2. 内蒙古自治区土壤质量与养分资源重点实验室, 呼和浩特 010011;
3. 农业生态安全发展与绿色发展自治区高等学校重点实验室, 呼和浩特 010018;
4. 巴林右旗农牧技术推广中心, 内蒙古赤峰 025150
人类活动目前正在对全球环境产生巨大影响。自工业革命以来,农业和工业生产等人为来源的氮输入快速增长, 加速了全球大气氮沉降并导致一系列生态环境问题[1-2]。与2000年相比,预计到2030年氮沉降量将增加50% ~ 100%[3], 而2050年全球平均氮沉降速率将增加到1860年的6倍[4]。中国是全球三大氮沉降热点地区之一[5]。氮沉降可以提高受氮限制的生态系统生产力,但过量的氮沉降会对陆地和水生生态环境造成不利的影响,包括土壤酸化[6]、水体富营养化[7]和生物多样性减少[8]等。燃烧化石燃料和不合理使用人力资源造成温室气体排放大量增加,导致全球降水格局发生变化,北半球中纬度地区年降水量整体增加[9],而我国降水量表现出区域性特征,东北南部和西南部地区降水减少,西部地区降水增加[10]。人为干扰带来的全球气候变化影响着生态系统,而土壤微生物在生态系统中发挥着关键作用,因此,近年来土壤微生物对环境变化的响应得到越来越多的关注。
丛枝菌根(Arbuscular Mycorrhizal, AM)真菌属于球囊菌门,是一种广泛存在的古老根系相关微生物[11],可以与大多数植物形成菌根共生,从而促进植物养分吸收、提高植物的多种抗逆性、影响地上及地下生物群落结构、改善土壤结构、调控生物地球化学循环等[12-15]。AM真菌参与土壤有机氮矿化、磷形态转化和生物周转过程,并通过菌丝将矿质养分元素运输至植物体内[16],同时,还参与全球碳循环,通过影响有机质分解速率,成为土壤碳储存的关键因素[17]。因此,AM真菌对未来环境变化的响应有助于缓解气候变化。近年来,鉴于氮沉降过量对陆地生态系统的严重威胁和AM真菌重要的生态功能,国内外学者就土壤AM真菌对于氮沉降的响应进行了大量研究。许多研究发现,随着氮沉降的增加,AM真菌丰富度、分类多样性和系统发育多样性降低[18-19]。Williams等[20]研究发现,氮添加降低了AM真菌的丰度、丰富度和多样性。Zheng等[21]与Kim等[22]的研究表明,氮添加对AM真菌有积极影响[21],增加了AM真菌的丰富度和多样性。施氮对AM真菌群落影响的差异可能是由于土壤养分有效性(氮和磷)、寄主植物(组成和多样性)和试验变量(施氮的形式、数量和持续时间)的差异造成的[23]。此外,降水是形成AM真菌群落的重要驱动因素[24]。在干旱和半干旱生态系统,水分有效性是生物多样性和生态系统功能的主要限制因素[25]。水分调控研究表明,降水量的增加会影响生态系统中植物和微生物群落[26]。与一年生植物相比较,多年生植物虽然依赖外生菌根真菌对养分和水分进行吸收,但也依赖AM真菌对养分和水分的吸收[27-28]。Li等[29]研究发现,降水增加对草原生态系统中AM真菌孢子密度和多样性有中性影响。此外,降水增加显著改变了草地生态系统AM真菌群落组成[30]。
综上所述,降水变化和氮沉降是影响植物、微生物和土壤环境变化的两个重要方面。尽管AM真菌在陆地生态系统中起着至关重要的作用,但人们对降水变化和氮添加如何交互影响AM真菌群落仍知之甚少。因此,研究降水格局变化和大气氮沉降之间的交互作用对土壤AM真菌的影响具有重要的实际意义。短花针茅荒漠草原是我国温带荒漠草原分布最集中、最具代表性的生态系统类型之一,是对全球变化反应较为敏感的生态系统[31]。在全球变化背景下,通过水氮控制试验,分析荒漠草原生态系统降水变化和氮沉降对土壤AM真菌群落的影响,探讨水氮控制对植物-土壤-AM真菌系统的作用机制,有利于理解地下生态过程的作用与反馈,为草原生态系统保护和生态恢复建设提供科学依据。
1 材料与方法 1.1 试验区概况试验区位于内蒙古短花针茅草原生态系统野外科学试验基地,地理坐标为41°47′ N,111°53′ E,海拔1 450 m,地形平坦开阔,无地表径流。该地区属于温带大陆性干旱半干旱气候,年平均气温3.4 ℃,年降水量280 mm,降水主要集中在6—9月,占全年总降水的70% 以上,蒸发量是降水量的7倍~ 10倍,降水是该地区土壤水分补给的唯一方式。试验区主要植被类型为荒漠草原,建群种为短花针茅(Stipa breviflora),优势种为无芒隐子草(Cleistogenes songorica),土壤类型为淡栗钙土,土壤养分贫瘠,具有高钾、低磷和少氮的特点。
1.2 试验设计选择地形开阔、植被较均匀的地段作为试验样地,四周用围栏保护。水氮控制试验采用裂区设计,主区为自然降雨(CK)、增雨30%(W)和减雨30%(R) 3个水分梯度。其中,增雨试验分别在每年5—8月的1—3日进行,通过多年对荒漠草原降雨量监测并建立模型预测未来降雨量,增加量为近5年(5月18.4%、6月17.0%、7月28.3%、8月36.3%)平均降雨量的30%,通过流量表加喷头,自制喷灌系统模拟增雨;减雨试验通过减水架减少当地年平均降水量的30%。减水架由条状凹槽式亚克力板构成,亚克力板遮挡面积占小区面积的30% 达到减水30%。副区根据当地氮沉降情况并参考国际上同类研究的处理方法,设置0(N0)、30(N30)、50(N50)、100(N100) kg/(hm2∙a)4个氮添加水平,其中不包括大气氮沉降。施氮处理按照施氮量换算成小区硝酸铵(NH4NO3)施用量。为尽可能均匀施氮,在生长季5—9月每月1次将每个小区施用的硝酸铵溶于30 L水中(在增雨处理之后),均匀喷洒在每个小区内,N0处理喷洒等量的水;在非生长季(10月—翌年4月)每月将每个小区施用的硝酸铵与风干土(土壤颗粒直径 < 2 mm)按肥土质量比1∶10的比例充分混匀,在无风时以模拟干沉降的方式直接撒施。试验共12个处理,4次重复。每个处理小区面积为7 m×7 m,各小区间设置2 m隔离带。试验于2015年12月开始进行。
