2. 土壤与农业可持续发展国家重点实验室(中国科学院南京土壤研究所), 南京 210008
集约化蔬菜生产对养分需求量较高,需施用化肥以提高蔬菜产量。联合国粮食及农业组织(FAO)的统计数据表明,化肥对蔬菜等农作物产量提升的贡献率可达30% ~ 50%[1]。然而,多地调查结果表明我国不同经营方式蔬菜生产过程中化学氮肥投入量均偏高。北京近郊蔬菜生产年氮肥用量约为1 741.0 kg/hm2[2];广东省露地蔬菜每季平均施氮量达到328.7 kg/hm2[3];山东寿光设施蔬菜年氮肥投入更是高达4 088 kg/hm2[4]。高氮肥投入不仅导致蔬菜氮利用率降低,还会导致蔬菜硝酸盐、地下水硝态氮含量超标[5],以及土壤酸化等问题[6]。据报道,适量降低化学氮肥投入水平,可保证蔬菜氮利用率及产量 [7]。在高氮肥投入的背景下,适量减施氮肥能在保证产量的前提下提高番茄的品质[8-9],但是,当施氮量低于蔬菜所需时也会导致蔬菜产量显著降低。因此,只有科学地适量降低化肥氮投入,方可实现蔬菜产量与品质稳定、生态环境保护、菜地肥力维持等多重效益。在降低化肥氮投入的同时施用生物质炭或可成为达到以上效果的新途径。
生物质炭由生物质在厌氧环境下高温热解制备而成,具有多孔、比表面积大、富含碳和芳香基结构等性质[10]。将生物质炭施入农业土壤具有提高肥料氮养分利用效率、减少氮素损失、缓解土壤酸化等效益[11-12]。另据报道,生物质炭施用兼具改善作物品质的效果[13]。如,施用生物质炭能够提高黄瓜、小青菜等的可溶性固形物、维生素C、可溶性糖和有机酸含量,降低小青菜和黄瓜的硝酸盐含量[14-16]。生物质炭不仅能提高蔬菜品质,还能改善酸性土壤环境。生物质炭的施用能提高酸性土壤的pH缓冲能力和维持土壤肥力[17-19]。但是,前人的研究多数是在氮肥常规施用条件下直接配施生物质炭以验证其作物增产与环境减排等效益[20-21]。从化肥减施和生物质炭资源可持续利用角度,本研究拟利用适量生物质炭施用的增效功能,提高化学氮肥减施比例。已有研究报道,水稻生产体系中减氮20% ~ 40% 条件下施用生物质炭能够显著提高水稻产量[22];白菜–玉米轮作模式中减氮的同时施用生物质炭可以提高玉米淀粉、籽粒粗蛋白含量,提高白菜氨基酸、维生素C和还原糖含量,显著改善作物的品质[13]。那么,在氮供应量偏高的蔬菜生产体系,设置较高比例氮肥减施条件下配施生物质炭,是否可以达到常规施氮处理的蔬菜产量与品质水平?该措施下菜地肥力能否维持?值得进一步研究。
因此,本研究假设在珠三角地区生菜种植时:①直接减少适量氮肥投入,不会影响生菜产量与品质等;②进一步提高化学氮肥减施比例配施适量生物质炭亦可维持生菜产量、品质及菜地肥力。对该假设的验证结果与结论可为珠三角地区蔬菜种植中通过化肥合理减量与生物质炭科学施用实现蔬菜产量与品质提升、地力水平维持和生态环境保护提供技术和理论依据。
1 材料与方法 1.1 试验材料田间小区试验于广东省佛山市三水区大塘镇(112°46′E ~ 113°02′E,22°58′N ~ 23°34′N)开展。试验小区所在菜地轮作制度不固定,常年种植时令蔬菜,如冬瓜、生菜、包心菜、鲜食玉米、大顶苦瓜等。该地区属于亚热带海洋性季风性气候,年均降水量为1 690 mm,年均气温为22.2 ℃,年均日照时数1 592.3 h。供试土壤为红壤,0 ~ 20 cm耕层土壤基础性质为:pH 4.86(水土质量比5∶1),碱解氮169.8 mg/kg,全氮2.4 g/kg,有效磷44.7 mg/kg,全磷0.48 g/kg,有机质21.9 g/kg。供试生物质炭是以油菜秸秆为原料经400 ℃高温裂解制备制成,具体制备参数参照已发表文献[23],基础性质为pH为7.50 (水炭质量比5∶1),全碳、氮含量分别为625 g/kg和1.9 g/kg,比表面积为42.5 m2/g。
