2. 中国科学院大学, 北京 100049
甲烷(CH4)和氧化亚氮(N2O)是大气中仅次于二氧化碳(CO2)的重要温室气体,其百年尺度的全球增温潜势(global warming potential,GWP)分别为CO2的28倍和265倍[1]。2019年,大气中CH4和N2O浓度分别达到1 877和332 ppb,是工业化前的260%和123%[2]。稻田是这两种温室气体的重要排放源,据统计,中国稻田CH4和N2O排放量分别为5.3 Tg/a和N 31.1 Gg/a[3-4]。因此,加强稻田温室气体研究对减缓全球气候变化有重要意义。
秸秆是重要的可再生能源之一。我国的秸秆资源丰富,年产量约为8.3 × 108 t[5]。秸秆还田是一项大力推行的保护性耕作措施,它能够增加土壤大团聚体,改善土壤物理结构,增加作物产量,减少焚烧带来的空气污染,提高土壤有机质含量[6-8]。我国秸秆肥料化利用率达47.3%[9],其中江苏省秸秆还田率达64%,夏季麦秸还田率更高达85%[10]。秸秆还田一方面促进稻田土壤有机碳固定,增加碳汇,缓解全球增温效应[11-12];另一方面显著增加稻田甲烷排放,加剧全球增温效应[13-14]。所以,在发展循环农业的过程中,综合评估秸秆还田对稻田生态系统的净温室效应十分必要。
净温室效应/净全球增温潜势(net global warming potential,Net GWP)是给定生态系统中土壤固碳和温室气体排放的综合评估指标,该指标的正值和负值分别表示该生态系统温室气体的源和汇[15-16],可用于定量评估秸秆还田对稻田生态系统的全球增温效应的综合影响。有关秸秆还田影响稻田温室气体排放和土壤固碳的研究报道众多[17-21],而综合评价其对稻田净温室效应影响的报道较少,且研究结果不尽相同。汤宏等[22]报道秸秆还田1 a后显著降低稻田净温室效应295% ~ 1 128%;而张岳芳等[15]研究发现秸秆还田2 a后显著增加净温室效应57%;刘晓雨等[23]报道稻田的净温室效应在秸秆还田21 a后显著增加48%;Xia等[24]也报道秸秆还田20 ~ 21 a后显著增加稻田净温室效应25% ~ 52%。
本研究以太湖流域稻麦轮作稻田为研究对象,以当地常规模式为对照,通过田间原位观测不同年限不同秸秆还田量稻田的CH4和N2O排放规律,估算土壤的固碳速率,综合评估秸秆还田对稻田净温室效应的影响,探明其随不同年限变化的规律,分析其变化可能的原因,以期为实现农业可持续发展及“双碳”目标提供参考数据。
1 材料与方法 1.1 试验区概况试验区位于江苏省句容市白兔镇行香村(31°58′N,119°18′E),该地区主要种植制度为稻–麦轮作,长期定位试验开始于2006年。该地区属于亚热带季风气候区,2007年和2018年的年平均气温分别为16.9 ℃和16.7 ℃,年总降水量分别为1 162.5 mm和1 374.0 mm。供试土壤是发育于下蜀黄土的爽水性水稻土,耕层土壤(0 ~ 20 cm)初始基本理化性质为:pH 5.9,容重1.2 g/cm3,有机碳含量8.2 g/kg,全氮含量1.1 g/kg。
1.2 试验设计本试验选取2007年(2 a)和2018年(13 a)两个处理年限为观测期。共设置4个秸秆还田水平处理:S0(0 t/hm2)、S1(1.6 t/hm2)、S2(3.2 t/hm2);S3(4.8 t/hm2),这4个秸秆还田量分别是当地常规秸秆还田量的0、1/3、2/3和全量。各处理还田的秸秆切短至10 cm左右,每年在稻麦季前施入,秸秆与农田耕作层土壤均匀混合。每个处理设置3次重复,随机区组排列,各小区面积为3 m × 2.5 m。
