2. 河南省烟草公司洛阳市公司技术中心, 河南洛阳 471000;
3. 河南中烟工业有限责任公司技术中心, 郑州 450000
烟草是豫西丘陵地区重要的经济作物之一,豫西旱地烟田地势较高,光照充足,所产烟叶深受卷烟工业的喜爱[1]。但长期连作、农药和化肥的过度使用,造成烟区土壤肥力下降和养分供应失调,导致烟株生长发育受阻、烟叶品质下降,严重影响烟农种烟效益和烟区可持续发展[2-3]。合理施用有机肥能够维持和提高地力,为烟草的生长发育创造一个良好的土壤环境,是实现烟区可持续发展的最有效方式之一[4]。
羊粪是一种弱碱性有机肥料,具有养分含量高、有机质丰富和质地紧密等特点,适用于各种土壤和农作物[5]。一方面,施用羊粪有机肥有利于土壤的改良和培肥。前人研究发现,施用羊粪有机肥能够提高土壤肥力,改善土壤物理性状,增强土壤酶活性,增加土壤细菌和放线菌的数量[6-7]。另一方面,羊粪有机肥对作物的生长、产量和品质有积极的影响[8]。但是有机肥中的氮大部分为有机氮,有机氮必须矿化为无机氮后才能被作物吸收利用,不合理使用有机肥会导致烟株生长后期吸收氮素过多而延误烟叶的正常落黄成熟[9],而且有机肥中未被作物吸收的氮、磷会在土壤中过量积累,引发一系列的生态问题[10]。因此,明确有机肥施入土壤后养分释放规律,对高效、合理施用羊粪有机肥具有重要指导意义。
目前研究有机肥中养分释放规律的方法主要有室内培养法和田间原位培养法。相比室内培养法,田间原位培养法能真实反映田间土壤、植物体与环境的复杂交互作用对有机肥矿化的特殊影响[11-12]。为了准确反映羊粪有机肥在豫西旱地烟田的矿化规律,本试验采用尼龙网袋田间原位培养法,研究羊粪有机肥中有机碳、氮的矿化特征及其对土壤速效养分和土壤腐殖酸组分的影响,以期为豫西旱地烟田合理施用腐熟羊粪有机肥提供理论与技术支持。
1 材料与方法 1.1 试验材料试验于2019年在河南省洛阳市宜阳县高村镇石村(34°33′6″ N,111°48′11″ E,海拔470 m)进行,试验地气象资料如图 1所示。土壤类型为褐土,基础理化性质为:有机质12.10 g/kg,全氮1.42 g/kg,碱解氮56.80 mg/kg,有效磷10.60 mg/kg,速效钾109.30 mg/kg,pH 7.11。供试烤烟品种为中烟101。腐熟羊粪有机肥由河南正辉肥业有限公司生产,洛阳市烟草公司统一采购,其养分含量为:碳氮比14.41、有机质497.0 g/kg、N 14.20 g/kg、P2O5 4.60 g/kg、K2O 17.02 g/kg。
|
图 1 2019年试验地气象资料 Fig. 1 Meteorological data of experimental site in 2019 |
采用尼龙网袋田间原位培养法,设置两个处理:CK为在尼龙网袋中装入过2 mm筛的烟田0 ~ 20 cm原位土壤200 g;T为在CK的基础上每个尼龙网袋中再装入烘干磨碎过2 mm筛的腐熟羊粪有机肥20 g,有机肥与土壤混匀。每个处理埋入30个尼龙网袋,共60袋。尼龙网袋规格为300目尼龙网制成的15 cm×20 cm可封口袋子,具有透气、透水和不易降解的特点,能够阻隔植物根系进入尼龙网袋内,但是不会影响水分、空气和肥料中的养分自由出入。2019年4月20日烟田整地起垄,采用洛阳市烟叶生产技术中心测土配方推荐施肥量进行施肥,基施纯N 37.5 kg/hm2,N、P2O5和K2O质量比为1∶2∶3,即在起垄前一次性条施专用复合肥(10-12-18)150 kg/hm2,重钙119.52 kg/hm2,硫酸钾100.31 kg/hm2。起垄时将尼龙网袋埋入两烟株移栽苗穴之间的垄体上距土表 10 cm处,取一定量掩埋位置的原位土壤,加水混合制成原土悬浊液,浇附于尼龙网袋上,使尼龙网袋与土壤接触。烟田整地后,垄体上覆盖地膜。烟苗于5月6日移栽,移栽时用硝酸钾75 kg/hm2兑水浇窝,栽植密度为16 500株/hm2。从尼龙网袋掩埋之日算起,每隔15 d在两处理中各取3个尼龙网袋,共取10次,用于测量各项指标。
