2. 山东农大肥业科技有限公司, 山东泰安 271600;
3. 山东农业大学资源与环境学院, 山东泰安 271018
镉(Cd)因其毒性高、迁移性强而成为重要的重金属污染物之一。据2014年《全国土壤污染状况调查公报》[1]显示,我国土壤重金属污染总超标率为16.1%,其中土壤Cd污染物点位超标率达到7.0%,位居榜首。目前,我国Cd污染耕地涉及11个省份共25个地区[2]。土壤中的Cd极易被作物吸收,其在影响农田作物品质与产量的同时,还会通过食物链的富集效应进一步影响人类的健康[3-4]。腐植酸是一种结构极其复杂的高分子有机混合物,含有丰富的羧基、酚羟基、羰基和甲氧基等活性含氧官能团[5]。这些基团使得腐植酸在施用到土壤中后能和Cd2+发生吸附、络合、螯合等反应,从而影响土壤环境中Cd2+的形态转化、移动性和植物有效性[6]。不同分子量腐植酸(HA)对金属离子的络合吸附能力有较大差异,其络合产物的稳定性也不同[7-8],且对作物的促生效果差异较大[9]。本研究结合前人对腐植酸分子量分级的基础[7-9],以褐煤为供试材料,从中分离获得4种不同分子量的腐植酸,通过结构表征分析来探究不同分子量腐植酸的组分及结构差异;在腐植酸及其不同组分的作用下,进行土壤对Cd2+的等温吸附解吸试验,明确不同分子量腐植酸对土壤Cd有效性的影响,为腐植酸缓解重金属污染提供理论依据和技术指导。
1 材料与方法 1.1 供试材料 1.1.1 褐煤采用来自黑龙江黑河西岗子煤矿(127°17′ E,49°56′ N)褐煤作为提取腐植酸的原料,粉碎后过80目筛,测定理化性质(表 1)。
|
|
表 1 供试褐煤理化性质 Table 1 Basic chemical properties of tested lignite |
采集无Cd污染的农田表层土样(0 ~ 20 cm),自然风干后过10目筛,保留部分土样用于吸附解析试验,其余按4 kg/盆装入直径22 cm的塑料盆,制备人工Cd污染土壤。向盆中均匀浇灌硫酸镉溶液,Cd2+浓度为10 mg/kg,干湿交替培养半个月后,将盆内土壤混合均匀,测定土壤基础理化性质(表 2)。
|
|
表 2 供试土壤基础理化性质 Table 2 Basic physical and chemical properties of tested soil |
将褐煤制备的腐植酸溶液(编号H0)倒入超滤分级设备中,分别通过孔径为50、10、1 kDa的超滤膜,获得4种不同分子量的腐植酸组分:< 1 kDa(编号H1)、1 ~ 10 kDa(编号H2)、10 ~ 50 kDa(编号H3)、> 50 kDa(编号H4)。将H0 ~ H4各组分pH调至8.5 ± 0.05。
1.2.2 吸附解吸试验取6份无Cd污染的土样各100 g,分别添加30 mg H0 ~ H4的腐植酸水溶液(以碳计,土壤质量的0.03%),并以原土作对照(CK),分别混匀后风干备用。
吸附试验:取上述土样各0.5 000 g,按水土比50︰1加入以0.01 mg/L NaNO3溶解的不同浓度的硫酸镉溶液(50、100、200、300、400、500、600 mg/L Cd2+),以转速180 r/min恒温25 ℃振荡4 h后静置一夜,离心取上清,采用原子吸收分光光度法测定Cd浓度,根据吸附平衡前后上清液Cd浓度差值,计算吸附量。
解吸试验:去上清液后,洗净土壤表层。在残留土壤中加入25 ml 0.01 mg/L NaNO3溶液,混匀,在相同条件下振荡4 h后静置过夜,离心15 min后取上清,重复两次后将上清用0.01 mg/L NaNO3定容至100 ml,过滤后测定Cd浓度。
1.2.3 盆栽试验盆栽试验于2020年5月至2021年1月在山东农大肥业科技有限公司温室大棚进行。选用直径为20 cm的塑料盆,装土4 kg,设3个浓度梯度,分别以每盆0.4、1.2、2.0 g(土重的0.01%、0.03%、0.05%)添加H0 ~ H4的腐植酸(以碳计),并以原土作对照,共16个处理,3次重复,混匀后培养,分别于第8、16、32、48天进行土壤样品采集。
