2. 山西吉县森林生态系统国家野外科学观测研究站, 北京 100083
土壤作为陆地生态系统的最大碳库,其碳动态(固存、分解、释放)的微弱变化将导致土壤与大气间碳通量的巨大改变,对全球气候变化和碳循环具有重要意义[1]。相关研究表明,大规模植树造林对土壤碳库具有巨大影响,但针对造林对土壤碳库的具体影响目前仍存在争议[2-3],因其很大程度上取决于不同的恢复植被、地形和土壤理化性质等自然条件[4]。不同植被具有不同的生物量和功能组成,进而会导致碳输入的分解和转化率存在显著差异[5]。地形造成的局部光照和土壤含水量等差异,不仅会影响森林物种组成和群落结构[6],还会影响土壤风化和发育,间接影响土壤碳库。土壤养分如氮、磷元素的输入和有效性可通过调节植物光合作用和凋落物分解,从而影响土壤碳积累[7]。因此,了解不同植被土壤碳分布特征及其影响因素对正确评估碳储量和了解陆地生态系统碳循环有重要意义。
黄土高原自1999年起实施了大规模退耕还林,长期植被恢复使得土壤碳库发生了巨大变化,不同学者针对黄土高原不同恢复植被土壤碳库特征开展了大量研究。如张智勇等[8]认为在大吉沟人工林碳汇系统中沙棘林功能最优;刘伟等[9]指出在黄土高原不同草地类型中土壤碳含量主要分布在0 ~ 40 cm;张宏等[10]指出自然恢复群落比人工林群落在碳固存上更有优势。然而,一方面黄土高原土壤中具有大量无机碳(SIC),过往研究集中于单一有机碳(SOC)将会低估陆地生态系统的固碳效益和碳汇功能[11];另一方面,虽已有研究对土壤碳分布特征的影响因素进行了探索[12],但目前尚不清楚植被恢复过程中各环境因子对土壤碳分布影响的相对重要性。
鉴于此,本文选取黄土高原丘陵退耕地油松林(Pinus tabuliformis)、山杏林(Armeniaca sibirica)、山杏油松混交林(A. sibirica and P. tabuliformis)和沙棘林(Hippophae rhamnoides)为研究对象,天然草地作为对照,综合分析SOC、SIC垂直分布特征,并采用随机森林方法确定各环境因子的重要性,深入了解环境因子对土壤碳的作用机制,以期为正确评估人工林土壤碳储量及其生态效益提供理论依据和科学参考。
1 材料与方法 1.1 研究区概况研究区位于陕西省延安市吴起县(107°39′ ~ 108°33′E,36°33.5′ ~ 37°24.5′N),吴起县面积3 791.5 km2,地处黄土高原中部,地貌为黄土梁状丘陵沟壑,海拔1 235 ~ 1 744 m。土壤多为黄绵土,土层深厚,呈弱碱性。吴起县属半干旱地区,温带大陆性季风气候显著,年平均降雨量483.4 mm,年均温7.8 ℃,年日照时数2 435.7 h,≥10 ℃积温2 883 ℃,无霜期146 d。自1999年大规模退耕还林以来,全县退耕还林面积达243.19万亩(15亩= 1 hm2),形成了以沙棘、油松、山杏、刺槐(Robinia pseudoacacia)、柠条(Caragana korshinskii)等为主的人工植被群落。
1.2 样品采集与分析于2020年9月在研究区内根据退耕恢复植物分布特点进行采样,选取20 m×20 m的天然草地(GL)、油松林(PT)、山杏林(AS)、山杏油松混交林(A-P)、沙棘林(HR)样地,并用手持GPS记录采样点经纬度、海拔,样地基本信息如表 1所示,样地空间距离大于1 km。样地内部采集深度为100 cm,依次间隔20 cm深度取土壤样品,各土层重复采样3次,同层混合均匀后封装,共计75个土壤样品。同时使用环刀采集原状土,烘干法测量容重,铝盒收集鲜土用烘干法测量土壤含水量。土壤样品经风干处理后,过2 mm筛,去除砾石和植物细根,样品预处理后,使用激光粒度分析仪测定土壤粒度组成。碱解扩散法测定土壤速效氮,钼锑抗比色法测定土壤有效磷。样地基本理化性质如表 2所示。SOC含量由风干样品过0.25 mm筛后,用重铬酸钾外加热氧化法测得[13];通过全自动化学分析仪测定土壤全碳(TC)含量;SIC含量根据SIC=TC-SOC获得。
|
|
表 1 样地基本信息 Table 1 Basic information of sampling plots |
|
|
表 2 样地土壤基本理化性质 Table 2 Basic soil physicochemical properties information of sampling plots |