1.2 试验设计本试验根据氮肥和生物质炭的施用量主要考察以下5个处理间的差异:常规施氮(N100%)、减化肥氮20% (N80%)、减化肥氮40% (N60%)、减化肥氮40%+10 t/hm2生物质炭(N60%+BC10)和减化肥氮40%+20 t/hm2生物质炭(N60%+BC20)。每个处理3次重复(小区),共计15个试验小区,每个小区面积为30 m2 (15 m×2 m),随机分布。供试生菜品种为绿萝莎,购自寿禾京东自营旗舰店,于2019年9月14日播种育苗,10月14日移苗定植(密度300株/小区),11月30日收获计产。当季生菜氮、磷和钾肥投入量(分别以N、P2O5和K2O计)为240 (N100%处理)、90和120 kg/hm2,其中氮肥以基肥(氮磷钾复合肥,N∶P2O5∶K2O=15∶15∶15)和追肥(尿素,含N 460 g/kg)方式施用,分施比例为50%∶50%,磷(过磷酸钙,含P2O5 120 g/kg)、钾(氯化钾,含K2O 600 g/kg)肥均以基肥方式一次全量施用。播种时翻耕菜地土壤,此时施用基肥,保证土肥混合均匀,追肥于2019年10月14日施用。相应处理生物质炭施用量分别为10 t/hm2和20 t/hm2,折合每小区施用量分别为30 kg和60 kg,于2018年12月10日包心菜种植前土壤翻耕时与表层土混合施入[23],所以本研究观测的是生物质炭施用1年后对相应试验指标的影响。本试验生菜种植过程中水分、杂草与虫害控制等管理方式与当地农户日常管理保持一致。
1.3 采样与指标测定 1.3.1 产量相关指标于2019年11月30日收获生菜,首先将生菜全部收割,分小区称重计产;然后在每小区随机选择10株测定单株鲜重、直径和含水率;之后选其中5株带回实验室置于烘箱中于105℃杀青30 min、80 ℃烘干至恒重,待测生菜全氮、全磷含量。
1.3.2 叶片SPAD值分别于天气晴好的2019年10月24日(基肥施用后10天)、11月9日(追肥施用后15天)、11月25日(收获前5天)的上午9:30—10:30使用便携式SPAD测定仪对生菜叶片SPAD值进行测定。测定叶片为生菜从外向内的第4片轮叶,测定时避开叶脉,每小区于不同位置随机选择10株生菜进行SPAD值测量,取其均值代表该小区生菜叶片SPAD值。
1.3.3 生菜全氮、全磷含量及吸收量将烘干至恒重的生菜样品粉碎过60目,混匀,称取0.5 g样品用H2SO4-H2O2消解,然后通过凯氏定氮法和钼锑抗比色法测定消煮液全氮和全磷含量,并换算为生菜全氮和全磷含量。生菜对磷和氮的吸收量则为单位面积内生菜干重×生菜全氮或全磷的含量。
1.3.4 生菜总糖、硝酸盐含量采集新鲜生菜样品,分别采用苯酚–硫酸比色法和水杨酸比色法测定其总糖、硝酸盐含量[24]。
1.3.5 土壤pH、全氮、碱解氮、有效磷、全磷和有机质含量生菜收获后,按“S”型布点,采集6个点的0 ~ 20 cm土壤样品,混合后采用四分法留样,去除石块、根系等,供测pH、全氮、全磷和有机质含量,测定方法分别为电位法(水土质量比5∶1)、开氏消煮法、酸溶–钼锑抗比色法和高温外热重铬酸钾氧化–容量法[25]。
供试土壤全氮、全磷、有机质和pH测定方法与生菜采收后土壤性质测定方法相同,另外使用碱解扩散法测定碱解氮含量,0.5 mol/L NaHCO3溶液(pH 8.5)浸提–钼锑抗比色法测定有效磷含量[26]。
1.4 数据统计本研究采用Excel 2010软件进行数据统计分析,不同处理间差异性比较采用SPSS 16.0软件进行方差分析和Duncan法进行多重比较(P < 0.05)。
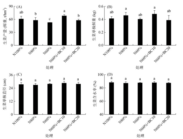
2 结果与分析 2.1 生菜产量及相关指标图 1A结果表明,与N100% 处理相比,N80% 处理生菜产量不会显著下降,但N60% 处理生菜产量显著降低13.5%(P < 0.05)。N60%+BC10和N60%+ BC20处理的生菜产量比N60% 处理分别提高22.7% 和9.5%,均同N100% 处理的产量水平相当。各施氮处理的生菜单株鲜重、直径和含水率分别为0.39 ~ 0.48 kg、26.8 ~ 28.5 cm和87.1% ~ 88.2%,处理间无显著差异(图 1B ~ 1D)。
|
(图中不同小写字母表示处理间差异显著(P < 0.05),下同) 图 1 化肥氮减量和生物质炭施用对生菜产量(A)、单株鲜重(B)、直径(C)和含水率(D)的影响 Fig. 1 Effects of biochar application on the yields (A), per fresh lettuce weights (B), diameters (C), and water contents (D) of lettuces under different treatments with N reductions |
