2. 东南大学能源与环境学院, 能源热转换及其过程测控教育部重点实验室, 南京 210096;
3. 江苏省地质矿产局第一地质大队, 南京 210041
多环芳烃(PAHs)是一类典型的持久性有机污染物,具有毒性强、难降解和分布范围广等特点[1]。目前,全球范围内的大气、河流、土壤以及生物体均检测出PAHs,并且由于其可通过大气沉降和地表径流等方式进入土壤环境,因此大约有90% 的PAHs存在于土壤系统中[2-3]。和其他土壤污染相比,PAHs污染作用机制复杂,作用方式隐蔽,其在土壤中会危害动物群落和农作物,并会通过食物链进入人体,严重威胁农业安全生产和人类健康[4]。
PAHs污染土壤的修复技术包括物理法、化学法和生物修复法。热脱附技术具有处理污染物范围广、污染物修复效率高且造成二次污染较小等优点,其对农药、石油烃及二噁英(PCDD/Fs)等污染场地均有良好的修复效果[5]。实际应用中由于不同场地的差异,需要根据场地特性以制定合适的热脱附修复方案。目前热脱附技术多用于修复PCBs、石油烃、烷烃等污染土壤,但缺少利用该技术针对性地修复低环PAHs(2 ~ 4环PAHs)污染土壤及相关影响因素对去除率影响的研究[6]。本文主要探究了热脱附过程中对PAHs各个组分(2 ~ 4环PAHs)影响脱附效率的因素,包括污染物浓度、土壤含水率以及土壤粒径,分析了中低环PAHs脱附的动力学,探索了2 ~ 4环PAHs的脱附机制。
1 材料与方法 1.1 供试土壤样品供试土样为南京某公园表层土壤(0 ~ 20 cm),远离含PAHs等污染物的场地,取样前进行简单的清理以除去土壤中的杂物。采集的土壤样品经过风干,去除石块、植物和动物残体等异物后,以木器研钵破碎研磨并过2 mm筛,称量后放置于棕色瓶中,保存于阴暗低温处备用。
供试土壤类型为砂质壤土,基本理化性质:pH 6.79,有机质17.94 g/kg,含水率4.27%,比表面积13.759 m2/g,容重1.36 g/cm3,总孔容0.033 cm3/g,平均孔径12.581 mm,土壤粒径1 ~ 0.05 mm 21.27%、0.05 ~ 0.005 mm 60.67%、< 0.005 mm 18.06%。
1.2 PAHs样品前处理和分析检测方法根据HJ 805—2016《土壤和沉积物PAHs的测定气相色谱–质谱法》[7]和HJ 911—2017《土壤和沉积物有机物的提取超声波萃取法》[8]方法对样品进行提取–浓缩–脱硫–净化–氮吹浓缩等步骤,如图 1所示。超声提取法结合气质联用分析技术对PAHs进行分离和定量,具有较为理想的回收率,且操作简单省时,适合用于场地土壤样品大批量的PAHs的检测[9],因此本研究采用超声提取法提取PAHs。土壤样品经过超声提取后离心分离,过有机滤膜,再重复提取2次,合3次提取液氮吹浓缩至2 mL,待净化。用4 mL二氯甲烷和5 mL正己烷活化弗洛里土柱后,将浓缩液转移至弗罗里硅土净化柱并收集净化液,加入2 mL正己烷分3次洗涤浓缩器皿,加入10 mL正己烷–二氯甲烷混合溶剂(9:1,V/V)洗脱净化柱,收集全部洗脱液,再用氮吹浓缩仪浓缩至1 mL,待检测。
|
图 1 土壤样品中PAHs预处理流程 Fig. 1 Pretreatment process of PAHs in soil samples |
PAHs检测采用气相色谱质谱联用仪(GC-MS)进行定性与定量,型号为安捷伦8890-5977B。本研究中采用的PAHs主要为2环、3环和4环,其理化性质如表 1所示。
|
|
表 1 PAHs组分的理化性质 Table 1 Physiochemical properties of PAHs components |