采用IBM SPSS Statistics 25.0进行K-S检验,验证数据正态性;单因素方差分析(One-way ANOVA)比较不同恢复植被和不同深度的土壤碳含量差异;经方差齐性检验后使用最小显著性差异法(LSD)进行显著性检验(P < 0.05)。为探究土壤碳含量与环境变量的相关性,使用R 4.1.0进行冗余分析(RDA)和相关性分析并绘图,冗余分析中以SOC、SIC和TC为响应变量,海拔(Ele)、坡度(SG)、坡向(SA)、黏粒含量(Clay)、土壤含水量(SWC)、容重(BD)、有效磷(AP)、速效氮(AN)和土地利用类型(Landuse)为解释变量。并使用R4.1.0 Random forest包进行随机森林回归(ntree=500,mtry=3),使用均方根误差变化以检验环境因子对土壤碳含量的重要性。并通过随机置换1 000次执行了影响因素的显著性检验,Origin 2019 b用于描述统计分析和绘制统计图。
2 结果与分析 2.1 不同植被下的土壤碳含量由表 3可知,研究区0 ~ 100 cm SOC含量最大值0.697 g/kg(HR),最低含量0.087 g/kg(HR)。平均SOC含量由大到小排序为AS(0.368 g/kg) > GL (0.299 g/kg) > HR(0.250 g/kg) > PT(0.233 g/kg) > A-P (0.209 g/kg)。不同恢复植被下SOC含量变异系数均在10% ~ 100%,具有中等程度的变异,表现为HR > A-P > PT > GL > AS。
|
|
表 3 不同恢复植被下土壤碳含量描述统计(g/kg) Table 3 Statistical characteristics of soil carbon contents under different restored vegetation |
研究区SIC含量范围在1.319 ~ 1.851 g/kg,最高含量出现在AS(1.851 g/kg),最低含量出现在PT(1.319 g/kg),平均SIC约为SOC含量的5.6倍,平均SIC含量由大到小排序为HR(1.553 g/kg) > A-P(1.551 g/kg) > AS(1.531 g/kg) > GL(1.501 g/kg) > PT (1.452 g/kg)。各恢复植被下SIC含量呈弱变异性(CV < 10%),表现为AS > PT > GL > HR > A-P。
研究区TC最大含量出现在AS,为2.182 g/kg;最小含量出现在HR,为1.603 g/kg。平均TC含量由大到小排序为AS(1.898 g/kg) > HR(1.803 g/kg) > GL (1.797 g/kg) > A-P(1.760 g/kg) > PT(1.685 g/kg)。各恢复植被下TC呈弱变异性(CV < 10%),变异系数由大到小排序为HR > AS > A-P > GL > PT。
2.2 不同植被下土壤碳垂直分布特征如图 1所示,不同恢复植被SOC含量垂直变化存在差异,GL与HR的SOC随土壤深度增加逐渐减少,HR减少趋势更显著,0 ~ 20 cm土层SOC含量约是80 ~ 100 cm的5.2倍。AS与A-P中的SOC随土层深度增加存在先减少后增加的现象。除PT外,0 ~ 40 cm内各恢复植被SOC含量超过剖面SOC总含量的50%,各恢复植被0 ~ 20 cm土壤SOC含量显著高于深层土(P < 0.05)。PT各土层SOC含量没有显著差异。各深度上不同恢复植被SOC含量A-P均显著小于PT、AS、HR(除60 ~ 80 cm),AS与GL在各深度上SOC含量均无显著差异。
|
(图中大写字母不同表示同一土层不同植被间差异达P < 0.05显著水平,小写字母不同表示同一植被类型下不同土层间差异达P < 0.05显著水平) 图 1 不同恢复植被土壤碳含量剖面分布 Fig. 1 Vertical distributions of SOC, SIC and TC under different restored vegetation |
0 ~ 20 cm,GL的SIC含量显著小于其他恢复植被(P < 0.05),在较深土层(60 ~ 100 cm),不同恢复植被SIC含量并无显著差异。同种恢复植被SIC含量随土壤深度增加变化不显著。
