滨海盐碱地是在海陆交替作用下形成的连接陆地和海洋的缓冲地带,其直接发育于海水浸渍的盐淤泥之上,并且长期受海水浸渍,盐源充足、地势平缓、排水不畅,导致其具有含盐量高、地下水位浅、极易返盐、结构性差、养分贫瘠、种植作物产量低等特点,严重制约了滨海土地资源的开发利用与农业的可持续发展[1–2]。目前,前人对滨海盐碱地改良利用已做了大量研究,使滨海盐渍化土地资源在一定程度上脱盐,但其土壤质量仍然较低,存在养分贫瘠、保水保肥能力差等问题。因此,在滨海脱盐土上进行农业生产,不仅要选用耐盐作物品种,同时还要培育土壤肥力,提升土壤质量,以满足作物的生长需求[3]。菊芋(Helianthus tuberosus L.)是一种耐盐碱经济作物,具有较强的抗逆性。种植菊芋可有效缓解土壤盐碱化程度,特别是在轻度盐碱化的土壤中种植菊芋能够在很大程度上改良土壤环境。菊芋在我国沿海滩涂地区有大面积种植,是对沿海滩涂进行土壤改良的先锋植物[4–5]。
施肥是提高作物产量的根本手段,也是改善土壤质量的主导因素。化肥的施用是保障作物高产优质的重要措施,但长期大量或过量地施用化肥会造成土壤盐渍化、酸化、板结、污染和土壤生物多样性降低等一系列土壤及生态环境问题,不利于我国农业生产的可持续发展[6–7]。有机无机肥配施一直以来是盐碱化农田改良增肥的研究热点,也是研究进展较为迅速的领域之一[8]。有机肥与无机肥相结合,在土壤培肥、地力提升与作物增产方面优于二者单独施用[9]。有机肥肥效释放缓慢,单独施用难以保障作物正常生长发育的需要,而有机肥和化肥配合施用,结合了化肥的速效性和有机肥的持久性的特点[10]。增施有机肥不仅可以改善土壤结构,进而促进土壤排盐并抑制返盐,而且增强了土壤的保水保肥能力[11]。有机肥含有作物生长发育需要的氮、磷、钾等大量元素、微量元素和有机质,能促进土壤微生物活动及土壤养分的转化,有利于培肥土壤,改良土壤耕性,提高土壤肥力水平,进而促进作物生长发育[12]。
蚯蚓粪是蚯蚓将农作物秸秆或畜禽粪便等消化分解后的排泄物,其含有大量有机质、腐殖质和植物生长所需的氮、磷、钾等大量元素[13]。作为一种优质有机肥,相比常规堆肥,蚯蚓粪具有更高的酶活性和更高的稳定性,含有更多的活性成分,可发挥增强供肥性能、改良土壤、减轻病虫害的作用[14]。研究表明,施用蚯蚓粪能显著增加玉米株高、地上部和地下部的干物质量,能够有效调节土壤pH,随着蚯蚓粪比例的增加,土壤碱解氮、有效磷和速效钾含量明显增加[15]。刘丽等[16]连续3年的研究结果显示,与施用牛粪堆制肥相比,施用蚯蚓粪肥配缓释肥的土壤全氮、全磷、有效磷和速效钾含量显著提高。此外,有研究发现,有机无机肥配施提高了大豆的产量和品质,提高了水稻在分蘖期的分蘖能力,进而提高了水稻产量[17–18]。张秀志等[19]的研究结果表明,有机无机肥配施降低了土壤pH,提高了土壤的养分水平,促进了果树的生长发育,改善了果实的品质。尤彩霞等[20]的研究表明,有机无机肥配施有利于提高土壤酶活性,促进植物生长和对土壤养分的吸收利用。
目前,有关有机无机肥配施对滨海脱盐土土壤性质、菊芋生长及各器官氮、磷、钾元素含量的影响等尚无较系统的报道。为此,本研究以菊芋为研究对象,研究了有机肥和复合肥配施下对滨海脱盐土土壤性质、菊芋生长发育、植株各器官养分含量的影响,探究了施肥与土壤性质、植株养分吸收的作用机制,以筛选合理高效的有机无机肥配施方案,为滨海菊芋高效精准栽培提供科学依据,为农业的可持续发展提供支持。
1 材料与方法 1.1 试验地概况试验区位于江苏省东部沿海地区大丰区(33°2′19"N,120°8′37"E),该区属热带向暖温带过渡的典型季风气候,雨量充沛,年均气温为13.7 ~ 14.8 ℃,年降水量为900 ~ 1 100 mm。试验地土壤基本理化性质为:pH 8.42,可溶性盐3.12 g/kg,有机质7.17 g/kg,碱解氮27.38 mg/kg,有效磷3.42 mg/kg,速效钾0.13 g/kg,全氮0.48 g/kg,全磷0.81 g/kg,全钾16.58 g/kg。
