2. 北方民族大学土木工程学院, 银川 750021;
3. 宁夏大学土木与水利工程学院, 银川 750021
土壤盐渍化问题是我国尤其是引黄灌区农业生产的主要问题之一,盐渍化土壤的改良对我国土地资源的贡献十分重要[1-3]。宁夏引黄灌区地域广阔,拥有丰富的土地资源,但由于该地区利用黄河水进行灌溉,水中含有大量的盐分,再加上地下水位较浅,因此在该地区形成了大量的盐渍化土壤,尤其以银北地区分布最广[4]。该区域耕地总面积1.7×105 hm2,盐渍化耕地面积占50.7%,其中重度盐渍化土壤占10.2%,严重制约了当地农业生产可持续发展[5-7]。在西北地区特殊的自然地理、水文地质和气候条件下,盐渍土作为重要的土壤资源,对其进行改良和合理的开发利用,可以有效地提高盐渍化耕地的粮食生产水平,具有重大的经济价值和社会意义。
盐渍化土壤改良方法可归纳为水利改良、化学改良、生物改良和地面覆盖改良等[8]。其中化学改良方法具有方法简单、见效快等优点,且用到的改良剂多为工业废弃物,如粉煤灰、脱硫石膏、糠醛渣等,易大面积推广使用。化学改良方法可以改变土壤物理性状,改善团粒结构,增加农作物的产量,是目前盐渍化土壤改良主要措施之一[9]。
施加化学改良剂可促进土壤团粒结构的形成,从而破坏土壤毛管孔隙,减缓土壤水分蒸发,促进盐分淋洗[10-11]。王睿彤等[12]研究发现石膏、牛粪、保水剂和秸秆4种改良剂均使土壤pH和钠吸附比(SAR)呈下降趋势,土壤有机质、有效氮、有效磷、速效钾含量呈上升趋势。王静等[13]研究表明脱硫石膏降低了土壤的pH和碱化度,显著提高了水稻产量,并且降低了籽粒中重金属含量。张志美等[14]通过土壤培养试验发现腐殖酸、红石膏和粉煤灰均能改善土壤结构,且液体腐殖酸的效果最佳,使粒径大于0.25 mm的水稳性大团聚体比例增加,毛细现象降低。Zhang等[15]通过试验发现生物质炭、石膏和石膏结合生物质炭可以在短期内改善盐碱地的水力传导性,减少浸出盐分引起的钠化。Rezaei等[16]利用野外盐水和实验室自来水进行试验,系统地分析和比较了不同处理土壤饱和导水率和土壤保水曲线,找出了适合当地的水文模型的初始水力参数集。
土壤盐渍化使得土壤团粒结构破坏,土壤板结,通气透水性变差,导致盐分聚集,渗透压上升,对农作物生长及其产量产生一定的负面作用,威胁着农业可持续发展。化学改良能够有效地改变土壤的孔隙结构,促进土壤水分运动,从而有效降低表层土壤盐分含量。因此,对于土壤盐渍化改良的研究,就是要清晰掌握施加改良剂后土壤中水分运动的机理[17-18]。
目前国内外学者对于土壤水力参数的研究已经取得了一定的成果。Wu等[19]在一维土壤水分渗透过程的近似解基础上,开发了一种非线性约束优化方法,为准确估计土壤水力特性提供了一个简单而有价值的工具。土壤水分特征曲线(Soil Water Characteristic Curves,SWCC)是描述土壤压力水头与土壤含水率之间关系的曲线,是研究土壤水分及溶质运移的基础,目前使用较为广泛的是van Genuchten模型(简称VG模型)。Wang等[20]以中国新疆的伊犁黄土为研究对象,采用离心机法和滤纸法对伊犁黄土在不同盐分条件下进行土壤水分特征曲线测试,并在Gardner模型的基础上,提出了一个新的伊犁黄土总吸力和母质吸力SWCC拟合模型。
综上所述,针对施加改良剂对盐渍化土壤的研究,前期研究成果主要集中在改良剂对于盐渍化土壤改良效果方面,但对施加改良剂后的土壤水力特性的研究相对很少。本文针对宁夏引黄灌区典型盐渍化土壤,在大田改良试验的基础上,进行分层取样分析,针对每个土样,利用压力膜仪和自循环达西渗流试验仪测量SWCC和渗透系数,并对结果进行对比分析,以期为引黄灌区盐渍化土壤改良、次生盐碱化防治等提供参考。
