铁矿尾砂是指将铁矿石击碎、磨细,选取“有用组分”后排放的矿渣碎屑。作为工业废弃物,其已经广泛用于制砖等建筑材料,且因其结构松散可以改良黏质土壤,同时含有植物生长所需微量元素,也被用于农业生产[1]。研究表明,因铁矿尾砂含有铁、锌、铜、钼等微量元素,与土壤掺混后可提高作物产量[2];铁矿尾砂机械组成以砂粒为主,能较好地改善黏重的半淋溶性褐土,增加耕层厚度,提高通气性[3];向红壤中掺入20% 铁矿尾砂可以显著改善其质地,提高土壤通透性,改善土壤水力学特性[4];在受尾矿库坍塌影响的区域内,采用1∶3砂土比种植玉米、大豆角等4种作物,作物长势良好,产量喜人,品质安全[5]。
土壤压实指在人为耕种、机械作业、根系穿插及动物穿行等外力作用下,造成的土壤结构破坏、孔隙数量减少和硬度增大的现象,已成为引发土壤退化、影响粮食安全的主要原因[6-7]。土壤力学特性与土壤耕作难易、耕作质量和土壤压实等问题密切相关。近年来,诸多学者从土壤力学角度研究了土壤抗压特征,探究了土壤压缩–回弹特性[8-9]。由土力学的固结试验可获得土壤压缩及回弹曲线,而通过前者求得的预固结压力值和压缩指数可广泛地用于评价土壤受到外力后的承压能力和土壤压缩敏感性,通过后者求得的回弹指数可表达土壤受力形变后恢复能力的强弱[10]。
辽西褐土作为地带性土壤,主要分布于朝阳、阜新等地区。该区中低产田较多,土壤瘠薄、质地黏重、有机质含量低,土壤抗压能力弱,土壤易板结。针对当前该地区土壤存在的问题,通过掺混铁矿尾砂改良黏重的质地,增施有机物料提高土壤有机质含量,培肥耕层,可以提高土壤抗压能力,促进该地区农田土壤可持续利用[3]。迄今,铁矿尾砂用于农业生产的研究主要集中在对土壤理化性质和作物产量等方面,对土壤抗压特性的研究较少。本研究以工业、农业废弃物为材料,以褐土为研究对象,采用土力学固结试验方法,对比分析铁矿尾砂配施有机物料土壤孔隙比(e)、预固结压力值(Pc)、压缩指数(Cc)和回弹指数(Cs)的变化,探讨其对辽西褐土压缩–回弹特性的影响,以期为质地黏重、有机质含量低、抗压能力弱的土壤改良培肥提供科学依据。
1 材料与方法 1.1 供试材料供试褐土取自辽宁省建平县(41°42′N,119°33′E),取样深度为0 ~ 20 cm;铁矿尾砂由辽宁省建平盛德日新矿业有限公司提供,其镉、汞、砷、铅、铬、铜、镍和锌含量分别为0.06、0.02、1.1、9、41、67、37、67 mg/kg,远低于GB 15618—2018《土壤环境质量农用地土壤污染风险管控标准(试行)》[11]。褐土和尾砂基本理化性质见表 1。供试玉米秸秆和腐熟牛粪取自沈阳农业大学科学研究试验基地,有机碳含量分别为337.50 g/kg和145.05 g/kg。
|
|
表 1 供试褐土和铁矿尾砂基本理化性质 Table 1 Basic physicochemical properties of cinnamon soil and iron tailings tested |
将风干土、粉碎的玉米秸秆和腐熟牛粪过2 mm筛备用。以当地将铁矿尾砂应用于农业生产为依据,设铁矿尾砂添加量200、340、480和620 g/kg土4个水平,分别记作A3、A5、A7和A9;以赵玉皓等[12]对褐土长期定位试验为参考,有机物料玉米秸秆和腐熟牛粪施用量分别设定为1.125×104 kg/hm2和4.5×104 kg/hm2,记作OM,试验共设7个处理,具体为:对照处理(CK)、单施有机物料处理(OM)、单施铁矿尾砂处理(A5)、200 g/kg铁矿尾砂配施有机物料处理(A3OM)、340 g/kg铁矿尾砂配有机物料处理(A5OM)、480 g/kg铁矿尾砂配施有机物料处理(A7OM)、620 g/kg铁矿尾砂配施有机物料处理(A9OM)。