1.3 田间管理田间管理措施与当地常规管理模式一致。水稻生长季尿素施用量为N 300 kg/hm2,施用比例为:基肥∶分蘖肥∶穗肥= 2∶1∶1;磷肥(过磷酸钙,Ca(H2PO4)2)和钾肥(氯化钾,KCl)作为基肥,一次性施入,施用量分别为450 kg/hm2和225 kg/hm2。田间水分管理方式为间歇灌溉(前期淹水–中期烤田–复水–后期干湿交替),观测期内田间管理具体时间见表 1。
|
|
表 1 2007年和2018年水稻生长季作物管理和水分管理时间 Table 1 Details of crop and water management during rice–growing seasons in 2007 and 2018 |
采用手动密封箱法[25]采集稻田温室气体(CH4和N2O),水稻移栽后第2天开始采样,3 ~ 7 d采样1次,同时记录相关环境因素数据,包括土温、气温、采样箱内温度、水层深度和天气情况等,采样时间为上午9:00—11:30。采样时,将采样箱(箱体由透明有机玻璃制成,尺寸为0.5 m × 0.5 m × 0.5/1 m)放置于采样底座(尺寸为0.5 m × 0.5 m × 0.15 m)凹槽(深度为4 cm)内,并用水密封,底座内作物种植密度(6穴,每穴3株)与底座外保持一致。用双通针将气样从采样箱导入真空气瓶待测,每次采样时间间隔为10 min,共采样4次。采集的气样用气相色谱仪进行测定(2007年:Shimadzu GC-14B,日本;2018年:Agilent 7890B,美国),其中CH4浓度用氢火焰离子化检测器(FID)测定,N2O浓度用63Ni电子捕获检测器(ECD)测定,标准气体由中国计量科学研究院提供。
1.4.2 土壤样品土壤样品在水稻收获后使用内径2.5 cm、长20 cm的取土器进行采集。在田间按“之”字形采样,土壤充分混匀后拣去植物残根和石砾等,经风干、研磨和过筛(100目),用碳氮元素分析仪进行SOC含量测定(Elementar Vario MAX CN,德国)。环刀法测定土壤容重[26]。
1.5 数据处理与统计分析 1.5.1 稻田温室气体排放量计算CH4和N2O的排放通量根据下式计算[25]:
| $ F = ρ × V/A × d\mathrm{c}/dt × 273/T $ | (1) |
式中:F是CH4或N2O排放通量,其中CH4排放通量单位为mg/(m2·h),N2O排放通量单位为μg/(m2·h) (以N计);ρ是标准状态下CH4或N2O的密度,其值是CH4为0.714 kg/m3,N2O为1.25 kg/m3 (以N计);V是采样箱内有效体积,m3;A是采样箱所覆盖的土壤面积,m2;dc/dt是单位时间内采样箱内CH4或N2O浓度的变化,CH4单位为μl/(L·h),N2O单位为nl/(L·h) (以N计);T是采样过程中采样箱内的温度,K。
CH4和N2O的排放量根据下式计算:
| $ T_{\mathrm{E}}= ∑[(F_{i+1} + F_{i})/2] × (D_{i+1}–D_{i}) × 24/1000 $ | (2) |
式中:TE是CH4或N2O排放量,CH4排放量单位为g/m2,N2O排放量单位为mg/m2 (以N计);Fi和Fi+1分别是第i和i+1次采样时CH4或N2O排放通量,CH4排放通量单位为mg/(m2·h),N2O排放通量单位为μg/(m2·h) (以N计);Di和Di+1分别是第i和i+1次的采样时间,d。
1.5.2 土壤固碳速率计算基于有机碳储量的增量计算每年有机碳固定速率(SOCsequestrate rate)。
有机碳储量(SOCstock)计算公式如下[27]:
| $ \mathrm{SOC}_{\mathrm{stock}} = \mathrm{SOC}_{\mathrm{content}} × ρ × H × 100 $ | (3) |
