2. 中国烟草总公司重庆市公司石柱分公司, 重庆石柱 409199;
3. 中国烟草总公司重庆市公司奉节分公司, 重庆奉节 404600;
4. 中国烟草总公司重庆市烟叶分公司, 重庆 400020
钙和镁是烟草生长发育过程中的重要元素,对于调节烟草的生理代谢、产量和品质有着至关重要的作用[1]。钙是植物细胞壁中果胶质的重要组分,维持膜结构的稳定性和外观质量。烤烟缺钙时,会导致幼叶叶色浓绿,叶缘反转卷曲,植株生长停滞,根系粗短,有较多根尖坏死,发生黑胫病,烤后烟叶身份厚、油份少[2]。镁是叶绿素的重要组成成分,能够影响叶片的光合作用和干物质的积累。缺镁会导致老叶叶肉变黄但叶脉仍绿,根系生长速度比地上部快,根系纤细且白,根冠比较大,烤后烟叶身份薄,弹性小,糖分、淀粉含量减少,有机酸含量增加[3]。烟叶中钙和镁含量的高低取决于土壤中的交换性钙和镁含量,二者呈显著的正相关关系[4]。同时,土壤交换性钙、镁是土壤阳离子交换量(CEC)的重要组分,土壤CEC是衡量土壤保水保肥能力的重要指标,土壤CEC输出与投入的不平衡是导致土壤酸化的主要原因[5]。土壤酸害严重限制了烟草等农作物生长,甚至会诱发烟草青枯病的爆发,因此烟田土壤酸化严重影响烤烟产量与品质[6]。
土壤的形成与发育受成土母质的影响,土壤交换性钙、镁含量的空间差异主要来源于成土母质,石灰岩母质、页岩母质和砂页岩母质发育的土壤交换性钙、镁含量均较高,花岗岩母质和砂岩母质发育的土壤交换性钙、镁含量相对较低[7]。在贵州中部山区植烟区,第四纪红土发育形成的土壤交换性钙、镁含量较高,而沟谷堆积物发育形成的土壤交换性镁含量较低[8]。由不同成土母质发育而来的土壤交换性钙、镁含量也存在显著差异,湖南烟区以红壤交换性钙量(12.03 cmol/kg)最高,黄壤(1.52 cmol/kg)和黄棕壤(1.55 cmol/kg)交换镁含量较高,均与其他土壤类型间达显著差异水平[9]。也有研究表明,土壤交换性钙、镁含量受土壤pH、有机质、全氮、全磷等养分指标影响显著[10]。
探明渝东北烟区土壤交换性钙、镁含量与相关土壤属性之间的联系对于提高烟田土壤养分管理水平,提高烟叶产质量均具有重要的影响。为此,本研究通过调查重庆渝东北烟区土壤交换性钙、镁在耕作层含量的分布规律和差异性,以及探究影响其含量的其他环境因子,为当地烟草科学施肥提供理论和实践依据,进而达到提高植烟土壤保水保肥能力、降低土壤酸化和获得优质高产烤烟的目的。
1 材料与方法 1.1 研究区域概况研究区域为重庆渝东北部烤烟种植区,主要分布在巫溪、巫山、奉节、万州、涪陵和丰都6个县(区),在57个植烟乡(镇)内共选择246个村委会,选择1 092个具有代表性植烟地块进行取样。地理坐标为107°31′E ~ 109°55′E,29°27′N ~ 31°39′N,海拔654 ~ 1 634 m,属中亚热带季风湿润气候,适宜烤烟栽培。
1.2 植烟土壤采集与检测依据重庆渝东北烟区的土壤类型和烟叶种植面积,考虑不同烟区生态环境和气候条件,按照现代烟草农业规划,在每个烟草种植单元(6.67 ~ 8 hm2)取一个土样原则,共采集代表性植烟土壤1 092个,记录采样点的编号、所属农户、经纬度、海拔、烟草前茬作物等辅助信息。采用“S”形5点采样法对耕作层土壤进行取样,用四分法混匀,后风干、磨细、过筛制成土样,装瓶备用。
