2. 中国科学院大学, 北京 100049;
3. 广州王老吉大健康产业有限公司, 广州 510660;
4. 广西有田药业有限公司, 广西玉林 537000;
5. 安徽省农业科学院烟草研究所, 合肥 230031
菊花(Chrysanthemum morifolium Ramat.)为菊科多年生草本植物,有清热明目、抗菌消炎等功效,可食用、茶用、药用等[1]。菊花在我国分布广泛,浙江、江苏、安徽、湖北等地均有种植,其中以浙江桐乡、江苏射阳、安徽歙县、安徽亳州、湖北麻城等地最为著名[2]。
菊花生长所需养分绝大部分来自土壤,因此由土壤性质与养分供应能力构成的土壤肥力状况与菊花的生长发育、产量形成密不可分[3-4]。不同菊花种植区土壤性质差异较大,影响菊花生长与产量形成的土壤因子也相对复杂。基于最小数据集(Minimum date set, MDS)的土壤综合肥力评价方法,可通过筛选出相对独立且能够代表土壤实际情况的几个关键指标构成MDS,并根据MDS得到土壤的综合肥力指数(Integrated fertility index, IFI),从而更加简洁高效地对土壤肥力做出描述[5-6]。
前人研究土壤与菊花的关系时,或是单纯对菊花种植区土壤肥力进行评价[5],或是着眼于土壤养分与菊花花中矿质元素含量及有效成分的关系[3, 7],对种植区土壤肥力进行综合评价并阐释其与菊花生长之间关系的研究却少见报道。安徽省亳州市素有“华佗故里,药材之乡”的美称,其中药材产业极具优势与特色。菊花作为亳州中药材产业中的重要种类之一,2018年种植面积已近5万亩(1亩=667m2)并仍在逐年扩大。亳州市菊花主要种植于谯城区[8-9]。本研究通过点对点取样法,在亳州谯城区多点采集收获期菊花植株样品及根区土样,采用MDS方法评价亳州菊花种植区土壤综合肥力,探究土壤肥力与菊花生长和产量形成之间的关系,以期为亳州菊花的规范化种植及养分管理提供科学依据。
1 材料与方法 1.1 研究区概况亳州市谯城区位于淮北平原北部,面积2 226 km2,海拔32 ~ 42 m。该区气候环境优越,属暖温带半湿润气候,年平均日照2 508 h,年均气温14.5℃,年均降水量805 mm。全区耕地面积12.6万hm2,土壤类型主要为潮土和砂姜黑土。目前研究区内菊花种植区主要分布于十八里、十河、谯东、观堂、沙土等镇。
1.2 样品采集于2022年9—11月(菊花收获期)在谯城区的主要菊花种植区,根据不同土壤类型、菊花品种、种植规模等实际情况进行布点,最终在研究区内设置116个采样点,采样点分布图见图 1。本研究通过点对点调查的方法进行样品采集,于每个采样点采集开放较完全的1 ~ 4株菊花整株样品(品种为谯城区主栽杭白菊),以及对应植株根系附近的耕层(0 ~ 20 cm)土壤样品,每个样点的多个样品经混合后组成为1件样品。采集的菊花植株样品装入网袋中以便带回室内测定,采集的土壤样品经去杂、混匀、自然风干、碾磨过筛后备用。
|
图 1 研究区域及采样点分布 Fig. 1 Spatial distributions of study area and sampling sites |
本研究测定了菊花的株高、茎粗、花朵数、全株干重、收获指数及产量等指标。从网袋中取出采集的单株样品,用卷尺测定株高,用游标卡尺测定茎粗,并将花朵数进行计数。将植株分不同部位放入纸袋中,在烘箱中105 ℃杀青30 min,之后调整温度至60 ℃烘至恒重,用天平称量各部位干重,其中全株干重为菊花单株各部位干重之和。收获指数=单株花干重/全株干重,产量=单株花干重×种植密度(株/hm2, 调查采样时记录)。
本研究测定了19项土壤指标。其中,土壤pH用电位法测定(水土比2.5∶1,V/m);电导率(EC)用电导法测定(水土比5∶1,V/m);有机质(OM)用重铬酸钾氧化–容量法测定;阳离子交换量(CEC)用乙酸钠–火焰光度法测定;全氮(TN)用H2SO4-HClO4法消化,流动分析仪(SmartChem 200)测定;全磷(TP)、全钾(TK)用HNO3-HClO4-HF法消化,分别用钼锑抗比色法、火焰光度法测定;铵态氮(NH4+-N)和硝态氮(NO3–-N)用KCl浸提,流动分析仪测定,铵态氮与硝态氮的数值之和为速效氮(AN);有效磷(AP)用碳酸氢钠法测定;速效钾(AK)用乙酸铵–火焰光度法测定;有效钙(ACa)、有效镁(AMg)用乙酸铵浸提,ICP-AES法测定;有效硫(AS)用硫酸钡比浊法测定;有效铁(AFe)、有效锰(AMn)、有效铜(ACu)、有效锌(AZn)用DTPA浸提,ICP-AES法测定;有效氯(ACl)用硝酸银滴定法测定。
