\text{e}}}{\text{)}}}^{\text{2}}}} }}{n} $ | (1) |
| $ {\text{RMSE = }}\sqrt {\frac{{\sum {{\text{(}}{K_{\text{s}}} - {K_{\text{e}}}{\text{)}}} }}{n}} $ | (2) |
| $ {R^{\text{2}}}{\text{ = }}\frac{{{\text{cov(}}{K_{\text{s}}}{\text{, }}{k_{\text{e}}}{\text{)}}}}{{{\text{var(}}{k_{\text{s}}}{\text{)var(}}{k_{\text{e}}}{\text{)}}}} $ | (3) |
式中:Ks为实际测量的土壤饱和导水率(mm/min);Ke为模型预测的土壤饱和导水率(mm/min);n为测量的数据点的数量;ME反映了估算值对实测值的平均偏离程度,ME值越接近0,模型拟合效果越好;RMSE反映估算值与实测值的吻合程度,RMSE值越小,则越接近于实测值;R2反映了估算值与实测值在变化趋势上的相似性,R2越接近1,说明估算值与实测值在变化趋势上越相似[39]。
2 结果与讨论 2.1 研究区土壤理化性质研究区属于典型高山森林系统,不同土层的基本理化性质如表 2所示,可见,不同土壤深度土壤理化性质变化较为明显,随土壤深度增加,容重和土壤黏粒含量逐渐增大,表层土壤容重范围介于0.69 ~ 0.98 g/cm3,这是由于森林表层土壤因根系丰富,土壤较疏松,随着土壤深度的增加,土壤结构越为紧实,导致较深层次土壤容重增加[40]。表层(0 ~ 10 cm)土壤凋落物丰富,有机质含量平均含量为46.59 g/kg,平均含石率为2.77%;随土壤深度增加,含石率逐渐升高,而有机质含量逐渐降低,50 ~ 100 cm土层有机质含量仅为15.33 g/kg,而含石率增加到19.33%。从土壤颗粒组成看,砂粒是主要的粒级,占比均介于77.81% ~ 97.27%,且表现出随土层深度的增加逐渐增加的趋势。变异系数可反映实测数据与平均值之间的差异性,可表示数据的离散程度,用实测数据标准差与平均值的比来表示。变异系数 < 0.15属于弱变异性,0.16 ~ 0.35属于中等变异性,> 0.36表示较强的变异性[41]。由表 2可知,不同土层容重变异系数 < 0.35,在空间变异上属于弱变异性;表层土壤有机质含量变异程度较小,深层土壤有机质变异系数 > 0.36,变异程度较大;土壤表层含石率变异系数为0.80,变异程度较大;全土层土壤砂粒变异系数范围介于0.02 ~ 0.07,变异程度最小。
|
|
表 2 横断山地区0 ~ 100 cm土壤的基本理化性质统计特征 Table 2 Statistics of soil physiochemical properties of 0–100 cm in Hengduan Mountain region |
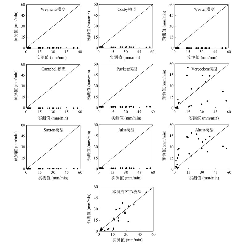
本文选用表 1所列举的9种经典土壤传递函数,对研究区土壤Ks值进行估算。表 3为应用9种Ks传递函数计算所得的估算值与实测值的RMSE、ME和R2。结果发现,9种传递函数ME值均大于10,表明估算值大大低估了研究区实测Ks值,无法达到预测效果,Ahuja模型预测效果优于其他8种传递函数,但仍然达不到预测精度;9种传递函数RMSE值介于16.60 ~ 24.46 mm/min,预测精度均较差,Ahuja函数RMSE值最小为16.60,预测精度高于其他8种传递函数,但预测效果仍属较差。从估算值与实测值的R2看,9种经典传递函数预测精度均很差,即使相对略好的Saxton模型和Ahuja模型的R2值分别为0.51和0.31,仍无法实现准确预测。从图 1也可以看出,Weynants、Cosby、Wosten、Campbell、Pucket、Saxton和Julià模型的估算结果均位于1∶1线底部,严重低估实测值,无法达到预测效果。Vereecken和Ahuja模型结果虽分布于1∶1线两侧,但较1∶1线偏离程度较大。
