目前我国生活垃圾量累积超过70亿t,且在此基础上仍以平均每年8% ~ 10% 速度持续增长[1]。在垃圾分类标准下,生活垃圾中厨余垃圾的资源化处理、处置已成为广受关注的环境保护措施[2]。堆肥是厨余垃圾获得土壤改良潜力产品的重要方法,可有效且环保地管理厨余垃圾,在国外被广泛使用[3]。烤烟是我国的重要经济作物,种植面积达1.026×106 hm2,覆盖区域主要集中在西南地区[4]。但由于长期不合理的施肥导致土壤肥料利用率低、病虫害增加,继而导致烤烟品质降低,土壤健康受到威胁[5]。土壤细菌是农田土壤生态系统扰动反应最灵敏的土壤微生物群体,其重要微生物参数如酶活性、细菌多样性指数及群落结构等对施肥措施干扰响应迅速[6],能够很好指示施肥后土壤肥力和健康状况的变化[7],因此研究土壤酶活性和细菌群落特征能较好地表征厨余垃圾堆肥的应用效果。
此前已有研究集中于厨余垃圾堆肥施用对土壤理化性质、酶活性、微生物数量以及作物产量的影响,如生活垃圾热水解营养土能显著提高土壤的养分和酶活性,可有效促进植物的生长[8];厨余堆肥还田可改善生姜的根区环境,提高土壤氮磷钾含量和酶活性,促进生姜植株生长[9];餐厨堆肥可以确保水稻的生长和产量,且在土壤有机质和速效氮的提升上优于猪粪有机肥,具备推广和应用的潜力[10];与动物粪肥相比,施用厨余垃圾堆肥后土壤中的细菌、真菌和放线菌数量最多,提高了水果质量以及维生素C、溶质糖和有机酸的含量[11]。以上研究均证实了厨余垃圾堆肥应用的可行性,对土壤微生态和作物产量均有促进作用,同时,也可为农业生产中的有机肥开源,解决部分地区因有机肥料缺少,而长期单一施用化肥的问题。但此前研究鲜少关注厨余垃圾堆肥对土壤细菌群落的影响,厨余垃圾堆肥推广施用尚欠缺土壤微生态部分的实验剖析。
为了更好地指示厨余垃圾堆肥应用的结果,需要更多地了解厨余垃圾堆肥后土壤氮磷养分、酶活性和细菌群落如何变化以及它们之间的相互关系。本研究拟通过田间试验比较不同厨余垃圾堆肥施用量对土壤酶活性和细菌群落结构的影响,研究旨在:①明确厨余垃圾堆肥施用对植烟土壤氮磷养分和酶活性的影响;②确定堆肥施用量是否会导致土壤细菌群落组成和功能的差异;③表征堆肥施用后细菌群落和土壤化学性质、酶活性的相互关系,以期为厨余垃圾的农田资源化利用提供依据。
1 材料与方法 1.1 研究区域概况试验地点位于云南省玉溪市红塔区高仓街道龙树村,地处红塔区中南郊交界处,102°34′12.30′′E,24°17′32.33′′N,海拔1 625 m。全年日照时数1 947.5 h,日照率44%,霜降共52 d,多年平均降水量909.1 mm,降水天数130 ~ 150 d,最大24小时降水量为41 mm,属中亚热带半湿润冷冬高原季风气候,干湿季分明,雨季为5—10月。土壤属红壤(山原红壤),由砂页岩发育而成,土层薄浅。土壤基本化学性质为:有机质12.07 g/kg、全氮0.91 g/kg、全磷51.06 mg/kg、碱解氮20.00 mg/kg、有效磷1.92 mg/kg、pH 5.00。
1.2 试验设计试验材料为烤烟,品种为K326,于2021年4月18日进行移栽,材料由玉溪市烟草公司统一调入,种植密度为16 500株/hm2。试验设4个处理:不施基肥对照(CK)、低施肥量8 t/hm2(FWL)、中施肥量16 t/hm2(FWM)、高施肥量24 t/hm2(FWH),施肥量参考满吉勇等[10]的试验布设。每个处理3个重复,用1 m×1 m的铁框划分样方,每个样方种植2株烤烟,共12个样方,各样方之间相隔均大于2 m,随机排列,田间管理措施同当地农民的管理保持一致。移栽时穴施基肥,起垄种植,垄高30 cm、株间距40 cm,4月27日施用提苗肥,5月24日施用追肥,提苗肥氮磷钾比例为12︰6︰2,追肥氮磷钾比例为18︰5︰22。各施肥量养分含量具体见表 1。