1.4 MDS构建运用主成分分析法对土壤各指标进行降维,提取特征值≥1的主成分,经最大方差法旋转后,将同一主成分上因子载荷绝对值≥0.6的指标分为一组。随后通过公式(1)计算每个土壤指标的Norm值,Norm值越大表示该指标对全部土壤指标数据集(Total Date Set, TDS)信息的综合解释能力越强。选取每组中对应最大Norm值的指标,以及该组中Norm值≥90% 最大Norm值的指标。若每组中被选取的指标只有1个,则其直接进入MDS;若每组中被选取的指标不止1个,则对这些指标进行相关分析,从相关性较强(r≥0.45, P < 0.01)的指标中选取Norm值较高的进入MDS,而不具相关性或相关性较弱的指标则全部保留进入MDS。Norm值计算公式如下:
| $ {N_{ik}} = \sqrt {\mathop \sum \limits_{i = 1}^k \left( {u_{ik}^2 \times {\lambda _k}} \right)} $ | (1) |
式中:Nik是第i个指标在特征值≥1的前k个主成分上的综合载荷,即该指标的Norm值;uik为第i个指标在第k个主成分上的载荷;λk为第k个主成分的特征值。
1.5 IFI计算IFI的取值范围在0 ~ 1,IFI越大表示土壤综合肥力越高。IFI计算公式如下:
| $ {\text{IFI}} = \mathop \sum \limits_{i = 1}^n {F_i} \times {W_i} $ | (2) |
式中:Fi为第i个指标的隶属度值;Wi为第i个指标的权重。
隶属度值Fi由各指标所对应的隶属度函数确定。本研究中采用抛物线型、S型及反S型隶属度函数模型,Fi越接近1,表示单项土壤指标的肥力水平越高。
抛物线型隶属度函数公式:
| $ f\left( x \right) = \left\{ {\begin{array}{<sup>*</sup>{20}{c}} {1.0 - 0.9\left( {x - {x_3}} \right)/\left( {{x_4} - {x_3}} \right)} \\ {1.0} \\ {0.1 + 0.9\left( {x - {x_1}} \right)/\left( {{x_2} - {x_1}} \right)} \\ {0.1} \end{array}} \right. \begin{array}{l}{x}_{3}<x<{x}_{4}\\ {x}_{2}\le x\le {x}_{3}\\ {x}_{1} < x < {x}_{2}\\ x\le {x}_{1}, x\ge {x}_{4}\end{array} $ | (3) |
S型隶属度函数公式:
| $ f\left( x \right) = \left\{ {\begin{array}{<sup>*</sup>{20}{c}} {1.0} \\ {0.1 + 0.9\left( {x - {x_1}} \right)/\left( {{x_2} - {x_1}} \right)} \\ {0.1} \end{array}} \right. \begin{array}{l}x\ge {x}_{2}\\ {x}_{1}<x<{x}_{2}\\ x\le {x}_{1}\end{array} $ | (4) |
反S型隶属度函数公式:
| $ f\left( x \right) = \left\{ {\begin{array}{<sup>*</sup>{20}{c}} {0.1} \\ {1.0 - 0.9\left( {x - {x_1}} \right)/\left( {{x_2} - {x_1}} \right)} \\ {1.0} \end{array}} \right. \begin{array}{l}x\ge {x}_{2}\\ {x}_{1}<x<{x}_{2}\\ x\le {x}_{1}\end{array} $ | (5) |