1.3 样品采集于2021年8月在各试验小区内使用事先消毒灭菌的直径为1 cm的土钻采集0 ~ 10 cm表层土壤。每个小区按“S”型布设取30个样点,各样点土壤充分混匀,剔除动植物残体后,一部分存于–80 ℃冰箱用于微生物高通量测序分析,一部分自然风干后分别过2、0.15 mm筛用于测定土壤理化性质。
植物群落于2021年8月中旬进行调查。在不同小区随机选择0.5 m×0.5 m样方,将植物齐地面分物种剪下后装入信封袋带回实验室称其鲜重,后采用烘干法在105 ℃杀青30 min,75 ℃烘干24 h,称其干重。
1.4 测定方法AM真菌高通量测序:称取0.5 g冷冻土样,用Fast DNA SPIN Kit for soil(MP,USA)试剂盒,按照说明书进行总DNA提取,以NanoDrop 2000进行DNA浓度和纯度的检测;以AML1F/AML2R和AMV4-5NF/AMDGR进行两轮PCR扩增。利用Illumina公司的Miseq PE250平台进行测序(上海美吉生物医药科技有限公司)。
土壤理化性质的测定:土壤pH采用电位法(酸度计STARTER 2100型,m土∶V水=1∶5)进行测定;有机质采用重铬酸钾–容量法测定;土壤速效氮采用2 mol/L KCl浸提,提取的硝态氮(NO3--N)、铵态氮(NH4+-N)含量采用流动注射分析仪(AA3)测定;有效磷采用碳酸氢钠浸提–钼锑抗比色法测定;土壤含水量采用烘干法测定。
1.5 数据处理与统计分析采用Excel 2010软件进行数据整理及图表制作;运用SPSS 22.0对不同氮添加处理的各项指标进行单因素方差分析(One-way ANOVA),并用LSD法进行差异显著性检验,显著水平为P < 0.05;使用QIIME软件计算样品的多样性指数(ACE指数、Chao1指数、Shannon指数和Simpson指数);利用Origin 9.0软件进行Pearson相关性分析;主坐标(PCoA)分析采用Bray-Curtis算法,表示不同处理下群落组成的变化。
2 结果与分析 2.1 氮沉降、降水变化及相互作用对AM真菌群落的影响 2.1.1 AM真菌Alpha多样性的变化由图 1可知,AM真菌ACE指数在W(增雨)条件下显著高于CK(自然降雨)和R(减雨)条件下(P < 0.05),在W和R条件下AM真菌ACE指数和Chao1指数在施氮后均呈下降趋势。其中,在R条件下N100处理的ACE指数和Chao1指数均显著低于N0处理(P < 0.05);在CK条件下,N50处理的ACE指数和Chao1指数均高于N0处理,但差异不显著(P > 0.05)。Chao1指数和Shannon指数在R条件下显著低于W和CK条件下(P < 0.05)。在W条件下,AM真菌Shannon指数在施氮条件下呈现升高趋势,但无显著差异(P > 0.05);在CK和R条件下Shannon指数在施氮条件下均呈现下降趋势,其中CK条件下N100处理的Shannon指数显著低于N0处理(P < 0.05)。AM真菌Simpson指数在W条件下显著低于R条件下(P < 0.05),且在3种水分条件下的变化趋势一致,均随施氮水平的增加呈升高趋势,但差异不显著(P > 0.05)。
|
(图中不同大写字母表示不同水分处理之间差异显著(P < 0.05),不同小写字母表示同一水分处理下不同氮素处理之间差异显著(P < 0.05)) 图 1 不同处理AM真菌群落多样性及组成 Fig. 1 AMF community diversities and compositions under different treatments |
采用主坐标分析方法对各处理AM真菌在OTU水平上进行分析,评估AM真菌群落间的差异。由图 2A可以看出,PC1贡献率为23%,PC2贡献率为16%,在PC1横轴方向,W-N30(表示增雨条件下N30处理,以下类同)处理主要位于正半轴且与W-N0、W-N50和W-N100处理均存在较远距离。从图 2B可以看出,PC1和PC2对真菌群落结构变异的解释量分别为23% 和22%,CK-N30和CK-N50处理分布较为集中,与CK-N0和CK-N100处理距离较远。从图 2C可以看出,PC1和PC2对土壤AM真菌群落结构变异的解释量分别为23% 和17%,R-N30、R-N50和R-N100处理分布较为集中,R-N0处理与其他处理间距离较远,表明施肥后真菌群落结构发生了一定程度的改变。PERMANOVA分析表明,水分变化解释了18.3% 的真菌群落变化,相反氮素处理对真菌群落的影响较弱,仅解释了10.9% 的真菌群落变化,而水氮互作解释了38.3% 的真菌群落变化。
|
(*、**、***分别表示在P < 0.05、P < 0.01、P < 0.001水平影响显著) 图 2 AM真菌群落主坐标分析 Fig. 2 Principal co-ordinates analysis of AMF community structure |