|
|
表 1 各处理施肥量 Table 1 Amounts of fertilizer applied in each treatment |
厨余垃圾堆肥按蔬菜、水果等厨余垃圾占50%,干土作为辅料占40%,过磷酸钙占10% 的比例混合均匀,调节含水率至45% ~ 50%。将发酵菌剂与10倍的玉米面混匀,撒入有机物料中,进行堆制,当温度达到55 ℃时开始第一次翻堆,之后每达60 ℃翻堆一次,10 ~ 15 d即可基本腐熟。厨余垃圾堆肥的基本性质为:有机质472 g/kg、全氮18.05 g/kg、全磷1.89 g/kg、pH 7.2 ~ 7.5。
1.3 土壤样品采集与测定于2021年9月烤烟成熟期,在每个样方距烤烟根部0 ~ 10 cm范围内取耕层0 ~ 30 cm范围内的非根际土壤样品,剔除石砾和残根等杂物后混匀,分为两份,装入无菌密封袋,一部分风干后用于化学指标、酶活性测定,另一部分放置于–80 ℃冰箱保存,用于DNA提取和高通量测序。
土壤化学性质均采用土壤常规分析方法测定[12]。土壤pH采用pH计法(m土︰V水=1︰5)测定;采用重铬酸钾氧化外加热法测定有机碳(SOC);采用半微量开氏法测定全氮(TN);使用钼锑抗比色法测定全磷(TP)和有效磷(AP);采用碱解扩散法测定碱解氮(AN)。土壤酶活性均采用试剂盒的方法测定,试剂盒均由北京盒子生工科技有限公司提供。土壤脲酶(URE)、酸性磷酸酶(ACP)、多酚氧化酶(PPO)、荧光素二乙酸水解酶(FDA)均应用酶标仪在特定波长下测定其吸光度,并使用标准曲线计算试样中的土壤酶活力。4种酶活性单位均为U/g土样,即每天每克土样中产生1 μg NH3-N、1 nmol酚、1 mg紫色没食子、1 μmol荧光素的酶量分别定义为1个酶活力单位。
采用OMEGA试剂盒E.Z.N.ATM Mag-Bind Soil DNA Kit的试剂提取样品DNA,进行琼脂糖电泳检测,查看基因组DNA的完整性与浓度。利用Qubit2.0 DNA检测试剂盒对基因组DNA精确定量,以确定PCR反应应加入的DNA量。PCR扩增所用的引物为:16S rRNA基因V3-V4区引物341F (CCTACGGGN GGCWGCAG)和805R (GACTACHVGGGTATTCTA ATCC);PCR扩增结束后,对PCR产物进行琼脂糖电泳,采用生工琼脂糖回收试剂盒(cat:SK8131) 对DNA进行回收。回收产物用Qubit2.0定量,将所有样品按照1︰1的比例进行混合,充分振荡均匀,用于后续的建库与测序。高通量测序委托上海生工生物工程有限公司在Illumina MiSeq平台上完成。测序后,对原始下机数据进行质控处理,进行过滤、拼接、去除嵌合体,根据定制的参考数据库比对序列,检查索引和适配器的完整性。将每个样本的有效序列提交给RDP分类器,以识别细菌序列,使用Mothur计算物种丰富度和多样性统计数据。
1.4 数据统计分析土壤化学性质、酶活性和细菌群落α多样性利用SPSS 25.0进行单因素方差分析(One-Way ANOVA)和最小显著差数法的多重比较(LSD);细菌群落与土壤生物化学性质间的冗余分析(RDA)采用Canoco 5.0软件;酶活性柱形图和细菌门类百分比堆积柱形图采用Origin 2019软件进行绘制;热图均使用R(4.1.1)分析软件进行绘制,并结合Gephi-0.9.2绘制土壤化学性质、酶活性与细菌群落结构、功能的网络拓扑图。