|
|
表 3 9种经典传递函数和新建传递函数的Ks估算值误差 Table 3 Estimation errors of nine selected and newly developed PTFs of Ks |
|
图 1 不同传递函数的土壤饱和导水率估算值与实测值对比 Fig. 1 Comparison between measured and PTFs-estimated Ks |
从输入变量的构成来看,Cosby、Pucket和Julià传递函数仅将土壤颗粒组成作为输入变量来估算Ks,适用于低海岸平原地区黏粒含量大于20% 且大孔隙不发达的土壤[32,34,37];Campbell传递函数在考虑土壤粒径分布的基础上加入容重作为输入变量,构建Ks传递函数,适用于美国北部土壤类型[6];Rawls等[42]指出土壤有机质含量是影响Ks的重要因素,Weynants、Wosten和Vereecken传递函数在考虑土壤粒径分布和容重的基础上,将有机质含量作为输入变量构建传递函数;Saxton模型则加入土壤饱和含水量作为因子;Ahuja模型是以孔隙度为唯一变量构建的模型。然而,目前以传统影响因子构建的传递函数均大大低估了本研究区土壤Ks。究其原因,有两个方面,其一,横断山地区高山森林生态系统植物根系发达,容易形成土壤大孔隙,为土壤优先流提供通道[43],大大改变土壤Ks,然而,目前经典传递函数均没有考虑土壤大孔隙对土壤Ks的影响;其二,由坡积物发育的研究区土壤的石砾含量高,而石砾是形成大孔隙的重要因素之一[44],因此,此类土壤大孔隙极为丰富。土壤大孔隙是影响Ks的重要因素,关于土壤大孔隙与Ks之间的关系已有大量报道,王金悦等[45]研究发现林地土壤大孔隙的总数量决定了Ks 66% 的变异,大孔隙的平均体积决定了Ks 79% 的变异;刘目兴等[46]发现半径 > 1 mm的大孔隙数量决定了Ks 85% 的变异。显然,大孔隙的数量与体积对土壤水分的运移与分布有着重要的影响,大孔隙的数量越多、体积越大,土壤Ks值越大。综上所述,本研究区植物根系发达,土壤石砾含量高,导致土壤大孔隙发达,土壤导水能力极强,故而采用传统经典传递函数会大大低估本区的Ks值。因此,本研究将土壤石砾含量作为新增的输入变量,考虑由石砾作用所造成的土壤优先流对土壤Ks的影响,从而构建适合本研究区的Ks传递函数,用于预测土壤Ks值。
2.3 研究区土壤饱和导水率与基本理化性质的相关性土壤Ks与理化性质的相关性分析结果如图 2所示,可见,Ks与含石率(GF)在P < 0.01水平下显著负相关,与容重(BD)在P < 0.05水平下显著负相关,表明土壤含石率和容重是影响横断山区森林土壤Ks的主要限制因子。Ks与有机质含量(SOM)、黏粒含量(clay)的相关性不大,表明横断山区土壤Ks受有机质含量和土壤颗粒组成影响不显著。
|
(图中Ks为饱和导水率;sand、silt、clay分别为土壤砂粒、粉粒和黏粒的含量;BD为土壤容重;SOM为土壤有机质含量;*、**、***分别代表在P < 0.05、P < 0.01、P < 0.001水平显著相关) 图 2 土壤Ks与理化性质的相关性 Fig. 2 Correlation coefficients between soil Ks and physiochemical properties |