式(3) ~ (5)中:f(x)为指标的隶属度值,x为指标的测定值,x1 ~ x4为隶属度函数的转折点取值。本研究中pH采用抛物线型函数,EC、ACl采用反S型函数,其他指标均采用S型函数。隶属度函数转折点的取值参考第二次土壤普查及相关研究文献的分级标准和研究结果[10–16]确定(表 1)。
|
|
表 1 隶属度函数转折点取值 Table 1 Turning points of membership functions of soil fertility indexes |
本研究为明确MDS中适宜菊花生长发育与产量形成的土壤指标,将入选MDS的每项土壤指标与菊花的生长、产量指标(株高、茎粗、花朵数、全株干重、收获指数、产量)进行相关分析,并将6个相关系数求均值,每项土壤指标的该均值与MDS中所有土壤指标该均值之和的比值即为MDS中土壤指标的权重[15]。此外,TDS中各指标的权重采取相对常规的方法计算[5, 17],权重即各指标公因子方差占公因子方差总和的比值,以此验证本研究中MDS的IFI是否能够一定程度上代表TDS的IFI。
1.6 数据整理及分析使用Excel 2016对数据进行整理,使用SPSS 25.0对数据进行描述统计、Pearson相关分析、主成分分析、简单线性回归分析,使用R语言rfPermut包进行随机森林相对重要性预测。
2 结果与分析 2.1 研究区土壤肥力研究区土壤各指标描述性统计结果如表 2所示。依据本研究中参考的分级标准,研究区土壤呈弱碱性(pH均值7.83)、盐度低(EC均值0.27 mS/cm)、OM含量较低(均值18.69 g/kg)、保肥性强(CEC均值35.43 cmol/kg);土壤养分TP(均值1.20 g/kg)、AK(均值203.27 mg/kg)、ACa(均值4 758.62 mg/kg)、AS(均值54.73 mg/kg)含量极丰富,AP(均值30.40 mg/kg)、AMg(均值295.89 mg/kg)、ACu(均值1.40 mg/kg)含量丰富,TN(均值1.13 g/kg)、TK(均值15.62 g/kg)、AZn(均值0.77 mg/kg)含量中等,AN(均值23.41 mg/kg)、AFe(均值3.17 mg/kg)、AMn(均值3.78 mg/kg)、AB(均值0.18 mg/kg)含量缺乏,ACl(均值21.41 mg/kg)含量适宜。在变异系数方面,各土壤指标的变异系数介于2.29% ~ 87.73%。其中pH变异系数 < 10%,属于不敏感水平;EC、OM、CEC、TN、TP、TK、AN、AK、ACa、AMg、AS、AMn、ACu、AB变异系数介于10% ~ 40%,属于低度敏感水平;AP、AFe、AZn、ACl变异系数介于40% ~ 100%,属于中度敏感水平。
|
|
表 2 土壤肥力指标描述性统计 Table 2 Descriptive statistics of soil fertility indexes |
将研究区分为两个不同区域,分别绘制每个区域各土壤指标隶属度值的雷达图,结果如图 2所示。研究区土壤微量元素隶属度值极低,AFe、AMn、AZn、AB是限制研究区土壤肥力指标的几个重要因子;OM、TN、AN隶属度值相对偏低,也一定程度上影响了土壤肥力水平。在区域方面,谯城区东侧土壤隶属度值在TP、AN、AP、AK指标上略高于谯城区西侧,两个区域其他指标隶属度值较接近。
|
图 2 土壤肥力指标隶属度函数值雷达图 Fig. 2 Radar chart of membership function values of soil fertility indexes |
研究区菊花生长、产量指标描述性统计如表 3所示。菊花株高介于30.87 ~ 76.84 cm,均值为56.05 cm;茎粗介于7.86 ~ 17.83 mm,均值为11.69 mm;花朵数介于116 ~ 753朵,均值为307朵;全株干重介于63.18 ~ 383.92 g,均值为169.22 g;收获指数介于0.14 ~ 0.49,均值为0.33;产量介于1.26 ~ 10.40 t/hm2,均值为4.91 t/hm2。在变异系数方面,所有指标均属中度敏感水平,其中株高、茎粗、收获指数变异系数低于25%;花朵数、全株干重、产量变异系数接近40%。
|
|
表 3 菊花生长、产量指标描述统计 Table 3 Descriptive statistics of growth and yield indexes of Chrysanthemum morifolium |