各恢复植被TC含量均在0 ~ 20 cm达到最大值,随深度增加TC含量逐渐减少。在各个深度PT的TC含量都小于其他恢复植被,AS中的TC含量均高于其他恢复植被,HR与A-P的TC含量无显著差异。
2.3 土壤碳影响因素RDA分析第一二排序轴分别解释了总方差的51.9% 和17.5%,全模型显著性检验P < 0.05,速效氮(F=24.02, P < 0.001)、土壤容重(F=66.78, P < 0.001)、土壤含水量(F=31.71, P < 0.001)和黏粒含量(F=31.71, P=0.002)为主要环境因子,分别解释了49.69%、13.97%、15.90% 和12.74% 的研究区土壤碳含量变化。冗余分析和相关性分析的结果表明,SOC与土壤黏粒、有效磷、坡向和坡度呈正相关,与速效氮呈极显著正相关(P < 0.001),相关性大小表现为速效氮 > 有效磷 > 坡向 > 坡度 > 土壤黏粒;而SOC与土地利用类型、海拔、土壤容重和土壤含水量表现为显著负相关关系(P < 0.05),其中土壤含水量与SOC相关性最大。SIC与SOC呈负相关;SIC与环境因子的相关性较弱,关系多为不显著负相关,仅与海拔呈正相关,与有效磷呈显著正相关(P < 0.05)。TC与SOC和SIC呈正相关(图 2、图 3)。
|
(AP、AN、SA、SG、Clay、BD、SWC、Landuse、Ele分别代表有效磷、速效氮、坡向、坡度、土壤黏粒含量、土壤容重、土壤含水量、土地利用类型和海拔,下同) 图 2 土壤碳和环境因子RDA二维排序 Fig. 2 Redundancy analysis assessing relationships of SOC, SIC and TC with influential variables |
|
(颜色深浅代表相关性绝对值大小,椭圆左上右下走向代表正相关,右上左下走向代表负相关,***、**、* 表示P < 0.001、P < 0.01和P < 0.05显著性,下同) 图 3 土壤碳和环境因子相关性 Fig. 3 Correlation between soil carbon and environmental factors |
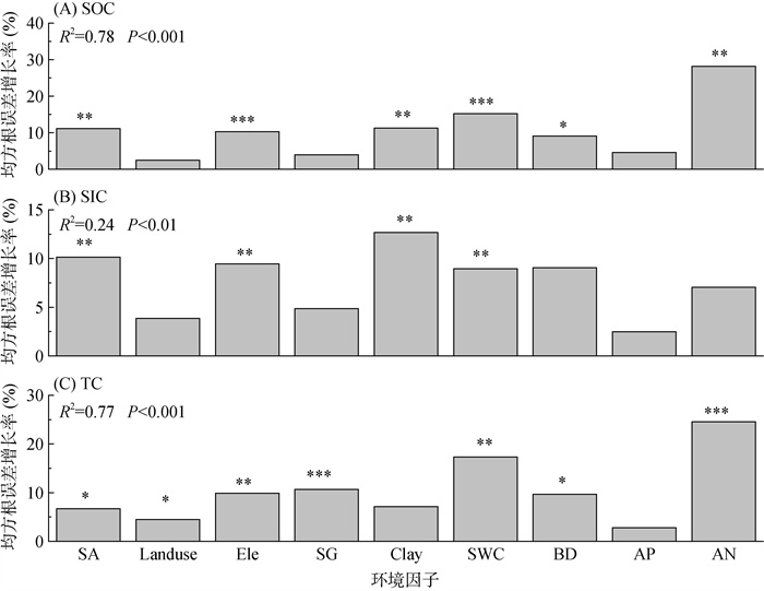
随机森林回归结果如图 4所示,模型分别解释了78%、24%、77% 的土壤SOC、SIC、TC含量变化。所有变量中坡向、海拔、土壤黏粒含量、土壤容重、土壤水分含量及速效氮是土壤SOC含量的重要影响因子,重要性前三的因子分别为速效氮、土壤水分含量与土壤黏粒含量,重要性累计达到对土壤SOC含量变异的56.79%(图 4A)。而黏粒含量、土壤含水量、海拔和坡向是影响土壤SIC含量的重要影响因子(图 4B);土壤含水量、海拔、坡向、坡度、速效氮、土壤容重和土地利用类型在土壤TC含量中有重要影响(图 4C)。不同恢复植被中,坡向、海拔和土壤含水量均显著影响了SOC、SIC和TC(P < 0.05),三者总计在SOC中重要性达到38.07%,SIC重要性达到41.64%,TC中重要性达到36.41%。
|
图 4 环境因子对土壤碳含量的相对重要性 Fig. 4 Relative importance of environmental factors to soil carbon content |
SOC含量主要取决于动植物碳输入与土壤有机质分解[14]。研究区不同植被SOC存在明显表层富集现象,这与前人研究结果一致[15]。主要原因是大量凋落物带来的外源有机质输入经过土壤微生物分解后,增加了表层土壤的SOC含量。此外,凋落物质量对SOC也具有重要影响,不同植被类型凋落物C/N差异影响了其分解速率,具有高质量(低C/N)的阔叶凋落物更容易分解,因此,本研究中AS的SOC高于PT。值得注意的是,相关研究表明在植被恢复后期,针叶树种对SOC固存的贡献将会超过阔叶树种[16]。