为获得均质的污染土壤,将一定质量的PAHs倒入装有50 mL二氯甲烷的烧杯中进行混合并充分溶解,然后将溶液与100 g土壤进行持续两周的混合土培试验,待土壤中有机溶剂充分挥发后,进行下一步脱附试验。分别制备5种不同污染程度的土壤(500、1 000、1 500、2 000、2 500 mg/kg)。通过在含水率为4.27%的原污染土壤基础上补充去离子水并混合均匀,在磨口瓶中密封2 d,使水分在土壤中充分扩散分配,并经进一步混匀后得到含水率为5%、10%、13%、16% 和20% 的土壤样品[10]。通过将备用土壤研磨并分别过20目、60目和100目筛获得4种粒径土壤(> 0.83、0.83 ~ 0.25、0.25 ~ 0.15、< 0.15 mm)。土壤PAHs初始污染浓度影响试验设置的热脱附温度为200 ℃,载气为氮气,脱附时间为50 min。土壤含水率和粒径对热脱附的影响均采用污染浓度为1 000 mg/kg的土壤,脱附时间50 min,温度为200 ℃。
1.4 土壤热脱附动力学模型本试验使用动力学模型探索速率控制步骤,动力学参数对研究脱除过程、预测修复反应以及指导热脱附处理系统的设计和推广具有重要意义。有研究表明残余PAHs浓度曲线随脱附时间呈一级动力学变化[5, 11],Falciglia等[5]的研究表明柴油污染土壤的热解吸过程与指数衰减模型表现出良好的相关性(R2 > 0.99)。本研究中一级动力学、二级动力学和指数衰减模型被用于分析热脱附过程。
一级动力学模型:
| $ {C_t} = {C_0}{\text{e}^{ - {k_1}t}} $ | (1) |
二级动力学模型:
| $ 1/{C_t} = {k_2}t + 1/{C_0} $ | (2) |
指数衰减模型:
| $ {C_t} = {C_0}{\text{e}^{ - {k_3}{t^n}}} $ | (3) |
式中:Ct为处理时间t后的土壤中PAHs的残留浓度,mg/kg;C0为初始污染物浓度,mg/kg;k1、k2和k3分别为一阶动力学、二阶动力学和指数衰减模型的速率常数;n为衰减曲线的阶数。k与温度有关,其值通过Arrhenius方程计算:
| $ k = A{\text{e}^{{E_A}/RT}} $ | (4) |
式中:EA为系统的活化能,kJ/mol;A是指数因子常量;R (8.314 J/(mol·K))是气体常数;T是绝对温度,K。将式(3)用对数形式表示,并对处理时间t进行微分,脱附速率–dC/dt如式(5)所示:
| $ - \frac{{dC}}{{dt}} = knC{\left[ { - \frac{1}{k}\text{ln}\frac{C}{{{C_n}}}} \right]^{n - 1/n}} $ | (5) |
试验中得到的PAHs残余浓度结果,用各方程进行拟合。各方程是计算出残余PAHs浓度的有效工具,通过方程可以得出在土壤中任何给定的初始污染物浓度下的解吸速率,以及达到特定修复目标所需的温度和处理时间。
2 结果与分析 2.1 土壤PAHs初始浓度对热脱附的影响 2.1.1 不同污染水平土壤中PAHs的脱附情况不同污染程度土壤的PAHs脱附去除率如图 2所示。土壤中PAHs的去除率随着初始浓度的增加呈上升趋势。当土壤PAHs初始浓度为500 mg/kg时,加热时间40 min前,PAHs的去除率均低于50%;而当PAHs初始浓度增加到2 500 mg/kg时,仅加热30 min脱附率即达到了64.6%,远高于500 mg/kg浓度下对应的27.7%。
|
图 2 不同污染浓度水平土壤中PAHs的去除率 Fig. 2 Removal rates of PAHs in soils under different pollution concentrations |
图 2说明在热脱附早期(0 ~ 10 min)增加土壤中PAHs的初始浓度并不能显著提高PAHs的去除率,当热脱附时间为10 min时,500 mg/kg污染土壤的去除率为16.14%,随着PAHs初始浓度的增加,热脱附效率相应提高。而脱附中期(20 ~ 40 min)提高初始浓度则显著提高PAHs的去除率;此外,在40 ~ 50 min时因初始浓度的提高而带来的去除率提升渐趋饱和,PAHs的去除率逐渐趋于一致。