式中:SOCstock是土壤有机碳储存量,t/hm2 (以C计);SOCcontent是土壤有机碳含量,g/kg(以C计);ρ是土壤密度,g/cm3;H是土壤样品取样深度(20 cm)。
有机碳固定速率(SOCsequestrate rate)计算公式如下:
| $ \mathrm{SOC}_{\mathrm{sequestrate rate}} = (\mathrm{SOC}_{\mathrm{stock}\; n}–\mathrm{SOC}_{\mathrm{stock}\;i}) / t $ | (4) |
式中:SOCsequestrate rate是土壤有机碳固定速率,t/(hm2·a) (以C计);SOCstock n和SOCstock i分别是观测年和初始年的土壤有机碳储存量值,t/hm2(以C计);t是观测年处理年限值,a。
1.5.3 稻田净温室效应计算净温室效应(Net GWP)是稻田排放CH4和N2O的综合增温潜势(GWP)与土壤固碳减缓全球变暖贡献的差值,计算公式如下[28]:
| $ \mathrm{GWP} = \mathrm{CH}_{4} × 28 + \mathrm{N}_{2}\mathrm{O} × 265 $ | (5) |
| $ \mathrm{Net\;GWP} = \mathrm{GWP} – \mathrm{SOC}_{\mathrm{sequestrate\;rate}} × 44/12 $ | (6) |
式中:GWP是稻田排放CH4和N2O的综合增温潜势,t/hm2 (以CO2-eq计);CH4是CH4排放量,t/hm2;N2O是N2O排放量,t/hm2;28和265分别是百年尺度上CH4和N2O的GWP值;Net GWP是净温室效应,t/(hm2·a) (以CO2-eq计);44/12是将土壤有机碳换算为CO2当量的系数。
1.5.4 统计分析试验结果均以每个处理3次重复测量值的平均值与标准差来表示,数据处理用Microsoft Excel for Windows 2010完成,用SPSS 25进行统计分析,采用Origin lab 9.1进行作图。
2 结果 2.1 CH4排放2007年和2018年水稻生长季,稻田CH4排放通量的季节变化如图 1A和1B所示。各处理CH4排放通量的变化趋势基本一致,即在水稻移栽初期缓慢上升,并在持续淹水期的第11 ~ 39天达到季节排放峰值(6.0 ~ 58.9 mg/(m2·h)),烤田时降低到最低值,烤田后复水及后期干湿交替期间排放通量均较低。在第2年,与S0相比,S1、S2和S3的最大峰值分别增加126%、378% 和720%;第13年,与S0相比,S1、S2和S3的最大峰值分别增加167%、538% 和886%,且其最大峰值的到达时间分别前移8、16和16 d。
|
图 1 2007年和2018年水稻生长季CH4和N2O排放通量的季节变化 Fig. 1 Seasonal variations of CH4 and N2O fluxes during rice-growing seasons in 2007 and 2018 |
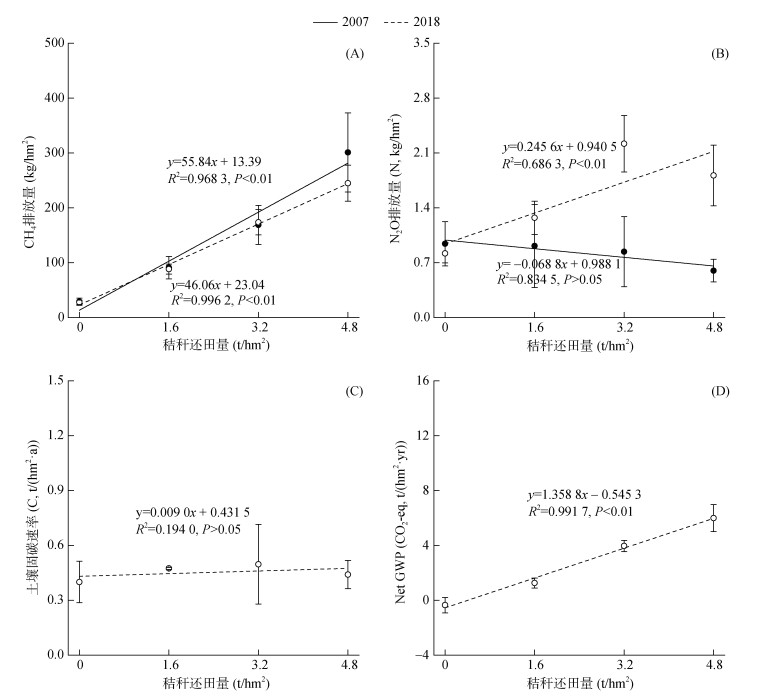
如表 2所示,各处理稻田CH4季节排放总量为27.7 ~ 301.0 kg/hm2,随着秸秆还田量的增加,稻田CH4排放量呈线性增加(图 2A,P < 0.01)。在第2年,S1、S2和S3的CH4排放量比S0分别高2.1倍、4.8倍和9.4倍(P < 0.05);第13年,S1、S2和S3的CH4排放量比S0分别高2.2倍、5.3倍和7.9倍(P < 0.05),但其单位秸秆还田量对CH4排放的平均促进效应比第2年降低3%(表 2)。
|
|