随土层深度增加,SOC含量逐渐减少,各恢复植被SOC在20 ~ 100 cm土层无显著差异,这与Fang等[17]的研究结果一致。随深度增加,土壤理化性质变得更为稳定,同时淋溶作用减弱,凋落物输入减少,植物根系密度减小,微生物活性降低,都会导致SOC含量垂直分布变化减弱。本研究中AS的SOC变异系数最小,各土层SOC含量均高于其他恢复植被,且相关研究表明山杏纯林对保持深层土壤水也有良好效果[18],因此黄土高原植被恢复树种可以优先选择山杏。此外,本研究结果表明混交林在固存SOC上并没有优势,这和前人研究结果不符[19]。SOC受混交模式的影响,不同混交模式下微生物对碳源利用具有选择性[20]。山杏油松混交林属于非固氮树种混交,限制了植物生长所需的营养元素,且本研究中立地条件超出了山杏油松混交林适宜生长范围[21],种间竞争超过协同促进作用,导致了更低的生物量积累,进而影响SOC含量,这在一定程度上说明了混交树种的选择要充分考虑植物生理协同作用和地区性因素。
SOC与SIC具有负相关关系,本研究中草地SIC随土层深度增加呈上升趋势,一方面草地土壤质地较细,持水性较强,更有利于形成和保护SOC颗粒[22],进而影响了SIC。另一方面草地地表植被覆盖高,碳输入与周转速度快,土壤SOC在分解过程中产生的CO2降低了土壤中交换性Ca+有效性,加速了碳酸盐溶解,并在深层土壤中再次沉淀[23]。总之,本研究SIC随土壤深度增加变化不大,各恢复植被在60 ~ 100 cm土层上SIC含量无显著差异。
3.2 影响土壤有机碳含量的因素不同空间尺度下影响SOC含量的驱动性因素不同,在小区域尺度上气温和降水变异不大,因此SOC含量的差异可归因于土地利用类型、土壤质地、地形、土壤养分等环境因素[24-25]。随机森林结果表明,研究区土壤0 ~ 100 cm SOC受土地利用类型影响较小,这与前人的研究不符[26]。但在其他地区的研究中发现了类似结论,如Rabbi等人[27]的研究中土地利用类型仅解释了1.4% 的SOC变化。这可能是在干旱、半干旱地区,SOC向深层土壤运动受到土壤水分条件限制,使得土地利用类型对SOC的影响主要集中在土壤表层。
海拔等地形因子通过水热再分配进而影响SOC的空间分布。海拔与SOC呈负相关,这与郑梓萱和曾辰[28]的研究结果一致。海拔上升,导致温度下降,湿度增加,植物生长受限,地上生物量减少,凋落物归还受阻,SOC含量下降。坡向导致的太阳辐射强度差异,影响了植物分布与生长;此外,有研究表明,坡向显著影响了土壤微生物的活性[29],控制了植物有机质输入和分解,从而影响了SOC。除地形因子外,SOC也受到土壤理化性质不同程度的影响,其中土壤质地与SOC有着密切关联,研究表明土壤黏粒含量与SOC呈显著正相关[30],土壤黏粒通过形成团聚体提高土壤结构的稳定性,减少SOC与氧气的接触,削弱微生物分解作用,保护SOC,还可通过调控微生物代谢底物和所需营养浓度,从而影响SOC的垂直分布[31]。土壤碳氮具有高度关联,本研究中AN与SOC呈正相关,重要性也最高,与常帅等人[32]的研究结果一致。N元素影响植被生长,调控凋落物数量和质量,进而影响SOC[33]。需要指出的是,随着林地生态系统发展,SOC不断积累,N限制对微生物的影响将超过C限制,当微生物代谢所需营养受限时,将影响SOC矿化速率[34]。
本研究中土壤含水量与SOC表现为负相关,这与Wang等人[35]在黄土高原不同地形序列上的研究结果一致。在一定范围内,在高含水量条件下溶解性有机碳增多,同时增强了土壤微生物呼吸作用的底物有效性,加速了SOC矿化[36]。在黄土高原地区,水分是植被生长的主要限制性因子,深层水是植物根系生长的主要来源。已有研究表明退耕还林在增加生态系统固碳效益的同时会造成深层土壤水分的缺乏[37]。因此在黄土高原植被恢复中要充分权衡植被固碳效益与耗水能力的关系。
3.3 影响土壤无机碳含量的因素与SOC相比,SIC和环境因子关联不强(R2=0.24),土壤碳库中的无机碳主要由土壤发生性碳酸盐组成,基于碳酸盐溶解沉淀反应过程(公式1、2),影响反应平衡的土壤水分含量、Ca2+、CO2、HCO3–是SIC变化的主要原因。本研究中土壤含水量、黏粒、海拔和坡向是SIC的重要影响因子,较高土壤水含量将促进SOC矿化,增加CO2分压,促使反应(2)向左侧CaCO3减少方向进行,从而与SIC有负相关关系。
| $ 2 \mathrm{CO}_2 \downarrow+2 \mathrm{H}_2 \mathrm{O} \leftrightarrow 2 \mathrm{HCO}_3^{-}+2 \mathrm{H}^{+} $ | (1) |