本研究高通量测序共获得1 335 939条有效序列,经对比,共得到165个OUT (操作分类单元),隶属于1个门1个纲4个目4个科4个属29个种。图 3显示,土壤AM真菌群落在种水平上物种组成相对丰度较高的群体分别为Glomeraceae(33.5% ~ 50.9%)、VTX00193(1.3% ~ 10.6%)、VTX00304(6.8% ~ 14.5%)、VTX00063(4.2% ~ 13.9%)、VTX00222(2.4% ~ 7.5%)和VTX00104(4.1% ~ 27.0%),占总丰度90% 以上。在W条件下,随着氮添加的逐渐增加,Glomeraceae和VTX00193相对丰度逐渐降低;VTX00304相对丰度呈现先降低后升高的趋势,在N30处理出现拐点;VTX00063和VTX00104相对丰度逐渐升高;VTX00222相对丰度则无显著变化。在CK条件下,随着氮添加水平升高,Glomeraceae和VTX00304相对丰度呈现降低趋势;VTX00193相对丰度则无显著变化;VTX00063相对丰度呈现先降低后升高的趋势,在N30处理出现拐点;VTX00222相对丰度呈现先升高后降低的趋势,在N30处理出现拐点;VTX00104相对丰度呈现升高趋势。在R条件下,随着氮添加量的逐渐增加Glomeraceae和VTX00193相对丰度呈降低趋势;VTX00304相对丰度呈现先升高后降低的趋势,在N50处理出现拐点;VTX00063和VTX00104相对丰度呈现升高趋势;VTX00222相对丰度呈现先降低后升高的趋势,在N50处理出现拐点。
|
图 3 AM真菌群落在种水平上的相对丰度 Fig. 3 Relative abundance of AMF community at species level |
由表 1可见,水氮控制对土壤的理化性质产生了一定影响。3种水分条件下,土壤有机质含量均呈先升高后下降的趋势,拐点出现在N50处理,在W和CK条件下,N50处理土壤有机质含量较N0处理分别增加了10.5% 和13.8%,差异显著(P < 0.05)。随施氮量增加,土壤硝态氮、铵态氮、有效磷含量显著增加,且在相同氮素添加水平下,均表现为R > CK > W趋势。随施氮量增加土壤pH降低,3种水分条件下N100处理的pH均显著低于N0处理(P < 0.05)。相同氮素添加水平下,土壤含水量表现为W > CK > R趋势。
|
|
表 1 水氮控制对土壤理化性质的影响 Table 1 Effects of water and nitrogen control on soil physiochemical properties |
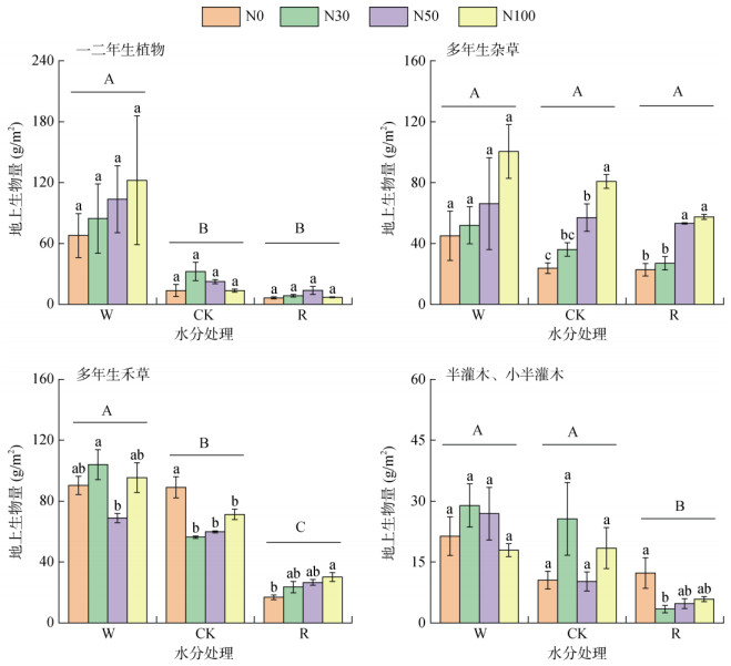
地上生物量按植物生活型表现为多年生禾草 > 一二年生植物 > 多年生杂草 > 半灌木、小半灌木。一二年生植物生物量在W条件下显著高于CK和R条件下(P < 0.05),在各水分条件下随着氮添加量增加呈增加趋势,但差异不显著(P > 0.05)。多年生杂草地上生物量在3种水分条件下无显著差异(P > 0.05),在CK和R条件下N50和N100处理的地上生物量显著高于各自的N0处理(P < 0.05)。多年生禾草地上生物量在3种水分条件下有显著差异(P < 0.05),在W和R条件下随氮添加量增加呈增加的趋势,在R条件下N100处理显著高于N0处理(P < 0.05);在CK条件下随着氮素添加量增加呈减小的趋势,N30、N50及N100处理均显著低于N0处理(P < 0.05)。半灌木、小半灌木生物量在R条件下显著低于W和CK条件下(P < 0.05),在W和CK条件下随着氮添加量增加地上生物量呈先增加后减少的趋势,且拐点出现在N30处理,但在R条件下N30处理的生物量达到最低值。相同氮素添加条件下,各生活型植物生物量均呈W > CK > R。
|
(不同大写字母表示不同水分处理之间差异显著(P < 0.05),不同小写字母表示同一水分处理下不同氮素处理之间差异显著(P < 0.05)) 图 4 不同处理对各生活型植物地上生物量的影响 Fig. 4 Aboveground biomass of various plants under different treatments |
由图 5可以看出,ACE指数与一二年生植物生物量、植物群落丰富度和土壤含水量呈显著正相关,与多年生禾草生物量、植物群落多样性和土壤pH呈极显著正相关。Chao 1指数与半灌木、小半灌木生物量、土壤含水量和土壤pH呈显著正相关,与一二年生植物生物量、多年生禾草生物量、植物群落多样性和植物群落丰富度呈极显著正相关。Shannon指数与一二年生植物生物量和植物群落丰富度呈显著正相关,与多年生禾草生物量、植物群落多样性、土壤含水量和土壤pH呈极显著正相关。Simpson指数与多年生禾草、半灌木及小半灌木生物量、植物群落多样性和土壤含水量呈显著负相关。Diversisporaceae与一二年生植物、半灌木及小半灌木生物量和土壤pH呈显著正相关。Glomeraceae与植物群落多样性和土壤含水量呈显著负相关。
|
(Diversisporaceae为多型孢子菌科;Glomeraceae为球囊霉科;Paraglomeraceae为类球囊霉科;unclassified_c__Glomeromycetes为未分类–球囊菌纲;*、**、***分别表示在P < 0.05、P < 0.01、P < 0.001水平显著相关) 图 5 AM真菌丰度与植物及土壤特性的相关性 Fig. 5 Correlation between AMF abundance with plant and soil characteristics |