图 3显示了不同初始浓度土壤中PAHs经200 ℃热脱附后的残留浓度随时间的变化情况。经过10 min热处理后,不同污染浓度水平土壤中PAHs最高残留量约为最低残留量的4.2倍;然而随着脱附时间的延长,在相同热处理时间条件下,不同初始浓度下的土壤PAHs残留量之间的差距逐渐缩小,在热处理50 min时,高浓度土壤的PAHs残留量为低浓度土壤的1.9倍,且差值缩小为93.47 mg/kg。此外,当热处理50 min后,各初始浓度下土壤PAHs残留量均符合北京市地方标准DB11-T811—2011《场地土壤环境风险评价筛选值》[12]中工业商服用地的筛选值。
|
图 3 不同污染浓度水平土壤中PAHs的残留浓度 Fig. 3 Residual concentrations of PAHs in soils under different pollution concentrations |
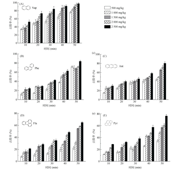
图 4表明,PAHs各组分的去除率随着PAHs初始浓度的增加而提高,且萘(Nap)在各种PAHs中最易于脱除。由图 4 A可见,热脱附时间为10 ~ 50 min时,不同污染水平土壤中的Nap去除率差别相对较大。热处理30 min后,最高初始浓度和最低初始浓度对应的Nap的去除率相差最大为30.9%;当初始浓度高于1 000 mg/kg,脱附时间超过20 min时,Nap的去除率均高于50%,且脱附时间在40 ~ 50 min时,Nap的整体去除率较高。这是由于有机污染物脱附所需的活化能与其分子结构、沸点和极性相关,而Nap具有相对较低的沸点和较少的苯环数,易于脱附;另一方面也可能是由于Nap在土壤中的吸附发生了吸热反应,使其更易于脱除[13]。图 4B和4C表明,相对Nap而言,3环PAHs (Phe和Ant)在不同污染水平土壤中的热脱附去除率差别不大;在相同热处理条件下,Phe和Ant最高的去除率分别为83.8% 和80.1%。如图 4D和4E所示,4环PAHs(Fla和Pyr)最高去除率仅为64.7% 和76.4%。结合图 2中热脱附后期因PAHs初始浓度提高而带来的脱附率提升效果被减弱的现象,这可能是由于随着PAHs浓度的增加,土壤中残留的Fla和Pyr组分增加,导致总体PAHs的去除率降低。
|
图 4 不同污染水平土壤中PAHs各组分的去除率 Fig. 4 Removal rates of PAHs components in soils under different pollution concentrations |
不同土壤含水率下PAHs热脱附去除率如图 5所示。由图可知,PAHs的去除率随着土壤含水率的增大呈先增大后减小的趋势,在含水率为16% 时PAHs的去除效率最高,且土壤含水率过大或过小均不利于PAHs的去除。当脱附时间为30 min时,不同含水率土壤中PAHs的最高去除率与最低去除率差距最大,为16.8%;而在热脱附40 ~ 50 min后,由土壤含水率而引起的去除效率的差别逐渐减小,当热脱附50 min时,最高去除率与最低去除率之差降低为11.5%。
|
图 5 不同土壤含水率条件下PAHs的去除率 Fig. 5 Removal rates of PAHs under different soil moisture content conditions |
图 6显示了不同含水率土壤中PAHs在100 ℃和300 ℃时脱附30 min去除率变化情况。在100 ℃和300 ℃加热条件下,5种PAHs组分的去除率均随着土壤含水率的增加呈先增加后减少的趋势,其中,Nap、Phe和Ant最大去除率对应的土壤含水率为16%,而Fla和Pyr最大去除率对应的土壤含水率为13%,这表明土壤含水率对于PAHs不同组分的热脱附影响不一致。
|
图 6 不同土壤含水率条件下PAHs不同组分的去除率 Fig. 6 Removal rates of different PAHs components under different soil moisture content conditions |