由图 2可知,随着生长进程推进,各处理生菜叶片SPAD值均逐渐提高。在不同生育期与N100% 处理相比,N80% 和N60% 处理的生菜叶片SPAD值均无显著变化,但2019年10月24日测定结果中,N60% 处理的生菜叶片SPAD值比N80% 处理低11.7%(P > 0.05)。N60%+BC20处理生菜叶片SPAD值在10月24日和11月9日观测时在所有试验处理中均为最低,而至11月25日观测时上升至同其他处理相一致的水平。同时,图 2结果表明,减氮条件下,N60%+BC20处理的生菜叶片SPAD值在10月24日和11月9日观测时比N60%+BC10处理显著低18.9% 和11.8%(P < 0.05),说明生物质炭不同用量对生菜叶片SPAD值影响显著。
|
图 2 化肥氮减量和生物质炭施用对生菜叶片SPAD值的影响 Fig. 2 Effects of biochar application on the SPAD values of lettuce leaves under different treatments with N reductions |
相较N100% 处理,N80% 与N60% 处理生菜全氮含量分别显著降低了15.61% 和12.14% (P < 0.05),说明化肥氮减施降低了生菜全氮含量。同在N60% 条件下,与N60% 处理相比,N60%+BC10与N60%+BC20处理生菜全氮含量提高9.7% ~ 11.1%,但差异未达显著水平(图 3A)。图 3B结果表明,化肥氮减量与生物质炭施用对各处理生菜全磷含量均无显著影响。
|
图 3 化肥氮减量和生物质炭施用对生菜氮(A)、磷(B)含量及吸收量(C、D)的影响 Fig. 3 Effects of biochar application on the total nitrogen (A) and phosphorus (B) contents and uptake capacities (C and D) of lettuces under different treatments with N reductions |
图 3C结果反映了减化肥氮和施用生物质炭对生菜全氮与全磷吸收量的影响。N100%、N80% 和N60%处理生菜全氮吸收量逐渐下降,分别为290.9、253.3和228.8 kg/hm2,可见化肥氮减施导致生菜全氮吸收量降低,且降低幅度与减施比例呈正相关。N60%+BC10处理的生菜全氮吸收量显著高于N60% 处理41.3% (P < 0.05),甚至超过了N100% 处理。结合图 3A结果可知,减氮40% 条件下施用生物质炭10 ~ 20 t/hm2可以促进生菜对氮的吸收量至常规施氮处理。与N60%+BC10处理相比,N60%+BC20处理生菜氮吸收量略降低,这与其生菜产量低于N60%+ BC10处理有关,可见减氮条件下生物质炭用量不同处理生菜具有不用的氮吸收利用表现。同时,图 3D结果表明,化肥氮减量与生物质炭施用对各处理生菜全磷吸收量均无显著影响。
2.4 生菜总糖与硝酸盐含量各施氮处理生菜总糖含量为1.00 ~ 1.42 g/kg,且各处理间无显著差异(图 4A)。但是,化肥氮减施具有导致生菜总糖含量降低的不利影响,而N60% 条件下,施用生物质炭具有提升生菜总糖含量的效果,提升了1% ~ 32%。图 4B结果表明,各施氮处理生菜硝酸盐含量为53.0 ~ 92.1 mg/kg,与N100% 处理相比,N80% 处理生菜硝酸盐含量几乎没有变化,而N60% 处理降低硝酸盐含量10.7%。同在N60% 条件下,与N60% 处理相比,N60%+BC10处理对生菜硝酸盐含量几无影响,而N60%+BC20处理可使生菜硝态氮含量降低34.6%,且与N100%处理相比,N60%+BC20处理的生菜硝酸盐含量降低41.6% (P < 0.05)。可见,合理减施氮肥和施用生物质炭均具有通过降低硝态氮含量提升生菜品质的效果。
|