表 2 2007年和2018年稻田CH4排放量、N2O排放量、土壤有机碳含量、土壤固碳速率和净温室效应 Table 2 Total CH4 emissions, total N2O emissions, SOC content, SOC sequestration rate, and Net GWP during rice-growing seasons in 2007 and 2018 |
|
图 2 2007年和2018年水稻生长季秸秆还田量与CH4排放量(A)、N2O排放量(B)、土壤固碳速率(C)和净温室效应(D)的关系 Fig. 2 Relationships between straw incorporation rate and total CH4 emissions (A), total N2O emissions (B), SOC sequestration rate (C), and Net GWP (D) during rice–growing seasons in 2007 and 2018 |
2007年和2018年水稻生长季,稻田N2O排放通量的季节变化如图 1C和1D所示。各处理N2O排放通量的变化趋势基本一致,即在水稻移栽初期和施分蘖肥时均有少量N2O排放,N2O排放通量在烤田期间迅速上升并达到季节排放峰值(470 ~ 1 219 μg/(m2·h)),复水后迅速下降,施穗肥和干湿交替期间有少量N2O排放。随着秸秆还田量的增加,各处理的N2O排放通量在第2年和第13年的变化趋势不同。在第2年,各处理的N2O排放通量随着秸秆还田量的增加呈现下降趋势,其中,与S0相比,S1、S2和S3的最大峰值分别降低了19%、21% 和47%;而第13年,各处理的N2O排放通量随着秸秆还田量的增加呈现先上升后下降的趋势,其中,与S0相比,S1、S2和S3的最大峰值分别增加了63%、237% 和159%。
如表 2所示,各处理稻田N2O排放量的变幅是N 0.60 ~ 2.22 kg/hm2,随着秸秆还田量的增加,各处理的N2O排放量在第2年和第13年的变化趋势不同。在第2年,各处理的N2O排放量随秸秆还田量的增加呈现下降趋势,均未达到显著水平,与秸秆还田量无显著线性关系(图 2B);而第13年,各处理的N2O排放量随秸秆还田量的增加呈线性增加(图 2B,P < 0.01),与S0相比,S1、S2和S3的N2O排放量分别增加了55%、171% 和122%,S2和S3达到显著水平(P < 0.05)。
2.3 土壤有机碳含量和固碳速率2007年和2018年稻田土壤的有机碳含量如表 2所示,各处理的有机碳含量变幅为9.97 ~ 12.23 g/kg,在第2年和第13年,各处理的有机碳含量均随秸秆还田量的增加而增加。在第2年,与S0相比,S1、S2和S3的SOC含量增加了1% ~ 5%,均未达到显著水平;第13年,与S0相比,S1、S2和S3的SOC含量分别增加了6%,17% 和22%,S2和S3达到显著水平(P < 0.05)。
如表 2所示,在第13年,各处理的土壤固碳速率变幅为0.40 ~ 0.50 t/(hm2·a),各处理间无显著差异,与秸秆还田量无线性关系(图 2C)。
2.4 稻田净温室效应2018年的稻田净温室效应如表 2所示,各处理的稻田净温室效应变幅为–0.35 ~ 6.0 t/(hm2·a),随秸秆还田量的增加呈线性增加(图 2D,P < 0.01)。在第13年,秸秆还田处理的净温室效应为正值,表现为稻田温室系统温室气体的源,与S0相比,S1、S2和S3的净温室效应分别显著增加了1.61、4.31和6.35 t/(hm2·a)(P < 0.05)。
