2. 南京信息工程大学应用气象学院农业资源与环境系, 南京 210044;
3. 江苏滨海经济开发区沿海工业园管委会, 江苏盐城 224555
农田土壤面临着严峻的重金属污染,每年因重金属污染的粮食达1 200多万t,造成的经济损失高于200亿元[1]。受重金属污染的耕地约1.5亿亩,导致粮食减产逾1 000万t[2]。农田污染土壤中,以镉(Cd)的污染面积最大,如江西大余县污水灌溉引起的Cd污染面积大于5 500 hm2, 沈阳张士污灌区Cd污染面积达2 533 hm2[2]。因此,农田土壤重金属污染修复迫在眉睫。目前,农田土壤重金属污染修复技术主要有生物修复技术、稳定化技术、改良技术、农业生态修复技术及联合修复技术等[3]。其中,原位钝化修复技术具有操作简单、修复效果快速等特点,被广泛应用于农田土壤重金属修复中。而开发良好的钝化材料是实现农田重金属修复的关键。目前,常用的钝化材料有含磷材料、石灰类物质、黏土矿物、金属氧化物等[4]。黏土矿物由于储量大、价格低廉、环境友好等优点而受到广泛关注[5]。
凹凸棒石(Attapulgite,ATP),简称凹土,是一种过渡性层链状结构的含水富镁硅酸盐黏土矿物,属于海泡石族[6-7],在我国江苏、安徽、贵州等地储量丰富。ATP晶体细小,棒状、纤维状和层链状,具有巨大的比表面积和多种优越特性,如吸附性、胶体性和离子交换性等[8]。近年来,ATP被广泛用于农田土壤重金属的修复[9]。据研究,ATP对土壤Pb和Cd的钝化效果优于活性炭和骨粉,且对烟草叶片Pb、Cd含量的降低程度大于活性炭和骨粉,说明ATP能有效地固定土壤重金属,降低重金属的迁移转化能力和生物有效性,从而降低重金属的生态风险[10]。然而,天然的ATP含有结晶水和酸溶物质,以及蒙脱石、白云石、蛋白石等伴生杂质,削弱了整体的物化性能,限制了ATP性能的发挥,因此对ATP进行改性是提高ATP性能并增加土壤重金属修复效果的有效途径。
目前用于ATP改性的原料主要有生物质炭、生物硅、秸秆、稻壳、黄腐酸等[11-12]。我国是世界上最大的水稻生产国,每年生产大量的水稻秸秆,秸秆资源丰富[13]。以水稻稻秆为原料对ATP进行改性可以实现废弃物资源化利用,具有较高的经济价值和较广阔的应用前景。
因此本研究通过厌氧发酵法制备ATP-稻秸复合材料,通过扫描电镜(SEM)、傅立叶红外光谱(FTIR)、失重分析仪等方法对复合材料进行表征,分析复合材料对Cd的钝化效果,为ATP材料在土壤修复方面的应用提供参考依据和技术支持。
1 材料与方法 1.1 试验材料供试土壤采自河南省济源市王屋镇农田,采集深度为0 ~ 20 cm。采用系统布点法,采集几个样点的土样等量混合,自然风干,去除杂物,破碎后过2 mm尼龙筛。该土壤的基本理化性质如表 1所示。水稻秸秆取自江苏省南京市江宁区某稻田,铡碎至2 ~ 3 cm,用高速粉碎机粉碎至20目;接种物来自昆山华科生物高分子材料研究所研发生产的有机物料腐熟剂;ATP(低品位)取自江苏盱眙,粉碎至200目,ATP的化学组成如表 2所示。
|
|
表 1 供试土壤的基本理化性质 Table 1 Basic physiochemical properties of tested soil |
|
|
表 2 供试ATP的化学组成(%) Table 2 Chemical composition of used ATP |
ATP-稻秸复合材料通过厌氧发酵法制备,具体操作方法如下:①称取120 g烘干的稻秸,置于玻璃发酵罐中,再分别按照稻秸质量(干物质)的25%、50%、75%、100% 和125% 的比例加入ATP,标记为F-25、F-50、F-75、F-100、F-125;②加入水使得初始发酵液干物质浓度(TS)为10%,加入适量尿素将混合物C/N调至25:1;③在烧杯中按照2︰1︰40(m︰m︰V)的比例加入接种物、红糖和水,搅拌5 ~ 10 min,常温静置备用;④将活化的菌剂与发酵物混合,调节pH至7,倒入相应的发酵罐中,搅拌均匀,密封,并置于36 ℃恒温水浴锅中进行厌氧发酵。同时设置不添加ATP的稻秸作为空白对照,记为F-0。发酵周期40 d。发酵结束后进行固液分离,残渣在自然状态下风干,然后置于55 ℃烘箱中烘至恒重,用于钝化试验。