短花针茅荒漠草原是草原向荒漠过渡的生态系统,对全球气候变化较为敏感[31],土壤环境易受降水变化和氮沉降的影响而发生变化。已有研究表明,土壤碳、氮、磷是许多生态系统生产力和物质循环的主要限制因素[32]。本研究中,氮添加降低了土壤pH,低氮添加下土壤pH未发生显著变化,是因为土壤具有一定的缓冲能力,可以使其pH保持稳定[33];但高氮添加下,土壤铵态氮含量增加,土壤硝化作用增强,从而释放更多的H+,使土壤pH显著降低[34]。在相同氮添加条件下,土壤pH呈W > CK > R的趋势,降水变化通过改变土壤含水量,影响土壤中缓冲溶液浓度,致使土壤pH发生变化。本研究结果还表明,土壤有机质含量在各水氮处理间无显著差异,随降水量和氮添加的增加而呈上升趋势,这可能是因为水分和氮沉降共同促进了植物生长,增加了凋落物产量,使得向土壤输入的有机碳增加;此外,氮添加能够降低稳定性碳的矿化速率,减少土壤碳的输出,并且通过促进土壤腐殖质的形成使有机碳积累[35]。本研究中,土壤硝态氮含量随土壤含水量的增加呈显著下降趋势。Zhou[36]等研究认为,增加降水可以通过调节土壤孔隙度大小使氮素在土壤中转移,但水分过多会引起土壤中的氮淋溶[37],导致土壤氮含量降低,与铵态氮相较硝态氮更易淋溶。本研究中,随着氮添加量增加,土壤硝态氮含量呈上升趋势,而土壤铵态氮含量变化不显著,可能是因为样地所在的荒漠草原属于碱性土壤,土壤表层的铵态氮易以NH3形式挥发[38]。氮添加增加了土壤有效磷含量,一方面可能是由于在受氮限制的荒漠草原氮添加促进了微生物对有机质的分解,从而加速了磷素矿化和向土壤中的归还[39],另一方面氮沉降可能使土壤磷酸酶活性增强,促进土壤中含磷有机物的分解,导致土壤磷的有效性增加,使土壤有效磷含量有所提高[40]。与CK条件下相比,R条件下对有效磷的影响不明显,但W条件下显著降低了土壤有效磷含量,一方面可能是由于增雨使土壤水分有效性提高,从而促进植物生长以及对土壤养分的吸收,另一方面,试验区土壤类型为淡栗钙土,保水能力较差,连续多年增雨使试验地土壤养分淋溶增加,从而导致有效磷含量降低[41]。
3.2 降水变化和氮沉降对土壤AM真菌多样性和组成的影响水分和氮素一直是荒漠草原的主要限制因子,水氮交互作用通过改变土壤养分状况进而对土壤AM真菌群落产生影响。水氮处理下土壤AM真菌Alpha多样性变化趋势相同,可能是由于草原生态系统土壤AM真菌已经适应了持续氮素输入。本研究中,不同水分条件下,氮添加降低了ACE指数和Chao1指数,在CK和R条件下有显著差异,且呈W > CK > R的趋势。Shannon指数在W条件下,随氮添加增加而升高,但在CK和R条件下,随氮添加量增加而逐渐降低。Simpson指数在不同水分条件下,随氮添加量增加而升高,且呈R > CK > W的趋势。氮素添加能够改变土壤AM真菌群落[42],氮肥通过改变土壤养分状况进而影响AM真菌多样性。原因可能是施氮后土壤养分富集,能够满足植物自身生长需求,不需要AM真菌提供更多的养分[43],此时植物不会向AM真菌提供额外的光合产物,造成AM真菌物种内部激烈竞争,导致AM真菌多样性下降[44]。水分处理对AM真菌Alpha多样性指数有极显著影响。AM真菌具有大量的菌丝结构,可以促进植物对营养的吸收,导致其对水分的响应比较灵敏[45-46]。本研究发现,在半干旱草原,无论氮沉降与否,降水量的增加均会显著增加AM真菌多样性指数,这一结果与以往的研究结果一致,即降水增加对半干旱生态系统AM真菌多样性有正向影响[47]。在W条件下,Shannon指数随氮添加水平升高而逐渐升高,这表明水分在氮素作用的发挥中至关重要,氮素和水分对土壤AM真菌多样性的变化存在互作效应。这可能是因为降水增加导致土壤中溶解的硝态氮增加,进而降低了土壤pH[48],从而改变了土壤AM真菌多样性。Zhang等[26]研究也发现,降水增加可改变氮添加对土壤微生物群落的影响,当水分充足时,氮添加对土壤微生物存在正面效应。本研究的结果显示,长期施氮增雨改变了土壤AM真菌群落结构,这与之前很多草原生态系统中的研究结果一致[42]。这可能是因为随着氮添加而增加的有机碳会促进偏喜碳的AM真菌生长繁殖,从而导致AM真菌群落结构发生变化[49]。此外,一些研究表明,土壤pH对AM真菌以及丛枝菌根形成都会有直接影响[50],通常AM真菌喜好中性至碱性的土壤环境[49]。
Zheng等[21]在高寒草甸生态系统的研究发现,施氮通过改变土壤有机碳和植物群落来间接影响AM真菌群落。本研究相关性分析也证实AM真菌多样性与植物物种多样性显著正相关。这是由于AM真菌一方面可以通过帮助宿主植物吸收水分和养分,促进植物生长,提高植物的适应性[51],另一方面植物可以为AM真菌提供碳水化合物,促进AM真菌生长[52]。Yang等[53]在温带典型草原生态系统的研究发现,降水增加和氮添加显著改变了植物群落结构,而这个变化是由水分介导的。氮添加增加有助于植物地上生物量的增加,单一水分添加使得地上生物量增加,水氮交互作用下水分的添加有利于氮素肥效的释放,更有利于地上生物量的积累,从而改变生态系统结构和功能[54]。本研究中,各生活型植物生物量整体上呈W > CK > R,与前人对荒漠草原地上生物量研究结果相似[55];CK和R条件下,氮添加使多年生杂草的地上生物量显著增加(P < 0.05);R条件下氮添加使半灌木、小半灌木的生物量显著下降(P < 0.05);CK条件下氮添加使多年生禾草的地上生物量显著下降(P < 0.05)。同等水分条件下氮添加均有利于各生活型植物生物量的积累,而水氮交互作用下,水分可以促进氮素肥效的释放,导致生物量显著增加,R条件下则相反,但植物对氮素的吸收有一定的阈值,原因可能与植物对养分的吸收特性有关[56]。W条件下氮添加有利于一二年生植物、多年生杂草和多年生禾草生物量分配比增加,CK条件下氮添加有利于多年生杂草和半灌木、小半灌木生物量分配比增加,说明不同水氮处理对不同植物生活型生物量影响不同。