目前,国内外Ks传递函数主要采用容重、有机质含量、土壤孔隙度以及土壤粒级分布作为输入变量[32-36],经验证,并不适用于横断山研究区。在石质山区,只针对土壤部分展开研究而不考虑石砾的作用是不全面的,横断山地区土壤属森林土壤,具有较高的石砾含量、发达的根系以及丰富的大孔隙,这些特点对土壤入渗、蒸发、径流等水文过程产生重要影响[47]。一方面,王慧芳等[48]的研究表明,土壤中存在的石砾有显著增加Ks的作用,且碎石含量越高,增幅越明显,导致传统Ks传递函数对含石砾土壤的适用性很差[49]。另一方面,当土壤中石砾含量较高时,石砾与土壤交界处更容易形成大孔隙,而土壤中大孔隙的数量及连通性是影响Ks的主要因素,当石砾含量增加到某一范围时,大孔隙之间的连通性会显著提高,形成有效的大孔隙通道,发生优先流,水分移动速度加快,Ks发生明显的跃升[50],Xu等[51]等研究发现,当石砾含量 > 15% 时,Ks随着石砾含量的增加呈现显著增加趋势。本文在研究石砾含量对Ks的影响时,重点关注土壤中 > 2 mm的石砾[52],研究成果可为石砾含量丰富的森林土壤Ks研究提供帮助。针对此类林地土壤,本研究选择土壤含石率(GF)、容重(BD)、有机质含量(SOM)、黏粒含量(clay)以及粉粒含量(silt)作为初始输入变量,利用多元逐步线性回归分析法分析不同变量组合构建模型的AIC值,AIC鼓励数据拟合的优良性同时尽量避免出现过度拟合的情况。所以优先考虑的模型应该是AIC值最小的组合。由表 4可知,其他变量不变的情况下,减少土壤容重作为输入变量增加模型AIC值,同时降低R2;加入土壤含石率明显降低模型AIC值,同时提高模型R2。选择土壤容重、含石率、黏粒含量和粉粒含量作为输入变量,构建传递函数,模型AIC值最低同时R2最大,效果最佳。本研究新建的Ks传递函数表示为:Ks = 9.48 + 12.32×BD + 0.29×SOM – 1.94×GF + 2.89×silt –5.34×sand,经检验,新建传递函数ME值为5.13 mm/min,RMSE值为7.04 mm/min,预测误差明显低于9种经典传递函数,R2达0.67(n=40)(表 3)。从图 1可以看出,新建传递函数预测值和实测值分布于1∶1线两侧,预测效果较好。
|
|
表 4 土壤Ks的多元逐步线性PTFs回归模型及其参数检验 Table 4 Parameter test of multiple linear PTFs models of Ks |
杜阿朋等[53]研究表明,六盘山叠叠沟小流域森林土壤石砾中最多的是粒径在2 ~ 4 mm和4 ~ 6 mm的破碎石砾,二者之和占总石砾体积的62.39%,在该区研究石砾对水文的影响时应将重点放在2 ~ 6 mm的石砾上。喻明美等[54]研究表明,环刀尺度测量Ks在白云山5种不同类型含石砾林地土壤具有一定的代表性。因此,充分兼顾理论和实际可操作性,本研究基于环刀尺度样品数据构建的Ks传递函数具有可靠性和可行性,基本适用于本研究区土壤。
3 结论研究区土壤石砾含量高,大孔隙丰富,导水能力强,表层土壤Ks值最高可达57.01 mm/min,经验证,现有9种经典传递函数对该区的Ks预测值与实测值偏差极大,不在同一个数量级上,大大低估了实测值,不适用于该区域森林土壤Ks预测。本研究增加土壤石砾含量(粒径 > 2 mm)作为输入变量,新建传递函数:Ks = 9.48 + 12.32×BD + 0.29×SOM – 1.94×GF + 2.89×silt – 5.34×sand,预测值与实测值相关系数为0.67,可获得较为准确的Ks估算值,该模型可作为研究区Ks传递函数使用。
| [1] |
Amundson R, Berhe A A, Hopmans J W, et al. Soil and human security in the 21st century[J]. Science, 2015 ( 0) |
| [2] |
Bittelli M, Campbell G S, Tomei F. Soil Physics with Python[M].