1.3 ATP-稻秸复合材料的表征ATP的化学组成采用X射线荧光光谱仪(XRF,ARL9800XP+,Switzerland)进行分析。ATP-稻秸复合材料的表面形貌及表面官能团分别通过扫描电子显微镜(SEM,S-3400 N II, Hitachi,Tokyo,Japan)和傅里叶红外光谱(FTIR,Nicolet NEXUS870 spectrometer,Thermo,USA)进行测定。热重分析仪(TG,TA Q50,USA)分析样品热解过程。
1.4 钝化试验准确称取100.0 g污染土壤置于500 ml烧杯中,分别按1%、3%、5% 的质量比例向污染土壤中加各配比的ATP-稻秸复合材料,加40 ml去离子水,搅拌均匀,然后置于干燥通风处分别钝化3、7、15、30 d。将钝化后土壤研磨过100目,分析土壤中Cd的形态和pH。
1.5 分析方法土壤pH采用水土比2.5︰1(V︰m)浸提,pH计测定;土壤有机质采用外加热重铬酸钾容量法测定;土壤全氮、全磷和全钾采用H2SO4-H2O2消煮,分别用凯氏定氮法、钒钼黄比色法和火焰光度计测定[14];土壤重金属采用HNO3-HClO4-HF消煮,电感耦合等离子体发射光谱仪测定;土壤Cd形态采用Tessier五步法提取,电感耦合等离子体发射光谱仪测定[15]。
1.6 钝化率计算本研究采用钝化率评价钝化效果,钝化效率是指钝化后的非稳定态含量较钝化前非稳定态含量减少的百分比。计算公式如下:
| $ {\text{R = }}\frac{{{C_{\text{1}}} - {C_{\text{2}}}}}{{{C_{\text{1}}}}} \times {\text{100% }} $ |
式中:C1为钝化前非稳定态含量(mg/kg);C2为钝化后非稳定态含量(mg/kg)。
1.7 数据处理采用Microsoft office Excel 2013软件对数据进行计算和作图,利用SPSS 23分析不同处理间Cd形态及钝化率的差异性(P < 0.05)。
2 结果与分析 2.1 发酵原料及复合材料的理化性质 2.1.1 发酵原料及复合材料的微观形态未经发酵的稻秸、凹凸棒石(ATP)以及ATP-稻秸复合材料不同配比F-0、F-25、F-50、F-75、F-100、F-125的表面形貌见图 1。由图 1A可知,未经发酵处理的稻秸表面平滑、规则、紧凑,内表面为髓腔,细胞壁较薄;经过40 d的厌氧发酵后,稻秸表面的平滑结构有轻微的破坏,外表面突起的硅质完整且排列整齐,覆盖有硅细胞、栓细胞(图 1C和图 1D)[16],说明稻秸经过短时间的发酵后表面结构虽然有轻微的破坏,但硅质完整,分解程度很低,水解酶并没有与底物充分接触。加入ATP并厌氧发酵后,复合材料表面被细小ATP颗粒包裹,稻秸外围的髓腔结构有较大程度破坏,内部的髓腔仍保持完整,且截面的边缘出现明显的软化皱缩现象;秸秆表面的分解程度增加,且分解程度随ATP添加量的增加而增强,F-100、F-125外表面几乎被分解,下层机械组织暴露,细胞壁松弛,此时水解酶与底物的可及度较高,水解程度升高,说明ATP的加入对稻秸的分解有较大的促进作用(图 1E ~ 1K)。ATP在扫描电镜下结构呈现薄片层叠状,外表面平滑且棱角明显(图 1B),经厌氧发酵处理后,其表面被溶蚀并出现孔洞(图 1L);与秸秆共厌氧发酵后,其表面更加粗糙(图 1E ~ 1K)。由此可见,ATP-稻秸材料经过厌氧发酵,秸秆表面腐蚀分解,外围髓腔结构破环;ATP表面被溶蚀并出现孔洞,表面变粗糙。这说明了ATP-稻秸复合材料经过厌氧发酵后,其表面积增大,重金属的吸附位点增多。
|