| $ \mathrm{Ca}^{2+}+2 \mathrm{HCO}_3^{-} \leftrightarrow \mathrm{CaCO}_3 \downarrow+\mathrm{H}_2 \mathrm{O}+\mathrm{CO}_2 \uparrow $ | (2) |
相关研究表明土壤pH和土壤温度等土壤属性通过调节微生物活性[38],对碳酸盐的形成有重要影响。此外土壤质地在土壤碳酸盐的形成中也具有不可忽视的作用。本研究中黏粒对SIC的重要性为12.67%,且与SIC呈负相关,这与Goddard等人[39]研究结果一致。砂质土壤更有利于SIC的积累,这与较粗土壤质地所带来的孔隙度和渗透性影响微生物活性和碳酸盐淋溶迁移有关。坡向在SIC分布中具有重要作用,与阴坡相比,阳坡的SIC含量相对较高,与Zhao等人[40]的研究结果一致,这可能是由于向阳坡土壤含水量较低,减少了碳酸盐的转移。
退耕还林后,黄土高原SOC储量显著增加,但植被恢复后的SIC变化仍存在争议[41-42]。本研究中各恢复植被SIC差异不显著,这与Chang等人[43]的研究结果一致,土地利用类型仅解释了3.85% 的SIC变化,与土地利用类型相比,土地利用变化与SIC有更紧密的关系。值得注意的是,至少有20% 的土壤碳变化随机森林模型无法解释,这突出了今后研究中对植物根系、土壤其他理化性质和土壤微生物数据的需求。
4 结论1) 不同退耕恢复的植被平均SOC含量0.209 ~ 0.368 g/kg,平均SIC含量1.452 ~ 1.553 g/kg,平均TC含量为1.685 ~ 1.898 g/kg,研究区平均SIC约为SOC的5.6倍。SOC呈现表层聚集,随土层深度增加而减少,SIC随土层深度增加变化不显著。
2) 研究区SOC与土壤黏粒含量、有效磷、速效氮、坡向和坡度呈正相关,与海拔、土壤容重、土壤含水量负相关。SIC仅与海拔、速效氮呈正相关,与其他环境因子呈负相关。
3) 随机森林结果表明,研究区土壤碳分布特征主要受地形与土壤理化性质影响,海拔、坡向和土壤含水量是研究区土壤碳含量变化的驱动因素(P < 0.05)。SOC受环境因子影响强烈,SIC与环境因子的关联性较弱。
| [1] |
Post W M, Kwon K C. Soil carbon sequestration and land-use change: Processes and potential[J]. Global Change Biology, 2000, 6(3): 317-327 DOI:10.1046/j.1365-2486.2000.00308.x ( 0) |
| [2] |
Zeng X H, Zhang W J, Cao J S, et al. Changes in soil organic carbon, nitrogen, phosphorus, and bulk density after afforestation of the "Beijing-Tianjin Sandstorm Source Control" program in China[J]. Catena, 2014, 118: 186-194 DOI:10.1016/j.catena.2014.01.005 ( 0) |
| [3] |
Jia X X, Yang Y, Zhang C C, et al. A state-space analysis of soil organic carbon in China's loess plateau[J]. Land Degradation & Development, 2017, 28(3): 983-993 ( 0) |
| [4] |
Xiang Y Z, Liu Y, Yue X J, et al. Factors controlling soil organic carbon and total nitrogen stocks following afforestation with Robinia pseudoacacia on cropland across China[J]. Forest Ecology and Management, 2021, 494: 119274 DOI:10.1016/j.foreco.2021.119274 ( 0) |