Oxford University Press, New York, USA, 2015
( 0) |
| [3] |
Dai Y J, Shangguan W, Duan Q Y, et al. Development of a China dataset of soil hydraulic parameters using pedotransfer functions for land surface modeling[J]. Journal of Hydrometeorology, 2013, 14(3): 869-887 DOI:10.1175/JHM-D-12-0149.1 ( 0) |
| [4] |
Bouma J. Using soil survey data for quantitative land evaluationadvances in soil science[A]//Stewart B A. Advances in soil science. New York: Springer, 1989: 177–213.
( 0) |
| [5] |
van Looy K, Bouma J, Herbst M, et al. Pedotransfer functions in earth system science: Challenges and perspectives[J]. Reviews of Geophysics, 2017, 55(4): 1199-1256 DOI:10.1002/2017RG000581 ( 0) |
| [6] |
Campbell G S, Shiozawa S. Prediction of hydraulic properties of soils using particle-size distribution and bulk density data[M]. 1992.
( 0) |
| [7] |
Wang Y Q, Shao M G, Liu Z P. Pedotransfer functions for predicting soil hydraulic properties of the Chinese loess plateau[J]. Soil Science, 2012, 177(7): 424-432 DOI:10.1097/SS.0b013e318255a449 ( 0) |
| [8] |
Zhang Y G, Schaap M G. Weighted recalibration of the Rosetta pedotransfer model with improved estimates of hydraulic parameter distributions and summary statistics (Rosetta3)[J]. Journal of Hydrology, 2017, 547: 39-53 DOI:10.1016/j.jhydrol.2017.01.004 ( 0) |
| [9] |
Jarvis N J, Zavattaro L, Rajkai K, et al. Indirect estimation of near-saturated hydraulic conductivity from readily available soil information[J]. Geoderma, 2002, 108(1/2): 1-17 ( 0) |
| [10] |
Deb. Variability of hydraulic conductivity due to multiple factors[J]. American Journal of Environmental Sciences, 2012, 8(5): 489-502 DOI:10.3844/ajessp.2012.489.502 ( 0) |
| [11] |
Bouma J, Jongerius A, Schoonderbeek D. Calculation of saturated hydraulic conductivity of some pedal clay soils using micromorphometric data[J]. Soil Science Society of America Journal, 1979, 43(2): 261-264 DOI:10.2136/sssaj1979.03615995004300020002x ( 0) |
| [12] |
Elhakeem M, Papanicolaou A N T, Wilson C G, et al. Understanding saturated hydraulic conductivity under seasonal changes in climate and land use[J]. Geoderma, 2018, 315: 75-87 DOI:10.1016/j.geoderma.2017.11.011 ( 0) |
| [13] |
Hirmas D R ", Giménez D, Nemes A, et al. Climate-induced changes in continental-scale soil macroporosity may intensify water cycle[J]. Nature, 2018, 561(7721): 100-103 DOI:10.1038/s41586-018-0463-x ( 0) |
| [14] |
藏东横断山区草地利用变化对土壤质量的影响[J]. 山地学报, 2009, 27(6): 676-682 DOI:10.3969/j.issn.1008-2786.2009.06.006 ( 0) |
| [15] |
横断山区山地灾害的动态危险性评价[J]. 灾害学, 2019, 34(3): 196–201, 208 DOI:10.3969/j.issn.1000-811X.2019.03.036 ( 0) |
| [16] |
横断山区泥石流空间格局和激发雨量分异性研究[J]. 地理学报, 2019, 74(11): 2303-2313 DOI:10.11821/dlxb201911008 ( 0) |
| [17] |
预测天然文岩渠流域土壤饱和导水率的土壤转换函数方法比较研究[J]. 土壤, 2010, 42(3): 438-445 ( 0) |
| [18] |
元谋干热河谷冲沟集水区土壤入渗性能及其影响因素[J]. 水土保持学报, 2011, 25(6): 170-175 ( 0) |
| [19] |
金沙江干热河谷不同土地利用类型土壤入渗特征及其影响因素[J]. 水土保持学报, 2014, 28(2): 57-62 ( 0) |
| [20] |
云南元谋干热河谷造林区植被生长与土壤渗透性的关系[J]. 山地学报, 2001, 19(1): 25-28 DOI:10.3969/j.issn.1008-2786.2001.01.005 ( 0) |
| [21] |
战海霞. 鲁中南山区不同植物群落下土壤颗粒分形与水文特征[D]. 泰安: 山东农业大学, 2009.