1.2 试验设计试验于2021年3月—12月进行,以菊芋为试验对象,设置蚯蚓粪(有机质2.33 g/kg、全氮0.12 g/kg、全磷0.08 g/kg、全钾0.13 g/kg)和无机复合肥(硫酸钾型复合肥(N–P2O5–K2O=17–17–17))2个因素,蚯蚓粪3水平(0、7.5、15.0 t/hm2),复合肥3水平(0、300、600 kg/hm2),共9个处理,按随机区组排列。菊芋垄沟种植,每行种植30株,种植行距60 cm,株距50 cm,每个处理种植3行,进行常规田间管理。具体的试验处理如表 1所示。
|
|
表 1 试验处理 Table 1 Experimental treatment |
分别于菊芋幼苗期和开花期进行采样,于成熟期收获块茎。采样时忽略边界植株,每个处理分散采集生长状况良好、长势接近的3株,去除表面浮土,整株拔起,尽可能保证根系完整,并将根系周围的土壤迅速装入已编号的无菌自封袋,保存于保温箱中,尽快转移到实验室。植株样称重后进行根、茎、叶分离,分别装于信封内。所有的土壤样品在去除残留植物根系、动物残骸及其他杂质后,将土样混合均匀后风干过筛,室温保存,用于土壤理化性质的测定。
1.4 测定指标与方法 1.4.1 土壤性质的测定采用pH计测定土壤pH(水土质量比为5:1);采用电导率仪测定土壤可溶性盐含量(水土质量比为5:1);采用碱解扩散法测定土壤碱解氮含量;采用乙酸铵浸提法,使用ICP-OES测定土壤速效钾含量;采用碳酸氢钠–钼锑抗比色法测定土壤有效磷含量。
1.4.2 植株生长指标的测定卷尺测量株高(植物根颈部至顶端叶尖的距离);游标卡尺测量茎粗(茎与地面接触部位的直径);YMJ-B叶面积测量仪测定叶面积(全株最大叶片的面积);电子天平测定菊芋单株鲜重、地上部鲜重和块茎产量;植株于105 ℃杀青30 min后,75 ℃烘至恒重,电子天平测定菊芋单株干重。
1.4.3 植株养分含量的测定采用H2SO4-H2O2消化法消解植株样品,通过连续流动分析仪(Auto Analyer AA3,Germany)测定植株各器官全氮含量,通过电感耦合等离子体发射光谱仪(Agilent 700 Series ICP-OES,USA)测定植株各器官全磷和全钾含量。
1.5 数据处理采用Excel 2019软件进行数据整理,采用SPSS 26.0软件进行单因素方差分析和差异显著性检验(Duncan’s法,P < 0.05),采用Origin 2022软件进行绘图。
2 结果与分析 2.1 不同施肥处理对土壤理化性质的影响 2.1.1 不同施肥处理对土壤可溶性盐和pH的影响随菊芋生育进程推进,土壤可溶性盐含量降低,各施肥处理在菊芋开花期均显著低于CK处理(P < 0.05,图 1)。T6处理的可溶性盐含量在幼苗期和开花期均最低,分别为0.28和0.29 g/kg,较CK处理分别显著降低37.0% 和27.16%(P < 0.05)。土壤pH介于8.35 ~ 8.80,在开花期有机无机肥配施处理的pH显著低于CK处理,其中T5、T7和T8处理的pH较低,分别为8.40、8.35和8.44,较CK处理分别显著降低2.89%、3.54% 和2.50%(P < 0.05),而3处理间差异不显著。
|
(图中不同小写字母代表同一生育期不同施肥处理在P < 0.05水平上差异显著;下同) 图 1 不同施肥处理对土壤可溶性盐含量(A)和pH (B)的影响 Fig. 1 Soil soluble salt contents (A) and pH (B) under different fertilization |
