2. 福建农林大学资源与环境学院/国际镁营养研究所, 福州 350002
镁(Mg)作为植物生长必需营养元素,在作物生长发育及产量建成中发挥着重要作用[1]。Mg是叶绿素中心原子[2],35% 的Mg存在叶绿体中,此外Mg作为光合关键酶的辅助因子,直接参与植物的光合作用[3]。Mg对光合产物从源到库的运输至关重要[4],这和缺Mg限制蔗糖/H+转运体的功能有关[5]。此外,Mg还参与300多种酶的活化,几乎所有的磷酸化酶和激酶都需要Mg2+激活[6]。可见,Mg从植物光合产物的合成以及运输方面显著影响着作物的产量和品质[4, 7]。
植物Mg营养主要来源于土壤[8]。李春俭等[7]对全国土壤进行调研发现,我国土壤交换性Mg含量平均值为160.5 mg/kg,南、北方土壤交换性Mg含量存在显著差异,平均值分别为94.3、393.0 mg/kg;我国有63.6% 的土壤缺Mg(低于120 mg/kg),主要分布在南方地区。这一方面是由于土壤母质含Mg量较低、降雨量大、Mg素易淋洗、离子拮抗等因素引起的[8-9];另一方面农户在实际生产中往往会忽略镁肥的施用,加之长期不平衡施肥加快了土壤Mg库的耗竭。研究表明,土壤Mg营养缺乏严重制约华南地区冬瓜产业的可持续发展[10]。因此,进一步探明华南地区土壤Mg营养淋洗特征,对于优化冬瓜Mg营养管理具有重要意义。
土壤Mg去向主要包括作物吸收、土壤固定、淋洗损失和地表径流[8, 11],其中土壤淋洗损失和作物吸收远高于地表径流[12]。Mg2+因其离子半径小、水合半径大的特殊理化性质,在土壤溶性中的移动性较强,致使土壤胶体对其吸附能力弱,容易发生淋洗损失[13]。在当前农业生产系统中,巨大的土壤Mg淋洗损失是导致作物缺Mg的重要原因之一[14]。在全球尺度上[14],农田系统和果园种植系统中每年平均Mg淋洗量为44.6 kg/hm2和103 kg/hm2;在巴西甘蔗[15]试验中发现,每年土壤Mg淋失量为80 kg/hm2;在加拿大苹果园[16]试验中结果表明,每年土壤Mg淋失量为118 kg/hm2;在我国西南黄壤辣椒–白菜轮作体系[14]中,作物生长季对土壤中Mg的吸收量通常为27.5 ~ 65.5 kg/hm2,而淋失量则为26.58 ~ 57.5 kg/hm2。由此可见,Mg淋洗损失是土壤中Mg营养损失的主要途径之一。华南地区由于雨热同期加之生产中镁肥用量不足,在冬瓜实际生产中常见大规模的Mg营养缺乏症状,严重限制冬瓜产量潜力,降低冬瓜外观及食用品质[10]。因此,明确华南冬瓜主产区土壤Mg淋洗损失特征及影响因素,并基于此建立冬瓜Mg营养调控措施,对于解决我国华南冬瓜主产区普遍缺Mg问题具有重要的理论和实践意义。
1 材料与方法 1.1 试验点概况试验于2020年3—7月和2021年3—7月在广东省蔬菜新技术研究重点实验基地(113.37°E、23.16°N)进行。供试土壤为黄壤,质地为黏土,0 ~ 20 cm耕作层土壤pH为6.30,含碱解氮243.7 mg/kg、有效磷24.2 mg/kg、速效钾293.4 mg/kg、有效钙1 097.6 mg/kg、有效镁51.3 mg/kg。
2020年和2021年冬瓜种植季的降雨量和气温变化如图 1所示。2020年冬瓜生长期间最高气温37.5 ℃,最低气温13.5 ℃,平均气温22.1 ℃,总降雨量是1 126.6 mm,主要集中在5—6月;2021年冬瓜生长期间最高气温37.8 ℃,最低气温14.8 ℃,平均气温26.2 ℃,总降雨量是791.9 mm,主要集中在6—7月。
|
(图中箭头为镁肥施用时间) 图 1 2020—2021年冬瓜种植季降雨量和气温变化 Fig. 1 Rainfall and temperature changes during wax gourd planting seasons in 2020—2021 |
试验设置6个处理,分别是农户常规施肥(CK)、化肥减量(Mg0)及在化肥减量基础上增施30、60、90、120 kg/hm2 MgO(Mg1、Mg2、Mg3、Mg4),不同处理养分投入量见表 1。试验小区按照随机区组方式排列,每个处理4个小区重复,每个小区面积为50 m2。试验供试冬瓜品种为铁柱二号,供试肥料为尿素(含N 46%)、过磷酸钙(含P2O5 12%)、硫酸钾(含K2O 52%)和硫酸镁(含MgO 17%)。
|
|