2 结果与分析 2.1 厨余垃圾堆肥施用量对土壤化学性质的影响由表 2可知,每个处理0 ~ 30 cm土层的pH、SOC、TN、TP、AN、AP含量均随土层深度加深而降低。0 ~ 10 cm土层,对比CK,施用厨余垃圾堆肥均能提高土壤pH(↑0.16 ~ 0.39个单位)、SOC(↑17.27% ~ 23.80%)、TN(↑47.12% ~ 89.42%),其中pH和TN含量在各施肥量间差异显著(P < 0.05)。pH在10 ~ 20 cm和20 ~ 30 cm土层各处理间差异不显著。在10 ~ 20 cm土层,FWM处理显著降低了SOC含量(↓23.91%),FWH处理显著提高SOC含量(↑25.84%),但降低了20 ~ 30 cm土层SOC含量(↓25.26%)。10 ~ 20 cm土层TN含量在各处理下显著提高(↑10.31% ~ 29.90%),而20 ~ 30 cm差异不显著。施用厨余垃圾堆肥均能显著提高0 ~ 30 cm土层的TP和AP含量(P < 0.05),分别提高0.00% ~ 30.52%和14.59% ~ 235.90%。对比CK,施用厨余垃圾堆肥均显著提高了0 ~ 10 cm和10 ~ 20 cm土层AN含量(↑38.99% ~ 79.10%、↑31.80% ~ 46.99%),而在20 ~ 30 cm土层仅FWH处理显著提高了AN含量(↑52.82%)。
|
|
表 2 不同处理下的土壤化学性质 Table 2 Soil chemical properties under different treatments |
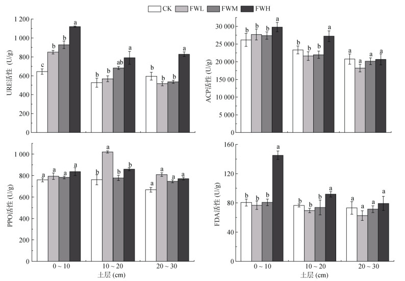
由图 1可知,0 ~ 10、10 ~ 20、20 ~ 30 cm土层的URE和ACP活性均随土层深度的增加而降低,且差异显著(P < 0.05);而PPO和FDA活性在0 ~ 30 cm土层内变化差异不显著。对比CK,0 ~ 10 cm土层,URE活性在FWL(↑32.02%)、FWM(↑43.94%)、FWH(↑73.91%)处理下均显著提高(P < 0.05),ACP和FDA活性仅在FWH处理下显著提高,分别为13.93% 和80.10%(P < 0.05);在10 ~ 20 cm土层,URE、ACP和FDA活性仅在FWH处理下显著提高(P < 0.05),分别为50.17%、16.67% 和20.01%;在20 ~ 30 cm土层ACP、PPO和FDA活性在各处理下差异不显著,而FWH处理下URE活性显著提高约39.14%。
|
(URE:脲酶;ACP:酸性磷酸酶;PPO:多酚氧化酶;FDA:荧光素二乙酸水解酶;图柱上方小写字母不同表示同一土层不同处理间差异达P < 0.05显著水平) 图 1 不同处理下的土壤酶活性 Fig. 1 Soil enzyme activities under different treatments |
由表 3可知,对比CK,施用厨余垃圾堆肥能提高细菌的OTU数目、丰富度(Chao指数、Ace指数)和多样性(Shannon指数)指数。FWL处理对土壤细菌群落多样性影响不显著,而FWM和FWH处理下OTU数显著提高12.21%、12.91%,Chao指数提高10.45%、11.20%,Ace指数提高10.28%、11.37%,Shannon指数提高0.31、0.29。
|
|
表 3 16S rRNA基因OTU数、丰富度和多样性指数 Table 3 OTU number, abundance and diversity index of 16S rRNA gene |