(A:未经发酵处理的稻秸;B:经发酵处理的ATP;C和D:复合材料F-0;E和F:复合材料F-25;G和H:复合材料F-50;I:复合材料F-75;J:复合材料F-100;K:复合材料F-125;L:经发酵处理的ATP) 图 1 稻秸、ATP及各复合材料的扫描电镜图 Fig. 1 SEM images of rice straw, attapulgite and attapulgite-rice straw composites |
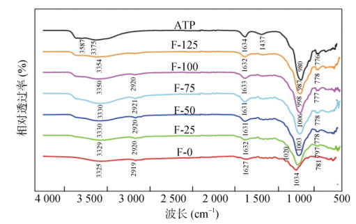
图 2为ATP及各配比发酵复合材料的傅里叶红外光谱(FTIR)图。由图 2可知,ATP在3 587 cm-1处出现吸收峰,该吸收峰归属于Mg-OH的伸缩振动,随着ATP-稻秸复合材料中ATP含量的增多而减少至完全消失。3 375 cm-1归属于沸石水的伸缩振动,只在ATP的FTIR图中出现。与ATP的图谱相比较,各ATP-稻秸复合材料在波长为3 325 ~ 3 354 cm-1出现吸收峰,由于该处吸收峰的强度非常弱,远弱于–OH的伸缩振动峰的强度,故该吸收带属于–NH2的反对称伸缩振动峰,其中F-75的–NH2吸收峰强度最大。同样各配比复合材料在2 920 cm-1左右出现吸收峰,这是由于–CH2键反对称伸缩振动引起,而ATP的图谱中不具备该吸收峰。各配比复合材料均在980 ~ 1 100 cm-1出现吸收峰,ATP在波长980 cm-1处出现的吸收峰是由于Si-OH非对称伸缩振动引起;观察到材料F-0在1 034 cm-1也存在吸收峰,这是由于C-O伸缩振动引起,与邻位的C-C伸缩振动峰耦合一起(除乙酸酯之外其他酯的波长范围为1 040 ± 60 cm-1),说明经过厌氧发酵处理的各复合材料均出现了酯基官能团,且该吸收峰的强度随着复合材料中ATP含量的增加而增加。综上说明发酵法制备的各配比复合材料具备一些有机官能团,与ATP相比表面活性得到提升。
|
图 2 ATP及复合材料的傅里叶红外光谱图 Fig. 2 FTIR images of attapulgite and attapulgite-rice straw composites |
ATP和复合材料的失重(TG)曲线和微商失重(DTG)曲线如图 3所示。由图 3可知,经过厌氧发酵的各配比复合材料的热失重曲线大致相同,基本都经历脱水、剧烈失重和缓慢失重3个阶段。
|
(A:热失重曲线(TG);B:微商失重曲线(DTG)) 图 3 ATP及复合材料热重曲线 Fig. 3 Thermogravimetric and differential weight loss curves of attapulgite and attapulgite-rice straw composites |
第一个阶段发生在室温到100℃之间,各配比复合材料的失重在2% ~ 6%,约为复合材料的含水率,故这一阶段为材料的脱水阶段。第二阶段发生在200 ~ 380 ℃,该阶段各配比复合材料均出现剧烈失重现象,且不同配比材料的最大失重率有一定的差别,该阶段失重主要是各材料的挥发性物质析出并燃烧引起的质量减少。最后一个阶段从380 ℃左右到热解结束,各配比复合材料在400 ℃左右能完全析出挥发,只留下少部分剩余碳,该阶段为最后的碳化阶段,失重在6% ~ 16%。在缓慢失重阶段,复合材料中ATP占比增加时,失重峰的数量及强度均逐渐增加。
2.2 复合材料对土壤pH的影响对加入复合材料并钝化30 d后的土壤pH进行测定,结果如图 4所示。从图 4可知,添加各配比复合材料后土壤pH有不同程度的提高,其中F-75和F-125处理的pH相同且最高,其次为ATP处理和F-25处理。
|
图 4 添加复合材料钝化土壤的pH Fig. 4 Soil pH passivated by attapulgite and attapulgite-rice straw composites |