表 1 不同处理施肥方案 Table 1 Fertilization schemes under different treatments |
试验于2020年3月20日和2021年3月25日选取有3 ~ 4片真叶大小均一的冬瓜幼苗定植于大田,株行距为60 cm × 150 cm。镁肥第一次作为基肥施入,在花期作为追肥第二次施入。试验施肥灌溉方式采用水肥一体化方式进行,铺设地布。在试验过程中,所有的田间管理,包括除草剂施用和病虫害的防治等, 均采用当地的栽培管理方法。
1.3 土壤样品的采集与分析土壤基础样品在前茬作物收获后冬瓜试验基肥施用前采集。以整个试验田块为采样单元,在试验田块内以“S”形均匀布点15个,取0 ~ 20 cm耕作层土壤,实验室风干磨细过20目和100目筛,供理化分析用。按常规方法测定土壤基本理化性质[17]。按水土质量比2.5︰1.0浸提,后用pH计测定土壤pH;采用碱解扩散法测定土壤碱解氮;采用1 mol/L NH4OAc浸提–火焰光度计测定速效钾;采用0.5 mol/L NaHCO3浸提–钼锑抗比色法测定有效磷;采用1 mol/L NH4OAc浸提–原子吸收分光光度法测定有效钙和有效镁;阳离子交换量采用1 mol/L中性乙酸铵交换法测定;盐基饱和度采用加合法进行换算。
1.4 淋洗液收集及其养分含量测定采用农田土壤淋洗液收集装置原位收集冬瓜季土壤淋洗液,淋洗液收集装置主要包含过滤系统、储水系统、换气系统、提液系统4个部分[18](图 2),其中过滤接水盘面积为0.2 m2,储水箱地盘面积为0.09 m2,该装置于2016年9月份埋设。根据试验过程中实际降雨次数和降雨量采集淋洗液,防止淋洗液体积超过储水箱体积,在每次采集淋洗液时采用电子秤记录淋洗液总重量后换算成淋洗液体积,每次采集淋洗液时将储液箱中的淋洗液全部吸出、混匀,分取200 mL分装于洁净塑料瓶中–20 ℃低温保存,后解冻过滤后上流动分析仪测定N,用ICP-OES测定淋洗液中P、K、Ca和Mg含量。
|
图 2 农田土壤淋洗液收集装置示意图(改自张白鸽[18]) Fig. 2 Diagram of agricultural soil drench collection device |
作物养分积累量通过不同部位养分含量与生物量乘积计算,作物地上部总养分带走为不同部位养分积累量之和。采用如下公式计算养分淋洗损失量和土壤Mg营养平衡[11]:
养分淋洗损失量(kg/hm2)=相应养分淋洗液浓度×淋洗体积/(淋洗盘表面积×100)
土壤Mg营养平衡(kg/hm2)=镁肥投入量–地上部植株带走Mg素总量–Mg淋失总量
1.6 数据处理试验数据利用Excel进行计算处理,采用SPSS 18.0进行数据的统计分析,采用最小显著性差异法(LSD)检验P < 0.05水平上的差异显著性,采用R语言随机森林模型进行Mg淋洗影响因素相对重要性分析。采用Origin 2021作图。
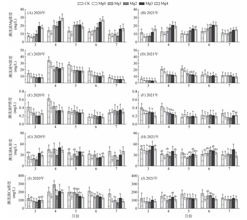
2 结果与分析 2.1 不同施肥处理下土壤Mg、N、P、K和Ca淋失特征在冬瓜的生长期内,淋洗液N、P、K和Ca浓度均呈先增加再降低的变化规律,而淋洗液Mg浓度分别在4月和6月出现两次峰值(图 3)。2020年和2021年土壤淋洗液Mg浓度均随施Mg量的增加而逐渐增加,淋洗液Mg浓度最大值均出现在施肥后(图 3A, 3B)。2020年5月和6月Mg0处理淋洗液Mg浓度较CK处理显著降低34.62% 和26.76%,而在2021年3月和4月Mg0处理淋洗液Mg浓度分别较CK处理显著降低了45.51% 和26.24%。与Mg0处理相比,2020年和2021年Mg1、Mg2、Mg3和Mg4处理淋洗液Mg浓度平均增加17.84% ~ 129.82%、43.42% ~ 137.15%、44.23% ~ 243.77%、47.71% ~ 206.58%。化肥减量后(Mg0)土壤淋洗液中N浓度在3月、4月和5月显著降低,与常规施肥处理(CK)相比分别降低35.98% ~ 40.39%、19.50% ~ 26.33% 和15.42% ~ 29.33%(图 3C,3D)。2020年Mg0 ~ Mg4处理之间的N浓度无显著差异;2021年4月和5月,Mg1 ~ Mg4处理淋洗液N浓度显著降低,与Mg0处理相比降低15.42% ~ 38.85%。Mg0处理显著降低3月和4月淋洗液中的P浓度,与CK处理相比分别降低30.84% ~ 33.55% 和27.80% ~ 36.33%(图 3E,3F)。与CK处理相比,Mg0处理土壤淋洗液中K浓度平均降低了31.74% ~ 47.31%;随着镁肥用量的增加,土壤淋洗液中K含量逐渐增加(图 3G,3H)。与CK相比,Mg0处理土壤淋洗液中Ca浓度明显降低,在2020年4月、5月、6月和7月分别较CK处理降低了30.75%、28.07%、25.92% 和51.40%,在2021年5月和6月分别较CK处理降低了24.71% 和42.49%(图 3I,3J)。