1.3 测定项目与方法采用元素分析仪(德国Elementar vario MACRO cube)测定土壤全氮含量[13],重铬酸钾–浓硫酸外加热法测定土壤有机碳含量,KCl浸提–靛酚蓝比色法测定土壤铵态氮含量,酚二磺酸比色法测定土壤硝态氮含量,NaHCO3浸提–钼锑抗显色分光光度法测定土壤有效磷含量,NH4OAc浸提–火焰光度法测定土壤速效钾含量,具体操作参照鲍士旦主编《土壤农化分析》[14]。腐殖酸、胡敏酸和富里酸样品分离采用腐殖质组成修改法[15],并采用重铬酸钾–浓硫酸外加热法进行测定。有机肥中有机碳和有机氮矿化率的计算公式如下:
有机氮含量=全氮含量–无机氮含量(无机氮主要包括铵态氮和硝态氮);
| $ \begin{array}{l} \ \ \ 有机碳矿化率{\rm{ = }}\\ \frac{{1 - \left( {{\rm{T处理有机碳残留量}} - {\rm{CK处理有机碳含量}}} \right)}}{{加入有机碳量}} \times 100\% ; \end{array}$ |
| $ \begin{array}{l} \ \ \ 有机氮矿化率{\rm{ = }}\\ \frac{{1 - \left( {{\rm{T处理有机氮残留量}} - {\rm{CK处理有机氮含量}}} \right)}}{{加入有机氮量}} \times 100\% 。\end{array} $ |
采用Microsoft Excel 2016软件进行数据处理,图表中数据为平均值±标准误;采用SPSS 21统计分析软件对数据进行方差分析,差异显著性运用Duncan's检验法进行多重比较;采用Origin 9.5软件进行绘图。
2 结果与分析 2.1 羊粪有机肥中有机碳、有机氮矿化率的变化由图 2可知,在掩埋后15 d时,羊粪有机肥中有机碳矿化率仅为6.85%,掩埋15 d后有机碳的矿化速率加快,在掩埋后60 d和75 d时,有机碳矿化率达到62.10% 和72.10%,占150 d总矿化率的75.63% 和87.81%,掩埋75 d后有机碳的矿化速率明显趋缓,试验结束即掩埋后150 d时,有机碳矿化率达到82.11%。羊粪有机肥中有机氮的矿化规律与有机碳相似,表现为掩埋后0 ~ 15 d矿化速率相对较慢,掩埋15 d后矿化速率加快,掩埋75 d后矿化速率明显趋缓,在掩埋后60 d和75 d时,有机氮矿化率达到31.19% 和36.76%,占150 d总矿化率的74.76% 和88.11%,掩埋后150 d时,有机氮矿化率达到41.72%。
|
图 2 羊粪有机肥中有机碳、有机氮矿化率的变化 Fig. 2 Changes of mineralization rates of organic carbon and nitrogen in sheep manure organic fertilizer |
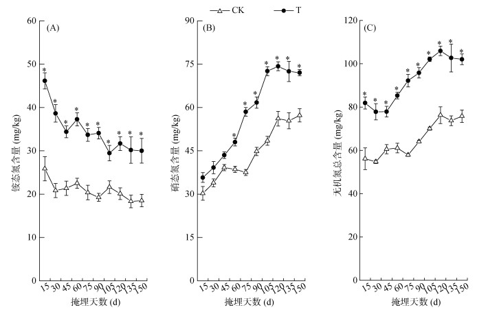
由图 3A可以看出,铵态氮含量在整个掩埋期均表现为T处理显著高于CK处理,在掩埋后15 d时达到最大值,且此时期T处理和CK处理之间铵态氮含量差值最大,两处理铵态氮含量均在掩埋15 d后开始下降,CK处理在掩埋后30 d趋于稳定,T处理则在掩埋后105 d趋于稳定。由图 3B可以看出,T处理和CK处理硝态氮含量变化趋势均表现为随掩埋天数的增加而增加,T处理和CK处理硝态氮含量掩埋后15 ~ 45 d差异不显著,而从掩埋60 d后T处理硝态氮含量开始迅速增加,T处理硝态氮含量在掩埋后60 ~ 150 d较CK处理提高了24.49% ~ 55.94%。由图 3C可以看出,土壤无机氮总量在整个掩埋期均表现为T处理显著高于CK处理,掩埋45 d后T处理的无机氮总量开始迅速增加,在掩埋后120 d达到峰值。
|