| [5] |
Xu H W, Qu Q, Lu B B, et al. Variation in soil organic carbon stability and driving factors after vegetation restoration in different vegetation zones on the Loess Plateau, China[J]. Soil and Tillage Research, 2020, 204: 104727 DOI:10.1016/j.still.2020.104727 ( 0) |
| [6] |
徐耀粘, 江明喜. 森林碳库特征及驱动因子分析研究进展[J]. 生态学报, 2015, 35(3): 926-933 ( 0) |
| [7] |
王绍强, 于贵瑞. 生态系统碳氮磷元素的生态化学计量学特征[J]. 生态学报, 2008, 28(8): 3937-3947 DOI:10.3321/j.issn:1000-0933.2008.08.054 ( 0) |
| [8] |
张智勇, 王瑜, 艾宁, 等. 陕北黄土区不同植被类型土壤有机碳分布特征及其影响因素[J]. 北京林业大学学报, 2020, 42(11): 56-63 ( 0) |
| [9] |
刘伟, 程积民, 高阳, 等. 黄土高原草地土壤有机碳分布及其影响因素[J]. 土壤学报, 2012, 49(1): 68-76 ( 0) |
| [10] |
张宏, 黄懿梅, 安韶山, 等. 黄土高原森林带植被群落下土壤活性有机碳研究[J]. 水土保持研究, 2013, 20(3): 65–70, 77 ( 0) |
| [11] |
毛娜, 邵明安, 黄来明. 六道沟小流域地形序列土壤碳剖面分布特征及影响因素[J]. 水土保持学报, 2017, 31(5): 222–230, 239 ( 0) |
| [12] |
贡璐, 朱美玲, 刘曾媛, 等. 塔里木盆地南缘典型绿洲土壤有机碳、无机碳与环境因子的相关性[J]. 环境科学, 2016, 37(4): 1516-1522 ( 0) |
| [13] |
廖娇娇, 窦艳星, 安韶山. 黄土高原不同植被群落多样性与土壤有机碳密度关系研究[J]. 水土保持研究, 2022, 29(4): 75-82 ( 0) |
| [14] |
王利彦, 周国娜, 朱新玉, 等. 凋落物对土壤有机碳与微生物功能多样性的影响[J]. 生态学报, 2021, 41(7): 2709-2718 ( 0) |
| [15] |
王勇辉, 焦黎. 艾比湖湿地土壤有机碳及储量空间分布特征[J]. 生态学报, 2016, 36(18): 5893-5901 ( 0) |
| [16] |
Yan M F, Fan L N, Wang L. Restoration of soil carbon with different tree species in a post-mining land in eastern Loess Plateau, China[J]. Ecological Engineering, 2020, 158: 106025 ( 0) |
| [17] |
Fang X, Xue Z J, Li B C, et al. Soil organic carbon distribution in relation to land use and its storage in a small watershed of the Loess Plateau, China[J]. Catena, 2012, 88(1): 6-13 ( 0) |
| [18] |
韩新生, 许浩, 蔡进军, 等. 宁南黄土丘陵区3种典型林分的结构与水文影响比较[J]. 水土保持学报, 2018, 32(6): 192-199 ( 0) |
| [19] |
季波, 李娜, 马璠, 等. 宁南典型退耕模式对土壤有机碳固存的影响[J]. 浙江农业学报, 2017, 29(3): 483-488 ( 0) |
| [20] |