土壤理化指标检测方法:土壤pH采用玻璃电极法测定[11];有机质采用重铬酸钾氧化法测定[11];碱解氮采用碱解扩散法测定[11];有效磷采用钼锑抗比色法测定[11];速效钾采用硝酸溶液浸取-火焰光度法测定[11];阳离子交换量采用乙酸铵交换法测定[12];交换性酸总量采用氯化钾交换法测定[12];土壤水稳性大团聚体组成采用湿筛法测定[12];交换性钙、镁采用火焰原子吸收光度法测定[12]。
1.3 统计分析参照《全国第二次土壤普查土壤养分划分指标》[13],根据渝东北植烟区烤烟生产实际和中国植烟土壤养分丰缺指标[14],制定出渝东北地区植烟土壤交换性钙和镁的养分划分标准,划分为:极缺乏、缺乏、适中、丰富和极丰富5个等级(表 1)。利用SPSS 25.0对土壤数据进行Pearson相关分析与回归分析,运用OriginPro 2021进行图像绘制。利用Canoco 4.5进行冗余分析。
|
|
表 1 植烟土壤交换性钙和镁分级标准 Table 1 Grade criteria of Ca2+ and Mg2+ of tobacco-planting soils |
渝东北地区植烟土壤交换性钙、镁含量平均值分别为10.85 cmol/kg和1.79 cmol/kg。由图 1可知,不同的烤烟产区土壤可交换性钙、镁含量存在差异,但总体来看,土壤交换性钙、镁含量均处于适中及以上水平。渝东北不同烤烟产区植烟土壤交换性钙平均含量依次为:巫山 > 奉节 > 巫溪 > 万州 > 涪陵 > 丰都;土壤交换性镁平均含量依次为:巫山 > 奉节 > 万州 > 巫溪 > 涪陵 > 丰都。重庆渝东北植烟土壤交换性钙、镁含量丰富,但也存在缺乏现象,且区域分布不均衡。总体来看,土壤交换性钙缺乏(< 6 cmol/kg)占比28.30%,土壤交换性镁缺乏(< 1.0 cmol/kg)比例较高,为42.75% (图 2)。植烟土壤交换性钙、镁含量最缺乏区域分别为涪陵县与丰都县。丰都县与万州区的土壤交换性钙、镁含量最适宜烤烟种植,占比分别为42.00% 和36.61%。
|
(图中小写字母不同表示不同烤烟产区土壤间差异达P < 0.05显著水平,下同) 图 1 重庆渝东北不同烤烟产区土壤交换性钙、镁含量 Fig. 1 Soil Ca2+ and Mg2+ contents in different tobacco-planting areas in northeast Chongqing |
|
图 2 重庆渝东北不同烤烟产区的土壤交换性钙和镁含量分级占比 Fig. 2 Graded percentages of soil Ca2+ and Mg2+ contents in different tobacco-planting areas in northeast Chongqing |
相关性分析结果表明(表 2),土壤交换性钙与阳离子交换量和交换性镁呈极显著正相关,与pH呈显著正相关,与碱解氮、有效磷和交换性酸总量呈极显著负相关;土壤交换性镁与pH、阳离子交换量和交换性钙呈极显著正相关,与有机质、碱解氮和交换性酸总量呈极显著负相关,与有效磷呈显著负相关。土壤钙镁比与pH、有机质、碱解氮和交换性酸总量呈极显著正相关,与有效磷呈显著负相关。
|
|
表 2 土壤交换性钙、镁与其他土壤属性的相关性 Table 2 Correlation between Ca2+ and Mg2+ with other soil factors |
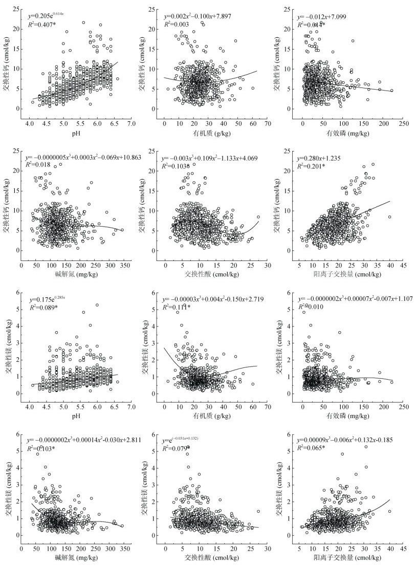