按2.25×106 kg/hm2土壤质量换算每公斤褐土添加有机物料和铁矿尾砂质量,用元素分析仪Vario ELⅢ和激光粒度仪Mastersizer 3000分别测得各处理有机质和砂粒含量[13],不同处理各材料添加量及其有机质和砂粒含量如表 2所示。将混合样品平铺于塑料盆中并喷洒去离子水,使其含水率为18%,密封置于25 ℃恒温箱中平衡一昼夜,使水分均匀分布。按1.25 g/cm3容重装入土工试验专用环刀(φ=6.18 cm,h=2.00 cm)进行固结试验,每个处理重复3次。
|
|
表 2 不同处理各材料添加量及其有机质和砂粒含量 Table 2 Addition amounts of different materials and their organic matter and sand contents under different treatments |
用GZQ-1型全自动气压固结仪参照JTG E40— 2007《公路土工试验规程》[14]中的快速固结试验法进行。按1、8、12.5、25、50、75、100、150、200、400、800、1 200、1 600 kPa荷载序列进行压缩测试;压缩测试过程中将200 kPa作为卸荷点,通过卸荷再加荷的方式按200、150、100、75、50、25、12.5、25、50、75、100、150、200 kPa顺序对试样进行回弹与再压缩测试。加载时间均为10 min,记录各级序列下土壤形变量(hi)和1 600 kPa荷载下土壤形变量(h′)及稳定10 min后土壤形变量(h″),求得各级荷载下的校正形变量(d)。
1.4 相关指标计算环刀添加湿土质量[9]:
| $ m_0=(1+\theta) \times \rho_{\mathrm{d}} \times V$ | (1) |
式中:ρd为目标容重(g/cm3),θ为风干土含水率(g/g),V为环刀体积(cm3)。
校正形变量[15]:
| $ d = {h_i}\frac{{h''}}{{h'}} $ | (2) |
式中:d为校正形变量(cm);其余符号同1.3节中描述。
加载后孔隙比[8]:
| $ e = \frac{{{\rho _{\mathrm{s}} }}}{{{\rho _{\text{d}}}}} \times \frac{{H - d}}{H} - 1 $ | (3) |
式中:e为土壤校正孔隙比;
将由单轴压缩试验得到的校正孔隙比e带入Gompertz方程[16]:
| $ \mathrm{e}=\mathrm{a}+\mathrm{c} \times \exp \{-\exp [\mathrm{b} \times(\log p-\mathrm{m})]\} $ | (4) |
式中:a、b、c、m为拟合系数;p为压缩试验外加应力,kPa。
压缩指数[16]:
| $ {C_{\text{c}}} = {\text{b}} \times \frac{{\text{C}}}{{{\text{exp(1)}}}} $ | (5) |
式中:
根据定义,预固结压力值为压缩曲线最大曲率k处所对应的外加应力值,曲率计算公式如下[16]:
| $ k{\text{ = }}\frac{{{{{d^{\text{2}}}e} \mathord{\left/ {\vphantom {{{d^{\text{2}}}e} {d{{{\text{(}}\log p{\text{)}}}^{\text{2}}}}}} \right. } {d{{{\text{(}}\log p{\text{)}}}^{\text{2}}}}}}}{{{{\left[ {1 + ({{de} \mathord{\left/ {\vphantom {{de} {d{{(\log p)}^2}}}} \right. } {d{{(\log p)}^2}}})} \right]}^{{3 \mathord{\left/ {\vphantom {3 2}} \right. } 2}}}}} $ | (6) |