图 4 化肥氮减量和生物质炭施用对生菜总糖(A)和硝酸盐(B)含量的影响 Fig. 4 Effects of biochar application on the total sugar (A) and nitrate (B) contents of lettuces under different treatments with N reductions |
表 1结果表明,与N100%处理相比,减氮处理(N80% 和N60%)菜地土壤pH提高0.21 ~ 0.63个单位,N60% 与N100% 处理间差异达显著水平(P < 0.05)。施用生物质炭可有效缓解土壤酸化,即N60%+BC10和N60%+BC20处理土壤pH比N60% 处理分别高1.19% 和4.56%。减施氮肥和施用生物质炭对土壤全氮含量无显著影响。减施氮肥20%时,土壤全磷含量显著降低36.2%(P < 0.05),而减氮40% 条件下施用20 t/hm2生物质炭具有提高菜地土壤全磷含量的潜力。与N100% 处理相比,N80% 和N60% 处理土壤有机质含量无显著变化,而与N60% 处理相比,N60%+BC10和N60%+BC20处理土壤有机质含量有提高的趋势,且N60%+BC20处理比N100% 和N80% 处理分别显著提高8.3% 和9.8%(P < 0.05)。
|
|
表 1 生菜收获后耕作层(0 ~ 20 cm)土壤pH、有机质、全氮与全磷含量 Table 1 Soil pH, organic matter, total nitrogen and total phosphorus contents in post-harvest tillage layers (0–20 cm) of lettuce |
在当前菜地土壤氮肥过量投入背景下,一定比例的氮肥减施不会导致蔬菜显著减产[27-29]。本研究结果表明,当化肥氮减施40% 时生菜产量显著降低,需配合生物质炭施用;减氮40% 条件下施用生物质炭促进生菜产量提高,配施10 t/hm2生物质炭处理生菜产量水平可达到常规施氮处理,这主要是因为生物质炭处理下生菜单株鲜重较高。根据前人报道,施用生物质炭能提高土壤孔隙度与比表面积从而改善土壤结构,促进根系发育使农作物吸收更多土壤养分,从而提高蔬菜产量[30]。此外,勾芒芒等[31]研究表明,减氮条件下施用生物质炭还可以降低番茄土壤的容重,提高土壤持水性,保证蔬菜对水溶性营养物质的吸收,从而提高番茄产量。菜地土壤铵态氮等速效养分可被施入的生物质炭快速吸附,而随着蔬菜生长,生物质炭吸附的速效养分又可以缓释供蔬菜作物吸收利用[32-34]。本研究中减氮条件下配施生物质炭处理生菜SPAD值在生长旺盛期即可达到常规施氮水平。施用生物质炭对田间土壤中的氮有一定的保留作用并能促进氮在土壤中的循环[35],生物质炭还能提高土壤中磷的有效性[36],生物质炭的施用对减少土壤硝态氮和铵态氮流失有积极作用[10]。生物质炭的物理、化学特性能提高土壤pH和CEC值,进而改良土壤养分环境,提高养分有效性[37-38]。在本研究中,N60%+BC20处理同N100% 处理相比土壤pH提高了14.07%;生物质炭施用显著促进了生菜对全氮的吸收和累积,这也是生物质炭促进生菜增产的机制之一。
同时,本研究发现生物质炭对生菜的增产效果并没有随生物质炭用量增加而提升,20 t/hm2生物质炭处理的生菜产量反而低于10 t/hm2生物质炭处理,这可能与生物质炭材料本身含有的酚等有害物质有一定关系[39]。制备生物质炭过程中产生的多环芳烃会在植物体内长期积累并影响其代谢[40]。氮肥和生物质炭的联合施用可能使根系附近的渗透压相对较高而产生毒性[41]。生物质炭的施入提高了土壤被多环芳烃污染的风险,当生物质炭的施用量上升到45 t/hm2时,土壤中三环芳烃含量相比于对照土壤的29.2% 上升到了44.4%,多环芳烃的污染可能是造成生菜产量下降的一个原因[42]。
综上,本研究认为N80% 或者N60% 条件下配施生物质炭10 ~ 20 t/hm2可保证生菜产量至常规施氮水平,生物质炭施用的增产机制主要提高生菜单株鲜重及全氮吸收量。