由图 2可知,随菊芋生育进程推进,土壤碱解氮、速效钾含量大多上升,在生育后期T1、T2处理的有效磷、速效钾含量较低。幼苗期各施肥处理碱解氮含量低于CK处理,但随生育进程推进CK处理的碱解氮含量下降,开花期各施肥处理碱解氮含量高于CK处理,其中T5处理的碱解氮含量最高,为38.53 mg/kg,较CK处理显著增加37.92%(P < 0.05)。在开花期,随着施肥量的增加,土壤中的有效磷含量也随之增加;T1、T2处理的有效磷含量明显降低,显著低于其他施肥处理。幼苗期T5处理的有效磷含量最高,为20.02 mg/kg,较CK处理显著增加864.18%(P < 0.05)。CK处理的速效钾含量波动较大,在开花期明显上升,T1处理的速效钾含量在开花期降低,有机无机肥配施处理的速效钾含量略有上升;T3处理幼苗期和开花期的速效钾含量均较高,分别为0.24和0.34 g/kg,显著高于其他施肥处理(P < 0.05)。
|
图 2 不同施肥处理对土壤碱解氮(A)、有效磷(B)、速效钾(C)含量的影响 Fig. 2 Contents of soil alkaline nitrogen (A), available phosphorus (B) and available potassium (C) under different fertilization |
随生育进程推进,菊芋的株高、茎粗、单株鲜重和干重增加,叶面积减小,CK处理由于不施肥各时期株高、茎粗、单株鲜重和干重均最小(表 2)。幼苗期各施肥处理的株高均显著高于CK处理,开花期有机无机肥配施处理株高显著高于单施无机肥处理和CK处理,T5、T7和T8处理的株高较高,分别为291.67、305.30和294.43 cm,较CK处理分别显著增加32.70%、38.90% 和33.96%(P < 0.05),而3处理间差异不显著。T5处理幼苗期和开花期的茎粗均最大,分别为28.18和25.50 mm,较CK处理分别显著增加88.87% 和99.24%(P < 0.05),说明T5处理对菊芋茎粗的改善效果较好。幼苗期T2、T5和T8处理叶面积较大,分别为139.37、137.57和147.15 cm2,较CK处理分别显著增加53.14%、51.16% 和61.68%(P < 0.05),但3处理间差异不显著。幼苗期T2和T5处理单株鲜重和干重均较大,显著大于CK处理(P < 0.05),但两处理间差异不显著;开花期T5和T6处理的单株干重较大,分别为419.18和421.7 1 g,较CK处理分别显著增加422.77%和425.93% (P < 0.05),但两处理间差异不显著。综合菊芋株高、茎粗、叶面积、单株鲜重和干重以及施肥量,T5处理优于其他处理。
|
|
表 2 不同施肥处理对菊芋生长指标的影响 Table 2 Growth indexes of Jerusalem artichoke under different fertilization |
由图 3可知,有机无机肥配施对块茎产量和地上部生物量具有重要影响。CK处理由于不施肥,其块茎产量和地上部生物量均显著低于施肥处理,在一定范围内,随着施肥量的增加,块茎产量和地上部生物量也随之增加。与单施无机肥相比,有机无机肥配施可显著提高菊芋的产量和生物量,其中T5处理的块茎产量和地上部生物量均最大,分别为1.84和0.38 kg,较CK处理分别显著增加218.16% 和186.08% (P < 0.05)。
|
图 3 不同施肥处理对菊芋块茎产量(A)和地上部生物量(B)的影响 Fig. 3 Jerusalem artichoke tuber yields(A)and aboveground fresh mass(B) under different fertilization |