令上式二阶导数为零,即可求得土壤压缩曲线最大曲率处的p,即预固结压力值。
回弹指数(Cs)为回弹曲线的平均斜率,其计算公式如下[8]:
| $ {C_{\text{s}}} = \frac{{{e_1} - {e_2}}}{{\log {p_2} - \log {p_1}}} $ | (7) |
式中:e1为卸荷到一定荷载p1后对应校正孔隙比;e2为卸荷前荷载p2对应的校正孔隙比。
1.5 数据分析使用Matlab 7.0和Microsoft Excel 2019软件整理试验数据,计算平均值和标准误差;采用SPSS 20.0软件进行单因素方差分析(One-way ANOVA)以及Pearson法进行相关性分析;采用Origin 2021软件进行绘图。
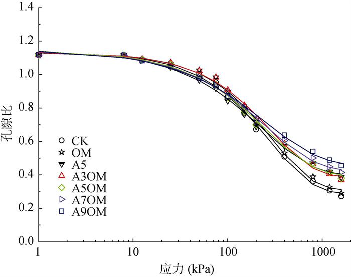
2 结果与分析 2.1 压缩曲线不同处理供试土壤所得孔隙比e与施加应力对数值之间的压缩曲线如图 1所示,可见,所有曲线都呈水平翻转的“S”型,用Gompertz方程对数据点进行拟合,求得土壤孔隙比决定系数R2变化范围在0.9779 ~ 0.9854;最小残差平方和(RMES)范围在0.002 055 ~ 0.004 584,拟合优度较好。式(4)中各拟合参数值范围为:a=0.285 9 ~ 0.458 3;b=1.748 6 ~ 2.326 8;c=0.690 0 ~ 0.852 0;m=2.372 1 ~ 2.475 2。各参数表现出不同的变异性,参数a(16.19%)和b(10.53%)为中等变异;参数c(7.45%)和m(1.53%)为弱变异,各参数变异性都较低,参数m变异程度最低。土壤未受应力时,孔隙比取最大值,即emax=a+c;当施加应力趋于无穷时,孔隙比取最小值,即emin=a。由图 1可知,在低应力下,随铁矿尾砂施用量增加,土壤孔隙比减小量(∆e)变大,即土壤形变量(∆h)变大;当应力超过50 kPa时,压缩曲线塑性部分的平均斜率随铁矿尾砂施用量增加而降低;当应力超过150 kPa时,未添加铁矿尾砂处理的∆e远大于添加铁矿尾砂处理。因此,随铁矿尾砂施用量增加,在低应力时(即土壤弹性阶段),土壤∆e变大;在高应力时(即土壤塑性阶段),土壤∆e变小。
|
图 1 不同处理下褐土供试土样压缩曲线 Fig. 1 Compression curves of cinnamon soils under different treatments |
由图 2可知,回弹–再压缩曲线中回弹过程与再压缩过程的孔隙比呈二次多项式分布,其决定系数R2范围分别在0.965 1 ~ 0.984 4和0.979 8 ~ 0.994 7。在初始回弹过程(200 ~ 150 kPa),各处理土壤孔隙比均表现出继续下降趋势,但随着应力降低以及回弹时间的累计增加,土壤孔隙比开始增加。这说明初次卸力后,10 min内,土壤强度小于外加应力,土壤孔隙比仍降低,可以用惯性定律来解释;随时间推移,外加应力降低,土壤开始表现出回弹性能。当应力在50 ~ 12.5 kPa时,各处理土壤孔隙比增幅最大。回弹至12.5 kPa时,土壤孔隙比较初次压缩至12.5 kPa时显著降低(P < 0.05)。再压缩过程中,各处理土壤孔隙比均随应力重新增加而减少,在12.5 ~ 150 kPa阶段,土壤孔隙比均高于回弹过程,表明在历经压缩–回弹过程后土壤颗粒发生重排,土壤强度提高,当应力超过一定值后这种抵抗能力消失[15]。再压缩至200 kPa时,土壤孔隙比较初次压缩至200 kPa时显著降低(P < 0.05)。