1.3 测定指标与方法 1.3.1 不同分子量的腐植酸结构表征利用重铬酸钾容量法测定不同分子量腐植酸的碳含量,利用碱溶氯化钡沉淀电位滴定法测定总酸性基团,利用碱溶酸析醋酸钙法(常量法)测定羧基官能团。酚羟基含量为总酸性基团与羧基含量之差。
1.3.2 紫外可见光光谱准确称取纯腐植酸样品20 mg,溶于70 ml 0.05 mol/L NaHCO3溶液中,充分溶解后用1% NaOH或0.1 mol/L HCl调pH至8.0,用0.05 mol/L的NaHCO3溶液定容至100 ml。用上海佑科752N紫外见分光光度计分别测定其在465 nm和665 nm波长下的光密度,以0.05 mol/L NaHCO3溶液作空白,取3次测定的平均值为测定结果。
1.3.3 傅里叶变化红外光谱(FTIR)称取约0.01 g腐植酸样品和1 g光谱级干燥的KBr置于玛瑙研钵中研磨混合均匀,压片后利用天津中科瑞捷的Great10傅立叶变换红外光谱仪进行检测。测试分辨率为4 cm–1;样品及背景扫描时间为32 cm/s,在400 ~ 4 000 cm–1波数范围内记录样品的FTIR光谱。使用OriginPro 8.5校正光谱、基线,并处理数据。
1.3.4 土壤镉含量将自然风干土样磨细过筛,测定土壤全Cd含量、有效态Cd含量。土壤全Cd含量采用王水回流消解原子吸收法[10]测定。土壤有效Cd含量采用原子吸收法[11]测定。
1.4 数据处理采用Microsoft Excel 2016处理数据,OriginPro 8.5进行绘图与分析,运用SPSS 21分析相关性。
2 结果与分析 2.1 腐植酸及其各组分的结构表征 2.1.1 碳含量分析腐植酸各组分H1 ~ H4的碳含量差异较显著(表 3),以H1和H4为主,分别占比47.07% 和49.66%,而H2和H3含量很少,仅占3.28%。这说明腐植酸的理化性质功能可能主要由H1和H4决定。
|
|
表 3 不同分子量腐植酸碳含量及比例 Table 3 Carbon contents and proportions of humic acid with different molecular weights |
表 4表明,所有组分的羧基官能团占总酸性基的比例介于28.24% ~ 43.49%,酚羟基官能团占总酸性基的比例为56.51% ~ 71.76%,可见,酚羟基是腐植酸最主要的酸性含氧官能团。总酸性基和酚羟基官能团含量均随着分子量的增大而减少。其中,H1的总酸性基的含量比H2、H3高48.92%、46.29%,比H4高65.93%,比H0高52.49%;H1的羧基含量比H2、H3、H4高37.33% ~ 96.82%,酚羟基含量高30.08% ~ 84.04%,所以H1酸度最强,活性最高。H2和H3的酸性官能团含量相差不大,总酸性基含量都在5.6 mmol/g左右,H4总酸性基和酚羟基含量均明显小于其他组分。
|
|
表 4 腐植酸及各组分酸性含氧官能团含量与分布 Table 4 Contents and distributions of humic acid and oxygen-containing functional groups at different levels |
在465 nm和665 nm波长下的腐植酸溶液吸光度之比(E4/E6)是腐植酸的一个特征性常数。褐煤腐植酸及各分级组分E4/E6值检测结果见表 5,E4/E6值与腐植酸分子量大小呈明显的负相关,腐植酸分子量越小,E4/E6值越大。H1的E4/E6值比H2、H3高92%、120%,比H4高177%。E4/E6值与腐植酸芳香化程度有关,芳香化程度越高,E4/E6值越低。因此,小分子量腐植酸的碳链芳香化程度小于中高分子腐植酸。
|
|
表 5 腐植酸在紫外-可见区域的E4/E6光谱特征 Table 5 E4/E6 spectral characteristics of humic acid in UV-Vis region |