图 7为不同粒径土壤中PAHs的去除率随时间(脱附温度为200 ℃)和温度(脱附时间为50 min) 的变化情况。随着脱附时间或脱附温度的增加,不同粒径土壤中PAHs的脱附率均呈升高的趋势;相同脱附温度条件下,土壤粒径越小,土壤中PAHs的去除率越高。通常而言,随着土壤粒径的减小,土壤有机质的腐殖化程度增加,土壤有机质中烷基碳含量和芳香结构增加[14],因而对疏水性有机污染物有较强的吸附作用。
|
(A. 脱附温度为200℃,不同脱附时间;B. 脱附时间为50min,不同脱附温度) 图 7 不同粒径土壤中PAHs的去除率 Fig. 7 Removal rates of PAHs in soils with different particle sizes |
在不同温度下各粒径土壤中PAHs不同组分脱附30 min时去除率如图 8所示。PAHs各组分去除率均随着土壤粒径的减小而增大。在脱附温度为100 ℃时,Nap的整体去除率最高,当粒径 < 0.15 mm时,Nap的去除率达到最高,为72.1%,而Nap的去除率在粒径0.25 ~ 0.83 mm和 > 0.83 mm时其去除率几乎相等。当温度上升到300 ℃时,Nap组分随着粒径的减小其脱附效率变化非常微小,然而Ant和Phe的去除率受粒径的影响变化非常明显,这进一步证实了在脱附过程中温度起到的主导作用。
|
图 8 不同粒径土壤中PAHs不同组分的去除率 Fig. 8 Removal rates of different PAHs components in soils with different particle sizes |
由图 9可知,指数衰减模型方程较好地拟合了Nap热脱附过程。土壤中PAHs的去除率取决于热脱附处理时间和温度,对于Nap组分而言,150 ℃修复处理一定时间,均可达到修复目标。一般来说,沸点较低的Nap与土壤中吸附剂的结合力较弱[15],更易于从土壤中脱附出来;并且相对分子质量越低的污染物,其沸点越低,当土壤温度越高时,脱附需要的加热时间则越少。温度的升高会破坏污染物和土壤之间存在的结合力,进一步促进解吸现象。此外,土壤中有机质的饱和蒸汽压会随着温度的升高而增加,污染物挥发从土壤相中转移到气相,这也意味着化合物分子量在污染物的汽化过程中也起着主要作用。
|
(A.一级动力学模型;B. 二级动力学模型;C. 指数衰减模型) 图 9 Nap热脱附过程拟合曲线 Fig. 9 Fitting curve of thermal desorption process of Nap |
Nap在不同温度下的一级、二级和指数衰减模型动力学参数如表 2所示。表中可知,指数衰减模型与Nap的脱附过程具有较好的拟合决定系数,不同温度下的R2均超过0.99,高于一级拟合决定系数,这与Falciglia等[5]的研究结果一致。总体而言,各动力学模型的动力学常数k值均随着温度的升高而增大,且在土壤中PAHs和多氯联苯、五氯苯酚(PCP)的去除过程中,k与T之间存在线性回归关系[6, 16],同时k还取决于污染物的自身性质。在373 ~ 523 K时,n的值均小于1,这表明指数衰减低于一级动力学阶数(n = 1),这和污染物与土壤颗粒的高密度、强亲和力有关,也增加了污染物从土壤中脱除的扩散屏障[17]。
|
|
表 2 Nap在不同温度下各模型解吸的动力学参数 Table 2 Kinetic parameters of Nap desorption models at different temperatures |
由图 10、表 3可发现,对于Ant和Phe,指数衰减模型能够更好地拟合它们在土壤中的脱附过程。而一级与二级动力学模型对Phe和Ant脱附过程的拟合程度出入较大,对Phe的拟合程度的决定系数分别为0.721 ~ 0.993和0.928 ~ 0.999,对Phe的同分异构体Ant的拟合程度的决定系数分别为0.866 ~ 0.999和0.973~0.998,可见一级和二级动力学方程对Ant的拟合程度更高。