4.2 生物质炭施用对生菜总糖与硝酸盐含量的影响本研究中,减化肥氮和施生物质炭对生菜总糖含量均无显著影响,而N60%+BC20处理可以有效降低生菜硝酸盐含量,提升生菜品质。据报道,施用生物质炭特别是在减氮条件下有降低蔬菜(如大蒜、小白菜与苦苣等)硝酸盐含量并提高其可溶性糖、蔗糖和氨基酸含量等益处[43-45]。此外,生物质炭施用还具有提高蔬菜维生素C含量的效果[46-47],且该效果比单施复合肥更优。除大量元素外,生物质炭还富含多种微量元素,它们可提高土壤硝酸还原酶的活性,从而降低蔬菜中硝酸盐的含量。此外,呈弱碱性的生物质炭促进了菜地土壤团聚体的形成,增加其对NH4+的吸附固定,降低了NH4+向NO3–的转化,从而实现了降低蔬菜硝酸盐含量的作用[48]。
包括总糖、硝酸盐在内,蔗糖、氨基酸、维生素C等的含量也直接决定生菜品质,在今后研究中,需同时关注化肥氮减量和生物质炭施用对蔬菜各品质指标的综合影响,筛选出更合理的氮肥与生物质炭施用技术。
4.3 减氮和施用生物质炭对收获后土壤性质的影响过量施用化学氮肥导致菜地土壤酸化现象明显加剧,氮肥减量和生物质炭施用可有效缓解菜地土壤酸化进程[49-50],辣椒和玉米秸秆生物质炭能提高土壤pH,优化以上两种作物的根系生长环境[51-52]。同样地,本研究中化肥氮减量及生物质炭施用均可以提高菜地土壤pH。化肥氮减量施用调控菜地土壤pH主要是通过控制硝化反应和土壤盐基阳离子流失,减少氮肥水解后转化为NO3–和H+的释放而实现[53]。据报道,生物质炭携带的K+、Ca2+、Mg2+等在水土交融过程中会同土壤中的H+和Al3+等相交换,降低土壤H+和Al3+浓度,发挥提升土壤pH、减缓土壤酸化的作用[17]。而且,生物质施用会降低酸性土壤中交换性酸含量,从而降低菜地土壤酸性[54]。
本研究结果表明,化肥氮减量和生物质炭施用整体上对菜地土壤全氮与全磷含量无显著影响,但是N60% 条件下施用20 t/hm2生物质炭后,土壤有机质含量显著提高,与常规施氮处理相比提高8.3%。生物质炭常含有一定量有机碳,施用后可提高菜地土壤有机碳及有机质的含量,为蔬菜生长提供稳定碳源[55]。此外,有机质含量提升可通过改善土壤物理结构和微生物区系强化菜地土壤养分供应能力。类似地,在白菜种植中,施用1% ~ 5% 的生物质炭能够将白菜种植的酸性菜地土壤中有机质含量提升28.0% ~ 103.0%[56]。施用1 ~ 4 kg/m2生物质炭能将茄子土壤中有机质含量提升27.0% ~ 90.0%[57]。
5 结论1) 过量减施化肥氮(N60%)会导致生菜显著减产,但N80% 或N60% 条件下配合施用20 t/hm2生物质炭可通过稳定叶片SPAD值,增加氮磷吸收量,提高生菜产量至常规施氮水平。
2) 减施化肥氮与施用生物质炭对生菜总糖含量均无显著影响,N60% 条件下施用20 t/hm2生物质炭可显著降低生菜硝酸盐含量。
3) 减施化肥氮和施用生物质炭均能有效缓解菜地土壤酸化,且生物质炭施用可提高土壤全磷和有机质含量,这是生物质炭提高生菜产量的机制之一。
| [1] |
Erisman J W, Sutton M A, Galloway J, et al. How a century of ammonia synthesis changed the world[J]. Nature Geoscience, 2008, 1(10): 636-639 DOI:10.1038/ngeo325 ( 0) |
| [2] |
杜连凤, 吴琼, 赵同科, 等. 北京市郊典型农田施肥研究与分析[J]. 中国土壤与肥料, 2009(3): 75-78 ( 0) |
| [3] |
张永起, 李淑仪, 廖新荣, 等. 广东蔬菜地土壤氮磷流失风险研究[J]. 安徽农业科学, 2010, 38(19): 10135–10137, 10166 ( 0) |
| [4] |
余海英, 李廷轩, 张锡洲. 温室栽培系统的养分平衡及土壤养分变化特征[J]. 中国农业科学, 2010, 43(3): 514-522 ( 0) |
| [5] |
刘晓晨, 汪仁, 孙占祥. 辽宁省三种类型作物产区饮用水硝态氮污染状况研究[J]. 灌溉排水学报, 2008, 27(5): 9-13 ( 0) |
| [6] |
周建. 氮肥施用和模拟酸沉降对土壤酸化作用的影响研究[D]. 杭州: 浙江大学, 2013.