水分和氮素二者交互作用可改变土壤环境。已有研究表明,区域尺度下环境因子对AM真菌群落结构有重要影响[57]。李雪静等[52]的研究证实土壤pH是AM真菌多样性和群落结构的重要驱动因子之一。有研究表明,pH影响AM真菌的产孢率、菌丝形成和生长,进而能够改变AM真菌的群落组成[58]。同时,全球变化能够通过地上植物群落覆盖度、多样性和生产力来影响土壤AM真菌群落[59]。AM真菌是共生真菌,可以与大多数植物形成菌根共生[12]。本研究相关分析也证实AM真菌多样性与植物物种多样性显著正相关。这是由于AM真菌一方面能促进植物对土壤养分和水分的吸收,从而促进植物的生长[60],另一方面植物能够为AM真菌提供碳水化合物,促进AM真菌的生长和共生体系建成[61]。
4 结论本试验条件下,增雨处理对土壤AM真菌的Alpha多样性有促进作用,氮添加抑制了土壤AM真菌的Alpha多样性,水分增加和氮素添加的交互作用促进了AM真菌的Alpha多样性增加,并改变了土壤AM真菌群落组成。此外,多型孢子菌科的相对丰度与一二年生植物和半灌木、小半灌木生物量呈显著正相关,一二年生植物和半灌木、小半灌木生物量在氮添加和增雨处理下增加。本研究证明了AM真菌群落结构在短期气候变化下具有稳定性。此外,AM真菌丰度与各生活型植被生物量的相关性,证明了养分资源相对匮乏的生态系统中AM真菌与植被具有较强连通性。
| [1] |
Williams J J, Lynch J A, Saros J E, et al. Critical loads of atmospheric N deposition for phytoplankton nutrient limitation shifts in western U. S. mountain lakes[J]. Ecosphere, 2017, 8(10): e01955 DOI:10.1002/ecs2.1955 ( 0) |
| [2] |
Stevenazzi S, Camera C A S, Masetti M, et al. Atmospheric nitrogen depositions in a highly human-impacted area[J]. Water, Air, & Soil Pollution, 2020, 231(6): 1-19 ( 0) |
| [3] |
Reay D S, Dentener F, Smith P, et al. Global nitrogen deposition and carbon sinks[J]. Nature Geoscience, 2008, 1(7): 430-437 DOI:10.1038/ngeo230 ( 0) |
| [4] |
Galloway J N, Dentener F J, Capone D G, et al. Nitrogen cycles: Past, present, and future[J]. Biogeochemistry, 2004, 70(2): 153-226 DOI:10.1007/s10533-004-0370-0 ( 0) |
| [5] |
Wen Z, Xu W, Li Q, et al. Changes of nitrogen deposition in China from 1980 to 2018[J]. Environment International, 2020, 144: 106022 DOI:10.1016/j.envint.2020.106022 ( 0) |
| [6] |
Johnson J, Graf Pannatier E, Carnicelli S, et al. The response of soil solution chemistry in European forests to decreasing acid deposition[J]. Global Change Biology, 2018, 24(8): 3603-3619 DOI:10.1111/gcb.14156 ( 0) |
| [7] |
Zhan X Y, Bo Y, Zhou F, et al. Evidence for the importance of atmospheric nitrogen deposition to eutrophic Lake Dianchi, China[J]. Environmental Science & Technology, 2017, 51(12): 6699-6708 ( 0) |
| [8] |
Midolo G, Alkemade R, Schipper A M, et al. Impacts of nitrogen addition on plant species richness and abundance: A global meta-analysis[J]. Global Ecology and Biogeography, 2019, 28(3): 398-413 DOI:10.1111/geb.12856 ( 0) |
| [9] |
丁一汇. 中国的气候变化及其预测[M].