|
(A, C, E分别为Phe的一级动力学、二级动力学和指数衰减模型;B, D, F分别为Ant的一级动力学、二级动力学和指数衰减模型) 图 10 Phe和Ant的热脱附过程拟合曲线 Fig. 10 Fitting curve of thermal desorption process of Phe and Ant |
|
|
表 3 Phe和Ant在不同温度下各模型解吸的动力学参数 Table 3 Kinetic parameters of desorption models of Phe and Ant at different temperatures |
由表 3可知,随着温度的增加,Phe的衰减速率常数kd值增长速率明显快于Ant的kd值增长速率,尤其在573 K时,Phe的kd值达到了最大值1.730。这表明,污染物解吸所需的活化能与其分子结构、沸点和极性严格相关。Phe分子为角形结构,为弱极性物质;而Ant为线性结构,为非极性物质,这也导致互为同分异构体的Phe和Ant在土壤中的脱附行为差距较大。
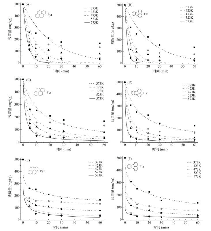
2.4.3 Fla、Pyr热脱附过程动力学图 11显示,与2环、3环PAHs热脱附过程类似,对于Fla和Pyr(4环),指数衰减模型的拟合效果最好。如图 11E和图 11F可知,土壤中Fla和Pyr的残留量均随着脱附时间的延长而降低,在温度为373 K和424 K时,土壤中Fla和Pyr的去除率相对较低,然而在523 K和573 K时,土壤中Fla和Pyr的去除率达到了95.48% 和93.28%。
|
(A, C, E分别为Pyr的一级动力学、二级动力学和指数衰减模型;B, D, F分别为Fla的一级动力学、二级动力学和指数衰减模型) 图 11 Pyr和Fla的热脱附过程拟合曲线 Fig. 11 Fitting curve of thermal desorption process of Pyr and Fla |
由表 4可知,对于Fla,一级动力学方程在373 K和423 K时拟合脱附过程的R2值仅为0.424和0.439,然而当温度进一步升高时,R2上升至0.973;二级动力学方程对于Fla的拟合程度要高于一级动力学方程,R2最高达到了0.995。相比于Fla,3个方程对于Pyr脱附过程的拟合程度均更高,一级、二级动力学方程和指数衰减模型对Pyr拟合的R2范围分别是0.719 ~ 0.990、0.923 ~ 0.997和0.987 ~ 0.999。
|
|
表 4 Fla和Pyr在不同温度下各模型解吸的动力学参数 Table 4 Kinetic parameters of desorption models of Fla and Pyr at different temperatures |
土壤中污染物初始浓度对于热脱附效率具有重要影响。本试验结果表明,相同热脱附时间下,脱附效率随着PAHs浓度增加而上升。这可能是因为当土壤中PAHs浓度较低时,PAHs均被土壤颗粒中的有机质等吸附性物质吸附,去除难度相对较大,而当土壤中PAHs的初始浓度较高时,土壤中吸附性物质吸附PAHs达到饱和状态,大量多余的PAHs直接裸露在土壤表层,利于从土壤中脱除[18]。在热脱附早期(0 ~ 10 min),由PAHs初始浓度增加而引起的去除效率提升效果微弱是由于脱附时间较短而使提升效果难以累计,随着脱附时间的延长,因初始浓度引起的去除效率提升效果逐渐累积,使得不同初始浓度土壤中PAHs的去除率差距逐渐变大。然而,随着脱附时间的进一步延长和前期大多数PAHs脱附的完成,土壤中剩余的PAHs浓度相对较低,且此时大多PAHs为吸附于土壤颗粒深层孔径中的顽固组分,致使脱附后期PAHs的去除率逐渐趋于一致。