将本研究中19项土壤指标进行KMO和Bartkett球形度检验,其KMO值为0.736,P < 0.01,表明适合进行主成分分析。采用主成分分析法提取了6个主成分,累计方差贡献率达69.50%,表明6个主成分基本可以解释19项土壤指标所包含的信息,满足主成分提取要求。
按照各指标在不同主成分上的因子载荷绝对值大小进行筛选和分类。其中,ACa、AMg、CEC、TK进入第一组,EC、ACl、AFe、AZn进入第二组,AN、ACu进入第三组,AP、TP进入第四组,AB、OM进入第五组,AS进入第六组。
利用公式计算各组指标的Norm值(表 4),并对各指标进行相关分析(表 5),根据各组中指标的Norm值和指标间的相关性进行进一步筛选。第一组中,ACa进入MDS;第二组中,EC、AFe进入MDS;第三组中,AN、ACu进入MDS;第四组中,AP进入MDS;第五组中,OM进入MDS;第六组中,AS进入MDS。最终确定ACa、EC、AFe、AN、ACu、AP、OM、AS共8个土壤指标进入MDS。
|
|
表 4 土壤肥力指标载荷矩阵、公因子方差及Norm值 Table 4 Load matrix, Norm value and common factor variance of soil fertility indexes |
|
|
表 5 土壤肥力指标间的相关性 Table 5 Correlations among soil fertility indexes |
对土壤肥力指标与菊花生长、产量指标进行相关分析(表 6),依据相关系数确定MDS中指标的权重;并按照公因子方差(表 4)计算TDS中各指标的权重。再计算TDS和MDS两种数据集的IFI,结果表明,TDS的IFI(IFI-TDS)介于0.514 ~ 0.748,均值为0.652,变异系数为6.576%,属于不敏感水平;MDS的IFI(IFI-MDS)介于0.212 ~ 0.678,均值为0.458,变异系数为18.227%,属于低度敏感水平。IFI-TDS与IFI-MDS的相关系数为0.869(P < 0.01),对两者进行回归分析,IFI-TDS关于IFI-MDS的回归方程为y = 0.4468x + 0.4482(R2 = 0.7547),说明基于MDS进行土壤综合肥力评价的IFI能够较好地代表IFI-TDS,故采用IFI-MDS对土壤进行综合肥力评价及进一步的分析。
|
|
表 6 土壤肥力指标与菊花生长、产量指标的相关性 Table 6 Correlations between soil fertility indexes with growth and yield indexes of Chrysanthemum morifolium |
根据等距法将研究区的土壤IFI-MDS分为5个水平[15],研究区样点的IFI-MDS主要为中等水平,占比70.69%;其次为良好水平,占比27.59%;最后为较差水平,仅占1.72%(表 7)。
|
|
表 7 IFI等级划分与对应的样点数量统计 Table 7 IFI level classification and statistics of corresponding sample numbers |
IFI-MDS与菊花生长、产量指标的相关分析结果如表 8所示。IFI-MDS与菊花的株高、收获指数呈显著正相关,与全株干重、产量呈极显著正相关,但与茎粗、花朵数相关水平不显著。将IFI-MDS与产量进行线性拟合(图 3),得到产量关于IFI-MDS的回归方程y = 14.079x – 1.5378 (R2 = 0.368)。
|
|
表 8 IFI-MDS与菊花生长、产量指标的相关性 Table 8 Correlations between IFI-MDS with growth and yield indexes of Chrysanthemum morifolium |
|
图 3 IFI-MDS对产量的回归分析 Fig. 3 Regression between IFI-MDS and Chrysanthemum morifolium yield |