以土壤pH、有机质、碱解氮、有效磷、交换性酸总量和阳离子交换量作为自变量,土壤交换性钙、镁含量分别作为因变量,绘制各种属性指标的拟合曲线图,并建立相对应的拟合方程。如图 3所示,随着pH与阳离子交换量的增加,土壤交换性钙、镁含量呈现增加趋势;随着有机质、有效磷、碱解氮与交换性酸的增加,土壤交换性钙、镁含量随之降低。在拟合曲线方程中,除有机质与交换性钙,有效磷与交换性镁方程外,其他曲线方程均具有统计学意义(P < 0.05)。拟合曲线图定量地反映了不同土壤养分指标对土壤交换性钙、镁的影响,对实际生产中调节交换性钙、镁平衡具有指导意义。
|
图 3 植烟土壤养分分级水平对土壤交换性钙、镁含量的影响 Fig. 3 Ca2+ and Mg2+ contents in tobacco-planting fields under different soil nutrient grade levels |
渝东北地区不同成土母质植烟土壤耕层交换性钙、镁含量分析结果见图 4,不同成土母质发育而来的土壤交换性钙、镁含量存在一定的差异。由图 4可知,与其他成土母质相比,二叠系泥灰岩发育形成的土壤交换性钙、镁含量较高,分别为14.96 cmol/kg和2.43 cmol/kg。不同土壤类型及亚类的土壤交换性钙、镁也存在一定差异,其中潮土的交换性钙、镁含量最高,分别为12.46 cmol/kg和2.05 cmol/kg。土壤亚类为黄色石灰土的土壤交换性钙、镁含量最高,含量分别为14.64 cmol/kg和2.45 cmol/kg,其交换性钙、镁含量分别与中性紫色土、黑色石灰土存在显著性差异。
|
图 4 不同土壤母质、类型、亚类对土壤交换性钙镁的影响 Fig. 4 Ca2+ and Mg2+ contents under different soil parent materials, types and subclasses |
以重庆渝东北地区植烟土壤交换性钙、镁含量作为响应变量,以土壤团聚体组成分级作为解释变量进行冗余分析。由图 5可知,Axis 1解释了土壤团聚体组成对土壤交换性钙、镁含量影响程度的95.10%,Axis 2解释了影响程度的4.90%。其中1 ~ 2 mm和 < 0.25 mm粒径团聚体分别解释了土壤交换性钙、镁含量57.9% 和22.3% 的变异度,是土壤交换性钙、镁分异的关键因子(P < 0.05),与土壤交换性钙、镁含量呈显著负相关。其他粒径的团聚体与土壤交换性钙、镁含量相关性不显著。
|
图 5 不同粒径土壤团聚体与土壤交换性钙、镁含量的冗余分析 Fig. 5 Redundancy analysis of soil aggregates of different sizes with Ca2+ and Mg2+ contents |
土壤交换性钙、镁含量主要受成土母质的影响[15]。与其他成土母质比较,二叠系泥灰岩发育形成的土壤交换性钙、镁含量较高,三叠系石灰岩次之,侏罗纪紫色砂岩含量最低。前人研究表明,石灰岩发育形成的土壤呈弱碱性,钙含量丰富,因此土壤中交换性钙含量较高,而砂岩母质发育形成的土壤呈弱酸性,且自身的养分含量低,因此其土壤交换性钙、镁含量相对较低[7,15]。此外,土壤中的黏粒和砂粒含量也会对交换性钙、镁含量产生一定影响。由泥灰岩和石灰岩发育而来的土壤黏粒较多,而砂岩发育而来的土壤砂粒含量较多[15],土壤中的有机质易与黏粒形成具有较大的表面积和较高表面活性的复合体,从而有效增强土壤黏粒对钙、镁的吸附,因此黏粒较多的土壤交换性钙、镁含量相对较高[16]。土壤中砂粒含量高会导致土壤有机质矿化分解速率较快,导致有机质含量降低[17],在土壤有机质残体中,土壤中的有机质存在着氨基酸和羧酸带有大量负电荷,能够与带正电荷的交换性钙、镁离子发生静电吸附作用,并形成稳定的络合物,从而增强其对交换性钙、镁的吸附能力,因此砂粒较多的土壤交换性钙、镁含量相对较低[18]。