|
(图例中R、S分别表示回弹、再压缩过程) 图 2 不同处理下褐土供试土样回弹–再压缩曲线 Fig. 2 Rebound and recompression curves of cinnamon soils under different treatments |
预固结压力值是评价土壤承载能力的主要指标,其数值越大,土壤承载能力越强;反之,其承载能力越弱[17]。如表 3所示,各处理土壤预固结压力值范围在72.91 ~ 119.30 kPa。与CK处理相比,OM处理显著增加预固结压力值,增幅达22.17%(P < 0.05);A5处理显著低于CK处理,降幅为25.34%(P < 0.05)。结果表明,与CK处理相比,单施有机物料处理能有效地提高土壤预固结压力值,而单施铁矿尾砂处理则会降低其数值。在铁矿尾砂配施有机物料处理中,A3OM处理预固结压力值高于CK处理,增幅达6.93%,但二者之间差异不显著;A5OM、A7OM和A9OM处理均显著低于CK处理,降幅分别为14.16%、18.90% 和23.65%(P < 0.05)。可见,200 g/kg铁矿尾砂配施有机物料处理能增加预固结压力值,提高土壤承载能力。
|
|
表 3 不同处理对供试土样压缩与回弹指标的影响 Table 3 Indices of compression and rebound of cinnamon soils under different treatments |
压缩指数是压缩曲线塑性部分的斜率,其值越小,土壤压缩性越低[18]。由表 3可知,各处理土壤压缩指数范围在0.445 ~ 0.720。与CK处理相比,OM处理能提高压缩指数,但差异不显著;A5处理显著低于CK处理,降低了23.82% (P < 0.05)。结果表明,与CK处理相比,单施有机物料处理能提高土壤压缩指数,而单施铁矿尾砂处理则会降低其数值。在铁矿尾砂配施有机物料处理中,A3OM、A5OM、A7OM和A9OM处理土壤压缩指数均显著低于CK处理(P < 0.05),随铁矿尾砂施用量增加,压缩指数减小,降幅分别为12.77%、22.09%、28.12% 和36.15%。可见,铁矿尾砂配施有机物料处理均能降低压缩指数。
2.3.3 回弹指数回弹指数反映土壤被压缩后的膨胀回弹能力,回弹指数越大,土壤压缩回弹性能越强[19]。如表 3所示,各处理回弹指数变化范围在0.010 9 ~ 0.016 9。与CK处理相比,OM处理能显著提高回弹指数,增幅达24.43%(P < 0.05);A5处理显著低于CK处理,降幅为16.79%(P < 0.05)。结果表明,与CK处理相比,单施有机物料处理能显著提高土壤回弹指数,而单施铁矿尾砂处理则会降低其数值。在铁矿尾砂配施有机物料处理中,随铁矿尾砂施用量增加,各处理回弹指数差异不显著,但均显著高于CK处理(P < 0.05),A3OM、A5OM、A7OM和A9OM处理增幅分别达22.14%、19.08%、29.01% 和23.66%。因此,铁矿尾砂配施有机物料处理均能提高土壤回弹指数。