通过随机森林模型分析了构成IFI-MDS的8个土壤指标对于产量的相对重要性(图 4)。结果表明,各指标对产量的相对重要性大小为AFe > OM > AN > ACu > AS > ACa > EC > AP,其中AFe、OM、AN、ACu对产量的相对重要性达到极显著水平,AS、ACa达到显著水平,EC、AP未达到显著水平。
|
图 4 MDS中各肥力指标对产量的相对重要性 Fig. 4 Relative importance of soil fertility indexes in MDS to Chrysanthemum morifolium yield |
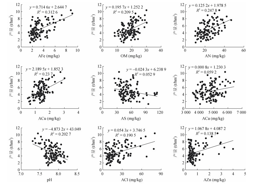
选取相对重要性显著或极显著以及与产量相关性较强的土壤指标,进行回归分析(图 5),结果表明AFe、OM、AN、ACu、AS、ACa、pH、ACl、AZn与产量呈现不同程度的线性关系。
|
图 5 部分土壤肥力指标对产量的回归分析 Fig. 5 Regression between soil fertility indexes and Chrysanthemum morifolium yield |
亳州的土壤类型主要是潮土和砂姜黑土[18],土壤特性导致研究区土壤pH偏碱,Fe、Zn等微量元素不足,而K、Ca含量较高,表现出较强的保肥能力。研究区土壤综合肥力水平总体适中,本研究的116个样点中,仅2个样点的土壤综合肥力水平为较差,剩余样点均为中等或良好,占比98.28%,而研究区不存在分级水平为优的样点,表明土壤肥力仍有提升空间。隶属度函数雷达图(图 2)显示,微量养分AFe、AMn、AZn和AB是限制土壤综合肥力提升的主要因子。研究区东西两侧土壤各指标的隶属度值相近,但东侧大量养分隶属度值高于西侧,尤其是一些速效养分(AN、AP、AK)。根据调查,研究区东部的乡镇(谯东镇、观堂镇、沙土镇)多以个体农户为单位进行菊花种植,每户种植规模小,但各乡镇参与种植的农户多;而研究区西部的乡镇(主要是十八里镇和十河镇)则有种植大户和公司管理的菊花基地。不同的种植者在养分管理上也有差异,小农户可能会为了提高单产增加大量养分投入,导致东西两侧土壤性质虽然相近,但东侧速效N、P、K水平高于西侧。
菊花生长发育和产量形成与土壤性质及养分供给密不可分。本研究基于MDS计算的土壤IFI可以较好地代表研究区的土壤综合肥力,而土壤IFI与菊花产量呈极显著的线性关系,这表明提高土壤综合肥力水平可以促进菊花产量增加。同时土壤综合肥力水平的提升还可以增加菊花株高和干物质积累量,及干物质向花器官的分配比例,从而间接影响菊花产量。
本研究还探究了MDS中各个土壤指标对菊花产量的相对重要性。其中AFe和EC很大程度上代表了在第二主成分上载荷量较大的指标包括EC、ACl、AFe、AZn、pH,这些指标又与土壤酸碱度和土壤含盐量有关。研究区土壤pH与多项有效养分指标呈显著或极显著负相关,土壤pH上升尤其会降低AFe、AZn等的含量[19],因此这些土壤养分在研究区内相对缺乏,而菊花对Fe、Zn等微量元素有一定的需求量[20],因此pH较高的土壤限制了研究区菊花的生长和产量的提升。土壤含盐量也与土壤养分有关,养分的有效性降低会导致土壤含盐量下降[21],这可能是导致菊花生长和产量受到限制的原因之一。MDS中OM、AN很大程度上代表了在第三、五主成分上载荷量较大的指标包括AN、TN、OM、ACu和AB,前三者与土壤的N供应密切相关[22]。菊花对N的需求较大,其生长与产量对氮肥十分敏感[23],而本研究中OM、TN、AN与产量的相关系数均达到了0.4以上且相关性极显著,说明提高土壤N供应对菊花的生长和产量有重要贡献。此外,OM还与多项土壤指标呈显著或极显著正相关,这说明增加研究区菊花种植土壤有机质含量对培肥土壤有着重要意义。研究区土壤中ACa很大程度上代表了第一主成分上载荷量较大的指标包括AMg、CEC、TK、AK,这些指标与土壤的基本性质有关。研究区土壤K、Ca、Mg相对丰富,保肥性较好,土壤养分不易损失,菊花可以得到较好的养分供应。另外,菊花是喜K的作物,对K的需求量超过了N[24],充足的K供应有利于菊花生长和产量形成,而本研究中AK与产量也达到了极显著相关。AP很大程度上代表了TP,研究区土壤P并不缺乏,而P供应相对不缺乏时,菊花产量对P响应并不十分明显[25],这可能是AP对产量相对重要性较低的原因。