如图 2所示,在门水平上绘制土壤细菌群落组成相对丰度柱形图(共检测出26个菌门,图中仅显示相对丰度前13的细菌门,其余归为other)。变形菌门(Proteobacteria)、酸杆菌门(Acidobacteria)、放线菌门(Actinobacteria)的相对丰度约占总丰度的64.87% ~ 70.80%,共同组成本研究区的优势菌门。变形菌门的相对丰度与土层深度呈负相关关系,随土层深度增加而降低,酸杆菌门的相对丰度则表现相反,放线菌门的相对丰度在各土层间无明显差异。0 ~ 30 cm土层变形菌门和拟杆菌门(Bacteroidetes)的相对丰度与厨余垃圾堆肥施用量呈正相关;而酸杆菌门和绿弯菌门(Chloroflexi)的相对丰度随施用量的增加而降低。
|
图 2 细菌门类水平相对丰度 Fig. 2 Relative abundance of bacteria at phylum level |
图 3中显示的是各处理下相对丰度前11名的菌属:未分类菌属4个(unclassified_Sphingomonadaceae、unclassified_Bacteria、unclassified_Acidobacteria_ Gp1、unclassified_Rhizobiales),酸杆菌亚群3个(Gp1、Gp2、Gp3),鞘氨醇单胞菌属(Sphingomonas),芽单胞菌属(Gemmatimonas),WPS-2_genera_incertae_ sedis,Saccharibacteria_genera_incertae_sedis;其中3个酸杆菌亚群(Gp1、Gp2、Gp3)相对丰度与厨余垃圾堆肥施用量呈负相关关系(P < 0.05)。
|
图 3 主要优势菌属 Fig. 3 Main dominant bacteria |
采用PICRUSt软件预测施用厨余垃圾堆肥后土壤细菌代谢功能的变化,将得到的功能基因家族与KEGG数据库进行对比,一级功能可分为6类:代谢(metabolism)、遗传信息处理(genetic information processing)、环境信息处理(environmental information processing)、细胞过程(cellular processes)、人类疾病(human diseases)、有机系统(organismal systems)。从图 4整体来看,对比CK,在0 ~ 10 cm土层各施肥处理均显著提高总功能基因丰度,约35.69% ~ 46.57%,但不同施肥量间功能基因拷贝数在0 ~ 10 cm和10 ~ 30 cm土层差异不显著。代谢功能是细菌群落最主要的功能,约占总功能基因的48.84% ~ 49.53%,各处理间的总功能基因丰度差异主要是由代谢功能贡献,其余5个一级功能在各处理间差异均不显著。
|
图 4 土壤细菌一级功能 Fig. 4 Primary functions of soil bacteria |
二级功能基因获得41类,如图 5所示,总功能基因中占比10.66% ~ 10.99% 的氨基酸代谢(amino acid metabolism)功能、10.47% ~ 11.02% 的碳水化合物代谢(carbohydrate metabolism)功能、9.27% ~ 10.61% 的膜运输(membrane transport)功能、6.83% ~ 7.15% 的复制与修复(replication and repair)功能、5.60% ~ 5.80% 的能量代谢(energy metabolism)功能、4.06% ~ 4.36% 的翻译(translation)功能、4.04% ~ 4.17% 的辅因子和维生素的代谢(metabolism of cofactors and vitamins)功能、3.99% ~ 4.12% 的脂质代谢(lipid metabolism)功能是主要的二级子功能。对比CK,膜运输和碳水化合物代谢功能均在施用厨余垃圾堆肥后显著增强。
|