3 讨论 3.1 有机质对土壤压缩–回弹特性的影响土壤压缩–回弹能力除受土壤含水率和容重等环境因素影响外,主要受土壤有机质含量影响[15]。预固结压力值代表土壤承压能力,其数值越大,保持土壤原结构能力越强[20]。研究发现,较单施秸秆或畜禽粪便,二者混合施用能更有效地提高土壤有机质含量,改善土壤生态环境[21]。有机质被视为土壤“减震器”,影响土壤压缩形变能力[10]。多数研究认为,土壤有机质与预固结压力值间呈正相关关系[20, 22],在同一含水量和容重条件下,预固结压力值随有机质含量增加而增大[23]。本研究也发现,单施有机物料处理能显著提高预固结压力值。土壤有机质是由多种大分子有机化合物组成的复合体,本身具有一定的弹性和膨胀性[24],而土壤多糖类物质及有机质中链状分子结构能有效地与矿物粒子相结合,增加土壤表面凝聚力,有效地抵抗外界应力,从而提高预固结压力值[10, 23]。在铁矿尾砂配施有机物料处理中,预固结压力值随铁矿尾砂施用量增加而降低,由于铁矿尾砂中有机质含量低,大量掺土后降低土壤有机质含量,其承载能力减弱,预固结压力值降低。本研究也发现,土壤预固结压力值与有机质含量呈极显著正相关关系(P < 0.01)(表 4)。
|
|
表 4 不同处理压缩指标、回弹指数与有机质及砂粒含量的相关系数 Table 4 Correlation coefficients of compression and rebound indexes with organic matter and sand contents |
压缩指数作为土壤压缩敏感性指标,其数值越大,土壤发生板结的风险越高,有机质对其影响结论不一[25]。韩少杰等[15]和Reichert等[26]认为二者呈显著正相关关系,有机质增强团粒结构稳定性,提高土壤可压缩性;Imhoff等[18]在不同质地土壤中试验发现,压缩指数越大,抗压缩性能越差,但二者之间相关性不显著;Arthur等[27]认为,压缩指数与有机质含量呈正相关关系,但未达到显著水平。本研究发现,单施有机物料处理能增加土壤有机质含量,压缩指数增加,土壤压缩敏感性提高,更容易发生压缩形变的风险。在铁矿尾砂配施有机物料处理中,压缩指数随铁矿尾砂施用量增加而减小,土壤有机质含量会随铁矿尾砂掺入而减少,降低其压缩敏感性。压缩指数变化趋势与预固结压力值相似,且压缩指数与有机质含量呈极显著正相关关系(P < 0.01)(表 4)。
土壤弹性大小取决于有机物料的分解状态[28]。研究发现,回弹指数随有机质含量提高而变大,有机质含量高,土壤颗粒更容易产生相对位移,在应力撤去后土壤恢复能力也加强[29]。韩少杰等[15]发现,随黑土开垦年限增加,土壤有机质含量下降,回弹指数降低;Zhang等[30]也指出,土壤有机质就像机械弹簧一样会增加反弹;林琳等[31]通过添加腐殖酸改变土体有机质含量,发现在高含水量下,不同有机质含量对土壤回弹指数无显著影响。本研究发现,与对照处理相比,单施有机物料处理能显著提高土壤回弹指数;在铁矿尾砂配施有机物料处理中,随铁矿尾砂施用量增加,土壤整体有机质含量降低,但土壤回弹指数并无显著差异,这可能是配施秸秆产生的结果。林琳等[19]研究发现,施用秸秆会产生“加筋作用”,大量秸秆还田后会产生重叠现象,应力撤去后重叠现象产生的“微弹簧”效应能增加土体回弹能力;李敏等[32]将秸秆均匀搅拌在土中,发现无序分布的秸秆存在大量交织点,受应力后,秸秆会减缓其形变发生,起到空间约束作用。本研究中秸秆添加量与林琳等[19]试验中100% 秸秆还田量相近,一昼夜培养不会使其大量分解,短时间内秸秆“加筋作用”对回弹指数的影响超过了土壤有机质对其的影响,这解释了本研究中回弹指数与有机质含量之间无显著相关关系(表 4)。