复合材料对土壤Cd形态分布的影响结果列于表 3。由于土壤可交换态(TES1)、碳酸盐结合态(TES2)、铁锰氧化物结合态(TES3)及有机结合态(TES4)的Cd在一定的环境条件下可从土壤中释放出来,增加Cd的生物有效性。因此本研究将上述4种形态作为非稳定态,残渣态(TES5)作为稳定态,根据钝化前后非稳定态含量占比的变化来评价ATP-稻秸复合材料对Cd的钝化效果。与原始土壤相比,ATP处理土壤Cd的各形态含量占比均发生变化,Cd在TES1、TES2、TES3和TES4中的占比均有所降低,TES5中的Cd占比有所增加,TES5的Cd占比从15.90% 增加至32.92%,说明ATP对Cd有钝化效果。
|
|
表 3 不同复合材料对应的土壤Cd五种形态占比(%) Table 3 Cd speciation contents (%) in soils with composites before and after passivation |
比较了钝化前后各配比复合材料对土壤各形态Cd占比的影响,结果列于表 4。由表 4可知,各配比复合材料减少了TES1、TES2、TES3等非稳定态Cd的占比,其中,TES1的减少程度最大,与钝化前相比减少了7.95% ~ 12.35%。而各配比复合材料使TES5的Cd占比增加17.02% ~ 32.80%。可交换态Cd是作物有效的形态,残渣态Cd是作物难以利用的形态。这个结果表明,各复合材料使土壤中的Cd从非稳定态向稳定态转化,这与包建平等[17]和吴烈善等[18]研究结果相一致。
|
|
表 4 添加复合材料钝化前后土壤中各形态Cd占比的变化(%) Table 4 Comparison of Cd speciation contents in soil with composites before and after passivation |
为研究复合材料添加量对钝化效果的影响,分析了1%、3% 和5% 3个复合材料添加量下土壤Cd的钝化效率,结果如图 5所示。复合材料对土壤Cd的钝化率与复合材料配比及添加量有关。在1% 添加量下,F-75的钝化率最高,达到59.92%,其次为F-50,钝化率为57.67%。在添加量为3% 时,F-25的钝化率最高,其次为F-50,两者的钝化率相差不大,分别为59.88% 和59.84%。在添加量为5% 时F-50的钝化率最大,达到62.50%,其次为F-75,钝化率为59.93%。总体而言,在3个添加量水平下,F-25 ~ F-125配比复合材料对土壤Cd钝化率均大于F-0和ATP对土壤Cd的钝化率,说明与单个材料相比,ATP-稻秸复合材料增大了土壤Cd的钝化效果。通过比较发现,3% 和5% 的添加量下,F-50和F-75的钝化效果较好。
|
(图中小写字母不同表示同一复合材料不同添加量之间差异显著(P < 0.05),大写字母不同表示同一添加量不同复合材料之间差异显著(P < 0.05)) 图 5 复合材料添加量对Cd钝化率的影响 Fig. 5 Effects of attapulgite-rice straw composite amount on Cd passivation rate |
为研究钝化时间对钝化效果的影响,选择3% 复合材料添加量,分析了土壤Cd钝化率的动态变化,结果如图 6所示。随着钝化时间的延长,ATP、F-0和各配比复合材料的钝化率急剧增加,15 d之后,钝化率增加变缓(图 6)。对钝化时间与钝化率进行拟合,发现用幂函数可以很好地描述钝化时间与钝化率之间的关系,拟合方程及相关系数如表 5所示。由表 5可知,所有配比的复合材料对土壤Cd的钝化率与钝化时间均呈显著正相关(P < 0.05),其中F-25达到极显著正相关。由图 6可知,F-25 ~ F-125在3 ~ 30 d的钝化时间内均对土壤Cd有较好的钝化效果,钝化率在44.75% ~ 63.86%。钝化时间相同时,不同配比复合材料对土壤Cd的钝化效果具有一定差别,F-25 ~ F-125对土壤Cd的钝化率均高于F-0和ATP对土壤Cd的钝化率。在钝化15 d时,F-100的钝化效果最好,钝化率为63.46%;其次为F-25,钝化率为61.26%。在钝化30 d时,钝化率最好的是F-100,其次为F-75和F-25,钝化率分别为63.86%、63.61% 和62.37%。