3.2 不同粒径土壤团聚体对交换性钙、镁含量的影响母质类型显著影响土壤团聚体粒径分布[19],各粒径团聚体的占比能够反映土壤结构与养分状况。在团聚体粒径分析中,发现 < 0.25 mm和1 ~ 2 mm粒径团聚体是引起交换性钙、镁差异的关键因子(图 4),土壤中交换性钙、镁含量与二者呈负相关关系。这是因为土壤团聚体粒径越小,比表面积越大,与土壤中有机碳形成一种紧密结合的有机无机胶体,增强了对钙、镁的吸附,使养分不易被释放,造成交换性钙、镁含量降低[20]。郭全恩等[21]的研究表明,土壤中镁离子主要分布在粒径2 ~ 5 mm或 > 5 mm的土壤大颗粒中。曾路生等[22]的研究表明,土壤中交换性钙、镁在 > 0.25 mm的大团聚体中的平均含量高于在 < 0.25 mm的微团聚体中的含量,> 0.25 mm的大团聚体决定了土壤中盐基离子贡献率的88% ~ 90%,2 ~ 5 mm团聚体中盐基离子储量最大。结合本文研究结果,在生产实践中应当改良土壤结构,提高 > 2 mm土壤大团聚体数量,才能使土壤中养分较稳定,不易分解,存留时间长[23]。
3.3 土壤理化性质对土壤交换性钙、镁含量的影响本研究表明,土壤交换性钙、镁含量与pH和阳离子交换量呈显著正相关,这与曲靖[10]、贵州[8]、山东[7]等植烟土壤的研究一致。土壤交换性钙、镁主要吸附于土壤胶体表面,在酸性土壤环境中可被土壤中大量H+交换而进入溶液中,供植物利用或者流失;在碱性环境中则可较好地吸附于土壤胶体表面[24],所以土壤交换性钙、镁在酸性土壤环境中含量较低,在碱性土壤环境中含量较高。根据回归曲线图可知(图 3),交换性钙、镁分别与阳离子交换量呈一次与三次函数关系,均随阳离子交换量的增加而升高,与交换性酸总量呈三次和指数函数关系,均随交换性酸总量的增加而降低,这与铜仁市植烟土壤交换性钙、镁特征研究结果相同[25]。土壤交换性钙、镁含量降低的主要原因如下:重庆渝东北烟区多雨,土壤中的钙、镁易随雨水淋失;烤烟为重庆地区主要经济作物,常年连作导致烤烟持续吸收土壤中的钙、镁离子,成熟期收获,导致大量的盐基离子被带走,土壤中盐基离子未得到及时补充,出现一种交换性钙、镁输出大于投入的现象。土壤胶体带有负电荷,由于盐基离子的大量缺失,土壤胶体表面的盐基阳离子被致酸离子所替代,从而使交换性酸含量增加,土壤趋于酸化[26–27]。土壤CEC反映土壤吸持和供给可交换养分的能力,是衡量土壤肥力的重要指标[28]。由本研究可知,增加土壤中的交换性钙、镁含量一方面能显著升高土壤盐基离子含量,提高土壤的保水保肥能力,另一方面能够有效地治理土壤酸化问题。土壤交换性钙、镁含量受不同土壤属性的影响,因此可调节土壤pH,适度控制有机质、碱解氮、有效磷含量,从而使交换性钙、镁与其他土壤属性指标处于适宜状态。
4 结论1) 重庆渝东北植烟土壤交换性钙、镁总体含量丰富,但仍有28.30% 和42.75% 的地区的土壤交换性钙、镁缺乏;在不同烤烟产区之间土壤交换性钙、镁含量存在显著差异,其中巫山县土壤交换性钙、镁平均含量最高,丰都县最低;涪陵县与丰都县土壤交换性钙、镁缺乏最严重;丰都县土壤交换性钙含量最适宜烤烟种植,万州区土壤交换性镁含量最适宜。