(*表示同一时期内两处理间差异达到显著水平(P < 0.05);下同) 图 3 羊粪有机肥矿化对土壤无机氮含量的影响 Fig. 3 Effects of sheep manure organic fertilizer mineralization on soil inorganic nitrogen content |
由图 4A可以看出,T处理和CK处理有效磷含量变化趋势均表现为随掩埋天数的增加而增加,T处理和CK处理有效磷含量在掩埋后15 ~ 30 d差异不显著,而掩埋45 d后T处理有效磷含量开始迅速增加,T处理有效磷含量在掩埋后45 ~ 150 d较CK处理显著提高了27.48% ~ 46.91%。由图 4B可以看出,T处理的速效钾含量在掩埋30 d后开始显著高于CK处理,T处理速效钾含量在掩埋后30 ~ 150 d较CK处理显著提高了18.34% ~ 37.31%。
|
图 4 羊粪有机肥矿化对土壤有效磷、速效钾含量的影响 Fig. 4 Effects of sheep manure organic fertilizer mineralization on soil available phosphorus and potassium contents |
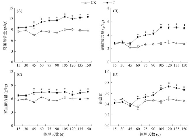
由图 5A可知,掩埋45 d后,T处理腐殖酸含量逐渐升高,在掩埋后105 d时达到峰值,为12.67 g/kg,掩埋后45 ~ 150 d,T处理腐殖酸含量与CK处理相比显著提高了28.69% ~ 43.78%,在掩埋后150 d时,T处理和CK处理腐殖酸含量分别为12.61 g/kg和8.77 g/kg,这说明羊粪有机肥可以促进土壤腐殖酸的积累。由图 5B可知,在掩埋后15 ~ 30 d,T处理胡敏酸含量与CK处理差异不显著,掩埋60 d后,T处理胡敏酸含量迅速升高,掩埋后60 ~ 150 d,T处理胡敏酸含量与CK处理相比显著提高了49.11% ~ 84.25%,在掩埋后150 d时,T处理和CK处理胡敏酸含量分别为5.05 g/kg和2.74 g/kg。由图 5C可知,掩埋后45 ~ 150 d,T处理富里酸含量与CK处理相比显著提高了15.03% ~ 31.84%,T处理富里酸含量在整个掩埋期相对稳定,而CK处理富里酸含量在掩埋中期波动相对较大,容易受到外界环境的影响。由图 5D可知,在掩埋后15 ~ 45 d,T处理的胡富比与CK处理差异不显著,掩埋45 d后,T处理的胡富比迅速升高,在掩埋后120 d时达到峰值(0.73),掩埋后60 ~ 150 d,T处理胡富比与CK处理相比显著提高了13.51% ~ 52.68%。
|
图 5 羊粪有机肥矿化对土壤腐殖酸组分的影响 Fig. 5 Effects of sheep manure organic fertilizer mineralization on soil humus acid compositions |
在本试验中,羊粪有机肥施加在烟田后有机碳和有机氮的矿化速率在0 ~ 15 d时相对较慢,15 d后矿化速率迅速加快,75 d后矿化率逐渐趋于稳定。这主要是因为施加在土壤中的有机肥在适宜的温度(≥25℃)下才能通过土壤微生物矿化、分解作用,快速矿化所含的碳、氮养分,促进植物对碳、氮养分的吸收利用[16-17]。本试验中羊粪有机肥施入土壤后0 ~ 15 d,土壤温度相对较低(图 1),微生物群落较小,微生物的繁殖也需要消耗一定的矿质养分,因此前期有机碳、氮矿化速率相对较慢[18];在掩埋15 d后,土壤温度稳步持续升高,有机肥中的有机物质也为微生物提供了丰富的碳、氮源,微生物形成了稳定的群落,土壤酶活性随之增强,开始进入快速矿化阶段[19]。Azeez和Averbeke[20]将施用动物粪肥的土样在恒温(23℃)、保持田间持水量为14.6% 的暗箱培养120 d研究发现,0 ~ 30 d动物粪肥的氮素矿化速率较快,40 ~ 55 d进入氮素持续释放阶段,70 ~ 90 d氮素矿化速率下降。与本试验羊粪有机肥前期矿化速率结果有所差异,原因可能是因为本试验为田间试验,气温和降水量呈动态趋势(图 1),羊粪有机肥施入土壤0 ~ 15 d时,田间平均气温较低,不利于有机氮矿化;在施入土壤15 d后,田间平均气温在20℃以上并且持续上升,而较高的温度有利于有机氮快速矿化。