1 材料与方法 1.1 供试土壤供试土壤样品取自宁夏回族自治区银川市南梁农场一队的盐渍化试验田(38°38′55.01″N, 106°12′37.60″E)。田间试验中,首先对该试验田进行了10 m×8 m的分区,对不同区块施加改良剂糠醛渣、牛粪、多元菌、蚯蚓粪、脱硫石膏和粉煤灰等,并进行了两组重复处理,改良剂的使用量在下述试验方法中列出。通过对种植油葵出苗率的统计,选择了出苗率较好的糠醛渣、牛粪、脱硫石膏、粉煤灰处理组及空白组土壤作为土壤水力特性试验的供试土样。试验区灌溉用水来自西干渠,从黄河青铜峡大坝引水,属于典型宁夏引黄灌区。气候类型为典型的温带大陆性气候,昼夜温差大,雨雪稀少,蒸发强烈,气候干燥,风大沙多等。试验土样于2021年7月14日采集,采样深度分别为0 ~ 10、10 ~ 20、20 ~ 30、30 ~ 40、40 ~ 50 cm。用环刀分别取5层原状土用于测定原状土壤的容重,并用塑料自封袋取上述各层的扰动土用于土壤其他理化性质的测定。扰动土通风阴干,在土样半干时,将土体碾碎、研磨;样品风干后,将土样中的石块、植物根茎、枝叶等杂物除去,并将风干后的土样过2.5 mm筛制备成室内土柱试验用土。
未施加改良剂供试土壤(空白组)的粒径组成采用中国丹东百特仪器有限公司生产的Bettersize 2000激光粒度分析仪进行测定,依据美国土壤质地分类制标准,得到试验区0 ~ 50 cm土层土壤黏粒(粒径 < 0.002 mm)、粉粒(粒径0.002 ~ 0.05 mm)及砂粒(粒径0.05 ~ 2 mm)的含量(%,V/V),质地分类及容重如表 1所示。从表 1中可以看出,表层的土壤容重最小,土壤容重随土层深度增加而增大;0 ~ 50 cm土层土壤黏粒含量均小于15%,0 ~ 40 cm土层砂粒含量在20% ~ 30%,20 ~ 50 cm土层粉粒含量均大于60%,土壤质地主要以粉壤土为主。
|
|
表 1 土壤物理性质 Table 1 Physical properties of tested soil |
利用玻璃电极法测定未施加改良剂供试土样的pH,滴定法测定Ca2+、Mg2+、Cl–、SO42–、CO32–、HCO3–含量,火焰光度法测定K+和Na+含量。全盐量为八大离子之和,碱化度为吸附性钠离子占全部吸附性阳离子的百分比。测得的基本数据如表 2所示,可见,试验田土壤为中度盐渍化土壤,其碱化度约为20%,位于中碱化土和强碱化土之间。
|
|
表 2 土壤基本化学性质 Table 2 Basic chemical properties of tested soil |
本试验利用北方民族大学流体力学实验室压力膜仪测定土壤水分特征曲线,该仪器由带有多孔板的压力室、排水和测量系统及控制压力室压力的调压系统三部分组成,最大压力为1 500 kPa,如图 1所示。供试不同改良剂处理土样如表 3所示。
|
图 1 压力膜仪 Fig. 1 Pressure-membrane meter |
|
|
表 3 供试改良剂处理土样 Table 3 Soils tested under different conditioners |
压力膜仪通过施加外部压力使水分从土壤中流出,从而获得不同压力下的土壤含水率,通过不同压力下测得的含水率绘制土壤水分特征曲线。土壤体积含水率的计算公式为:
| $ {\theta _i} = \frac{{\left( {{m_{wsi}} - {m_s}} \right)/{\rho _w}}}{{{m_s}/{\rho _s}}} $ | (1) |
式中:θi为在压力值i下的土样的体积含水率(cm3/cm3);mwsi为在压力值i下的土样的湿土质量(g);ms为土样的干土质量(g);ρw为水的密度,这里取1g/cm3;ρs为某土样的容重(g/cm3)。
为了研究不同改良方案下水分在盐渍化土壤中的入渗情况,设置了不同改良剂处理(表 3)的土柱试验,测定湿润锋随时间的变化情况,试验在自循环达西渗流试验仪中进行。入渗试验装置为圆柱形自循环达西渗流试验仪,属于定水头试验装置,主体采用透明有机玻璃制成,高50 cm,内径15 cm,其结构主要由3部分组成,如图 2所示。该装置底部为长方体蓄水池,为入渗循环供水,主体部分顶部为定压水头,中间部分为土柱,试验开始时打开底部供水阀门,待湿润面完全浸湿到表层时打开管壁相连的两个测压管,两个测压点分别在距底端10 cm和40 cm处,侧边为U型测压计,测量稳定渗流时两个测压点之间的水力坡度。试验开始前,从下往上压实、每层接触面抛毛后依次装入40 ~ 50、30 ~ 40、20 ~ 30、10 ~ 20、0 ~ 10 cm的土样。为了测量的准确性,在每个改良剂处理下设置了3个不同流量,分别为3.0×10–4、2.6×10–4、1.7×10–4m3/d进行渗透系数的测量。