( 0) |
| [7] |
佟容, 王国臣, 乔建磊, 等. 减氮施肥对菠菜生长发育及品质的影响[J]. 北方园艺, 2021(14): 59-64 ( 0) |
| [8] |
徐丽萍, 巨昇容, 王远, 等. 江苏设施菜地控释氮肥一次性基施增效减排效果研究[J]. 农业环境科学学报, 2021, 40(5): 1106–1114, 1141 ( 0) |
| [9] |
闵炬, 施卫明. 不同施氮量对太湖地区大棚蔬菜产量、氮肥利用率及品质的影响[J]. 植物营养与肥料学报, 2009, 15(1): 151-157 DOI:10.3321/j.issn:1008-505X.2009.01.022 ( 0) |
| [10] |
Nguyen T T N, Xu C Y, Tahmasbian I, et al. Effects of biochar on soil available inorganic nitrogen: A review and meta-analysis[J]. Geoderma, 2017, 288: 79-96 DOI:10.1016/j.geoderma.2016.11.004 ( 0) |
| [11] |
刘新宇. 密度炭基有机肥氮肥互作对甜菜(beta Vulgaris L. )光能利用、蔗糖代谢的影响[D]. 哈尔滨: 东北农业大学, 2021.
( 0) |
| [12] |
Silber A, Levkovitch I, Graber E R. pH-dependent mineral release and surface properties of cornstraw biochar: Agronomic implications[J]. Environmental Science & Technology, 2010, 44(24): 9318-9323 ( 0) |
| [13] |
陈云梅, 赵欢, 肖厚军, 等. 减氮配施有机物料对玉米–白菜轮作系统作物产量、光合特性和产品品质的影响[J]. 应用生态学报, 2021, 32(12): 4391-4400 ( 0) |
| [14] |
冯腾腾. 蚯蚓粪和秸秆生物炭对大棚多年连作黄瓜的调控效果[D]. 扬州: 扬州大学, 2017.
( 0) |
| [15] |
牛亚茹. 施用生物质炭对日光温室黄瓜生长及土壤微生物和线虫群落结构的影响[D]. 南京: 南京农业大学, 2016.
( 0) |
| [16] |
刘玉学, 王耀锋, 吕豪豪, 等. 不同稻秆炭和竹炭施用水平对小青菜产量、品质以及土壤理化性质的影响[J]. 植物营养与肥料学报, 2013, 19(6): 1438-1444 ( 0) |
| [17] |
Xu R K, Zhao A Z, Yuan J H, et al. pH buffering capacity of acid soils from tropical and subtropical regions of China as influenced by incorporation of crop straw biochars[J]. Journal of Soils and Sediments, 2012, 12(4): 494-502 DOI:10.1007/s11368-012-0483-3 ( 0) |
| [18] |
Laird D, Fleming P, Wang B Q, et al. Biochar impact on nutrient leaching from a Midwestern agricultural soil[J]. Geoderma, 2010, 158(3/4): 436-442 ( 0) |
| [19] |
Yao Y, Gao B, Zhang M, et al. Effect of biochar amendment on sorption and leaching of nitrate, ammonium, and phosphate in a sandy soil[J]. Chemosphere, 2012, 89(11): 1467-1471 ( 0) |
| [20] |
冯美玲. 生物炭和氮添加对白芨土壤养分、生物量及光合生理特性的影响[D]. 南昌: 江西农业大学, 2019.