此外,时向东等[21]在河南省南阳市对烟草氮素吸收规律的研究发现,烟株对有机肥中氮素的吸收主要在烟草生育前期,并随着烟株的生长不断向幼嫩叶片转移或者通过氨挥发等途径损失。在本试验中,羊粪有机肥在掩埋75 d时(烟草移栽50 d)有机氮的矿化率达到36.76%,即掩埋全过程有机氮矿化的88.11%,在烟草生育前期(烟草移栽50 d)矿化完成,符合烟草生长发育对有机肥中的氮素需求。较早施入羊粪有机肥,可能会导致烟草生育前期土壤氮素含量过多,生育后期土壤氮素含量供应不足的情况;较晚施入羊粪有机肥,可能会导致烟草生育前期土壤氮素含量不足,生育后期土壤氮素含量过多,出现贪青晚熟的现象。因此在起垄时施入腐熟羊粪有机肥,既能满足烟草生育前期对土壤氮素含量的需求,又能避免烟草在生长后期吸收过多的氮素,影响烟叶正常成熟落黄。
前人发现,提高土壤中的硝态氮含量、降低土壤中的铵态氮含量能够保证烟草正常的生长发育[22]。在本研究中,随掩埋时间的推迟土壤硝态氮含量升高、土壤铵态氮含量降低,结合前人的研究发现,此土壤氮含量变化规律可以满足烟草的正常生长发育[20]。本研究同时发现,在掩埋15 d时硝态氮含量为35.74 mg/kg,与叶协锋等[23]在重庆的腐熟有机肥矿化试验中的硝态氮含量相差较大,原因可能是本试验供试土壤pH为7.1,有利于进行硝化作用,而叶协锋等[23]试验供试土壤pH为5.59,不利于进行硝化作用。本研究还发现,将所选用的腐熟羊粪有机肥施入土壤后,土壤的速效养分含量随有机肥施入时间推移逐渐升高,但在施入土壤后30 d(烟草移栽15 d)土壤速效养分含量较低,并且在烤烟打顶前有机氮的矿化率仅为38.09%,结合前人研究[21]发现,起垄时施入羊粪有机肥能够满足烟草生育期的需氮规律,但是可能不能满足烟苗对养分的需求,因此需要与化肥配合使用,以弥补有机肥前期养分供应不足,促进烟苗早发快长。
有机肥在土壤中的分解是形成新腐殖质的前提[24]。土壤腐殖酸是腐殖物质的主要组成部分,它在土壤有机无机复合体的形成和土壤酸碱缓冲等方面均有重要意义[25]。在本研究中,羊粪有机肥可增加土壤胡敏酸和富里酸的相对含量,提高土壤的胡富比,改善土壤质量,这与孙莹等[26]在沈阳定位配施有机肥与氮肥的试验研究结果相似。但朱青藤等[27]研究表明,施用农家有机肥未能增加土壤胡敏酸和富里酸含量,这可能是因为其试验采用的农家肥未进行充分腐熟,而本试验和孙莹等[26]的试验所采用的有机肥已充分腐熟,能为土壤微生物提供更充足的能源,加速了腐殖化进程[28]。Li等[29]研究也表明,不同有机肥料下,高温堆肥有机肥下土壤腐殖酸含量明显增加,对土壤改良效果最为明显。
4 结论腐熟羊粪有机肥中的有机碳和有机氮在豫西旱作丘陵区烟田中的矿化规律表现为前期慢、中期快、后期趋于平缓的特点,在掩埋75 d(移栽后50 d)时,其碳、氮矿化率为72.10% 和36.76%,占整个矿化掩埋期矿化量的87.81% 和88.11%,这与烤烟“少、多、少”需肥规律基本吻合,但由于旱地前期降雨较少、温度低,有机肥矿化慢,生产中应适当追补少量无机肥料促进烟苗早发快长。羊粪有机肥矿化过程中,促进了土壤的硝化作用(铵态氮向硝态氮转化),增强了土壤硝态氮、有效磷和速效钾的供应能力,且提高了土壤腐殖酸、富里酸、胡敏酸的含量,增加胡富比,有利于烟田培肥和土壤质量的改善。因此,豫西旱作烟田在移栽前提前通过起垄基施腐熟羊粪有机肥是切实可行的,但是前期羊粪有机肥矿化速率较慢,应配施适宜化肥,以满足烟草正常生长需求。
| [1] |
高净净. 洛阳烤烟风格质量定位评价及其与生态的关系[D]. 郑州: 河南农业大学, 2017.
( 0) |
| [2] |