|
图 2 试验所用土柱装置 Fig. 2 Soil column device for experiment |
自循环达西渗流试验仪工作原理符合达西定律。由于土柱试验中渗流流速很小,故流速水头可以忽略不计。总水头H可用测压管水头h来表示,水头损失hw可用测压管水头差来表示,则水力坡度J可用测压管水头坡度来表示:
| $ J = \frac{{{h_{\text{w}}}}}{l} = \frac{{{h_1} - {h_2}}}{l} = \frac{{\Delta h}}{l} $ | (2) |
式中:l为两个测量断面之间的距离(测点间距),h1与h2为两个测量断面的测压管水头。
达西(Darcy)通过大量试验,得到圆筒断面积A和水力坡度J成正比,并和土壤的透水性能有关,即
| $ v = k\frac{{{h_{\text{w}}}}}{l} = kJ $ | (3) |
| $ 或,{q_V} = kAJ $ | (4) |
式中:v为渗流断面平均流速;k为渗透系数;qV为渗流量;A为圆筒断面面积;hw为水头损失。
1.3 数据处理渗透系数取3次测量的平均值,采用Excel 2020进行数据处理,利用Origin 2018和MATLAB R2018b进行绘图和土壤水分特征曲线的拟合。
2 结果与分析 2.1 不同改良剂对土壤水分特征曲线的影响土壤水分特征曲线反映了土壤压力水头与土壤水含量的函数关系,该曲线能够间接反映土壤空隙大小的分布,是土壤水力特性的重要指标,也是研究土壤水盐运移、土壤侵蚀过程的关键[15]。
将同一土层不同改良剂处理的土壤水分特征曲线进行对比,如图 3所示可以看出,对各种改良后的土壤和对照组,在吸力(土壤基质势h的绝对值, s=|h|)较小时(s≤200 kPa),土壤含水率随吸力增大而减小,变化速度较大;在吸力较大时(s > 200 kPa),土壤含水率随吸力增大而减小,但变化速度逐渐减小,直至最后含水率不再随着吸力的变化而变化,这时的含水率即为残余含水率θr。这是因为土壤的孔隙大小是不同的,当土壤由饱和状态逐渐施加压力(或吸力)时,较大孔隙中的水分先被压(吸)出,然后是较小孔隙中的水分;在同样的压力(或吸力)作用下,孔隙越大水分越容易流失,孔隙越小水分越不容易流失。
|
图 3 不同土层的实测土壤水分特征曲线 Fig. 3 Measured soil water characteristic curves of different soil layers |
从图 3还可以看出,土壤改良剂处理前后的土壤水分特征曲线有明显的变化,这说明改良剂对土壤结构有较大的影响,且不同改良剂的影响有所不同。对于表层土壤(0 ~ 30 cm),当吸力s < 100 kPa时,在同一吸力下,不同改良剂处理后的土壤含水量均小于对照组,而当s > 300 kPa时,只有S2(牛粪处理)组含水率大于对照组,而其他3个处理组(S1糠醛渣处理、S3脱硫石膏处理、S4粉煤灰处理)的含水率均低于对照组。这是因为经过土壤改良剂处理后,土壤结构有所变化,孔隙率也相应发生变化。在吸力较大时,孔隙率越大,含水率反而越小。因此,不同改良剂处理后,除S2组外,其余3组土壤孔隙率有所增大。整体而言,各层土壤在土壤吸力相同时,S1组和S2组的含水率高于S3组和S4组,如果仅从土壤持水性能上看,牛粪和糠醛渣改良效果要优于粉煤灰和脱硫石膏。
2.2 不同改良剂处理土壤水分特征曲线的拟合土壤水分特征曲线的拟合采用van Genuchten (VG)模型[21]:
| $ \theta (h) = {\theta _{\text{r}}} + \frac{{{\theta _{\text{s}}} - {\theta _{\text{r}}}}}{{{{\left( {1 + \left| {\alpha {h^n}} \right|} \right)}^m}}} $ | (5) |