由图 1可知,各样品均表现出相似的红外光谱特征:3 600 ~ 3 000 cm–1处强而宽的氢键缔合–OH、–NH、–NH2伸缩振动吸收峰,表明H0 ~ H4均含有大量的氢键缔合–OH、–NH和–NH2基团;3 000 ~ 2 800 cm–1为脂肪烃C-H伸缩振动吸收峰;1 606 cm–1处包括羧酸根、芳环烃的骨架振动C=C以及酮基共C=O氢键缔合的伸缩振动吸收峰;1 395 cm–1附近包括醇羟基O-H弯曲振动、酚羟基的C-O伸展振动以及脂肪烃中C-H弯曲振动的吸收峰;1 123 cm–1处为糖类C-O伸缩振动峰或羧基中O-H变形振动峰。这些相似的红外光谱特征都表明了不同分子量腐植酸和未分级腐植酸原液都具有类似的结构组成和官能团信息。
|
图 1 腐植酸及其不同组分样品的FTIR谱 Fig. 1 FTIR spectra of humic acid and its different components |
5种腐植酸样品在某些特征吸收峰强度上存在一定差异,说明其结构单元和官能团数量有所不同。在3 000 ~ 2 800 cm–1处的脂肪烃C-H伸缩振动吸收峰,H4吸收峰最强,说明H4含有较多的脂肪烃,脂肪化程度较高。1 123 cm–1处H0和H1吸收峰最明显,其他组分几乎没有吸收峰出现,说明腐植酸分级后,小分子腐植酸可能含有较多的多糖C-O伸缩振动结构。同样在指纹区900 ~ 600 cm–1处H1及H0存在若干吸收振动峰,而H2、H3、H4在此段波长处无吸收振动峰,说明低分子量组分含有较多的C-H或–CH2。
综上,各腐植酸产品均含有氨基、羰基、羧基、酮基、醇羟基、酚羟基、脂肪烃等多种官能团,但小分子量腐植酸的含氧官能团数量较多。
2.2 腐植酸及其各组分对土壤镉有效性的影响 2.2.1 土壤吸附Cd差异图 2表明,各处理土壤Cd的吸附量随着Cd2+浓度的增加而增加,且均呈先快速增加后缓慢上升并最终趋于平衡的趋势。在腐植酸添加量相同的前提下,除了H0处理,其他处理土壤Cd吸附量大小顺序均为:H1 > H2 > H3 > H4 > CK。说明H1 ~ H4的添加均增加了土壤对Cd的表观吸附能力,但不同分子量腐植酸对土壤吸附Cd的影响程度不同,这可能与其结构组成不同进而影响吸附络合重金属离子的能力有关。由图 2可知,各处理均在Cd2+浓度为500 mol/L达到吸附平衡,此时H1处理吸附量最高,比CK增加了87.33%,H4处理吸附量最低,比CK处理增加了31.02%。
|
图 2 添加不同分子量腐植酸对土壤Cd吸附量的影响 Fig. 2 Effects of adding humic acid with different molecular weights on Cd adsorption in soil |
与H0相比,H1处理对Cd的吸附量增加了6.33% ~ 34.62%,H4处理对Cd的吸附量降低了1.95% ~ 15.07%。这说明腐植酸各组分中,H1比H4更有利于提高土壤对Cd的吸附能力。
2.2.2 土壤Cd解吸差异解吸特性与土壤对重金属的吸持能力密切相关,解吸量会直接影响土壤与农作物中重金属的含量,解吸率则可以反映土壤对Cd的吸持强度。由图 3可知,各处理土壤Cd解吸量均随Cd2+浓度的增加而增大。除H0,其他各处理土壤Cd解吸量大小顺序均为:H1 > H2 > H3 > H4 > CK,与土壤Cd的吸附规律一致。
|
图 3 添加不同分子量腐植酸对土壤Cd解吸量的影响 Fig. 3 Effects of adding humic acid with different molecular weights on soil Cd desorption |
图 4表明,CK处理Cd的解吸率随着Cd2+浓度增大呈先增大后减小的趋势;在300 ~ 600 mg/L时,其解吸率均明显高于其他处理。可见,在高Cd2+水平下,施用腐植酸能提高土壤对Cd的吸持强度。除Cd2+浓度为600 mg/L时,H1处理解吸率均大于其他处理,比H0高1.20% ~ 12.34%,比H4高1.07% ~ 13.67%。可见H1处理的土壤虽然吸附能力强,但吸持强度弱,这可能与小分子量腐植酸聚合度、芳香化程度低有关。
|