|
(不同小写字母表示同一复合材料不同钝化时间的钝化率差异显著(P < 0.05)) 图 6 复合材料不同钝化时间的钝化率 Fig. 6 Passivation rates of attapulgite-rice straw composites in different time |
|
|
表 5 钝化率与钝化时间的关系 Table 5 Relationship between passivation rate and time |
ATP由于具有较强的表面活性和吸附性能,在土壤重金属污染修复中表现出巨大潜力[19]。为提高ATP的修复性能,本研究通过厌氧发酵法制备了ATP-稻秸复合材料。研究结果表明,ATP-稻秸复合材料减少了土壤可交换态、碳酸盐结合态和铁锰氧化物结合态Cd含量,而增加了残渣态Cd含量。土壤可交换态Cd是作物直接有效的形态,碳酸盐结合态和铁锰氧化物结合态Cd是作物潜在有效的形态,残渣态Cd是作物难以利用的形态。这表明,ATP-稻秸复合材料减少了土壤Cd的生物有效性,增加了土壤Cd的钝化效果。但钝化效果与复合材料配比有关,相比其他配比,F-25钝化效果最好,这可能与F-25使土壤可交换态、碳酸盐结合态和铁锰氧化物结合态Cd减少程度最大及较高的pH有关。通过表 4可知,相比于其他配比,F-25处理使土壤可交换态、碳酸盐结合态和铁锰氧化物结合态3种形态Cd减少程度最大,而相应的残渣态Cd增加程度最大。这表明,F-25促使土壤将较多的土壤可交换态、碳酸盐结合态和铁锰氧化物结合态Cd转化为残渣态Cd,从而增加了Cd的钝化效果。据研究,土壤pH的改变会影响土壤Cd的形态,pH升高将增加土壤Cd的固定[20]。本研究中,添加复合材料后土壤pH均呈现不同程度的升高(图 4)。土壤pH影响土壤Cd的溶解-沉淀平衡[21-22]。pH升高,土壤OH–含量增加,OH–与土壤重金属离子生成沉淀,从而使得重金属被固定,这可能是复合材料使残渣态Cd含量增加的原因之一[23-24]。
复合材料添加量和钝化时间也显著影响土壤Cd的钝化效果。本研究结果可知,F-25 ~ F-125 5种配比的复合材料对土壤Cd的钝化率均大于单个材料F-0和ATP对土壤Cd的钝化率,说明与单个材料相比,ATP-稻秸复合材料增大了土壤Cd的钝化效果。但Cd的钝化率并不随着复合材料添加量的增加而提高。复合材料对土壤Cd的钝化率随钝化时间的延长而急剧增加,15 d后增加缓慢。复合材料添加量与钝化时间对土壤Cd钝化率的影响可能与复合材料的表面形貌及表面官能团的特征有关。通过复合材料扫描电镜(图 1)和傅里叶红外光谱(图 2)可知,复合材料经过厌氧发酵,秸秆表面腐蚀分解,外围髓腔结构破环,ATP表面被溶蚀并出现孔洞,表面变粗糙。这说明了ATP-稻秸复合材料经过厌氧发酵后,其表面积增大(图 1C ~ 1K),同时,复合材料具有一些有机官能团,这些有机官能团与Cd形成沉淀。有研究表明,发酵的秸秆含有一定量腐殖酸,能与重金属离子发生络合作用形成难溶于水的物质,这也说明了ATP-稻秸复合材料增加土壤Cd稳定态含量的原因[25-26]。综合考虑复合材料种类、复合材料添加量及钝化时间对土壤Cd钝化率影响的研究结果并兼顾成本,选择F-25复合材料,添加量为3% 并钝化15 d将是土壤Cd的最佳钝化措施。通过本研究可知,ATP-稻秸复合材料具有制备方法简单、成本低、资源循环利用及环境友好等优点,在Cd污染土壤的修复中具有广阔应用前景。
4 结论1) 采用厌氧发酵法成功制备了ATP-稻秸复合材料。稻秸表面腐蚀分解,外围髓腔结构破环,ATP表面被溶蚀并出现孔洞,表面变粗糙,而且复合材料也出现了有机官能团。
2) 添加ATP-稻秸复合材料使土壤Cd的非稳定态含量减少,稳定态含量增加,其中,F-25使土壤稳定态Cd含量增加29.15%。复合材料对土壤Cd的钝化效果取决于复合材料配比与添加量。复合材料对土壤Cd的钝化效果均优于F-0及ATP。3% 添加量F-25和5% 添加量F-75的钝化效果较好。