图 5 土壤细菌二级功能 Fig. 5 Secondary functions of soil bacteria |
为明确施用厨余垃圾堆肥后土壤化学性质和酶活性对土壤细菌群落的影响,采用冗余分析(RDA)评估土壤生物化学指标与细菌群落组成和多样性之间的关系(图 6),同时进行土壤化学性质与土壤细菌群落组成门类和多样性的相关分析(图 7)。结合图 6和图 7发现URE、ACP、pH、TN、TP、AN、AP指标对细菌的群落结构和多样性均有显著影响,均集中在第一、四象限;RDA1和RDA2共解释了细菌群落78.59% 的变异;其中AN和URE活性是调控细菌群落的最主要因子,AN和URE活性主要与变形菌门、厚壁菌门等优势菌门显著正相关,与绿弯菌门、酸杆菌门等优势菌门显著负相关。
|
(Pro:变形菌门;Act:放线菌门;Aci:酸杆菌门;Chl:绿弯菌门;WPS-2:candidate_division_WPS-2;Fir:厚壁菌门;Bac:拟杆菌门;Ver:疣微菌门;Gem:芽单胞菌门;Pla:浮霉菌门;WPS-1:candidate_division_WPS-1;unc:unclassified_ Bacteria;Sac:Candidatus_Saccharibacteria) 图 6 细菌群落与土壤化学性质、酶活性间的多元分析 Fig. 6 Multivariate analysis between bacterial communities with soil chemical properties and enzyme activities |
|
(图中显示相关性显著(P < 0.05)的菌门和土壤化学性质、酶活性) 图 7 土壤细菌群落与化学性质、酶活性的相关关系 Fig. 7 Correlation of soil bacterial communities with chemical properties and enzyme activities |
本研究发现在植烟土壤表层0 ~ 10 cm的化学性质和酶活性易受施肥的影响。施肥后能显著提高表层土壤的pH,改善土壤酸化程度,这是由于厨余垃圾堆肥本身的pH(7.0 ~ 7.5)高于研究区土壤pH(5.00),Lee等[13]在水饱和的稻田和不饱和的旱地土壤中施用垃圾堆肥同样提高了土壤pH,土壤酸化得到改善。土壤有机质和土壤氮素含量均随施肥量的增加而增加,为烤烟生长创造了良好的土壤条件。这是由于厨余垃圾堆肥主要由蔬菜、水果残渣组成,具有高碳水化合物和高氮化合物的成分,可为烤烟植株提供丰富的养分。Baiano等[14]同样认为生物垃圾(城市固体废物的有机部分)堆肥富含有机物质和氮养分,施用后能增加土壤中的有机碳和全氮。本文中施肥后0 ~ 30 cm土层的TP含量仅在FWH处理显著增加,堆肥对土壤磷素含量的增幅远小于氮素,主要是因为本区域土壤磷素含量较低,施肥时仍需要单独补充施用磷肥。
土壤酶直接参与土壤营养元素的有效化过程,也能在一定程度上体现土壤养分变化的动态过程[15]。本文中施肥后URE活性在0 ~ 30 cm土层下均随厨余垃圾堆肥施用量的增加而增加,这是由于URE与土壤氮循环密切相关,而施肥提供了丰富的氮源,参与土壤氮循环的微生物生长速率加快,分泌更多的脲酶。本文中施用2.4 t/hm2堆肥(FWH)时,ACP显著增强,主要是由于ACP主要参与土壤磷素转化,而本区域土壤的供磷能力较低,高量施用堆肥累积的磷反应底物才足以刺激土壤微生物分泌较多的酸性磷酸酶[16];同样FDA活性在FWH下显著增强,是因为FDA主要来源于微生物细胞和部分动植物残体的分解[17],当施用2.4 t/hm2堆肥时,土壤细菌群落多样性和丰度均显著提高,OUT数目增多,因此FDA活性显著增强。PPO主要参与土壤腐殖质组分的形成,与土壤腐质化程度呈负相关[18];本文中PPO活性在施肥后虽增强但差异不显著,可能是施肥后导致的土壤增加的反应底物量不足以规模性促进细菌的氧化还原酶的分泌。