式中:θ(h)、θr和θs分别表示土壤体积含水率、残余含水率和饱和含水率,cm3/cm3;h为压力水头(负压),kPa;α、m、n为形状参数,其中m =1–1/n,0 < m < 1。本文基于内部映射牛顿法的子空间置信域法来反演上述模型中的有关参数,该算法的优点是能够精确地反演多参数数学模型,其基本原理如下:
| $ {\mathrm{min}}_{x}\frac{1}{2}||F(x, \theta \text{ })-h\text{ }{||}_{2}^{2}=\frac{1}{2}{\displaystyle \sum {\left(F\left(x, {\theta }_{{}_{i}}\right)-{h}_{i}\right)}^{2}} $ | (6) |
式中:θ和h为实测的含水率和压力水头;F(x, θ)为拟合向量函数值;
| $ {\text{RSS}} = v_1^2 + v_2^2 + \cdots + v_n^2 $ | (7) |
式中:vi=θi –yi(θi为实测值yi为拟合值)。
本文利用实测数据,按照上述方法进行曲线拟合,拟合所得的土壤特性参数见表 4,可以发现,各层土壤不同处理组的土壤特性参数不同。本文同时将拟合曲线和实测数据在同一个图中进行了对比,如图 4所示可以看出,土壤水分特征曲线拟合值与实测值比较接近,说明该方法拟合效果较好。如果仅从土壤持水性能看,各层土壤中牛粪处理组(S3)和糠醛渣处理组(S2)持水性一般优于其他各组。
|
|
表 4 各处理组不同深度土壤水分特征曲线的拟合参数 Table 4 Fitting parameters of soil water characteristic curves of different layers under different cases |
|
图 4 VG模型拟合的不同土层土壤水分特征曲线 Fig. 4 Soil water characteristic curves of different soil layers fitted by VG model |
不同改良剂处理后的各层土壤容重如表 5所示。从表 5可以看出,不同改良剂处理前后土壤容重会发生一定变化,不同深度土壤容重也略有不同。整体上,S1和S2处理组各土层的土壤容重略低于CK组,而S3和S4处理组没有表现明显的规律。这说明牛粪和糠醛渣改良剂作用下,土壤孔隙率变大,容重变小。
|
|
表 5 不同改良剂处理后各层土壤容重(g/cm3) Table 5 Soil bulk density of each layer under different soil conditioners |
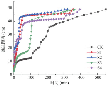
图 5给出了不同改良剂处理组土柱试验中土壤湿润锋随时间变化的曲线,可以发现,各组土壤湿润锋推进速度不同。其中,CK组湿润锋推进速度最慢,其他各处理组从慢到快依次是S4、S3、S1和S2,说明不同改良剂处理后土壤中水分入渗速度最快的是S2,其次是S1,然后是S4,而最慢的是S3。这是由于不同改良剂对土壤容重及孔隙率有一定程度的改变,从而影响了土壤中水分的运动速度,同时也进一步说明S1和S2处理土壤更有利于水分的运动。
|
图 5 不同处理下土壤湿润锋推进距离与时间的关系 Fig. 5 Relations between position and time of soil wetting front under different treatments |
渗透系数是研究及描述水和化学物质在土壤和地下水中运移的关键水力参数之一。本试验中,对照组和4个处理组的渗透系数分别为7.28×10–3、6.58×10–2、6.83×10–2、5.08×10–2、2.01×10–2 m/d。与CK组相比较,不同改良剂处理下,土壤渗透系数均有不同程度增大,其中,S2处理组增大幅度最大,其次是S1处理组,然后是S3处理组,而S4处理组增大幅度较小。这是因为牛粪本属于有机质,施加后可以提高土壤中水稳性团聚的数量,提高土壤水分、有机质、全氮和磷的含量,并降低土壤的pH,这与左文刚等[22]的研究结果较一致;糠醛渣是以玉米穗轴等农副产品粉碎后加入硫酸或磷酸钙等在一定的温度和压力作用下发生化学反应提取糠醛后剩下的废渣,其本身含有速效氮、速效磷等,可以改良盐渍土,促进植物生长,有利于土壤水分运动;施加脱硫石膏后可以降低盐渍化土壤中的代换性钠、碱化度和钠吸附比,从而提高了土壤的透水性,使得饱和渗透系数变大,这与王金满等[23]研究结果一致;粉煤灰是一种复杂的细分散固体物质,具有渗透快、吸附性高的特征特性,可以改善土壤结构、降低容重、增加孔隙度、提高地温、缩小膨胀率,有利于保湿保墒,但由于其本身质地的原因,短期内对土壤的通透性改变不是很明显[24]。