3 讨论研究显示,秸秆无论是短期还田还是长期还田,均显著促进稻田CH4排放(图 1和表 2),且稻田CH4排放量与秸秆还田量之间呈线性正相关(图 2A),这与以往大量研究结果一致[13-14, 29]。一方面,还田的秸秆可以为产甲烷菌提供充足的产甲烷基质;另一方面,秸秆在淹水条件下分解,加速降低土壤的氧化还原电位(Eh),为产甲烷菌提供适宜的生长代谢环境,最终促进稻田的CH4排放[25]。随着秸秆还田量的增加,提供的产甲烷基质随之增加,秸秆分解消耗更多的O2,进一步降低土壤Eh,稻田CH4排放量也随之增加[14]。然而,随着秸秆还田年限的增加,其单位秸秆还田量对稻田CH4排放的平均促进效应呈下降趋势(表 2),这说明增排CH4的作用在减弱。其可能原因是:长期秸秆还田更有利于稻田土壤大团聚体形成,土壤空隙增多(本研究中,土壤容重由2007年的1.2 g/cm3下降至2018年的1.0 g/cm3),土壤含氧量增加,有利于稻田土壤中甲烷氧化菌的生长代谢,促进甲烷氧化过程,从而抵消部分秸秆还田对稻田CH4排放的促进效应[30-32]。Jiang等[30]的田间观测也发现,在稻–麦轮作系统,秸秆还田13 a对CH4排放的促进效应比秸秆还田8 a降低73%。
稻田排放的N2O主要由土壤微生物主导的硝化和反硝化作用过程产生[25]。秸秆分解可以为硝化和反硝化作用提供能量和基质[25],进而影响稻田N2O排放。目前,秸秆还田对稻田N2O排放的影响还存在争议[10, 29, 33-35]。本研究结果显示,在第2年,秸秆还田减少N2O排放,但影响并不显著(图 1和表 2),其原因可能是:高C/N的秸秆还田后,微生物在分解秸秆过程中需要利用土壤中的有效氮,使硝化和反硝化作用的底物减少,从而降低N2O排放[14, 29, 36]。邹建文等[35]在短期秸秆还田后,也观测到N2O排放总量减少18%。柴凯斌[37]的研究进一步发现,与不还田相比,1/3秸秆还田、2/3秸秆还田和全量秸秆还田后,N2O排放量分别降低了18%、39% 和38%。第13年,秸秆还田显著增加N2O排放,且排放量随秸秆还田量的增加呈线性增加趋势(图 2B),其原因可能是:秸秆富含氮、磷、钾和有机质等,长期还田后,土壤全氮含量增加[38](本研究中,土壤全氮含量由2007年的1.1 g/kg增至2018年的1.5 g/kg),可为稻田土壤中氮转化提供更多的基质,促进稻田土壤的硝化和反硝化作用,从而增加稻田N2O排放[33, 39]。Wang等[39]在稻麦轮作系统中也观测到秸秆还田7 ~ 9 a显著增加土壤全氮含量(从初始的1.4 g/kg增至1.6 ~ 1.8 g/kg),从而促进稻田N2O排放58% ~ 155%。
秸秆还田促进稻田土壤固碳(表 2),这与前人的研究结果一致[11, 19]。秸秆还田后,在土壤微生物的作用下分解,部分有机碳进入土壤,增加土壤碳库,从而促进稻田土壤固碳[17]。随着秸秆还田量的增加,进入土壤碳库的有机碳随之增加(表 2)。李成芳等[17]也观测到随着秸秆还田量的增加,土壤的固碳量也随之增加。但秸秆还田对土壤固碳的促进作用受还田年限的影响,随着秸秆还田年限的增加,一方面土壤固碳量增加,与初始状态相比,其固碳潜力有所下降;另一方面长期秸秆还田会增强对碳的分解潜力,大量的碳被分解,只有少部分作为稳定性碳保留在土壤中,因此长期秸秆还田对土壤固碳的促进作用减弱[40-41]。Tian等[42]通过Meta分析也发现,土壤固碳速率随着秸秆还田年限的增加有相似的下降。
本研究中各处理的稻田净温室效应范围是–0.35 ~ 6.00 t /(hm2·a)(表 2),在前期研究结果的变化范围内(-11.7 ~ 9.9 t/(hm2·a))[15, 19, 22-23, 43]。在第13年,秸秆还田显著增加稻田GWP(CH4 + N2O)1.7 ~ 5.8倍(表 2),而土壤固碳速率的范围是0.40 ~ 0.50 t/(hm2·a) (表 2),此时秸秆还田处理的土壤固碳对减缓温室效应的贡献无法抵消秸秆还田增排温室气体所引起的温室效应,因此,净温室效应为正值,表现为碳源。Xia等[24]在太湖流域稻–麦轮作系统中进行长期定位试验,也发现长期秸秆还田对稻田生态系统温室效应的加剧作用大于减缓作用,其增排温室气体造成的温室效应比固碳所减少的温室效应高3.2倍~ 3.9倍。