3.2 施用厨余垃圾堆肥对土壤细菌群落的影响适宜的土壤养分是提高土壤微生物丰富度和多样性的重要因素之一,而土壤养分通过细菌群落丰富度和多样性的提高得以改善,两者间为相互促进作用[19]。本文中1.6 t/hm2和2.4 t/hm2施肥量(FWM和FWH)处理下细菌的丰富度和多样性均显著提高,这是由于营养丰富的堆肥施入后,为细菌带来大量可利用的养分,刺激细菌繁殖生长,从而细菌的丰富度和多样性增加。变形菌门和拟杆菌门相对丰度随厨余垃圾堆肥施用量的增加而增加,这是由于变形菌门属于富营养学型细菌,拟杆菌门是富营养的微环境中自由生活型微生物群落的重要组成部分[20],在养分充足的条件下生长速率快。酸杆菌门作为本研究第二优势菌门,其相对丰度随厨余垃圾堆肥施用量的增加而降低,主要是因为酸杆菌门属于寡营养型细菌,较适应条件差的土壤环境[21]。土壤养分和pH均随厨余垃圾堆肥施用量增加而提高,土壤条件得到改善,酸杆菌门相对丰度与施肥量即呈负相关关系。Gp1、GP2、GP3作为最主要的酸杆菌亚群,均表现为相对丰度随施肥量增加而显著降低,随土层深度的加深而增加,这与土壤pH变化一致,而研究表明土壤pH是影响酸杆菌多样性的关键因素[22]。
对比CK,在0 ~ 10 cm土层各施肥处理均显著提高总功能基因拷贝数,约35.69% ~ 46.57%,施用厨余垃圾堆肥能增强土壤细菌群落功能,前人研究同样认为农田土壤细菌功能易受外界环境条件如施肥的影响[23]。本研究中,代谢功能是细菌群落最主要的功能,约占总功能基因的48.84% ~ 49.53%,表征土壤细菌群落的养分转化能力和活性增强,作物对土壤养分利用率将会提高,而驱动土壤养分转化这一关键过程是由土壤微生物主导,施入土壤中的养分与有机物质需要土壤微生物吸收代谢或分泌相应的酶将其分解为作物可吸收的有效态,进而促进作物养分吸收与生长[24]。二级代谢通路功能基因获得41类,对比CK,膜运输和碳水化合物代谢功能均在各施肥处理下显著增强。这主要是由于厨余垃圾堆肥富含高碳水化合物和高氮化合物,为富营养学型菌门提供了充足的养分,菌门丰度显著增加,如富营养型菌门中的变形菌门丰度增加可降解氨基酸和碳水化合物,促进土壤碳氮循环[25]。
土壤化学性质影响着土壤细菌的养分供给和生存环境,而细菌群落的丰度和多样性表征其对土壤环境的适应能力[26]。本文发现土壤化学性质和酶活性对细菌的群落结构和多样性均有显著的影响(AN > URE > TN > TP > ACP > AP > pH),其中AN和URE活性是调控细菌群落结构最主要的因子,主要与富营养学型菌门的变形菌门和厚壁菌门显著正相关,与绿弯菌门、酸杆菌门显著负相关。AN是作物和土壤微生物最主要的氮源[27],在施用厨余垃圾堆肥后AN含量显著增加,促进了参与氮循环的细菌生长(变形菌和厚壁菌均是与氮生物地球化学循环有关的优势细菌[28]);脲酶是参与氮循环的细菌进行分泌,因此AN和URE活性对土壤细菌群落的影响表现基本一致。土壤养分条件得到改善后,寡营养型(酸杆菌)和光能自养型(绿弯菌)细菌的生长会被抑制,与养分呈负相关关系[21,29]。而前人研究表明土壤pH是影响细菌分布的最主要的环境因子[30],本文所得结论不同,可能是本研究在施肥后土壤pH变幅较小(5.21 ~ 5.65),对细菌群落结构的变化影响也较小。综上,厨余垃圾堆肥施用可缓解土壤酸化,增加土壤的养分含量,提高土壤富营养学型细菌的丰度和部分酶的活性,可促进土壤细菌对肥料养分转化,提高作物对养分的利用率,可作为化学肥料和其他动物粪便的替代物,其应用前景较好。但厨余垃圾堆肥施用后是否会限制烤烟作物生长,影响烤烟产量和质量,以及连续施用多年后其对土壤碳、氮循环和微生态的影响机制还需进一步研究。