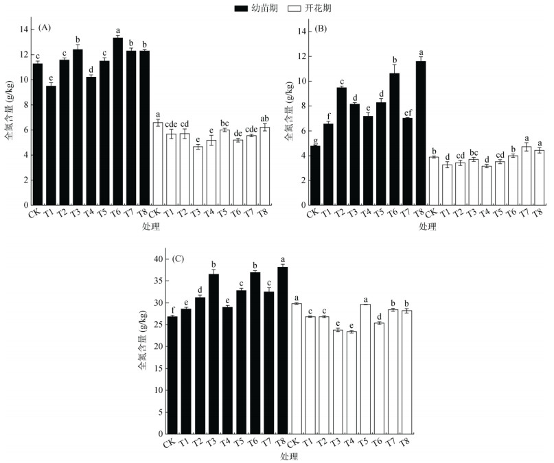
由图 4可知,随生育进程推进,菊芋根、茎、叶中的全氮含量降低,说明生育后期植株对氮素的需求降低。在不同生育阶段,各器官中的全氮含量由大到小依次为叶、根、茎。
|
图 4 不同施肥处理对菊芋根(A)、茎(B)、叶(C)中全氮含量的影响 Fig. 4 Total nitrogen contents in Jerusalem artichoke roots (A), stems (B) and leaves (C) under different fertilization |
在幼苗期,T6处理根的全氮含量最高,为13.35 g/kg,较CK处理显著增加18.34%;T8处理茎和叶的全氮含量均最高,分别为11.61 g/kg和38.16 g/kg,较CK处理分别显著增加142.60% 和42.19%(P < 0.05)。在开花期,绝大多数施肥处理根和叶的全氮含量显著小于CK处理(P < 0.05),但T5处理叶的全氮含量和T8处理根的全氮含量与CK处理差异不显著。
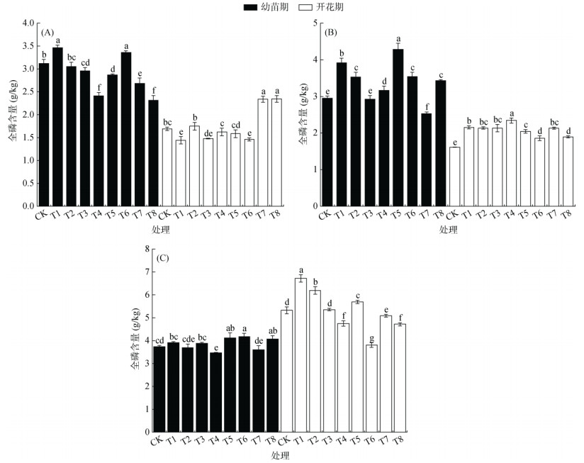
2.4.2 不同施肥处理对植株各器官全磷含量的影响由图 5可知,随生育进程推进,菊芋根和茎中全磷含量降低,叶中的全磷含量升高,说明生育后期叶对磷的需求增加。在不同生育阶段,各器官中的全磷含量由大到小依次为叶、茎、根。
|
图 5 不同施肥处理对菊芋根(A)、茎(B)、叶(C)中全磷含量的影响 Fig. 5 Total phosphorus contents in Jerusalem artichoke roots (A), stems (B) and leaves (C) under different fertilization |
在幼苗期,T1处理根的全磷含量最高,为3.46 g/kg,较CK处理显著增加11.07%(P < 0.05);T5处理茎的全磷含量最高,为4.28 g/kg,较CK处理显著增加45.04%(P < 0.05);T5、T6和T8处理叶的全磷含量较高,分别为4.12、4.18和4.07 g/kg,较CK处理分别显著增加10.05%、11.76% 和8.74%(P < 0.05),而3处理间差异不显著。在开花期,T8处理根的全磷含量最高,为2.35 g/kg,较CK处理显著增加38.92% (P < 0.05);T4处理茎的全磷含量最高,为2.34 g/kg,较CK处理显著增加45.34%(P < 0.05);T1处理叶的全磷含量最高,为6.72 g/kg,较CK处理显著增加26.27% (P < 0.05)。
2.4.3 不同施肥处理对植株各器官全钾含量的影响由图 6可知,随生育进程推进,菊芋根、茎、叶中的全钾含量降低,在不同生育阶段,各器官中的全钾含量大小关系不同。
|
图 6 不同施肥处理对菊芋根(A)、茎(B)、叶(C)中全钾含量的影响 Fig. 6 Total potassium contents in Jerusalem artichoke roots (A), stems (B) and leaves (C) under different fertilization |
在幼苗期,T1处理根的全钾含量最高,为24.99 g/kg,较CK处理显著增加35.17%(P < 0.05);T8处理茎的全钾含量最高,为61.24 g/kg,较CK处理显著增加74.04%(P < 0.05);T5处理叶的全钾含量最高,为48.56 g/kg,较CK处理显著增加7.87%(P < 0.05)。在开花期,T8处理根的全钾含量最高,为12.84 g/kg,较CK处理显著增加56.12%(P < 0.05);绝大多数处理茎的全钾含量显著小于CK处理(P < 0.05),只有T3和T7处理与CK处理差异不显著;T3、T4和T5处理叶的全钾含量较高,分别为44.37、43.88和43.53 g/kg,较CK处理分别显著增加8.74%、7.53%、6.66%(P < 0.05),而3处理间差异不显著。