( 0) |
| [22] |
海螺沟景区典型泥石流流域地貌特征及灾害防治[J]. 水土保持研究, 2010, 17(1): 154-158 ( 0) |
| [23] |
贡嘎山东坡植被垂直带谱的物种多样性格局分析[J]. 植物生态学报, 2001, 25(6): 721-732 DOI:10.3321/j.issn:1005-264X.2001.06.013 ( 0) |
| [24] |
Sun H Y, Wu Y H, Yu D, et al. Altitudinal gradient of microbial biomass phosphorus and its relationship with microbial biomass carbon, nitrogen, and rhizosphere soil phosphorus on the eastern slope of Gongga Mountain, SW China[J]. PLoS One, 2013, 8(9): e72952 DOI:10.1371/journal.pone.0072952 ( 0) |
| [25] |
贡嘎山东坡亚高山林区土壤结构综合评价[J]. 山地学报, 2006, 24(4): 504-509 DOI:10.3969/j.issn.1008-2786.2006.04.018 ( 0) |
| [26] |
贡嘎山东坡林地土壤的诊断特性与系统分类[J]. 冰川冻土, 2004, 26(1): 27-32 DOI:10.3969/j.issn.1000-0240.2004.01.004 ( 0) |
| [27] |
土壤物理学[M].
高等教育出版社, 北京, 2006
( 0) |
| [28] |
简易森林土壤容重测定方法[J]. 生态学杂志, 1996, 15(3): 68-69 ( 0) |
| [29] |
土壤农业化学分析方法[M].
中国农业科技出版社, 北京, 2000
( 0) |
| [30] |
施用生物炭对紫色土坡耕地耕层土壤水力学性质的影响[J]. 农业工程学报, 2015, 31(4): 107-112 DOI:10.3969/j.issn.1002-6819.2015.04.016 ( 0) |
| [31] |
Weynants M, Vereecken H, Javaux M. Revisiting vereecken pedotransfer functions: Introducing a closed-form hydraulic model[J]. Vadose Zone Journal, 2009, 8(1): 86-95 DOI:10.2136/vzj2008.0062 ( 0) |
| [32] |
Cosby B J, Hornberger G M, Clapp R B, et al. A statistical exploration of the relationships of soil moisture characteristics to the physical properties of soils[J]. Water Resources Research, 1984, 20(6): 682-690 DOI:10.1029/WR020i006p00682 ( 0) |
| [33] |
Wosten T J H M. pedotransfer functions to evaluate soil quality. 1997.