气象出版社, 北京, 2016
( 0) |
| [10] |
Yan Z Q, Qi Y C, Dong Y S, et al. Precipitation and nitrogen deposition alter litter decomposition dynamics in semiarid temperate steppe in inner Mongolia, China[J]. Rangeland Ecology & Management, 2018, 71(2): 220-227 ( 0) |
| [11] |
Lu M Z, Hedin L O. Global plant-symbiont organization and emergence of biogeochemical cycles resolved by evolution-based trait modelling[J]. Nature Ecology & Evolution, 2019, 3(2): 239-250 ( 0) |
| [12] |
刘蕾, 肖广敏, 王凌, 等. 设施蔬菜土壤丛枝菌根真菌多样性及群落构建的季相变化[J/OL]. 土壤学报, 2022: 1–11. (2022-08-29). https://kns.cnki.net/kcms/detail/32.1119.P.20220826.1224.004.html.
( 0) |
| [13] |
Thirkell T J, Cameron D D, Hodge A. Resolving the 'nitrogen paradox' of arbuscular mycorrhizas: Fertilization with organic matter brings considerable benefits for plant nutrition and growth[J]. Plant, Cell & Environment, 2016, 39(8): 1683-1690 ( 0) |
| [14] |
Zhang S J, Lehmann A, Zheng W S, et al. Arbuscular mycorrhizal fungi increase grain yields: A meta-analysis[J]. New Phytologist, 2019, 222(1): 543-555 DOI:10.1111/nph.15570 ( 0) |
| [15] |
Rillig M C, Mummey D L. Mycorrhizas and soil structure[J]. New Phytologist, 2006, 171(1): 41-53 DOI:10.1111/j.1469-8137.2006.01750.x ( 0) |
| [16] |
石晶晶, 张林, 江飞焰, 等. AM真菌菌丝际细菌具有固氮解磷双重功能[J]. 土壤学报, 2021, 58(5): 1289-1298 ( 0) |
| [17] |
Zhang J, Tang X L, Zhong S Y, et al. Recalcitrant carbon components in glomalin-related soil protein facilitate soil organic carbon preservation in tropical forests[J]. Scientific Reports, 2017, 7: 2391 DOI:10.1038/s41598-017-02486-6 ( 0) |
| [18] |
Chen Y L, Xu Z W, Xu T L, et al. Nitrogen deposition and precipitation induced phylogenetic clustering of arbuscular mycorrhizal fungal communities[J]. Soil Biology and Biochemistry, 2017, 115: 233-242 DOI:10.1016/j.soilbio.2017.08.024 ( 0) |
| [19] |
Camenzind T, Hempel S, Homeier J, et al. Nitrogen and phosphorus additions impact arbuscular mycorrhizal abundance and molecular diversity in a tropical montane forest[J]. Global Change Biology, 2014, 20(12): 3646-3659 DOI:10.1111/gcb.12618 ( 0) |
| [20] |
Williams A, Manoharan L, Rosenstock N P, et al. Long-term agricultural fertilization alters arbuscular mycorrhizal fungal community composition and barley (Hordeum vulgare) mycorrhizal carbon and phosphorus exchange[J]. New Phytologist, 2017, 213(2): 874-885 DOI:10.1111/nph.14196 ( 0) |
| [21] |
Zheng Y, Kim Y C, Tian X F, et al. Differential responses of arbuscular mycorrhizal fungi to nitrogen addition in a near pristine Tibetan alpine meadow[J]. FEMS Microbiology Ecology, 2014, 89(3): 594-605 DOI:10.1111/1574-6941.12361 ( 0) |
| [22] |
Kim Y C, Gao C, Zheng Y, et al. Arbuscular mycorrhizal fungal community response to warming and nitrogen addition in a semiarid steppe ecosystem[J]. Mycorrhiza, 2015, 25(4): 267-276 DOI:10.1007/s00572-014-0608-1 ( 0) |
| [23] |
Han Y F, Feng J G, Han M G, et al. Responses of arbuscular mycorrhizal fungi to nitrogen addition: A meta-analysis[J]. Global Change Biology, 2020, 26(12): 7229-7241 DOI:10.1111/gcb.15369 ( 0) |
| [24] |
Veresoglou S D, Caruso T, Rillig M C. Modelling the environmental and soil factors that shape the niches of two common arbuscular mycorrhizal fungal families[J]. Plant and Soil, 2013, 368(1): 507-518 ( 0) |