4 结论厨余垃圾堆肥施入后土壤酸化得到缓解,丰富了土壤养分,促进了部分土壤酶活性和富营养型细菌的繁殖,为烤烟生长提供了良好的土壤环境,因此,厨余垃圾堆肥是可以作为化学肥料和其他动物粪便的替代物,为垃圾分类背景下垃圾资源化利用提供出路。
| [1] |
刘媛媛, 宋俊密, 杨帆, 等. 我国生活垃圾的处理现状及分类处理方法浅析[J]. 环境研究与监测, 2018, 31(3): 71–72, 26 ( 0) |
| [2] |
蒋建国, 耿树标, 罗维, 等. 2020年中国垃圾分类背景下厨余垃圾处理热点回眸[J]. 科技导报, 2021, 39(1): 261-276 ( 0) |
| [3] |
Cerda A, Artola A, Font X, et al. Composting of food wastes: Status and challenges[J]. Bioresource Technology, 2018, 248: 57-67 DOI:10.1016/j.biortech.2017.06.133 ( 0) |
| [4] |
孙计平, 吴照辉, 李雪君, 等. 21世纪中国烤烟种植区域及主栽品种变化分析[J]. 中国烟草科学, 2016, 37(3): 86-92 ( 0) |
| [5] |
王珏, 杜琴, 彭双, 等. 不同施肥处理对植烟土壤细菌群落的影响[J]. 土壤, 2021, 53(5): 998-1007 ( 0) |
| [6] |
郭萍, 文庭池, 董玲玲, 等. 施肥对土壤养分含量、微生物数量和酶活性的影响[J]. 农业现代化研究, 2011, 32(3): 362-366 ( 0) |
| [7] |
Lu H L, Wu Y X, Liang P X, et al. Alkaline amendments improve the health of soils degraded by metal contamination and acidification: Crop performance and soil bacterial community responses[J]. Chemosphere, 2020, 257: 127309 DOI:10.1016/j.chemosphere.2020.127309 ( 0) |
| [8] |
王振华, 吴娟, 宋建国, 等. 生活垃圾热水解产物对土壤养分和酶活性的影响[J]. 农业环境科学学报, 2021, 40(7): 1584-1590 ( 0) |
| [9] |
程学超, 李衍素, 闫妍, 等. 番茄和黄瓜茎秆堆肥还田对生姜生长及根区环境的影响[J]. 新疆农业科学, 2019, 56(10): 1921-1928 ( 0) |
| [10] |
满吉勇, 林永锋, 李丛林, 等. 餐厨垃圾堆肥对水稻生长、产量及土壤养分含量的影响[J]. 中国农业大学学报, 2021, 26(11): 165-179 ( 0) |
| [11] |
Yang L J, Li F S, Chu H X. Effects of food waste compost on soil microbial populations, tomato yield, and tomato quality[J]. Communications in Soil Science and Plant Analysis, 2014, 45(8): 1049-1058 ( 0) |
| [12] |
胡慧蓉, 田昆
. 土壤学实验指导教程[M].