3 小结1) 各层土壤在土壤水吸力相同时,施加不同改良剂后的土壤含水率一般大于对照组,而有机改良剂(牛粪和糠醛渣)处理组的含水率大于无机改良剂(粉煤灰和脱硫石膏)处理组。并且不同改良剂对土壤容重有一定程度的改善,有机改良剂处理效果更明显。
2) 对比不同改良剂处理下的土壤水分特征曲线,发现牛粪和糠醛渣改良后的土壤持水性能要优于脱硫石膏和粉煤灰,并且VG模型能很好地拟合该区域的土壤水分特征曲线。
3) 通过不同改良剂处理土壤入渗的湿润峰推进速度和土壤渗透系数得出,有机改良剂处理土壤更有利于水分的运动,其中,牛粪处理组增加幅度最大,其次是糠醛渣处理组,然后是脱硫石膏处理组和粉煤灰处理组。
4) 总体上,有机改良剂(牛粪和糠醛渣)对土壤性态的改良效果更好,而无机改良剂(脱硫石膏和粉煤灰)对土壤改良效果相对较弱。
| [1] |
Su X S, Wang Y Q, Wang G X, et al. Assessment and prediction of coastal saline soil improvement effects combining substrate amendments and salt barrier materials in typical region of the Yangtze River Delta[J]. Soil and Tillage Research, 2022, 223: 105483 DOI:10.1016/j.still.2022.105483 ( 0) |
| [2] |
杨劲松, 姚荣江, 王相平, 等. 中国盐渍土研究: 历程、现状与展望[J]. 土壤学报, 2022, 59(1): 10-27 ( 0) |
| [3] |
黄晶, 孔亚丽, 徐青山, 等. 盐渍土壤特征及改良措施研究进展[J]. 土壤, 2022, 54(1): 18-23 ( 0) |
| [4] |
赵文娟. 宁夏银北地区盐渍土水盐运移数值模拟研究[D]. 银川: 宁夏大学, 2014.
( 0) |
| [5] |
吴军涛, 景何仿, 王维红, 等. 宁夏南梁农场土壤水盐特征研究[J]. 宁夏工程技术, 2021, 20(3): 260-265 ( 0) |
| [6] |
Guo X X, Jing H F, Wang W H, et al. Investigation on temporal and spatial distributions of soil moisture and salinity in typical subareas of Ningxia yellow diversion irrigation area[M]// Advances in Transdisciplinary Engineering. Amsterdam: IOS Press, 2021
( 0) |
| [7] |
Wu J T, Jing H F, Wang W H, et al. Investigation of the salinity distribution of the soil along west main canal in Ningxia, China[J]. IOP Conference Series: Earth and Environmental Science, 2021, 697(1): 012012 DOI:10.1088/1755-1315/697/1/012012 ( 0) |
| [8] |
张涛. 天津滨海盐渍土改良及植被修复的研究[D]. 北京: 中国农业大学, 2016.