3.2 砂粒对土壤压缩–回弹特性的影响土壤机械组成会影响土壤压缩–回弹能力[33]。铁矿尾砂中砂粒占比超过90%(表 1),由细砂组成,随铁矿尾砂施用量增加,土壤砂粒含量提高(表 2)。柴鑫等[23]研究发现,预固结压力值随土壤黏粒含量增加而增大,黏粒含量越多,其表面电荷和比表面积越大,更易与多价阳离子联结而将颗粒胶结在一起,增加土壤团粒间的凝聚力,提高抗压缩形变能力[34]。与对照处理相比,单施铁矿尾砂会显著增加土壤砂粒含量,导致预固结压力值降低;在铁矿尾砂配施有机物料处理中,随铁矿尾砂施用量增加,土壤中砂粒增多,黏粒减少,其凝聚力下降,导致土壤稳定性及承载能力减弱,预固结压力值降低。这证实了预固结压力值与砂粒含量呈极显著负相关关系(P < 0.01)(表 4)。
黏粒含量增加可以提高土壤压缩指数[23],反之亦然。当砂粒含量增加,压缩指数降低,这解释了单施铁矿尾砂处理压缩指数显著低于对照处理的原因。随铁矿尾砂施用量增加,颗粒间相互嵌挤更容易发生,单粒结构更加紧密,摩擦力加大,形成的骨架结构更加密实,降低土壤对压实的敏感性[35]。梁冰等[36]研究发现,铅尾砂随压实度增加其压缩性变小,压缩系数降低;Dash和Sitharam[37]发现,砂土越密实,其压缩性越低。此外,杨萌[3]指出,土壤容重随铁矿尾砂掺混量增加而变大,且有研究证明土壤压缩指数与容重呈显著负相关关系[9, 33],本文结论与之相似,即铁矿尾砂含量与压缩指数之间呈极显著负相关关系(P < 0.01)(表 4)。
韩少杰等[15]测得不同开垦年限黑土回弹指数为0.041 ~ 0.070,黏粒含量在31.28% ~ 46.91%;Keller等[8]发现,瑞典4个农场的回弹指数为0.002 ~ 0.025,土壤黏粒含量在10% ~ 62%。这些结果均高于本文的回弹指数(0.0109 ~ 0.0169)。而O’Sullivan和Robertson[38]发现,英国砂质壤土的砂粒含量为64%,回弹指数为0.0002 ~ 0.0128,小于本研究。有研究指出,在外力作用下黏性土壤弹性较大,而砂土则较小[15]。铁矿尾砂砂粒含量高,掺土后会明显改变土壤机械组成,增加砂粒含量,降低土壤回弹能力,这也解释了单施铁矿尾砂处理回弹指数最低的原因;随铁矿尾砂施用量增加,土壤回弹指数应该降低,但由于配施有机物料可以降低尾砂对回弹指数的影响,从而解释了砂粒含量与回弹指数无相关性的原因(表 4)。
4 结论铁矿尾砂配施有机物料能有效改善土壤抗压特性,对土壤孔隙比、预固结压力值、压缩指数和回弹指数均有不同程度的影响。预固结压力值和压缩指数与有机质含量均呈极显著正相关关系(P < 0.01),与砂粒含量均呈极显著负相关关系(P < 0.01)。与对照处理相比,200 g/kg铁矿尾砂配施有机物料处理效果最佳,即4.5×105 kg/hm2铁矿尾砂配施1.125×104 kg/hm2玉米秸秆和4.5×104 kg/hm2腐熟牛粪处理使压缩指数降低12.77%,预固结压力值和回弹指数分别提高6.93% 和22.14%,降低压实风险。
| [1] |
Hu P, Zhang Y, Zhou Y, et al. Preparation and effectiveness of slow-release silicon fertilizer by sintering with iron ore tailings[J]. Environmental Progress & Sustainable Energy, 2018, 37(3): 1011-1019 ( 0) |
| [2] |
杨亚东, 刘新亮, 张冰, 等. 铁尾矿资源综合利用现状研究[J]. 化工矿物与加工, 2021, 50(1): 28-32 DOI:10.16283/j.cnki.hgkwyjg.2021.01.007 ( 0) |
| [3] |
杨萌. 朝阳铁矿尾砂大量施用对土壤理化性质及作物生长状况的影响[D]. 沈阳: 沈阳农业大学, 2016.