3) 综合考虑ATP-稻秸配比、复合材料添加量及钝化时间对土壤Cd钝化率的影响并兼顾成本,选择F-25复合材料,添加量为3% 并钝化15 d将是污染土壤Cd的最佳钝化措施。
| [1] |
周建军, 周桔, 冯仁国. 我国土壤重金属污染现状及治理战略[J]. 中国科学院院刊, 2014, 29(3): 315–320, 350, 272 ( 0) |
| [2] |
高晓宁. 土壤重金属污染现状及修复技术研究进展[J]. 现代农业科技, 2013(9): 229-231 DOI:10.3969/j.issn.1007-5739.2013.09.150 ( 0) |
| [3] |
王炫凯, 曲宝成, 艾孜买提·阿合麦提, 等. 我国农田重金属污染状况及修复技术研究进展[J]. 清洗世界, 2021, 37(8): 55–58, 61 DOI:10.3969/j.issn.1671-8909.2021.08.026 ( 0) |
| [4] |
宁东峰. 土壤重金属原位钝化修复技术研究进展[J]. 中国农学通报, 2016, 32(23): 72-80 DOI:10.11924/j.issn.1000-6850.casb16010119 ( 0) |
| [5] |
Uddin M K. A review on the adsorption of heavy metals by clay minerals, with special focus on the past decade[J]. Chemical Engineering Journal, 2017, 308: 438-462 DOI:10.1016/j.cej.2016.09.029 ( 0) |
| [6] |
郑淑琴, 黄石, 韩勇. 凹凸棒石的性能及其应用[J]. 广州化工, 2010, 38: 82-84 ( 0) |
| [7] |
爱勤, 王文波, 郑易安. 凹凸棒石棒晶束解离及其纳米功能复合材料[M].
科学出版社, 北京, 2014
( 0) |
| [8] |
赵娣芳, 周杰, 刘宁. 凹凸棒石改性机理研究进展[J]. 硅酸盐通报, 2005, 24(3): 67-69 DOI:10.3969/j.issn.1001-1625.2005.03.017 ( 0) |
| [9] |
陈展祥, 陈传胜, 陈卫平, 等. 凹凸棒石及其改性材料对土壤镉生物有效性的影响与机制[J]. 环境科学, 2018, 39(10): 4744-4751 ( 0) |
| [10] |
胡钟胜, 章钢娅, 王广志, 等. 改良剂对烟草吸收土壤中镉铅影响的研究[J]. 土壤学报, 2006, 43(2): 233-239 DOI:10.3321/j.issn:0564-3929.2006.02.010 ( 0) |
| [11] |
Wang D F, Guo W, Zhang G L, et al. Remediation of Cr(VI)-contaminated acid soil using a nanocomposite[J]. ACS Sustainable Chemistry & Engineering, 2017, 5(3): 2246-2254 ( 0) |
| [12] |
刘文杰, 杨彤, 徐姣, 等. 凹凸棒石/脱硅稻壳炭复合材料吸附Pb2+、Cu2+、Ni2+的对比研究[J]. 化工新型材料, 2015, 43(5): 169-173 ( 0) |
| [13] |
Deng N Y, Grassini P, Yang H S, et al. Closing yield gaps for rice self-sufficiency in China[J]. Nature Communications, 2019, 10: 1725 DOI:10.1038/s41467-019-09447-9 ( 0) |
| [14] |
鲍士旦. 土壤农化分析(3版)[M].