( 0) |
| [9] |
赵营. 宁夏引黄灌区不同类型农田氮素累积与淋洗特征研究[D]. 北京: 中国农业科学院, 2012.
( 0) |
| [10] |
Khotabaei M, Emami H, Astaraei A, et al. Improving soil physical indicators by soil amendment to a saline-sodic soil[J]. Desert, 2013, 18: 73-78 ( 0) |
| [11] |
宋沙沙, 苟宇波, 何欣燕, 等. 改良剂对盐碱土的改良效应及垂柳生长的影响[J]. 北京林业大学学报, 2017, 39(5): 89-97 ( 0) |
| [12] |
王睿彤, 陆兆华, 孙景宽, 等. 土壤改良剂对黄河三角洲滨海盐碱土的改良效应[J]. 水土保持学报, 2012, 26(4): 239-244 ( 0) |
| [13] |
王静, 许兴, 肖国举, 等. 脱硫石膏改良宁夏典型龟裂碱土效果及其安全性评价[J]. 农业工程学报, 2016, 32(2): 141-147 ( 0) |
| [14] |
张志美, 袁梦, 李燊, 等. 不同改良剂对东营盐碱地改良效果研究[J]. 腐植酸, 2021(6): 15-21 ( 0) |
| [15] |
Zhang Y, Yang J S, Yao R J, et al. Short-term effects of biochar and gypsum on soil hydraulic properties and sodicity in a saline-alkali soil[J]. Pedosphere, 2020, 30(5): 694-702 DOI:10.1016/S1002-0160(18)60051-7 ( 0) |
| [16] |
Rezaei M, Shahbazi K, Shahidi R, et al. How to relevantly characterize hydraulic properties of saline and sodic soils for water and solute transport simulations[J]. Journal of Hydrology, 2021, 598: 125777 DOI:10.1016/j.jhydrol.2020.125777 ( 0) |
| [17] |
孙燕, 王建, 王全九, 等. 生化黄腐酸对盐碱土水盐运移特征的影响[J]. 农业机械学报, 2022, 53(1): 302-310 ( 0) |
| [18] |
张皓钰, 刘竞, 易军, 等. 生物质炭短期添加对不同类型土壤水力性质的影响[J]. 土壤, 2022, 54(2): 396-405 ( 0) |
| [19] |
Wu S C, Ma D H, Liu Z P, et al. An approximate solution to one-dimensional upward infiltration in soils for a rapid estimation of soil hydraulic properties[J]. Journal of Hydrology, 2022, 612: 128188 DOI:10.1016/j.jhydrol.2022.128188 ( 0) |
| [20] |
Wang Y G, Zhang A J, Ren W Y, et al. Study on the soil water characteristic curve and its fitting model of Ili loess with high level of soluble salts[J]. Journal of Hydrology, 2019, 578: 124067 DOI:10.1016/j.jhydrol.2019.124067 ( 0) |
| [21] |
彭建平, 邵爱军. 用MatLab确定土壤水分特征曲线参数[J]. 土壤, 2007, 39(3): 433-438 ( 0) |
| [22] |
左文刚, 黄顾林, 朱晓雯, 等. 施用牛粪对沿海泥质滩涂土壤原始肥力驱动及黑麦草幼苗生长的影响[J]. 植物营养与肥料学报, 2016, 22(2): 372-379 ( 0) |
| [23] |
王金满, 白中科, 叶驰驱, 等. 脱硫石膏与微生物菌剂联合施用对盐碱化土壤特性的影响[J]. 应用基础与工程科学学报, 2015, 23(6): 1080-1087 ( 0) |
| [24] |
郑鹏, 党廷辉, 薛江. 粉煤灰、砒砂岩对煤矿排土场土壤水分特性改良的研究[J]. 土壤学报, 2023, 60(2): 399-408 ( 0) |
2. School of Civil Engineering, North Minzu University, Yinchuan 750021, China;
3. School of Civil and Hydraulic Engineering, Ningxia University, Yinchuan 750021, China
2024, Vol. 56



0)