由于水的比热值较大,因此土壤含水率必然作为热脱附过程去除效率关键影响因素之一。结果表明,在热脱附后期,由土壤含水率而引起的去除效率的差别逐渐减小。这说明随着脱附时间的延长,含水率引起的去除效率提升效果会在一定程度上被抵消。这一现象是由于当脱附时间较长时,脱附后期土壤中的水分子均已汽化并脱离土壤,其对PAHs去除的影响变低[19],此时脱附效率存在的差异基本取决于脱附前期(0 ~ 30 min)的含水率差异。图 6表明含水率对于PAHs不同组分的影响不一致。Falciglia等[20]研究表明,相比于干燥土壤样品,含水率为10% 的土壤的污染物去除率更好,这是因为适量含水量可以改变土壤结构,增加孔隙度,有利于污染物的传质[21]。Liu等[22]发现适量的水分有助于通过蒸汽蒸馏从土壤中去除多氯联苯,也可作为还原剂次磷酸钠的助溶剂和铁粉的氢供体,进而提高土壤中多氯联苯的去除率。一般来说,土壤对有机污染物的吸附是指分配和吸持两个过程[23]。当土壤含水率较低时,PAHs直接吸附于土壤颗粒或进入孔隙中,难以脱除,当含水率增加时,强极性水分子会占据PAHs在土壤表面的吸附位置,从而降低PAHs与土壤的结合程度,使其易于脱附。然而,当土壤含水率过高时,水分不仅会消耗大量的热能,而且会使土壤黏结,土壤通透性降低,从而阻碍PAHs从土壤中脱除。
李秀华等[24]研究表明,土壤粒径中有机质的含量不是决定土壤对菲吸附能力的唯一因素,有机质的形态结构特征以及样品的性质也会影响污染物的吸附量。而本研究结果出现的原因一方面可能是细颗粒有更大的比表面积,加热过程中升温更快,且能够提供更多用于PAHs降解的土壤颗粒表面环境;另一方面是当去除率受土壤内部PAHs扩散速率限制时,较小颗粒内部的PAHs更易于从土壤内部脱附[25]。
此外,本文对各PAHs组分进行了脱附动力学研究。图 9表明,热脱附后土壤中污染物残留浓度随热脱附时间的延长而降低,且Nap的解吸速率随着脱附温度的升高而增加;大多数Nap在热脱附的前30 min均被去除,此后,Nap的去除速率逐渐减慢。动力学曲线中动力学级数范围和斜率的变化可能与多孔介质热脱附过程中两种不同相的顺序有关:第一步,污染物从土壤颗粒表面快速蒸发,这主要是由于水的蒸发和选择性加热的作用;第二步,污染物的蒸发速率受到土壤孔隙内部扩散的限制[26]。图 10表明,Phe比Ant更难以从土壤中去除,造成这种结果的可能原因是Phe和Ant自身性质存在的差异:Phe的Kow和Koc的值分别为4.57和4.54,均高于Ant的Kow和Koc (4.15和4.04);而污染物质的Kow和Koc越大,证明该物质的脂溶性越强,越容易在土壤固相中发生吸附[27]。此外,解吸速率在脱附前10 min非常高,且温度越高,污染物的解吸速率越快;脱附处理30 min后,动力学曲线趋于平坦。这可能是由于热处理中的两个不同阶段改变了动力学曲线的斜率[11]。在第一阶段,污染物从土壤颗粒表面迅速挥发,但是在后期,蒸发速度受到内部扩散的限制。结果表明,指数衰减模型对于4环PAHs Fla和Pyr的脱附过程的拟合程度更高,这证明了指数衰减动力学模型与脱附试验数据具有很好的相关性。衰减速率kd与温度密切相关,且随着温度的升高而增大。本文主要探究了土壤PAHs初始浓度、含水率和粒径对PAHs热脱附效率的影响,但实际修复中,土壤粒径无法控制且污染场地多为多种有机物的复合污染,因此实际PAHs污染场地土壤的热脱附行为有待研究。热解吸动力学参数的计算有助于预测修复措施的过程响应,用于模拟任何给定的初始污染物浓度的土壤热脱附之后的残留浓度、解吸速率,进而确定达到特定目标所需的脱附温度和时间。动力学研究可为工程应用提供模拟参考,从而确定实际情况下最优的修复方法和修复成本。
4 结论1) 土壤中PAHs的去除效率随着PAHs初始浓度的增加呈上升的趋势;随着土壤含水率的增大呈现出先增大后减小的趋势;而土壤粒径对PAHs的去除率有明显影响,指数衰减模型对PAHs各组分的脱附过程具有更好的拟合效果。