4 结论秸秆还田第2年显著促进稻田CH4排放和土壤固碳,N2O排放无显著差异;但第13年显著促进稻田CH4和N2O排放,其增加的温室效应完全抵消了土壤固碳的减排效益,稻田生态系统的净温室效应为碳源。这意味着长期秸秆还田下,稻田是一个很重要的碳源。在当前水稻轻简化和机械化栽培情况下,秸秆还田几乎是全量还田,这与本研究中的全量处理情况很相似。也就是说,长期秸秆全量还田大背景下,稻田的碳源强度会很大。因此未来亟待研究适于轻简化和机械化栽培的秸秆还田技术措施,可以通过秸秆多种综合利用方式(如生物质炭和秸秆快速好氧分解等),以及农业区域共同体内的秸秆循环利用(如将生产的秸秆施用到茶园、果园或菜地中),以实现稻田的固碳减排和农业可持续发展。
| [1] |
Landman W. Climate change 2013: The physical cience basis[Z]. IPCC, Geneva. 2013.
( 0) |
| [2] |
WMO. The state of greenhouse gases in the atmosphere based on global observations through 2019[Z]. 2020. https://library.wmo.int/doc_num.php?explnum_id=10437
( 0) |
| [3] |
FAO. FAO statistical databases for crops[Z]. Roma. 2019. http://www.fao.org/faostat/en/#data/QC
( 0) |
| [4] |
Yue Q, Ledo A, Cheng K, et al. re-assessing nitrous oxide emissions from croplands across Mainland China[J]. Agriculture, Ecosystems & Environment, 2018, 268: 70-78 ( 0) |
| [5] |
张晓庆, 王梓凡, 参木友, 等. 中国农作物秸秆产量及综合利用现状分析[J]. 中国农业大学学报, 2021, 26(9): 30-41 DOI:10.11841/j.issn.1007-4333.2021.09.04 ( 0) |
| [6] |
董建新, 丛萍, 刘娜, 等. 秸秆深还对黑土亚耕层土壤物理性状及团聚体分布特征的影响[J]. 土壤学报, 2021, 58(4): 921-934 ( 0) |
| [7] |
赵颖, 周枫, 罗佳琳, 等. 水稻秸秆还田配施肥料对小麦产量和氮素利用的影响[J]. 土壤, 2021, 53(5): 937-944 DOI:10.13758/j.cnki.tr.2021.05.007 ( 0) |
| [8] |
吴鹏年, 王艳丽, 侯贤清, 等. 秸秆还田配施氮肥对宁夏扬黄灌区滴灌玉米产量及土壤物理性状的影响[J]. 土壤, 2020, 52(3): 470-475 DOI:10.13758/j.cnki.tr.2020.03.007 ( 0) |
| [9] |
石祖梁. 中国秸秆资源化利用现状及对策建议[J]. 世界环境, 2018(5): 16-18 ( 0) |
| [10] |
张刚. 太湖地区稻麦两熟制农田秸秆还田综合效应研究[D]. 南京: 南京林业大学, 2020.