中国农业出版社, 北京, 2000
( 0) |
| [15] |
甘文君, 何跃, 张孝飞, 等. 电镀厂污染土壤重金属形态及淋洗去除效果[J]. 生态与农村环境学报, 2012, 28(1): 82-87 DOI:10.3969/j.issn.1673-4831.2012.01.014 ( 0) |
| [16] |
李辉勇, 金密, 魏琴琴, 等. 稻草秸秆的碱性臭氧预处理效果[J]. 农业工程学报, 2010, 26(4): 264-268 DOI:10.3969/j.issn.1002-6819.2010.04.045 ( 0) |
| [17] |
包建平, 朱伟, 汪顺才, 等. 固化对淤泥中重金属的稳定化效果[J]. 河海大学学报(自然科学版), 2011, 39(1): 24-28 DOI:10.3876/j.issn.1000-1980.2011.01.006 ( 0) |
| [18] |
吴烈善, 曾东梅, 莫小荣, 等. 不同钝化剂对重金属污染土壤稳定化效应的研究[J]. 环境科学, 2015, 36(1): 309-313 ( 0) |
| [19] |
谭科艳, 刘晓端, 刘久臣, 等. 凹凸棒石用于修复铜锌镉重金属污染土壤的研究[J]. 岩矿测试, 2011, 30(4): 451-456 DOI:10.3969/j.issn.0254-5357.2011.04.012 ( 0) |
| [20] |
苏炳林, 孙梦强, 林加奖, 等. 绿色合成纳米氧化铁对污染土壤中镉的钝化研究[J]. 环境科学学报, 2019, 39(3): 908-916 ( 0) |
| [21] |
Bashir S, Shaaban M, Hussain Q, et al. Influence of organic and inorganic passivators on Cd and Pb stabilization and microbial biomass in a contaminated paddy soil[J]. Journal of Soils and Sediments, 2018, 18(9): 2948-2959 DOI:10.1007/s11368-018-1981-8 ( 0) |
| [22] |
Rosenfeld C E, Chaney R L, Martínez C E. Soil geochemical factors regulate Cd accumulation by metal hyperaccumulating Noccaea caerulescens (J. Presl & C. Presl) F. K. Mey in field-contaminated soils[J]. Science of the Total Environment, 2018, 616/617: 279-287 DOI:10.1016/j.scitotenv.2017.11.016 ( 0) |
| [23] |
赵家印, 席运官, 代慧杰, 等. 钝化剂与有机肥配施对土壤有效态重金属及其在生菜中累积的影响[J]. 生态与农村环境学报, 2019, 35(11): 1460-1467 ( 0) |
| [24] |
Liang X F, Zang Y B, Xu Y M, et al. Sorption of metal cations on layered double hydroxides[J]. Colloids and Surfaces A: Physicochemical and Engineering Aspects, 2013, 433: 122-131 ( 0) |
| [25] |
王成贤. 腐殖酸对土壤中重金属活性和植物有效性的影响[J]. 广州化工, 2015, 43(8): 38-40 DOI:10.3969/j.issn.1001-9677.2015.08.014 ( 0) |
| [26] |
占国艳, 陈振宁, 童非, 等. 不同秸秆材料与制备工艺下生物炭性质及对土壤重金属的钝化效应[J]. 生态与农村环境学报, 2021, 37(1): 86-95 ( 0) |
2. Department of Agricultural Resources and Environment, School of Applied Meteorology, Nanjing University of Information Science & Technology, Nanjing 210044, China;
3. Management Committee of Jiangsu Binhai Economic Development Zone Coastal Industrial Park, Yancheng, Jiangsu 224555, China
2022, Vol. 54



0)