杨君珑, 刘小龙, 李帆, 等. 六盘山生态移民迁出区不同植被恢复模式土壤微生物功能多样性研究[J]. 生态环境学报, 2018, 27(12): 2193-2199 ( 0) |
| [21] |
姜丽, 魏天兴, 李亦然, 等. 地形因子对陕北黄土丘陵区防护林树种分布的影响[J]. 干旱区地理, 2021, 44(6): 1763-1771 ( 0) |
| [22] |
葛楠楠, 石芸, 杨宪龙, 等. 黄土高原不同土壤质地农田土壤碳、氮、磷及团聚体分布特征[J]. 应用生态学报, 2017, 28(5): 1626-1632 ( 0) |
| [23] |
McLaughlin S B, Wimmer R. Tansley review no. 104[J]. New Phytologist, 1999, 142(3): 373-417 ( 0) |
| [24] |
孟国欣, 查同刚, 张晓霞, 等. 植被类型和地形对黄土区退耕地土壤有机碳垂直分布的影响[J]. 生态学杂志, 2017, 36(9): 2447-2454 ( 0) |
| [25] |
杨帆, 黄来明, 李德成, 等. 高寒山区地形序列土壤有机碳和无机碳垂直分布特征及其影响因素[J]. 土壤学报, 2015, 52(6): 1226-1236 ( 0) |
| [26] |
吴希慧, 王蕊, 高长青, 等. 土地利用驱动的土壤性状变化影响微生物群落结构和功能[J]. 生态学报, 2021, 41(20): 7989-8002 ( 0) |
| [27] |
Rabbi S M F, Tighe M, Delgado-Baquerizo M, et al. Climate and soil properties limit the positive effects of land use reversion on carbon storage in Eastern Australia[J]. Scientific Reports, 2015, 5: 17866 ( 0) |
| [28] |
郑梓萱, 曾辰. 纳木错典型小流域土壤有机碳含量空间分布[J]. 南方农业学报, 2017, 48(12): 2152-2156 ( 0) |
| [29] |
Ai Z M, Zhang J Y, Liu H F, et al. Influence of slope aspect on the microbial properties of rhizospheric and non-rhizospheric soils on the Loess Plateau, China[J]. Solid Earth, 2018, 9(5): 1157-1168 ( 0) |
| [30] |
张俊华, 李国栋, 南忠仁, 等. 黑河绿洲区耕作影响下的土壤粒径分布及其与有机碳的关系[J]. 地理研究, 2012, 31(4): 608-618 ( 0) |
| [31] |
赵明月, 赵文武, 钟莉娜. 土地利用和环境因子对表层土壤有机碳影响的尺度效应——以陕北黄土丘陵沟壑区为例[J]. 生态学报, 2014, 34(5): 1105-1113 ( 0) |
| [32] |
常帅, 于红博, 曹聪明, 等. 锡林郭勒草原土壤有机碳分布特征及其影响因素[J]. 干旱区研究, 2021, 38(5): 1355-1366 ( 0) |
| [33] |
Wang Z, Zheng F. Ecological stoichiometry of plant leaves, litter and soils in a secondary forest on China's Loess Plateau[J]. PeerJ, 2020, 8: e10084 ( 0) |
| [34] |
Kirkby C A, Richardson A E, Wade L J, et al. Nutrient availability limits carbon sequestration in arable soils[J]. Soil Biology and Biochemistry, 2014, 68: 402-409 ( 0) |
| [35] |