3 讨论前人研究表明,有机无机肥配施处理使土壤水溶性盐含量和电导率降低[21]。李玉等[22]的研究表明有机无机肥配施显著降低了土壤pH,中高量有机肥配施化肥处理明显改善了土壤盐碱化。本研究中有机无机肥配施显著降低了土壤可溶性盐含量,且整体上呈现出随有机肥施用量的增加可溶性盐含量降低的趋势。该种趋势的形成可能是因为有机肥中富含疏松有机物质,其能够改善土壤结构,不仅有利于土壤盐分淋溶,而且能减少表层土壤毛管孔隙,减少随水分蒸发而造成的盐分表聚[23–24]。在开花期,与单施无机肥相比,有机无机肥配施处理的pH显著低于对照,说明有机无机肥配施在短时间内改善土壤碱化的效果不明显,随时间变化,对土壤pH的改善作用逐渐增强。土壤中的养分主要来自肥料中的速效成分和有机质的矿化,化肥与有机肥均能提高土壤养分水平,二者配施能结合各自优点,有效改善土壤肥力状况。前人研究表明,有机无机肥配施具有提高土壤养分等多重作用[22]。本研究表明,有机无机肥配施能显著提高土壤碱解氮、有效磷、速效钾含量含量,通常在一定范围内,随着施肥量增加,土壤中的养分含量也随之增加,但本研究中T7、T8处理的碱解氮含量及其幼苗期的有效磷含量显著低于T5处理,这可能是与植株养分吸收能力增强、养分释放速率降低或肥料成分、肥料施用量等有关。综合土壤的各项指标,T5处理能较好地改善土壤养分状况,提供充足的土壤养分,且在一定程度上减少了肥料浪费。
前人还研究表明,有机无机肥配施促进了油菜生长,提高了菜籽产量[25]。本研究表明,有机无机肥配施显著促进了菊芋的生长,与对照相比,有机无机肥配施显著增加了菊芋株高和茎粗,与单施无机肥相比,幼苗期有机无机肥配施增加了菊芋株高、茎粗和叶面积,但差异不显著,这与陈淑君[26]的研究结果类似。这可能是因为有机肥肥效释放缓慢,养分未被及时利用,使菊芋的株高、茎粗和叶面积未显著增加。唐海明等[27]的研究表明,有机无机肥配施有利于促进植株干物质积累和改善产量构成因素,从而增加水稻产量。本研究中,有机无机肥配施显著增加了菊芋鲜重和干重,与单施无机肥相比,幼苗期有机无机肥配施未能显著增加植株鲜重和干重,但到了生育后期,有机无机肥配施显著增加菊芋干重,这与李司童[28]对烤烟根系干重的研究结果相似。这可能与土壤速效养分供应有关,后期有机肥经过了矿化,养分逐渐释放,而化肥的养分释放较快,在生育后期无法满足植物生长需求。在一定范围内,菊芋生长指标及产量与施肥量呈正相关,T5处理幼苗期和开花期的茎粗、幼苗期的株高及块茎产量均最大,说明施肥过量会影响菊芋各生长指标,不能达到增产目的。综合各项菊芋生长指标,T5处理对菊芋生长的促进效果较好,为最适有机无机肥配施方案,可达到菊芋绿色高效栽培的目的。
植物的协调生长和优质高产受其对养分的吸收和分配的影响,有机无机肥配施不仅能提高作物产量,而且还能促进作物干物质的积累,从而增加养分的吸收量[29]。范茂攀等[30]的研究表明,有机无机肥配施促进了作物对氮磷钾养分的吸收,有机无机肥配施对氮磷钾的吸收明显高于单施无机肥,本研究结果与之相似。本研究中,有机无机肥配施促进了菊芋对氮磷钾养分的吸收,与单施无机肥相比,有机无机肥配施促进氮磷钾吸收的效果更好,且在生育后期有机无机肥配施的促进效果更明显。本研究还发现,随着菊芋的生长发育,有机无机肥配施处理根和茎中的养分含量降低,叶的养分含量降低幅度较小或上升,且开花期有机无机肥配施处理的养分含量整体高于单施无机肥处理,这与孙志祥等[31]的研究结果类似。说明有机无机肥配施能够协调作物对养分的吸收与分配,且对作物的作用具有一定的滞后性,也从侧面反映了有机无机肥配施对作物的长期效应[31–32]。随时间变化,植株各器官全氮含量下降,这可能是因为随着施肥作用时间的增长,促进了氮的固持,氮素释放减少,从而植株对氮素的吸收减少[33]。值得注意的是,菊芋叶片的全氮含量降低,这与孙海高[34]的研究结果一致,叶片全氮含量随着叶龄老化而降低,这可能是由于后期菊芋块茎开始生长膨大,叶片为块茎输送养分,而此种情况下根系未能及时吸收养分补充给叶片,从而导致叶片氮含量降低,这也与本研究中叶面积随生育进程减小相符。