董昆乐, 马宜林, 赵世民, 等. 洛阳烟区土壤养分状况与分布特征分析[J]. 山东农业科学, 2019, 51(11): 114-117 ( 0) |
| [3] |
赵满兴, 刘慧, 白二磊, 等. 腐殖酸和生物有机肥替代化肥对烤烟生长及品质的影响[J]. 分子植物育种, 2019, 17(9): 3105-3114 DOI:10.13271/j.mpb.017.003105 ( 0) |
| [4] |
Zou C M, Li Y, Huang W, et al. Rotation and manure amendment increase soil macro-aggregates and associated carbon and nitrogen stocks in flue-cured tobacco production[J]. Geoderma, 2018, 325: 49-58 DOI:10.1016/j.geoderma.2018.03.017 ( 0) |
| [5] |
芦伟, 高月锋, 简路洋, 等. 羊粪作为有机肥对植物和土壤的影响[J]. 家畜生态学报, 2019, 40(9): 86-90 DOI:10.3969/j.issn.1673-1182.2019.09.016 ( 0) |
| [6] |
冯焕德, 党志国, 倪斌, 等. 羊粪发酵肥替代化肥对芒果园土壤性状、叶片营养及果实品质的影响[J]. 中国土壤与肥料, 2019(6): 190-195 ( 0) |
| [7] |
Liu J A, Shu A P, Song W F, et al. Long-term organic fertilizer substitution increases rice yield by improving soil properties and regulating soil bacteria[J]. Geoderma, 2021, 404: 115287 DOI:10.1016/j.geoderma.2021.115287 ( 0) |
| [8] |
El Barnossi A, Saghrouchni H, Moussaid F, et al. Microbiological study of effects of solid organic waste (chicken droppings and sheep manure) decomposed in the soil used for Pisum sativum cultivation[J]. International Journal of Environmental Studies, 2020, 77(5): 830-842 DOI:10.1080/00207233.2019.1704116 ( 0) |
| [9] |
朱佩, 张继光, 薛琳, 等. 不同质地土壤上烤烟氮素积累、分配及利用率的研究[J]. 植物营养与肥料学报, 2015, 21(2): 362-370 ( 0) |
| [10] |
唐倩, 王克勤, 宋娅丽, 等. 有机肥对滇中红壤烤烟坡耕地氮磷流失的影响[J]. 西北农林科技大学学报(自然科学版), 2020, 48(6): 106-116 ( 0) |
| [11] |
周慧, 史海滨, 郭珈玮, 等. 盐分与有机无机肥配施对土壤氮素矿化的影响[J]. 农业机械学报, 2020, 51(5): 295-304 ( 0) |
| [12] |
陈宇, 凌爱芬, 李少鹏, 等. 基于四川凉山烟区大田试验的腐熟农家肥矿化规律分析[J]. 烟草科技, 2019, 52(8): 16-23 ( 0) |
| [13] |
高翠萍, 李岩, 刘美英, 等. Vario MACRO cube元素分析仪测定土壤碳氮方法研究[J]. 北方农业学报, 2017, 45(1): 76-79 ( 0) |
| [14] |
鲍士旦. 土壤农化分析(3版)[M].