Wang Y, Huang L, Jia X, et al. Distribution characteristics and controls of soil organic carbon at different spatial scales in China's Loess Plateau[J]. Journal of Environmental Management, 2021, 293: 112943 ( 0) |
| [36] |
许恩兰, 林雪婷, 郭剑芬. 水分对武夷山不同海拔土壤有机碳矿化的影响[J]. 亚热带资源与环境学报, 2019, 14(1): 30-37 ( 0) |
| [37] |
Lu N, Fu B J, Jin T T, et al. Trade-off analyses of multiple ecosystem services by plantations along a precipitation gradient across Loess Plateau landscapes[J]. Landscape Ecology, 2014, 29(10): 1697-1708 ( 0) |
| [38] |
赵晶晶, 贡璐, 安申群, 等. 塔里木盆地北缘绿洲不同连作年限棉田土壤有机碳、无机碳含量与环境因子的相关性[J]. 环境科学, 2018, 39(7): 3373-3381 ( 0) |
| [39] |
Goddard M A, Mikhailova E A, Post C J, et al. Continental United States atmospheric wet calcium deposition and soil inorganic carbon stocks[J]. Soil Science Society of America Journal, 2009, 73(3): 989-994 ( 0) |
| [40] |
Zhao W, Zhang R, Huang C Q, et al. Effect of different vegetation cover on the vertical distribution of soil organic and inorganic carbon in the Zhifanggou Watershed on the loess plateau[J]. Catena, 2016, 139: 191-198 ( 0) |
| [41] |
Han X Y, Gao G Y, Chang R Y, et al. Changes in soil organic and inorganic carbon stocks in deep profiles following cropland abandonment along a precipitation gradient across the Loess Plateau of China[J]. Agriculture, Ecosystems & Environment, 2018, 258: 1-13 ( 0) |
| [42] |
Gao Y, Dang P, Zhao Q X, et al. Effects of vegetation rehabilitation on soil organic and inorganic carbon stocks in the Mu Us Desert, northwest China[J]. Land Degradation & Development, 2018, 29(4): 1031-1040 ( 0) |
| [43] |
Chang R Y, Fu B J, Liu G H, et al. The effects of afforestation on soil organic and inorganic carbon: A case study of the Loess Plateau of China[J]. CATENA, 2012, 95: 145-152 ( 0) |
2. Jixian National Forest Ecosystem Observation and Research Station, CFERN/CNERN, Beijing 100083, China
2022, Vol. 54



0)