研究区土壤AS很丰富,但是过高的AS含量对菊花的生长和产量造成了不良的影响。在本研究中,土壤AS含量大于约75 mg/kg后,菊花难以达到较高产量;然而土壤ACl的增加却与产量呈一定的正向线性关系,说明菊花可能并不忌Cl。有研究表明,KCl型钾肥的投入会使菊花显著减产[26],过高的S投入量会导致玉米、小麦等作物产量的降低[27-28]。根据调查,研究区农户的钾肥投入多以K2SO4型为主,但菊花对Cl可能有着一定量的需求。研究区内KCl型钾肥的施用可使土壤S投入相对减少,从而可能减轻土壤AS过高带来的负面影响,因此,本研究认为在种植过程中可以适当投入KCl型钾肥以促进菊花生长、提高菊花产量,但是其中机理尚不明确,结论有待进一步验证。
4 结论通过对亳州市菊花种植区植株与土壤的点对点调查研究发现,研究区菊花种植土壤总体呈弱碱性,保肥性好,但微量养分相对缺乏,土壤综合肥力适中。此外,养分供应量充足、保肥性较好的中性土壤更有利于菊花的正常生长与高产。因此,宜根据土壤特性和菊花对养分的需求特点进行养分管理,从而为亳州地区菊花的高产高效规范化规模化种植提供保障。
| [1] |
戴思兰, 温小蕙. 菊花的药食同源功效[J]. 生命科学, 2015, 27(8): 1083-1090 ( 0) |
| [2] |
黄振, 柳志勇, 王顺利, 等. 我国药用菊花品种资源调查与产业现状分析[J]. 中药材, 2020, 43(6): 1325-1329 ( 0) |
| [3] |
刘引, 戴蒙, 鲍五洲, 等. 麻城不同产地菊花中矿质元素含量特征及其与土壤养分和有效成分的相关性研究[J]. 中国中药杂志, 2021, 46(2): 281-289 ( 0) |
| [4] |
郭巧生, 梁迎暖, 张重义, 等. 土壤因子对怀菊质量影响研究[J]. 中国中药杂志, 2008, 33(2): 123-128 DOI:10.3321/j.issn:1001-5302.2008.02.003 ( 0) |
| [5] |
刘引, 颜鸿远, 欧小宏, 等. 基于最小数据集的麻城菊花种植区土壤肥力质量评价[J]. 中国中药杂志, 2019, 44(24): 5382-5389 ( 0) |
| [6] |
张江周, 李奕赞, 李颖, 等. 土壤健康指标体系与评价方法研究进展[J]. 土壤学报, 2022, 59(3): 603-616 ( 0) |
| [7] |
王艳茹, 郭巧生, 邵清松, 等. 土壤因子对药用白菊花活性成分含量影响研究[J]. 中国中药杂志, 2010, 35(6): 676-681 ( 0) |
| [8] |
李磊, 赵丹丹. 亳州市中药产业发展现状及对策[J]. 现代农业科技, 2014(8): 298-300 DOI:10.3969/j.issn.1007-5739.2014.08.180 ( 0) |
| [9] |
潘子梅, 李东跃, 马杰. 亳州市谯城区药菊产业发展现状与前景[J]. 现代农业科技, 2011(4): 379, 382 ( 0) |
| [10] |
毛知耘, 周则芳, 石孝均, 等. 植物氯素营养与含氯化肥科学施用[J]. 中国工程科学, 2000, 2(6): 64-66 DOI:10.3969/j.issn.1009-1742.2000.06.013 ( 0) |
| [11] |
孙志高, 刘景双, 陈小兵. 三江平原典型小叶章湿地土壤中硝态氮和铵态氮的空间分布格局[J]. 水土保持通报, 2009, 29(3): 66-72 ( 0) |
| [12] |
黄绍文, 王玉军, 金继运, 等. 我国主要菜区土壤盐分、酸碱性和肥力状况[J]. 植物营养与肥料学报, 2011, 17(4): 906-918 ( 0) |
| [13] |
钱晓华, 杨平, 周学军, 等. 安徽省土壤有效硫现状及时空分布[J]. 植物营养与肥料学报, 2018, 24(5): 1357-1364 ( 0) |
| [14] |
余小芬, 李军营, 韩小女, 等. 云南曲靖植烟土壤交换性钙、镁与关联土壤属性的特征研究[J]. 土壤, 2019, 51(6): 1240-1245 DOI:10.13758/j.cnki.tr.2019.06.027 ( 0) |
| [15] |