( 0) |
| [4] |
Yusuf U S, Slim M D, Uchechukwu E A. Hydraulic conductivity of compacted laterite treated with iron ore tailings[J]. Advances in Civil Engineering, 2016, 2016: 1-8 ( 0) |
| [5] |
Almeida H A, Silva J G, Custódio I G, et al. Productivity and food safety of grain crops and forage species grown in iron ore tailings[J]. Journal of Food Composition and Analysis, 2022, 105: 104198 DOI:10.1016/j.jfca.2021.104198 ( 0) |
| [6] |
Aghili Nategh N, Hemmat A, Sadeghi M. Assessing confined and semi-confined compression curves of highly calcareous remolded soil amended with farmyard manure[J]. Journal of Terramechanics, 2014, 53: 75-82 DOI:10.1016/j.jterra.2014.03.005 ( 0) |
| [7] |
Fabiola N, Giarola B, da Silva A P, et al. Contribution of natural soil compaction on hardsetting behavior[J]. Geoderma, 2003, 113(1/2): 95-108 ( 0) |
| [8] |
Keller T, Lamandé M, Schjønning P, et al. Analysis of soil compression curves from uniaxial confined compression tests[J]. Geoderma, 2011, 163(1/2): 13-23 ( 0) |
| [9] |
An J, Zhang Y L, Yu N. Quantifying the effect of soil physical properties on the compressive characteristics of two arable soils using uniaxial compression tests[J]. Soil and Tillage Research, 2015, 145: 216-223 DOI:10.1016/j.still.2014.09.002 ( 0) |
| [10] |
肖质秋, 虞娜, 安晶, 等. 土壤压实及有机质对其影响的研究进展[J]. 土壤通报, 2019, 50(5): 1253-1260 ( 0) |
| [11] |
生态环境部, 国家市场监督管理总局. 土壤环境质量农用地土壤污染风险管控标准: GB 15618—2018[S]. 北京: 中国标准出版社, 2018.
( 0) |
| [12] |
赵玉皓, 张艳杰, 李贵春, 等. 长期不同施肥下褐土有机碳储量及活性碳组分[J]. 生态学杂志, 2016, 35(7): 1826-1833 ( 0) |
| [13] |
段斯译, 孙仲秀, 王秋兵, 等. 不同土地利用方式下第四纪古红土团聚体的组成比较研究[J]. 土壤通报, 2020, 51(3): 587-596 ( 0) |
| [14] |
交通部公路科学研究院. 公路土工试验规程: JTGE40— 2007. 北京: 人民交通出版社.
( 0) |
| [15] |
韩少杰, 王恩姮, 陈祥伟, 等. 开垦对黑土表层土壤压缩—回弹行为的影响[J]. 土壤学报, 2016, 53(3): 646-653 ( 0) |
| [16] |
Gregory A S, Whalley W R, Watts C W, et al. Calculation of the compression index and precompression stress from soil compression test data[J]. Soil and Tillage Research, 2006, 89(1): 45-57 DOI:10.1016/j.still.2005.06.012 ( 0) |
| [17] |
Somavilla A, Gubiani P I, Reichert J M, et al. Exploring the correspondence between precompression stress and soil load capacity in soil cores[J]. Soil and Tillage Research, 2017, 169: 146-151 DOI:10.1016/j.still.2017.02.003 ( 0) |
| [18] |
Imhoff S, Silva A, Fallow D. Susceptibility to compaction, load support capacity, and soil compressibility of Hapludox[J]. Soil Science Society of America Journal, 2004, 68(1): 17-24 DOI:10.2136/sssaj2004.1700 ( 0) |
| [19] |
林琳, 张程程, 王恩姮. 添加秸秆后黑土力学行为特征——秸秆含量的影响[J]. 应用生态学报, 2017, 28(9): 2932-2938 ( 0) |
| [20] |
Défossez P, Richard G, Keller T, et al. Modelling the impact of declining soil organic carbon on soil compaction: Application to a cultivated Eutric Cambisol with massive straw exportation for energy production in Northern France[J]. Soil and Tillage Research, 2014, 141: 44-54 DOI:10.1016/j.still.2014.03.003 ( 0) |