2) 母质是影响土壤交换性钙、镁含量的重要因素,与其他成土母质相比,二叠系泥灰岩发育形成的土壤交换性钙、镁含量较高,侏罗纪紫色砂岩含量最低。
3) 1 ~ 2 mm与 < 0.25 mm粒径团聚体是引起土壤交换性钙、镁分异的关键因子,与土壤交换性钙、镁含量呈显著负相关,因此,应当促进粒径 > 2 mm的土壤大团聚体的形成。
4) 植烟土壤pH、阳离子交换量与交换性钙、镁存在显著正相关关系,而土壤交换性酸总量与二者呈显著负相关,交换性钙、镁缺乏是引起烟田酸化的主要原因。因此,施用含钙、镁的物质,如牡蛎钾粉、硅钙钾镁肥,补充土壤交换性阳离子,对于改善烟田pH均有重要意义。
| [1] |
韦忠, 沈方科, 王蕾, 等. 施用钙镁对烤烟钾吸收、循环和含量的影响[J]. 中国烟草科学, 2011, 32(4): 66-70 DOI:10.3969/j.issn.1007-5119.2011.04.015 ( 0) |
| [2] |
冯新维, 黄莺, 吴贵丽, 等. 不同钙浓度对烤烟生长及镁吸收的影响[J]. 作物杂志, 2021(3): 190-194 ( 0) |
| [3] |
李玥, 赖勇林, 王军, 等. 不同养分缺乏对烤烟根系形态及营养生长的影响[J]. 中国烟草科学, 2015, 36(2): 60-65 ( 0) |
| [4] |
刘坤, 周冀衡, 李强, 等. 植烟土壤交换性钙镁含量及对烟叶钙镁含量的影响[J]. 西南农业学报, 2017, 30(9): 2065-2070 DOI:10.16213/j.cnki.scjas.2017.9.024 ( 0) |
| [5] |
Zhang Y T, He X H, Liang H, et al. Long-term tobacco plantation induces soil acidification and soil base cation loss[J]. Environmental Science and Pollution Research, 2016, 23(6): 5442-5450 DOI:10.1007/s11356-015-5673-2 ( 0) |
| [6] |
汪汉成, 余婧, 蔡刘体, 等. 温度、湿度、接菌量及pH对烟草青枯病菌致病力的影响[J]. 中国烟草科学, 2017, 38(5): 8-12 ( 0) |
| [7] |
李斌, 梁洪波, 王浩浩, 等. 山东烟田土壤交换性钙镁特征研究[J]. 中国烟草学报, 2013, 19(2): 61-66 ( 0) |
| [8] |
宋文静, 孟霖, 王程栋, 等. 贵州中部山区植烟土壤交换性钙镁含量分布特征[J]. 江苏农业科学, 2015, 43(3): 334-337 ( 0) |
| [9] |
许自成, 黎妍妍, 肖汉乾, 等. 湖南烟区土壤交换性钙、镁含量及对烤烟品质的影响[J]. 生态学报, 2007, 27(11): 4425-4433 ( 0) |
| [10] |
余小芬, 李军营, 韩小女, 等. 云南曲靖植烟土壤交换性钙、镁与关联土壤属性的特征研究[J]. 土壤, 2019, 51(6): 1240-1245 ( 0) |
| [11] |
杨剑虹, 王成林, 代亨林. 土壤农化分析与环境监测[M].
中国大地出版社, 北京, 2008
( 0) |
| [12] |
鲁如坤. 土壤农业化学分析方法[M].