( 0) |
| [21] |
Qi L, Pokharel P, Ni C S, et al. Biochar changes thermal activation of greenhouse gas emissions in a rice-lettuce rotation microcosm experiment[J]. Journal of Cleaner Production, 2020, 247: 119148 ( 0) |
| [22] |
柳瑞, 高阳, 李恩琳, 等. 减氮配施生物炭对水稻生长发育、干物质积累及产量的影响[J]. 生态环境学报, 2020, 29(5): 926-932 ( 0) |
| [23] |
Sun H J, Jeyakumar P, Xiao H D, et al. Biochar can increase Chinese cabbage (Brassica oleracea L.) yield, decrease nitrogen and phosphorus leaching losses in intensive vegetable soil[J]. Phyton, 2022, 91(1): 197-206 ( 0) |
| [24] |
路文静, 李奕松. 植物生理学实验教程[M].
中国林业出版社, 北京, 2012
( 0) |
| [25] |
鲍士旦. 土壤农化分析(3版)[M].
中国农业出版社, 北京, 2000
( 0) |
| [26] |
鲁如坤. 土壤农业化学分析方法[M].
中国农业科技出版社, 北京, 2000
( 0) |
| [27] |
Albornoz F. Crop responses to nitrogen overfertilization: A review[J]. Scientia horticulturae, 2016, 205: 79-83 ( 0) |
| [28] |
骆晓声, 寇长林, 王红建, 等. 氮磷肥减施对露地蔬菜农田氮磷淋溶及蔬菜产量的影响[J]. 土壤通报, 2020, 51(2): 436-441 ( 0) |
| [29] |
娄庭, 龙怀玉, 杨丽娟, 等. 在过量施氮农田中减氮和有机无机配施对土壤质量及作物产量的影响[J]. 中国土壤与肥料, 2010(2): 11–15, 34 ( 0) |
| [30] |
李欣雨, 张川, 闫浩芳, 等. 生物炭和灌水量对土壤保水性及温室番茄生理特性的影响[J]. 排灌机械工程学报, 2022, 40(3): 317-324 ( 0) |
| [31] |
勾芒芒, 屈忠义. 土壤中施用生物炭对番茄根系特征及产量的影响[J]. 生态环境学报, 2013, 22(8): 1348-1352 ( 0) |
| [32] |
李明, 李忠佩, 刘明, 等. 不同秸秆生物炭对红壤性水稻土养分及微生物群落结构的影响[J]. 中国农业科学, 2015, 48(7): 1361-1369 ( 0) |
| [33] |
王彩云, 武春成, 曹霞, 等. 生物炭对温室黄瓜不同连作年限土壤养分和微生物群落多样性的影响[J]. 应用生态学报, 2019, 30(4): 1359-1366 ( 0) |
| [34] |
刘燕妮, 吕昊峰, 赵以铭, 等. 生物炭和氮肥施用量对番茄生长和水氮利用效率的影响[J]. 华北农学报, 2019, 34(2): 198-204 ( 0) |
| [35] |
Bai S H, Reverchon F, Xu C Y, et al. Wood biochar increases nitrogen retention in field settings mainly through abiotic processes[J]. Soil Biology and Biochemistry, 2015, 90: 232-240 ( 0) |
| [36] |
Olmo M, Villar R, Salazar P, et al. Changes in soil nutrient availability explain biochar's impact on wheat root development[J]. Plant and Soil, 2016, 399(1): 333-343 ( 0) |
| [37] |
Shi R Y, Li J Y, Ni N, et al. Understanding the biochar's role in ameliorating soil acidity[J]. Journal of Integrative Agriculture, 2019, 18(7): 1508-1517 ( 0) |
| [38] |
Shi R Y, Hong Z N, Li J Y, et al. Mechanisms for increasing the pH buffering capacity of an acidic ultisol by crop residue-derived biochars[J]. Journal of Agricultural and Food Chemistry, 2017, 65(37): 8111-8119 ( 0) |
| [39] |
谭春玲, 刘洋, 黄雪刚, 等. 生物炭对土壤微生物代谢活动的影响[J]. 中国生态农业学报(中英文), 2022, 30(3): 333-342 ( 0) |
| [40] |
张坤. 生物炭异质性及其纳米结构的环境风险[D]. 杭州: 浙江大学, 2019.