( 0) |
| [11] |
逯非, 王效科, 韩冰, 等. 稻田秸秆还田: 土壤固碳与甲烷增排[J]. 应用生态学报, 2010, 21(1): 99-108 ( 0) |
| [12] |
史然, 陈晓娟, 沈建林, 等. 稻田秸秆还田的土壤增碳及温室气体排放效应和机理研究进展[J]. 土壤, 2013, 45(2): 1193-1198 ( 0) |
| [13] |
马静, 徐华, 蔡祖聪. 施肥对稻田甲烷排放的影响[J]. 土壤, 2010, 42(2): 153-163 ( 0) |
| [14] |
蒋静艳, 黄耀, 宗良纲. 水分管理与秸秆施用对稻田CH4和N2O排放的影响[J]. 中国环境科学, 2003, 23(5): 552-556 DOI:10.3321/j.issn:1000-6923.2003.05.023 ( 0) |
| [15] |
张岳芳, 陈留根, 朱普平, 等. 秸秆还田对稻麦两熟高产农田净增温潜势影响的初步研究[J]. 农业环境科学学报, 2012, 31(8): 1647-1653 ( 0) |
| [16] |
Zhang M, Li B, Xiong Z Q. Effects of organic fertilizer on net global warming potential under an intensively managed vegetable field in southeastern China: A three-year field study[J]. Atmospheric Environment, 2016, 145: 92-103 ( 0) |
| [17] |
李成芳, 寇志奎, 张枝盛, 等. 秸秆还田对免耕稻田温室气体排放及土壤有机碳固定的影响[J]. 农业环境科学学报, 2011, 30(11): 2362-2367 ( 0) |
| [18] |
张翰林, 吕卫光, 郑宪清, 等. 不同秸秆还田年限对稻麦轮作系统温室气体排放的影响[J]. 中国生态农业学报, 2015, 23(3): 302-308 ( 0) |
| [19] |
冯晓赟, 万鹏, 李洁, 等. 秸秆还田与氮肥配施对中南地区稻田土壤固碳和温室气体排放的影响[J]. 农业资源与环境学报, 2016, 33(6): 508-517 ( 0) |
| [20] |
李静, 冯淑怡, 陈利根, 等. 秸秆还田对稻田温室气体排放的影响: Meta分析——以长江中下游地区为例[J]. 中国人口·资源与环境, 2016, 26(5): 91-100 ( 0) |
| [21] |
张丽. 南方典型稻作系统绿肥和秸秆还田对温室气体排放特征和环境效应的影响[D]. 南京: 南京农业大学, 2018.
( 0) |
| [22] |
汤宏, 曾掌权, 沈健林, 等. 秸秆与水分管理稻田的温室气体排放和碳固定[J]. 环境科学与技术, 2021, 44(1): 41-48 ( 0) |
| [23] |
刘晓雨, 李志鹏, 潘根兴, 等. 长期不同施肥下太湖地区稻田净温室效应和温室气体排放强度的变化[J]. 农业环境科学学报, 2011, 30(9): 1783-1790 ( 0) |
| [24] |
Xia L L, Wang S W, Yan X Y. Effects of long-term straw incorporation on the net global warming potential and the net economic benefit in a rice-wheat cropping system in China[J]. Agriculture, Ecosystems & Environment, 2014, 197: 118-127 ( 0) |
| [25] |
蔡祖聪, 徐华, 马静. 稻田生态系统CH4和N2O排放[M].
中国科学技术大学出版社, 合肥, 2009
( 0) |
| [26] |
鲁如坤. 土壤农业化学分析方法[M].