图 4 不同处理土壤Cd解吸率差异 Fig. 4 Differences in soil Cd desorption rates under different treatments |
综上,施用H1使得土壤对Cd的吸附能力最强,但也极大地降低了土壤对Cd的吸持效果,从而提高了土壤Cd的移动性和有效性;相反,施用H4使得土壤对Cd的吸附能力相对较弱,但却增加了土壤对Cd的固定,从而降低了土壤Cd的移动性和有效性。
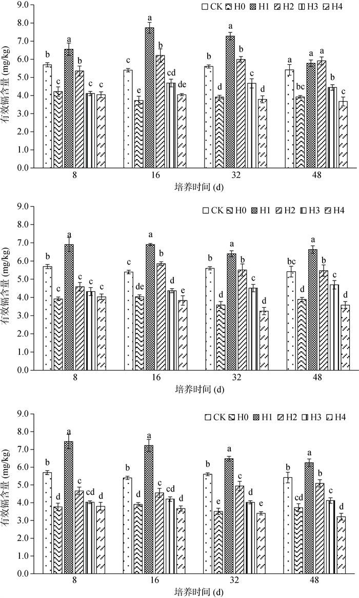
2.2.3 土壤有效Cd含量差异由图 5可知,H1、H2对土壤有效Cd有活化作用,H1的活化作用更强。H3、H4及H0对土壤有效Cd有钝化作用,H4的钝化作用更强。以0.4 g/盆的腐植酸施用量为例(图 5A),在第8天时,H1处理土壤有效Cd含量显著高于其他处理,比CK提高14.98%;H0、H2、H3、H4的土壤有效Cd含量分别比CK降低了25.96%、6.07%、27.88%、29.04%;其中H4处理有效Cd含量最低,为4.04 mg/kg。自第16天起,H2处理土壤有效Cd含量有所提高,并高于CK处理,H0、H3、H4处理的土壤有效Cd含量依旧显著小于CK。
|
(A. 0.4 g/盆,B. 1.2 g/盆,C. 2.0 g/盆;同一培养时间图柱上方小写字母不同表示处理间差异显著(P < 0.05)) 图 5 盆栽试验施用不同分子量腐植酸土壤有效Cd含量 Fig. 5 Available Cd contents in soils with humic acid of different molecular weights |
对于不同腐植酸施用量,H1处理后期施用量在0.4 g/盆时(图 5A)活化效果最弱,1.2 g/盆时(图 5B)活化效果最强;H4处理在施用量2.0 g/盆时(图 5C)对土壤Cd的固定作用最强,钝化效果最好。
3 讨论 3.1 腐植酸来源与其结构和组成的差异不同来源腐植酸的结构与组成差异较大[12],甚至同一来源不同方法提取的腐植酸也相差很大[13]。本文从褐煤中提取的腐植酸的结构特征与风化煤[14]、泥炭[15]和堆肥[16]腐植酸的傅里叶红外光谱定性及定量分析结构特征类似,表明研究所用腐植酸样品有一定的代表性。采用超滤分级获得的不同分子量腐植酸,在组成和结构上也呈现出规律性的差异。E4/E6值通常是表征腐植酸品质或缩合度、芳构化程度的重要指标,与其芳香性、缩合度和分子量呈负相关[17-18]。本研究中除了分子量在1 kDa以下的腐植酸E4/E6值显著大于5,其他组分均小于5。表明1 kDa以下的腐植酸聚合度、芳构化明显比其他组分低,更容易被降解。结合红外分析,小分子量腐植酸分子结构中含有较多的羧基等含氧官能团,较少脂肪结构,因此其活性较高。
3.2 腐植酸所含官能团对重金属的吸附和生物有效性吸附、络合等作用可降低重金属的暴露风险,或是通过氧化还原作用使变价金属转化为毒性和迁移性更小的价态,将土壤重金属由较为活跃的形态向较为稳定的形态转化[19]。研究证明,腐植酸含酸性官能团数量越多,对重金属的吸附络合作用越强[20]。本研究中各分子量腐植酸均不同程度地增强了供试土壤对Cd的吸附作用,但添加小分子量腐植酸(< 1 kDa)的土壤对重金属Cd的吸附能力最强,添加大分子量腐植酸(> 50 kDa)的吸附能力最弱,这与前人的研究结果[21-23]类似。表明小分子有机酸、腐植酸以及富里酸等含酸性官能团丰富,对土壤重金属的吸附络合能力更强,可以降低土壤对Cd的吸持能力,提高其移动性和生物有效性。此外,大量研究表明腐植酸对土壤重金属有钝化作用[24-26],但也有一些研究表明腐植酸对于土壤重金属有活化作用[27-29]。本研究中小分子量腐植酸显著提高了土壤中有效Cd的含量,大分子量腐植酸则明显降低了土壤有效Cd的含量,且降镉率最高达到了40.70%。这说明腐植酸影响土壤重金属的效应与机理十分复杂,其来源及分子组成上的差异性会导致研究结果不尽一致,因此,对于腐植酸组成性质与结构效应的关系,值得深入探讨。