( 0) |
| [41] |
Wang H F, Zheng H, Jiang Z X, et al. Efficacies of biochar and biochar-based amendment on vegetable yield and nitrogen utilization in four consecutive planting seasons[J]. Science of the Total Environment, 2017, 593/594: 124-133 ( 0) |
| [42] |
Kuśmierz M, Oleszczuk P, Kraska P, et al. Persistence of polycyclic aromatic hydrocarbons (PAHs) in biochar-amended soil[J]. Chemosphere, 2016, 146: 272-279 ( 0) |
| [43] |
张宇, 徐刚, 樊小雪, 等. 生物炭施用及氮肥与有机肥配施对大蒜养分积累及品质的影响[J]. 江苏农业科学, 2020, 48(11): 115-121 ( 0) |
| [44] |
于南卓. 生物炭及炭基肥料对小白菜、油菜及玉米的生长和土壤养分的影响[D]. 泰安: 山东农业大学, 2018.
( 0) |
| [45] |
周子渝, 田福, 顾瑷璐, 等. 不同配比生物炭基肥对苦苣生长及品质的影响[J]. 现代园艺, 2021, 44(3): 36-38 ( 0) |
| [46] |
徐孟泽, 梁敏, 李苗苗, 等. 炭基肥与化肥配施对生菜产量与品质的影响[J]. 农学学报, 2020, 10(7): 45-49 ( 0) |
| [47] |
李大伟, 周加顺, 潘根兴, 等. 生物质炭基肥施用对蔬菜产量和品质以及氮素农学利用率的影响[J]. 南京农业大学学报, 2016, 39(3): 433-440 ( 0) |
| [48] |
管颐雯. 生物炭基钼肥降低菜心硝酸盐的机制[D]. 武汉: 华中农业大学, 2018.
( 0) |
| [49] |
郜礼阳, 林威鹏, 张风姬, 等. 生物炭对酸性土壤改良的研究进展[J]. 广东农业科学, 2021, 48(1): 35-44 ( 0) |
| [50] |
毛妍婷, 刘宏斌, 陈安强, 等. 长期施用有机肥对减缓菜田耕层土壤酸化的影响[J]. 生态环境学报, 2020, 29(9): 1784-1791 ( 0) |
| [51] |
吕金岭, 李太魁, 寇长林. 生物质炭和微生物菌肥对酸化黄褐土农田土壤改良及玉米生长的影响[J]. 河南农业科学, 2021, 50(6): 61-69 ( 0) |
| [52] |
李贞霞, 任秀娟, 祁雪娇, 等. 辣椒秸秆生物炭对酸化土壤交换性能及酶活性的影响[J]. 西北农业学报, 2019, 28(1): 117-124 ( 0) |
| [53] |
周生路, 陆春锋, 万红友. 苏南菜地土壤酸化特点及成因分析[J]. 河南师范大学学报(自然科学版), 2005, 33(1): 69–72, 91 ( 0) |
| [54] |
耿明昕, 关松, 孟维山, 等. 秸秆还田与生物炭施用影响黑土有机质并缓解土壤酸化[J/OL]. 吉林农业大学学报: 1–10.
( 0) |
| [55] |
黄连喜, 魏岚, 刘晓文, 等. 生物炭对土壤-植物体系中铅镉迁移累积的影响[J]. 农业环境科学学报, 2020, 39(10): 2205-2216 ( 0) |
| [56] |
高凤, 杨凤军, 吴瑕, 等. 施用生物炭对白菜根际土壤中有机质含量及酶活性的影响[J]. 土壤通报, 2019, 50(1): 103-108 ( 0) |
| [57] |
刘术均, 刘爱群, 惠成章. 施用生物炭对土壤有机质及茄子根系特征和产量的影响[J]. 北方园艺, 2018(1): 72-76 ( 0) |
2. State Key Laboratory of Soil and Sustainable Agriculture, Institute of Soil Science, Chinese Academy of Sciences, Nanjing 210008, China
2023, Vol. 55



0)