2) 土壤中PAHs热脱附主要分为两个阶段进行:①PAHs受到土壤中水的蒸发作用从土壤颗粒表面快速蒸发;②PAHs的蒸发速率受到土壤孔隙内部扩散的限制,以非常缓慢的速度从土壤中脱除。
3) PAHs热脱附过程关键影响因素优选工况为:在热脱附时间较短(20 ~ 40 min)时,PAHs初始浓度为2 500 mg/kg时其去除效率最佳;当土壤含水率为16% 时,PAHs的去除效率最佳可达93.5%;土壤粒径 < 0.15 mm时,PAHs去除率最高为90.3%。
| [1] |
鲁垠涛, 向鑫鑫, 张士超, 等. 不同土地利用类型的土壤中多环芳烃的纵向迁移特征[J]. 环境科学, 2019, 40(7): 3369-3377 ( 0) |
| [2] |
曹云者, 柳晓娟, 谢云峰, 等. 我国主要地区表层土壤中多环芳烃组成及含量特征分析[J]. 环境科学学报, 2012, 32(1): 197-203 ( 0) |
| [3] |
冉宗信, 陈靖宇, 王亚婷, 等. 典型工业区土壤多环芳烃污染特征及影响因素[J]. 环境科学, 2019, 40(10): 4594-4603 ( 0) |
| [4] |
韩金涛, 彭思毅, 杨玉春. 土壤中PAHs的污染现状及修复对策[J]. 环境科学导刊, 2019, 38(S1): 7-11 ( 0) |
| [5] |
Falciglia P P, Giustra M G, Vagliasindi F G A. Low-temperature thermal desorption of diesel polluted soil: Influence of temperature and soil texture on contaminant removal kinetics[J]. Journal of Hazardous Materials, 2011, 185(1): 392-400 DOI:10.1016/j.jhazmat.2010.09.046 ( 0) |
| [6] |
Smith M T, Berruti F, Mehrotra A K. Thermal desorption treatment of contaminated soils in a novel batch thermal reactor[J]. Industrial & Engineering Chemistry Research, 2001, 40(23): 5421-5430 ( 0) |
| [7] |
中华人民共和国国家环境保护部. 土壤和沉积物PAHs的测定气相色谱–质谱法: HJ 805—2016[S]. 北京: 中国环境科学出版社, 2016.
( 0) |
| [8] |
中华人民共和国国家环境保护部. 土壤和沉积物有机物的提取超声波萃取法: HJ 911—2017[S]. 北京: 中国环境科学出版社, 2017.
( 0) |
| [9] |
马栋. 焦化工业场地土壤的PAHs污染特征及微生物修复应用[D]. 武汉: 华中农业大学, 2010.
( 0) |
| [10] |
陈春红, 徐成华, 于天, 等. 低环多环芳烃异位热脱附行为分析[J]. 环境工程, 2022, 40(1): 78-85 ( 0) |
| [11] |
Liu H, Li J B, Zhao M, et al. Remediation of oil-based drill cuttings using low-temperature thermal desorption: Performance and kinetics modeling[J]. Chemosphere, 2019, 235: 1081-1088 DOI:10.1016/j.chemosphere.2019.07.047 ( 0) |
| [12] |
北京市环境保护局. 场地土壤环境风险评价筛选值: DB11-T811—2011[S]. 北京: 北京市环境保护局, 2011.