中国林业出版社, 北京, 2012
( 0) |
| [13] |
Baiano S, Fabiani A, Fornasier F, et al. Biowaste compost amendment modifies soil biogeochemical cycles and microbial community according to aggregate classes[J]. Applied Soil Ecology, 2021, 168: 104132 ( 0) |
| [14] |
Lee C H, Park S J, Hwang H Y, et al. Effects of food waste compost on the shift of microbial community in water saturated and unsaturated soil condition[J]. Applied Biological Chemistry, 2019, 62: 36 ( 0) |
| [15] |
叶协锋, 杨超, 李正, 等. 绿肥对植烟土壤酶活性及土壤肥力的影响[J]. 植物营养与肥料学报, 2013, 19(2): 445-454 ( 0) |
| [16] |
李欣, 陈小华, 顾海蓉, 等. 典型农田土壤酶活性分布特征及影响因素分析[J]. 生态环境学报, 2021, 30(8): 1634-1641 ( 0) |
| [17] |
李猛, 聂洪光, 张淑红, 等. 有机肥配施氮肥设施菜田FDA水解酶活性与肥力相关性研究[J]. 园艺学报, 2016, 43(5): 907-917 ( 0) |
| [18] |
Gianfreda L, Antonietta Rao M, Piotrowska A, et al. Soil enzyme activities as affected by anthropogenic alterations: Intensive agricultural practices and organic pollution[J]. Science of the Total Environment, 2005, 341(1/2/3): 265-279 ( 0) |
| [19] |
王娟娟, 朱紫娟, 钱晓晴, 等. 减施化肥与不同有机肥配施对稻季土壤细菌群落结构的影响[J]. 土壤, 2021, 53(5): 983-990 ( 0) |
| [20] |
夏晶晶. 锡林河流域厚壁菌群和拟杆菌群的生物地理学研究[D]. 呼和浩特: 内蒙古大学, 2021.
( 0) |
| [21] |
Dedysh S N, Yilmaz P. Refining the taxonomic structure of the Phylum acidobacteria[J]. International Journal of Systematic and Evolutionary Microbiology, 2018, 68(12): 3796-3806 ( 0) |
| [22] |
魏志文, 李韵雅, 江威, 等. 无锡地区常见树木根际土壤酸杆菌多样性[J]. 生态学杂志, 2018, 37(9): 2649-2656 ( 0) |
| [23] |
赵文慧, 马垒, 徐基胜, 等. 秸秆与木本泥炭短期施用对潮土有机质及微生物群落组成和功能的影响[J]. 土壤学报, 2020, 57(1): 153-164 ( 0) |
| [24] |
周星, 陈骋, 常海娜, 等. 蚓堆肥热干扰后对土壤质量和作物生长的影响[J]. 土壤学报, 2020, 57(1): 142-152 ( 0) |
| [25] |
王晶, 马丽娟, 龙泽华, 等. 秸秆炭化还田对滴灌棉田土壤微生物代谢功能及细菌群落组成的影响[J]. 环境科学, 2020, 41(1): 420-429 ( 0) |
| [26] |
He S B, Hu W G, Jin X T, et al. Soil bacterial community composition and diversity respond to soil environment in the Ebinur Lake Wetland[J]. Archives of Microbiology, 2021, 203(3): 1175-1182 ( 0) |
| [27] |
Yu H L, Ling N, Wang T T, et al. Responses of soil biological traits and bacterial communities to nitrogen fertilization mediate maize yields across three soil types[J]. Soil and Tillage Research, 2019, 185: 61-69 ( 0) |
| [28] |
Li J L, Lin S Y, Qin S. Characteristics of sediment bacterial community in response to environmental impacts in a sewage polluted river[J]. Journal of Coastal Research, 2016, 74: 196-206 ( 0) |
| [29] |
鲜文东, 张潇橦, 李文均. 绿弯菌的研究现状及展望[J]. 微生物学报, 2020, 60(9): 1801-1820 ( 0) |
| [30] |
Kang E Z, Li Y, Zhang X D, et al. Soil pH and nutrients shape the vertical distribution of microbial communities in an alpine wetland[J]. Science of the Total Environment, 2021, 774: 145780 ( 0) |
2023, Vol. 55



0)