陈乔乔, 翁少全, 程亮, 等. 道地金银花品质与土壤肥力关系的研究[J]. 土壤, 2021, 53(4): 732-738 DOI:10.13758/j.cnki.tr.2021.04.009 ( 0) |
| [16] |
康婷, 周春火, 魏宗强, 等. 江西省土壤阳离子交换量区域分布特征及其影响因素[J]. 中国农学通报, 2021, 37(14): 66-71 DOI:10.11924/j.issn.1000-6850.casb2020-0486 ( 0) |
| [17] |
江胜国, 肖蒙, 刘广明, 等. 天津小站稻种植区土壤质量综合评价[J]. 土壤, 2022, 54(2): 371-378 DOI:10.13758/j.cnki.tr.2022.02.022 ( 0) |
| [18] |
宋效东, 郭卢, 赵安, 等. 皖北亳州烟区土壤肥力定量评价[J]. 土壤通报, 2016, 47(1): 8-14 ( 0) |
| [19] |
褚宏欣, 党海燕, 王涛, 等. 我国主要麦区土壤有效铁锰铜锌丰缺状况评价及影响因素[J/OL]. 土壤学报, 2023: 1–10. (2023-03-27). https://kns.cnki.net/kcms/detail/32.1119.P.20230324.1008.002.html.
( 0) |
| [20] |
颜鸿远, 刘引, 徐扬, 等. 药用和茶用菊花种质资源的矿质元素分析评价[J]. 中国中药杂志, 2021, 46(2): 272-280 ( 0) |
| [21] |
潘昭隆, 刘会芳, 赵帅翔, 等. 基于土壤电导率控制的养分供给对设施番茄生长、产量和品质的影响[J]. 中国土壤与肥料, 2022(1): 163-171 ( 0) |
| [22] |
宋春雨, 张兴义, 刘晓冰, 等. 土壤有机质对土壤肥力与作物生产力的影响[J]. 农业系统科学与综合研究, 2008, 24(3): 357-362 DOI:10.3969/j.issn.1001-0068.2008.03.024 ( 0) |
| [23] |
李孝良, 程婷婷, 王付春, 等. 水氮耦合对道地药材滁菊产量及生物量的影响[J]. 中药材, 2013, 36(9): 1381-1385 ( 0) |
| [24] |
刘大会, 郭兰萍, 朱端卫, 等. 菊花对氮、磷、钾、钙和镁营养吸收与分配规律的研究[J]. 中国中药杂志, 2009, 34(19): 2444-2448 DOI:10.3321/j.issn:1001-5302.2009.19.004 ( 0) |
| [25] |
刘大会, 刘伟, 朱端卫, 等. 磷肥施用量对药用菊花生长、产量和养分吸收的影响[J]. 西南农业学报, 2010, 23(5): 1575-1580 DOI:10.3969/j.issn.1001-4829.2010.05.040 ( 0) |
| [26] |
陈荣, 年海, 吴鸿. 氮磷钾配施对紫锥菊产量和质量的影响[J]. 中草药, 2007, 38(6): 917-921 DOI:10.3321/j.issn:0253-2670.2007.06.049 ( 0) |
| [27] |
王丽, 王东, 周杰, 等. 氮硫互作对冬小麦旗叶衰老、产量和氮素利用效率的影响[J]. 土壤学报, 2016, 53(6): 1476-1488 ( 0) |
| [28] |
曹殿云, 王宏伟, 徐晓旭. 硫肥用量对玉米氮硫吸收分配和产量的影响[J]. 中国生态农业学报, 2017, 25(9): 1298-1305 ( 0) |
2. University of Chinese Academy of Sciences, Beijing 100049, China;
3. Guangzhou Wanglaoji Great Health Industry Co., Ltd., Guangzhou 510660, China;
4. Guangxi Youtian Pharmaceutical Co., Ltd., Yulin, Guangxi 537000, China;
5. Tobacco Research Institute, Anhui Academy of Agricultural Sciences, Hefei 230031, China
2024, Vol. 56



0)