4 结论本研究发现褐煤腐植酸经超滤分级获得的分子量在50 kDa以上的腐植酸和分子量在1 kDa以下的腐植酸共占96.73%,对腐植酸的主要理化性质和功能起决定作用。1 kDa以下的小分子量腐植酸含氧官能团含量显著大于其他组分,活性较高;此外,腐植酸的分子量越大,其芳香化程度、缩合度、脂构化程度越大,E4/E6值与含氧官能团含量越小。1 kDa以下的小分子量腐植酸酸性含氧官能团含量丰富,对土壤Cd的吸附络合能力更强,但吸附强度较弱,可以降低土壤对Cd的吸持能力,提高其移动性,对土壤Cd起到活化作用,从而显著提高土壤有效Cd的含量。50 kDa以上的大分子量腐植酸主要对土壤Cd起吸持和固定作用,降低其移动性,从而显著降低土壤有效Cd的含量,对土壤有效Cd起到钝化作用。
| [1] |
全国土壤污染状况调查公报[EB/OL]. (2014-04-17). http://www.zhb.gov.cn/gkml/hbb/qt/2014_04/t20140417270670.htm.
( 0) |
| [2] |
Tang X, Li Q, Wu M, et al. Review of remediation practices regarding cadmium-enriched farmland soil with particular reference to China[J]. Journal of Environmental Management, 2016, 181: 646-662 DOI:10.1016/j.jenvman.2016.08.043 ( 0) |
| [3] |
Zhu T T, Li L Y, Duan Q X, et al. Progress in our understanding of plant responses to the stress of heavy metal cadmium[J]. Plant Signaling & Behavior, 2021, 16(1): 1836884 ( 0) |
| [4] |
赵方杰, 谢婉滢, 汪鹏. 土壤与人体健康[J]. 土壤学报, 2020, 57(1): 1-11 ( 0) |
| [5] |
黄占斌, 张博伦, 田原宇, 等. 腐植酸在土壤改良中的研究与应用[J]. 腐植酸, 2017(5): 1-4, 25 ( 0) |
| [6] |
Xu M M, Zhao Z J, Shi M, et al. Effect of humic acid on the stabilization of cadmium in soil by coprecipitating with ferrihydrite[J]. Environmental Science and Pollution Research, 2019, 26(26): 27330-27337 DOI:10.1007/s11356-019-05893-6 ( 0) |
| [7] |
牟海燕, 黄武, 万娟, 等. 不同分子量胡敏酸对蒙脱石吸附镉的影响及作用机制[J]. 工程科学与技术, 2021, 53(5): 207-213 ( 0) |
| [8] |
李士凤, 周杨, 姚淑华, 等. 腐植酸中不同分子量组分与As(Ⅲ)的络合性能[J]. 中国环境科学, 2020, 40(10): 4395-4401 DOI:10.3969/j.issn.1000-6923.2020.10.025 ( 0) |
| [9] |
吴洪燕, 吴钦泉, 杨越超, 等. 不同分子量腐植酸组分对小麦幼苗和油菜生长的影响[J]. 腐植酸, 2020(6): 51-55 ( 0) |
| [10] |
中华人民共和国农业部. 土壤质量重金属测定王水回流消解原子吸收法: NY/T 1613—2008[S]. 北京: 中国标准出版社, 2008.
( 0) |
| [11] |
中华人民共和国国家质量监督检测检疫总局. 土壤质量有效态铅和镉的测定原子吸收法: GB/T 23739—2009[S]. 北京. 中国标准出版社, 2009.