4 结论综合考虑土壤性质和菊芋各项生长指标,本研究优选T5处理(蚯蚓粪7.5 t/hm2和复合肥600 kg/hm2),为滨海脱盐土菊芋栽培最适有机无机肥配施方案。
| [1] |
魏文杰, 程知言, 胡建, 等. 滨海盐碱地形成及离子附着形态综述[J]. 土壤通报, 2017, 48(4): 1003-1007 DOI:10.19336/j.cnki.trtb.2017.04.34 ( 0) |
| [2] |
张晓东, 鲁雪林, 吴哲, 等. 生态有机肥配施对滨海盐渍化土壤性质和玉米产量的影响[J]. 河北农业科学, 2021, 25(2): 53-60 ( 0) |
| [3] |
李建国, 濮励杰, 朱明, 等. 土壤盐渍化研究现状及未来研究热点[J]. 地理学报, 2012, 67(9): 1233-1245 ( 0) |
| [4] |
曹力强. 菊芋的特征特性及栽培[J]. 农业科技与信息, 2008(11): 57 DOI:10.3969/j.issn.1003-6997.2008.11.036 ( 0) |
| [5] |
胡涛, 刘泽鑫, 张晓. 改良东部滨海盐碱地的优良作物-菊芋[J]. 农村经济与科技, 2017, 28(11): 62-63 DOI:10.3969/j.issn.1007-7103.2017.11.021 ( 0) |
| [6] |
Lal R. Soil carbon sequestration impacts on global climate change and food security[J]. Science, 2004, 304(5677): 1623-1627 DOI:10.1126/science.1097396 ( 0) |
| [7] |
巨晓棠, 谷保静. 我国农田氮肥施用现状、问题及趋势[J]. 植物营养与肥料学报, 2014, 20(4): 783-795 ( 0) |
| [8] |
孟琳, 张小莉, 蒋小芳, 等. 有机肥料氮替代部分无机氮对水稻产量的影响及替代率研究[J]. 植物营养与肥料学报, 2009, 15(2): 290-296 DOI:10.3321/j.issn:1008-505X.2009.02.007 ( 0) |
| [9] |
高洪军, 朱平, 彭畅, 等. 等氮条件下长期有机无机配施对春玉米的氮素吸收利用和土壤无机氮的影响[J]. 植物营养与肥料学报, 2015, 21(2): 318-325 ( 0) |
| [10] |
刘秀春. 南果梨养分吸收积累分配特征与施肥调控研究[D]. 北京: 中国农业大学, 2015.
( 0) |
| [11] |
河南省水利厅水利科学研究所. 向盐碱地要粮[J]. 农田水利与农林水电, 1959(6): 7, 23 ( 0) |
| [12] |
林治安, 赵秉强, 袁亮, 等. 长期定位施肥对土壤养分与作物产量的影响[J]. 中国农业科学, 2009, 42(8): 2809-2819 DOI:10.3864/j.issn.0578-1752.2009.08.021 ( 0) |
| [13] |
王旋. 指纹图谱在蚯蚓粪化学成分研究中的应用[D]. 杨凌: 西北农林科技大学, 2018.