中国农业科技出版社, 北京, 2000
( 0) |
| [27] |
Lu F, Wang X K, Han B, et al. Soil carbon sequestrations by nitrogen fertilizer application, straw return and no-tillage in China's cropland[J]. Global Change Biology, 2009, 15(2): 281-305 ( 0) |
| [28] |
Shang Q Y, Yang X X, Gao C M, et al. Net annual global warming potential and greenhouse gas intensity in Chinese double rice-cropping systems: A 3-year field measurement in long-term fertilizer experiments[J]. Global Change Biology, 2011, 17(6): 2196-2210 ( 0) |
| [29] |
张岳芳, 郑建初, 陈留根, 等. 麦秸还田与土壤耕作对稻季CH4和N2O排放的影响[J]. 生态环境学报, 2009, 18(6): 2334-2338 ( 0) |
| [30] |
Jiang Y, Qian H Y, Huang S, et al. Acclimation of methane emissions from rice paddy fields to straw addition[J]. Science Advances, 2019, 5(1): eaau9038 ( 0) |
| [31] |
Fonte S J, Yeboah E, Ofori P, et al. Fertilizer and residue quality effects on organic matter stabilization in soil aggregates[J]. Soil Science Society of America Journal, 2009, 73(3): 961-966 ( 0) |
| [32] |
Hütsch B W. Methane oxidation in non-flooded soils as affected by crop production—invited paper[J]. European Journal of Agronomy, 2001, 14(4): 237-260 ( 0) |
| [33] |
王海候, 沈明星, 陆长婴, 等. 不同秸秆还田模式对稻麦两熟农田稻季甲烷和氧化亚氮排放的影响[J]. 江苏农业学报, 2014, 30(4): 758-763 ( 0) |
| [34] |
张艳波, 彭其安. 水稻秸秆还田对稻田土壤N2O排放的影响[J]. 湖北农业科学, 2016, 55(10): 2539–2543, 2554 ( 0) |
| [35] |
邹建文, 黄耀, 宗良纲, 等. 不同种类有机肥施用对稻田CH4和N2O排放的综合影响[J]. 环境科学, 2003, 24(4): 7-12 ( 0) |
| [36] |
马静, 徐华, 蔡祖聪, 等. 墒沟埋草对稻田CH4和N2O排放的影响[J]. 生态与农村环境学报, 2008, 24(4): 27-31 ( 0) |
| [37] |
柴凯斌. 秸秆还田对稻麦系统作物产量及温室气体排放的影响[D]. 武汉: 华中农业大学, 2018.
( 0) |
| [38] |
周子军, 郭松, 陈琨, 等. 长期秸秆覆盖对免耕稻-麦产量、土壤氮组分及微生物群落的影响[J]. 土壤学报, 2022, 59(4): 1148-1159 ( 0) |
| [39] |
Wang H H, Shen M X, Hui D F, et al. Straw incorporation influences soil organic carbon sequestration, greenhouse gas emission, and crop yields in a Chinese rice (Oryza sativa L.)-wheat (Triticum aestivum L.) cropping system[J]. Soil and Tillage Research, 2019, 195: 104377 ( 0) |
| [40] |
Zhou P, Sheng H, Li Y, et al. Lower C sequestration and N use efficiency by straw incorporation than manure amendment on paddy soils[J]. Agriculture, Ecosystems & Environment, 2016, 219: 93-100 ( 0) |
| [41] |
Cheng W G, Padre A T, Sato C, et al. Changes in the soil C and N contents, C decomposition and N mineralization potentials in a rice paddy after long-term application of inorganic fertilizers and organic matter[J]. Soil Science and Plant Nutrition, 2016, 62(2): 212-219 ( 0) |
| [42] |
Tian K, Zhao Y C, Xu X H, et al. Effects of long-term fertilization and residue management on soil organic carbon changes in paddy soils of China: A meta- analysis[J]. Agriculture, Ecosystems & Environment, 2015, 204: 40-50 ( 0) |
| [43] |
李桂花, 周吉祥, 张建峰, 等. 有机肥和缓控肥替代部分化肥降低双季稻田综合净温室效应[J]. 植物营养与肥料学报, 2020, 26(6): 1017-1024 ( 0) |
2. University of Chinese Academy of Sciences, Beijing 100049, China
2022, Vol. 54



0)