( 0) |
| [12] |
牛育华, 李仲谨, 郝明德, 等. 腐殖酸的研究进展[J]. 安徽农业科学, 2008, 36(11): 4638-4639, 4651 DOI:10.3969/j.issn.0517-6611.2008.11.116 ( 0) |
| [13] |
郭雅妮, 马畅柠, 惠璠, 等. 风化煤中腐殖酸的提取及其性能表征[J]. 环境工程学报, 2017, 11(5): 3153-3160 ( 0) |
| [14] |
胡一奇, 张强, 杨治平, 等. 超声波-KOH联合提取腐植酸工艺研究[J]. 山西农业科学, 2019, 47(2): 235-238 ( 0) |
| [15] |
Maris K, Oskars P, 韩征, 等. 雨养沼泽泥炭腐植酸的性质和结构[J]. 腐植酸, 2014(4): 53-65 ( 0) |
| [16] |
卜贵军, 于静, 邸慧慧, 等. 红外光谱结合二维相关分析研究堆肥过程腐殖酸演化规律[J]. 光谱学与光谱分析, 2015, 35(2): 362-366 ( 0) |
| [17] |
G. Pantano, A., Santos, M. C. Bisinoti, 等. 甘蔗栽培地沉积物中分离出的腐殖质的光谱表征[J]. 腐植酸, 2015(1): 30-32 ( 0) |
| [18] |
陈广银, 王德汉, 吴艳, 等. 落叶堆肥过程中有机物的动态变化[J]. 华南农业大学学报, 2007, 28(2): 1-4 ( 0) |
| [19] |
常春英, 曹浩轩, 陶亮, 等. 固化/稳定化修复后土壤重金属稳定性及再活化研究进展[J]. 土壤, 2021, 53(4): 682-691 ( 0) |
| [20] |
李士凤, 周杨, 姚淑华, 等. 腐植酸中不同分子量组分与As(Ⅲ)的络合性能[J]. 中国环境科学, 2020, 40(10): 4395-4401 ( 0) |
| [21] |
于波, 何江, 吕昌伟, 等. 基于水生植物分区的湖泊DOM与重金属离子的结合特性研究[J]. 农业环境科学学报, 2015, 34(12): 2343-2348 ( 0) |
| [22] |
Sun J, Yin L, Huang K, et al. Removal of cadmium from a citrate-bearing solution by floatable microsized garlic peel[J]. RSC Adv, 2018, 8(50): 28284-28292 ( 0) |
| [23] |
Ni L, Su L, Li S, et al. The characterization of dissolved organic matter extracted from different sources and their influence on cadmium uptake by Microcystis aeruginosa[J]. Environ Toxicol Chem, 2017, 36(7): 1856-1863 ( 0) |
| [24] |
钟世霞, 徐玉新, 骆洪义, 等. 超声波活化风化煤腐植酸对小白菜吸收Pb、Cd和土壤酶活性影响[J]. 水土保持学报, 2012, 26(6): 185-189, 193 ( 0) |
| [25] |
候月卿, 赵立欣, 孟海波, 等. 生物炭和腐植酸类对猪粪堆肥重金属的钝化效果[J]. 农业工程学报, 2014, 30(11): 205-215 ( 0) |
| [26] |
向霄. 褐煤、泥炭、草木灰组合对农田土壤中重金属的钝化效果研究[J]. 腐植酸, 2019(3): 42-47 ( 0) |
| [27] |
柏佳, 谭长银, 曹雪莹, 等. 3种有机酸对伴矿景天修复效率及土壤微生物数量的影响[J]. 水土保持学报, 2020, 34(2): 318-324 ( 0) |
| [28] |
刘黄诚. 有机物对重金属污染耕地土壤的稳定化修复研究[D]. 武汉: 华中科技大学, 2011.
( 0) |
| [29] |
倪幸, 李雅倩, 白珊, 等. 活化剂联合柳树对重金属Cd污染土壤的修复效果研究[J]. 水土保持学报, 2019, 33(3): 365-371 ( 0) |
2. Shandong Agricultural University Fertilizer Science and Technology Co., Ltd., Tai'an, Shandong 271600, China;
3. College of Resources and Environment, Shandong Agricultural University, Tai'an, Shandong 271018, China
2022, Vol. 54



0)