( 0) |
| [14] |
Aynehband A, Gorooei A, Moezzi A A. Vermicompost: An eco-friendly technology for crop residue management in organic agriculture[J]. Energy Procedia, 2017, 141: 667-671 DOI:10.1016/j.egypro.2017.11.090 ( 0) |
| [15] |
张聪俐, 戴军, 周波, 等. 不同比例蚓粪对玉米生长以及土壤肥力特性的影响[J]. 华南农业大学学报, 2013, 34(2): 137-143 ( 0) |
| [16] |
刘丽, 郭宝贝, 刘娟桃, 等. 蚯蚓粪肥对'玉露香梨'果实品质及土壤理化性状和酶活性的影响[J]. 中国农学通报, 2019, 35(20): 38-43 ( 0) |
| [17] |
孟琳, 王强, 黄启为, 等. 猪粪堆肥与化肥配施对水稻产量和氮效率的影响[J]. 生态与农村环境学报, 2008, 24(1): 68–71, 76 ( 0) |
| [18] |
朱宝国, 于忠和, 王囡囡, 等. 有机肥和化肥不同比例配施对大豆产量和品质的影响[J]. 大豆科学, 2010, 29(1): 97-100 ( 0) |
| [19] |
张秀志, 郭甜丽, 焦学艺, 等. 商品有机肥配施对果园土壤肥力和"蜜脆"苹果果实品质的影响[J]. 西南大学学报(自然科学版), 2022, 44(1): 65-74 ( 0) |
| [20] |
尤彩霞, 陈清, 任华中, 等. 不同有机肥及有机无机配施对日光温室黄瓜土壤酶活性的影响[J]. 土壤学报, 2006, 43(3): 521-523 ( 0) |
| [21] |
王涵. 不同有机物料对滨海盐碱土改良效果的研究[D]. 长春: 吉林农业大学, 2018.
( 0) |
| [22] |
李玉, 田宪艺, 王振林, 等. 有机肥替代部分化肥对滨海盐碱地土壤改良和小麦产量的影响[J]. 土壤, 2019, 51(6): 1173-1182 ( 0) |
| [23] |
Mikha M M, Rice C W. Tillage and manure effects on soil and aggregate-associated carbon and nitrogen[J]. Soil Science Society of America Journal, 2004, 68(3): 809-816 ( 0) |
| [24] |
南江宽, 陈效民, 王晓洋, 等. 石膏与肥料配施对滨海盐土降盐抑碱的效果研究[J]. 南京农业大学学报, 2014, 37(4): 103-108 ( 0) |
| [25] |
熊廷浩, 资涛, 张嫒, 等. 化肥减量条件下不同有机肥用量对油菜养分利用和产量的影响[J]. 作物杂志, 2021(3): 133-139 ( 0) |
| [26] |
陈淑君. 有机无机肥配施对滨海盐碱土化学性状及棉花生长的影响[D]. 泰安: 山东农业大学, 2017.
( 0) |
| [27] |
唐海明, 程爱武, 徐一兰, 等. 长期有机无机肥配施对双季稻区水稻干物质积累及产量的影响[J]. 农业现代化研究, 2015, 36(6): 1091-1098 ( 0) |
| [28] |
李司童. 蚯蚓粪替代部分化肥对土壤性状及烤烟生长与品质的影响[D]. 杨凌: 西北农林科技大学, 2018.
( 0) |
| [29] |
Adeniyan O, Ojo A O, Akinbode, et al. Comparative study of different organic manures and NPK fertilizer for improvement of soil chemical properties and dry matter yield of maize in two different soils[J]. Journal of Soil Science and Environmental Management, 2011, 2: 9-13 ( 0) |
| [30] |
范茂攀, 汤利, 徐智, 等. 有机无机配施对生菜养分吸收和氮肥利用率的影响[J]. 中国农学通报, 2013, 29(1): 89-93 ( 0) |
| [31] |
孙志祥, 李敏, 韩上, 等. 有机肥部分替代化肥和秸秆还田对双季稻产量、养分吸收及土壤肥力的影响[J]. 安徽农业大学学报, 2020, 47(6): 1012-1016 ( 0) |
| [32] |
尹彩侠, 孔丽丽, 李前, 等. 优化施肥条件下有机肥部分替代化肥对水稻产量、养分吸收及转运的影响[J]. 东北农业科学, 2020, 45(6): 59-63 ( 0) |
| [33] |
李文涛, 于春晓, 张丽莉, 等. 有机无机配施对水稻产量及氮肥残效的影响[J]. 中国土壤与肥料, 2022(1): 63-72 ( 0) |
| [34] |
孙海高. 有机无机肥配施对葡萄果实品质和主要矿质营养影响研究[D]. 北京: 中国农业科学院, 2020.
( 0) |
2023, Vol. 55



0)