中国农业出版社, 北京, 2000
( 0) |
| [15] |
万晓晓, 石元亮, 依艳丽. 长期秸秆还田对白浆土有机碳含量及腐殖质组成的影响[J]. 中国土壤与肥料, 2012(3): 7-11 ( 0) |
| [16] |
龚雪蛟, 秦琳, 刘飞, 等. 有机类肥料对土壤养分含量的影响[J]. 应用生态学报, 2020, 31(4): 1403-1416 ( 0) |
| [17] |
李云飞, 谢婷, 石万里, 等. 腾格里沙漠东南缘植被恢复对土壤有机碳矿化的影响[J]. 兰州大学学报(自然科学版), 2021, 57(1): 14-23 ( 0) |
| [18] |
杨蕊, 李裕元, 魏红安, 等. 畜禽有机肥氮、磷在红壤中的矿化特征研究[J]. 植物营养与肥料学报, 2011, 17(3): 600-607 ( 0) |
| [19] |
田小明, 李俊华, 王成, 等. 连续3年施用生物有机肥对土壤养分、微生物生物量及酶活性的影响[J]. 土壤, 2014, 46(3): 481-488 ( 0) |
| [20] |
Azeez J O, Averbeke W V. Nitrogen mineralization potential of three animal manures applied on a sandy clay loam soil[J]. Bioresource Technology, 2010, 101(14): 5645-5651 ( 0) |
| [21] |
时向东, 刘喜庆, 王振海, 等. 利用15N示踪研究烤烟对氮素的吸收和分配规律[J]. 中国烟草学报, 2013, 19(6): 55-58 ( 0) |
| [22] |
徐建明. 土壤学(4版)[M].
中国农业出版社, 北京, 2019
( 0) |
| [23] |
叶协锋, 李志鹏, 于晓娜, 等. 腐熟有机肥在烤烟生长期田间养分矿化释放特征的研究[J]. 中国烟草学报, 2017, 23(3): 80-86 ( 0) |
| [24] |
马洁怡, 赵友朋, 张金池, 等. 凤阳山不同林分土壤腐殖质特征及影响因素[J]. 东北林业大学学报, 2020, 48(1): 62-67 ( 0) |
| [25] |
黄兆琴, 周强, 胡林潮, 等. 生物炭添加对土壤腐殖物质组成的影响[J]. 江苏农业科学, 2019, 47(24): 285-288 ( 0) |
| [26] |
孙莹, 侯玮, 迟美静, 等. 氮肥与有机肥配施对设施土壤腐殖质组分的影响[J]. 土壤学报, 2019, 56(4): 940-952 ( 0) |
| [27] |
朱青藤, 申连玉, 钱黎慧, 等. 有机物料对白土土壤胡敏酸结构特征的影响[J]. 植物营养与肥料学报, 2015, 21(2): 396-403 ( 0) |
| [28] |
金章利, 刘高鹏, 周明涛, 等. 山地草地土壤微生物群落对土壤养分的指示作用[J]. 西南农业学报, 2019, 32(11): 2638-2645 ( 0) |
| [29] |
Li S Y, Li J J, Li G X, et al. Effect of different organic fertilizers application on soil organic matter properties[J]. Compost Science & Utilization, 2017, 25(sup1): S31-S36 ( 0) |
2. Technology Center, Luoyang Branch of Henan Provincial Tobacco Corporation, Luoyang, Henan 471000, China;
3. Technology Center, China Tobacco Henan Industrial Limited Company, Zhengzhou 450000, China
2022, Vol. 54



0)