| [21] |
潘剑玲, 代万安, 尚占环, 等. 秸秆还田对土壤有机质和氮素有效性影响及机制研究进展[J]. 中国生态农业学报, 2013, 21(5): 526-535 ( 0) |
| [22] |
Kaufmann M, Tobias S, Schulin R. Development of the mechanical stability of a restored soil during the first 3 years of re-cultivation[J]. Soil and Tillage Research, 2009, 103(1): 127-136 ( 0) |
| [23] |
柴鑫, 安晶, 张玉龙, 等. 黏粒添加量对不同有机碳含量黑土抗压特性的影响[J]. 中国农业科学, 2016, 49(8): 1617-1624 ( 0) |
| [24] |
de Andrade Bonetti J, Anghinoni I, de Moraes M T, et al. Resilience of soils with different texture, mineralogy and organic matter under long-term conservation systems[J]. Soil and Tillage Research, 2017, 174: 104-112 ( 0) |
| [25] |
Baumgartl T, Köck B. Modeling volume change and mechanical properties with hydraulic models[J]. Soil Science Society of America Journal, 2004, 68(1): 57-65 ( 0) |
| [26] |
Reichert J M, Suzuki L E A S, Reinert D J, et al. Reference bulk density and critical degree-of-compactness for no-till crop production in subtropical highly weathered soils[J]. Soil and Tillage Research, 2009, 102(2): 242-254 ( 0) |
| [27] |
Arthur E, Schjønning P, Moldrup P, et al. Soil resistance and resilience to mechanical stresses for three differently managed sandy loam soils[J]. Geoderma, 2012, 173/174: 50-60 ( 0) |
| [28] |
Soane B D. The role of organic matter in soil compactibility: A review of some practical aspects[J]. Soil and Tillage Research, 1990, 16(1/2): 179-201 ( 0) |
| [29] |
Kuan H L, Hallett P D, Griffiths B S, et al. The biological and physical stability and resilience of a selection of Scottish soils to stresses[J]. European Journal of Soil Science, 2007, 58(3): 811-821 ( 0) |
| [30] |
Zhang B, Horn R, Hallett P D. Mechanical resilience of degraded soil amended with organic matter[J]. Soil Science Society of America Journal, 2005, 69(3): 864-871 ( 0) |
| [31] |
林琳, 韩少杰, 王恩姮. 有机质与黏粒含量对黑土压缩-回弹特性的影响[J]. 土壤学报, 2016, 53(5): 1138-1147 ( 0) |
| [32] |
李敏, 柴寿喜, 魏丽. 麦秸秆的力学性能及加筋滨海盐渍土的抗压强度研究[J]. 工程地质学报, 2009, 17(4): 545-549 ( 0) |
| [33] |
Saffih-Hdadi K, Défossez P, Richard G, et al. A method for predicting soil susceptibility to the compaction of surface layers as a function of water content and bulk density[J]. Soil and Tillage Research, 2009, 105(1): 96-103 ( 0) |
| [34] |
安晶. 东北地区棕壤和黑土旱田土壤板结机理研究[D]. 沈阳: 沈阳农业大学, 2016.
( 0) |
| [35] |
杨俊, 黎新春, 童磊. 风化砂改良高液限红粘土强度特性试验研究[J]. 南京理工大学学报, 2015, 39(2): 181-186 ( 0) |
| [36] |
梁冰, 王堃, 姜利国, 等. 尾砂压缩固结特性试验及e-P曲线模型分析研究[J]. 防灾减灾工程学报, 2018, 38(1): 109-117 ( 0) |
| [37] |
Dash H K, Sitharam T G. Undrained monotonic response of sand-silt mixtures: Effect of nonplastic fines[J]. Geomechanics and Geoengineering, 2011, 6(1): 47-58 ( 0) |
| [38] |
O'Sullivan M F, Robertson E A G. Critical state parameters from intact samples of two agricultural topsoils[J]. Soil and Tillage Research, 1996, 39(3/4): 161-173 ( 0) |
2022, Vol. 54



0)