( 0) |
| [34] |
Puckett W E, Dane J H, Hajek B F. Physical and mineralogical data to determine soil hydraulic properties[J]. Soil Science Society of America Journal, 1985, 49(4): 831-836 DOI:10.2136/sssaj1985.03615995004900040008x ( 0) |
| [35] |
Vereecken H, Maes J, Feyen J. Estimating unsaturated hydraulic conductivity from easily measured soil properties[J]. Soil Science, 1990, 149(1): 1-12 DOI:10.1097/00010694-199001000-00001 ( 0) |
| [36] |
Saxton K E, Rawls W J. Soil water characteristic estimates by texture and organic matter for hydrologic solutions[J]. Soil Science Society of America Journal, 2006, 70(5): 1569-1578 DOI:10.2136/sssaj2005.0117 ( 0) |
| [37] |
Julià M F, Monreal T E, Jiménez A S D C, et al. Constructing a saturated hydraulic conductivity map of Spain using pedotransfer functions and spatial prediction[J]. Geoderma, 2004, 123(3/4): 257-277 ( 0) |
| [38] |
Ahuja L R, Cassel D K, Bruce R R, et al. Evaluation of spatial distribution of hydraulic conductivity using effective porosity data[J]. Soil Science, 1989, 148(6): 404-411 DOI:10.1097/00010694-198912000-00002 ( 0) |
| [39] |
科尔沁沙丘-草甸相间地区表土饱和导水率的土壤传递函数研究[J]. 土壤学报, 2015, 52(1): 68-76 ( 0) |
| [40] |
中国主要土壤类型的土壤容重传递函数研究[J]. 土壤学报, 2016, 53(1): 93-102 ( 0) |
| [41] |
Yavitt J B, Harms K E, Garcia M N, et al. Spatial heterogeneity of soil chemical properties in a lowland tropical moist forest, Panama[J]. Soil Research, 2009, 47(7): 674 DOI:10.1071/SR08258 ( 0) |
| [42] |
Rawls W J, Nemes A, Pachepsky Y. Effect of soil organic carbon on soil hydraulic properties[J]. Developments in Soil Science, 2004, 30: 95-114 ( 0) |
| [43] |
土壤大孔隙结构对饱和导水率的影响[J]. 北京林业大学学报, 2021, 43(2): 102-112 ( 0) |
| [44] |
堆积碎石土细观孔隙空间特征对其渗透特性的定量影响[J]. 中南大学学报(自然科学版), 2017, 48(5): 1367-1375 ( 0) |
| [45] |
连栽桉树人工林土壤大孔隙特征及其对饱和导水率的影响[J]. 生态学报, 2021, 41(19): 7689-7699 ( 0) |
| [46] |
三峡库区森林土壤大孔隙特征及对饱和导水率的影响[J]. 生态学报, 2016, 36(11): 3189-3196 ( 0) |
| [47] |
宁夏砂田不同砾石覆盖厚度土壤入渗过程及模型分析[J]. 水土保持学报, 2017, 31(4): 81-85 ( 0) |
| [48] |
小碎石与细土混合介质的导水特性[J]. 土壤学报, 2010, 47(6): 1086-1093 ( 0) |
| [49] |
Nasri B, Fouché O, Torri D. Coupling published pedotransfer functions for the estimation of bulk density and saturated hydraulic conductivity in stony soils[J]. CATENA, 2015, 131: 99-108 DOI:10.1016/j.catena.2015.03.018 ( 0) |
| [50] |
含岩屑紫色土水力特性及饱和导水率传递函数研究[J]. 土壤学报, 2021, 58(1): 128-139 ( 0) |
| [51] |
Xu L H, Shi Z J, Wangle Y H, et al. Contribution of rock fragments on formation of forest soil macropores in the stoney mountains of The Loess Plateau, China[J]. Journal of Food Agriculture & Environment, 2012, 10(2): 1220-1226 ( 0) |
| [52] |
石砾参数对土壤水流和溶质运移影响研究进展[J]. 土壤, 2014, 46(4): 589-598 ( 0) |
| [53] |
六盘山叠叠沟小流域的土壤石砾含量坡面分布特征[J]. 水土保持学报, 2009, 23(5): 76–80, 127 DOI:10.3321/j.issn:1009-2242.2009.05.016 ( 0) |
| [54] |
广州市白云山五种森林类型的土壤渗透性研究[J]. 水土保持研究, 2011, 18(1): 153-156 ( 0) |
2. University of Chinese Academy of Sciences, Beijing 100049, China;
3. Key Laboratory of Hydraulics and Mountain River Development and Protection, Sichuan University, Chengdu 610207, China
2022, Vol. 54



0)