中国农业科技出版社, 北京, 2000
( 0) |
| [13] |
全国土壤普查办公室. 中国土壤[M].
中国农业出版社, 北京, 1998
( 0) |
| [14] |
韦建玉, 黄崇峻, 金亚波, 等. 重庆市主要烟区土壤肥力状况综合评价[J]. 西南大学学报(自然科学版), 2019, 41(11): 30-36 ( 0) |
| [15] |
李军, 梁洪波, 宛祥, 等. 烟田土壤养分状况及其与成土母质的关系研究[J]. 中国烟草科学, 2013, 34(3): 21-25 ( 0) |
| [16] |
龚雪蛟, 秦琳, 刘飞, 等. 有机类肥料对土壤养分含量的影响[J]. 应用生态学报, 2020, 31(4): 1403-1416 ( 0) |
| [17] |
朱洁, 刘洪斌, 徐宸. 重庆烟区环境因子对土壤有机质含量的影响[J]. 烟草科技, 2018, 51(6): 19–24, 33 ( 0) |
| [18] |
童灵, 张雪, 张思文, 等. 有机质和粒径对中国4类典型土壤镁吸附量的影响[J]. 中国农业大学学报, 2021, 26(6): 150-158 ( 0) |
| [19] |
徐加盼, 李继洪, 魏玉杰, 等. 不同母质类型发育土壤颗粒组成分形特征[J]. 土壤学报, 2020, 57(5): 1197-1205 ( 0) |
| [20] |
徐艳丽, 段焰, 刘芮, 等. 西南典型烟区水稳性团聚体组成对土壤理化特征的影响[J]. 中国烟草科学, 2020, 41(6): 51-57 ( 0) |
| [21] |
郭全恩, 曹诗瑜, 展宗冰, 等. 甘肃两种典型盐成土不同粒径土壤颗粒中盐分离子的分布特征[J]. 干旱地区农业研究, 2021, 39(5): 216-221 ( 0) |
| [22] |
曾路生, 高岩, 李俊良, 等. 寿光大棚土壤团聚体中交换性盐基离子组成与土壤团聚性关系[J]. 水土保持学报, 2011, 25(5): 224–228, 233 ( 0) |
| [23] |
Wright A L, Hons F M. Soil aggregation and carbon and nitrogen storage under soybean cropping sequences[J]. Soil Science Society of America Journal, 2004, 68(2): 507-513 ( 0) |
| [24] |
李强, 闫晨兵, 田明慧, 等. 湘西植烟土壤pH时空变异及其主要驱动因素[J]. 植物营养与肥料学报, 2019, 25(10): 1743-1751 ( 0) |
| [25] |
刘杰, 谭智勇, 周兴华, 等. 铜仁市植烟土壤交换性钙镁空间分布特征及其影响因素分析[J]. 核农学报, 2022, 36(4): 812-819 ( 0) |
| [26] |
查宇璇, 冉茂, 周鑫斌. 烟田土壤酸化原因及调控技术研究进展[J]. 土壤, 2022, 54(2): 211-218 ( 0) |
| [27] |
时仁勇, 王昌军, 闫静, 等. 武陵秦巴山区不同母质植烟土壤抗酸化性能研究[J/OL]. 土壤学报, 2022: 1–12. (2022-01-28). https://kns.cnki.net/kcms/detail/32.1119.p.20220126.1724.004.html.
( 0) |
| [28] |
Qaryouti M, Bani-Hani N, Abu-Sharar T M, et al. Effect of using raw waste water from food industry on soil fertility, cucumber and tomato growth, yield and fruit quality[J]. Scientia Horticulturae, 2015, 193: 99-104 ( 0) |
2. Shizhu Branch of Chongqing Tobacco Company, China National Tobacco Corporation, Shizhu, Chongqing 409100, China;
3. Fengjie Branch of Chongqing Tobacco Company, China National Tobacco Corporation, Fengjie, Chongqing 404600, China;
4. Tobacco Leaf Branch of Chongqing Tobacco Company, China National Tobacco Corporation, Chongqing 400020, China
2023, Vol. 55



0)