( 0) |
| [13] |
石辉, 孙亚平. 萘在土壤上的吸附行为及温度影响的研究[J]. 土壤通报, 2010, 41(2): 308-313 ( 0) |
| [14] |
Chen J S, Chiu C Y. Characterization of soil organic matter in different particle-size fractions in humid subalpine soils by CP/MAS 13C NMR[J]. Geoderma, 2003, 117(1/2): 129-141 ( 0) |
| [15] |
王中婵. 不同孔结构超高交联树脂上的脱附动力学研究[J]. 广州化工, 2018, 46(12): 63-67 ( 0) |
| [16] |
Tse K K C, Lo S L. Desorption kinetics of PCP-contaminated soil: Effect of temperature[J]. Water Research, 2002, 36(1): 284-290 DOI:10.1016/S0043-1354(01)00191-9 ( 0) |
| [17] |
Uzgiris E E, Edelstein W A, Philipp H R, et al. Complex thermal desorption of PCBs from soil[J]. Chemosphere, 1995, 30(2): 377-387 DOI:10.1016/0045-6535(94)00404-I ( 0) |
| [18] |
张攀, 高彦征, 孔火良. 污染土壤中硝基苯热脱附研究[J]. 土壤, 2012, 44(5): 801-806 ( 0) |
| [19] |
梁贤伟, 孙袭明, 吴晓霞. 原位热脱附土壤修复技术的关键影响因素研究[J]. 广州化工, 2020, 48(10): 79-82 ( 0) |
| [20] |
Falciglia P P, De Guidi G, Catalfo A, et al. Remediation of soils contaminated with PAHs and nitro-PAHs using microwave irradiation[J]. Chemical Engineering Journal, 2016, 296: 162-172 DOI:10.1016/j.cej.2016.03.099 ( 0) |
| [21] |
Falciglia P P, Urso G, Vagliasindi F G A. Microwave heating remediation of soils contaminated with diesel fuel[J]. Journal of Soils and Sediments, 2013, 13(8): 1396-1407 DOI:10.1007/s11368-013-0727-x ( 0) |
| [22] |
Liu X T, Zhang Q, Zhang G X, et al. Application of microwave irradiation in the removal of polychlorinated biphenyls from soil contaminated by capacitor oil[J]. Chemosphere, 2008, 72(11): 1655-1658 DOI:10.1016/j.chemosphere.2008.05.030 ( 0) |
| [23] |
刘本定. 土壤有机质对多环芳烃(菲)的吸附行为及其对植物有效性的影响[D]. 南京: 南京农业大学, 2008.
( 0) |
| [24] |
李秀华, 倪进治, 骆永明. 土壤不同粒径组分对菲的吸附解吸行为的研究[J]. 土壤, 2006, 38(5): 584-590 ( 0) |
| [25] |
祁志福. 多氯联苯污染土壤热脱附过程关键影响因素的实验研究及应用[D]. 杭州: 浙江大学, 2014.
( 0) |
| [26] |
Keyes B R, Silcox G D. Fundamental study of the thermal desorption of toluene from montmorillonite clay particles[J]. Environmental Science & Technology, 1994, 28(5): 840-849 ( 0) |
| [27] |
郑蕾, 谭文捷, 丁爱中, 等. 微生物作用下多环芳烃在土壤中的迁移特征[J]. 化工学报, 2010, 61(1): 200-207 ( 0) |
2. Key Laboratory of Thermal Conversion and Control of Ministry of Education, School of Energy and Environment, Southeast University, Nanjing 210096, China;
3. The First Geological Brigade of Jiangsu Geology and Mineral Resources Bureau, Nanjing 210041, China
2024, Vol. 56



0)