| [25] |
Füzy A, Biró B, Tóth T, et al. Drought, but not salinity, determines the apparent effectiveness of halophytes colonized by arbuscular mycorrhizal fungi[J]. Journal of Plant Physiology, 2008, 165(11): 1181-1192 DOI:10.1016/j.jplph.2007.08.010 ( 0) |
| [26] |
Zhang N L, Wan S Q, Guo J X, et al. Precipitation modifies the effects of warming and nitrogen addition on soil microbial communities in northern Chinese grasslands[J]. Soil Biology and Biochemistry, 2015, 89: 12-23 DOI:10.1016/j.soilbio.2015.06.022 ( 0) |
| [27] |
蒲子天, 张林, 张弛, 等. 丛枝菌根真菌与植物共生影响植物水分状态的研究进展[J]. 土壤, 2022, 54(5): 882-889 ( 0) |
| [28] |
Primieri S, Magnoli S M, Koffel T, et al. Perennial, but not annual legumes synergistically benefit from infection with arbuscular mycorrhizal fungi and rhizobia: A meta-analysis[J]. The New Phytologist, 2022, 233(1): 505-514 DOI:10.1111/nph.17787 ( 0) |
| [29] |
Li X L, Zhu T Y, Peng F, et al. Inner Mongolian steppe arbuscular mycorrhizal fungal communities respond more strongly to water availability than to nitrogen fertilization[J]. Environmental Microbiology, 2015, 17(8): 3051-3068 DOI:10.1111/1462-2920.12931 ( 0) |
| [30] |
Sun X, Gao C, Guo L D. Changes in arbuscular mycorrhizal fungus community along an exotic plant Eupatorium adenophorum invasion in a Chinese secondary forest[J]. Journal of Microbiology, 2013, 51(3): 295-300 DOI:10.1007/s12275-013-3169-7 ( 0) |
| [31] |
高雪峰, 韩国栋, 张国刚. 短花针茅荒漠草原土壤微生物群落组成及结构[J]. 生态学报, 2017, 37(15): 5129-5136 ( 0) |
| [32] |
张梦歌, 尹可敬, 石兆勇, 等. 钼矿开采对球囊霉素相关土壤蛋白和土壤化学计量特性的影响[J]. 土壤, 2022, 54(3): 517-523 ( 0) |
| [33] |
Glaser K, Hackl E, Inselsbacher E, et al. Dynamics of ammonia-oxidizing communities in barley-planted bulk soil and rhizosphere following nitrate and ammonium fertilizer amendment[J]. FEMS Microbiology Ecology, 2010, 74(3): 575-591 DOI:10.1111/j.1574-6941.2010.00970.x ( 0) |
| [34] |
Khalil M I, Rahman M S, Schmidhalter U, et al. Nitrogen fertilizer-induced mineralization of soil organic C and N in six contrasting soils of Bangladesh[J]. Journal of Plant Nutrition and Soil Science, 2007, 170(2): 210-218 DOI:10.1002/jpln.200520534 ( 0) |
| [35] |
Zak D R, Freedman Z B, Upchurch R A, et al. Anthropogenic N deposition increases soil organic matter accumulation without altering its biochemical composition[J]. Global Change Biology, 2017, 23(2): 933-944 DOI:10.1111/gcb.13480 ( 0) |
| [36] |
Zhou X Q, Chen C R, Wang Y F, et al. Soil extractable carbon and nitrogen, microbial biomass and microbial metabolic activity in response to warming and increased precipitation in a semiarid Inner Mongolian grassland[J]. Geoderma, 2013, 206: 24-31 DOI:10.1016/j.geoderma.2013.04.020 ( 0) |
| [37] |
刘禹, 李兴福, 丁成翔, 等. 短期增水对高寒草甸补播草地植被群落和土壤养分的影响[J]. 草地学报, 2019, 27(6): 1622-1632 ( 0) |
| [38] |
Beier C, Emmett B, Gundersen P, et al. Novel approaches to study climate change effects on terrestrial ecosystems in the field: Drought and passive nighttime warming[J]. Ecosystems, 2004, 7(6): 583-597 ( 0) |
| [39] |
刘洢杋. 模拟氮磷沉降对北方针叶林土壤性质、微生物群落结构及氮循环过程的影响[D]. 桂林: 广西师范大学, 2022.
( 0) |
| [40] |
王苁蓉. 模拟氮沉降和酸化对云雾山草地土壤性质的影响[D]. 西安: 陕西师范大学, 2020.
( 0) |
| [41] |
黄菊莹, 余海龙, 刘吉利, 等. 控雨对荒漠草原植物、微生物和土壤C、N、P化学计量特征的影响[J]. 生态学报, 2018, 38(15): 5362-5373 ( 0) |
| [42] |
Chen Y L, Zhang X, Ye J S, et al. Six-year fertilization modifies the biodiversity of arbuscular mycorrhizal fungi in a temperate steppe in Inner Mongolia[J]. Soil Biology and Biochemistry, 2014, 69: 371-381 DOI:10.1016/j.soilbio.2013.11.020 ( 0) |
| [43] |
Lin X G, Feng Y Z, Zhang H Y, et al. Long-term balanced fertilization decreases arbuscular mycorrhizal fungal diversity in an arable soil in North China revealed by 454 pyrosequencing[J]. Environmental Science & Technology, 2012, 46(11): 5764-5771 ( 0) |
| [44] |
Johnson N C, Wilson G W T, Bowker M A, et al. Resource limitation is a driver of local adaptation in mycorrhizal symbioses[J]. Proceedings of the National Academy of Sciences of the United States of America, 2010, 107(5): 2093-2098 ( 0) |
| [45] |
Attarzadeh M, Balouchi H, Rajaie M, et al. Growth and nutrient content of Echinacea purpurea as affected by the combination of phosphorus with arbuscular mycorrhizal fungus and Pseudomonas florescent bacterium under different irrigation regimes[J]. Journal of Environmental Management, 2019, 231: 182-188 ( 0) |
| [46] |
邱丽丽, 张佳宝, 赵炳梓. 两个品种玉米根际土壤微生物和酶活性对水分胁迫的响应[J]. 中国土壤与肥料, 2022(9): 194-202 ( 0) |
| [47] |
Gao C, Kim Y C, Zheng Y, et al. Increased precipitation, rather than warming, exerts a strong influence on arbuscular mycorrhizal fungal community in a semiarid steppe ecosystem[J]. Botany, 2016, 94(6): 459-469 DOI:10.1139/cjb-2015-0210 ( 0) |
| [48] |
王杰, 李刚, 修伟明, 等. 氮素和水分对贝加尔针茅草原土壤酶活性和微生物量碳氮的影响[J]. 农业资源与环境学报, 2014, 31(3): 237-245 ( 0) |
| [49] |
Oehl F, Laczko E, Bogenrieder A, et al. Soil type and land use intensity determine the composition of arbuscular mycorrhizal fungal communities[J]. Soil Biology and Biochemistry, 2010, 42(5): 724-738 DOI:10.1016/j.soilbio.2010.01.006 ( 0) |
| [50] |
向丹, 徐天乐, 李欢, 等. 丛枝菌根真菌的生态分布及其影响因子研究进展[J]. 生态学报, 2017, 37(11): 3597-3606 ( 0) |
| [51] |
Wei X T, Shi Y N, Qin F W, et al. Effects of experimental warming, precipitation increase and their interaction on AM fungal community in an alpine grassland of the Qinghai-Tibetan Plateau[J]. European Journal of Soil Biology, 2021, 102: 103272 DOI:10.1016/j.ejsobi.2020.103272 ( 0) |
| [52] |
李雪静, 徐天乐, 陈保冬, 等. 荒漠和草原生态系统丛枝菌根真菌多样性和群落结构[J]. 生态学杂志, 2017, 36(10): 2734-2743 ( 0) |
| [53] |
Yang H J, Li Y, Wu M Y, et al. Plant community responses to nitrogen addition and increased precipitation: The importance of water availability and species traits[J]. Global Change Biology, 2011, 17(9): 2936-2944 DOI:10.1111/j.1365-2486.2011.02423.x ( 0) |
| [54] |
文海燕, 傅华, 牛得草, 等. 大气氮沉降对黄土高原土壤氮特征的影响[J]. 草业科学, 2013, 30(5): 694-698 ( 0) |
| [55] |
李静, 红梅, 闫瑾, 等. 短花针茅荒漠草原植被群落结构及生物量对水氮变化的响应[J]. 草业学报, 2020, 29(9): 11 ( 0) |
| [56] |
高海燕, 红梅, 霍利霞, 等. 水氮耦合对荒漠草原植物物种多样性及生物量的影响[J]. 草业科学, 2018, 35(1): 36-45 ( 0) |
| [57] |
Xiang D, Veresoglou S D, Rillig M C, et al. Relative importance of individual climatic drivers shaping arbuscular mycorrhizal fungal communities[J]. Microbial Ecology, 2016, 72(2): 418-427 DOI:10.1007/s00248-016-0773-1 ( 0) |
| [58] |
Xiang D, Verbruggen E, Hu Y J, et al. Land use influences arbuscular mycorrhizal fungal communities in the farming-pastoral ecotone of Northern China[J]. The New Phytologist, 2014, 204(4): 968-978 DOI:10.1111/nph.12961 ( 0) |
| [59] |
Yang C, Hamel C, Schellenberg M P, et al. Diversity and functionality of arbuscular mycorrhizal fungi in three plant communities in semiarid grasslands National Park, Canada[J]. Microbial Ecology, 2010, 59(4): 724-733 DOI:10.1007/s00248-009-9629-2 ( 0) |
| [60] |
Jansa J, Erb A, Oberholzer H R, et al. Soil and geography are more important determinants of indigenous arbuscular mycorrhizal communities than management practices in Swiss agricultural soils[J]. Molecular Ecology, 2014, 23(8): 2118-2135 DOI:10.1111/mec.12706 ( 0) |
| [61] |
Hiiesalu I, Pärtel M, Davison J, et al. Species richness of arbuscular mycorrhizal fungi: Associations with grassland plant richness and biomass[J]. New Phytologist, 2014, 203(1): 233-244 DOI:10.1111/nph.12765 ( 0) |
2. Inner Mongolia Key Laboratory of Soil Quality and Nutrient Resources, Hohhot 010011, China;
3. Key Laboratory of Agricultural Ecological Security and Green Development at Universities of Inner Mongolia Autonomous, Hohhot 010018, China;
4. Bahrain Right Banner Agriculture and Animal Husbandry Technology Promotion Center, Chifeng, Inner Mongolia 025150, China
2023, Vol. 55



0)