|
(图中小写字母不同表示处理间差异达P < 0.05显著水平,下图同) 图 3 不同施肥处理下淋洗液中Mg、N、P、K和Ca浓度动态变化 Fig. 3 Dynamic changes of Mg, N, P, K and Ca concentrations in leachates under different fertilization treatments |
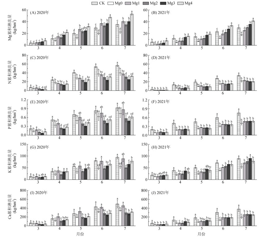
随着试验的进行,各处理之间Mg、N、P、K和Ca的累积淋失量呈现逐渐增加的趋势(图 4)。在冬瓜整个生长期各养分累积淋失量不同,呈现Ca > K > Mg≥N > P的规律。不同施肥处理下,N、P、K、Ca和Mg的累积淋失量也不同,与CK处理相比,Mg0(化肥减量)处理显著降低N、P、K、Ca和Mg的累积淋洗量,分别降低29.68% ~ 36.86%、21.14% ~ 46.74%、39.65% ~ 42.83%、29.65% ~ 48.60% 和36.19% ~ 40.50%。随着施Mg量的增加,两年Mg和K的累积淋失量逐渐增加。与Mg0处理相比,Mg1、Mg2、Mg3和Mg4处理Mg累积淋失量分别显著增加了42.46% ~ 78.79%、53.94% ~ 69.92%、78.92% ~ 101.83%、133.07% ~ 134.37%(图 4A,4B),K累积淋失量分别增加30.78% ~ 63.04%、42.28%、19.85% ~ 66.91%、44.82% ~ 45.66%(图 4G,4H)。与Mg0处理相比,2020年Mg2 ~ Mg4处理显著降低N素的累积淋洗量,减少18.03% ~ 37.45%(图 4C)。2020年Mg3处理显著降低P素的累积淋洗量,与Mg0处理相比减少34.17%(图 4E)。在2021年,与Mg0处理相比,Mg1、Mg2、Mg3和Mg4处理Ca累积淋失量显著增加27.31% ~ 33.81%(图 4J)。
|
图 4 不同施肥处理下Mg、N、P、K和Ca累积淋失量动态变化 Fig. 4 Dynamic changes of accumulated leaching losses of Mg, N, P, K and Ca under different fertilization treatments |
不同施肥处理对土壤pH和有机质的影响较小(表 2),仅在2020年Mg2处理较CK土壤pH略有增加,Mg3和Mg4处理土壤有机质含量较CK分别增加了15.08% 和15.31%;而在2021年,各处理之间0 ~ 20 cm土壤pH和有机质含量无显著差异。2020年和2021年Mg0处理显著降低土壤中的碱解氮含量,与CK处理相比降低了15.37% ~ 19.26%;2020年Mg0 ~ Mg4处理之间的土壤碱解氮含量无显著差异,而在2021年Mg3和Mg4处理土壤中的碱解氮含量较Mg0处理分别降低26.05% 和20.05%。与CK相比,2020年Mg2处理有效磷含量显著降低30.23%,2021年Mg4处理有效磷含量显著降低30.58%。2020年和2021年,CK和Mg0处理之间的土壤交换性镁含量无显著差异;与Mg0处理相比,两年Mg3和Mg4处理均显著增加了土壤交换性镁含量,增幅分别为69.02% ~ 81.10%、68.70% ~ 78.54%。2020年Mg1和Mg4处理间0 ~ 20 cm土壤有效钾含量存在显著差异,与Mg1相比,Mg4处理显著增加26.13%;而在2021年,Mg0处理土壤有效钾含量较CK降低了20.62%,Mg2处理较Mg0处理提高了20.98%。两年CK和Mg0处理间土壤交换性钙含量无显著差异;与Mg0处理相比,2020年Mg1和Mg3处理土壤交换性钙含量分别显著增加了28.23% 和29.44%,2021年Mg3和Mg4处理分别显著增加了50.13% 和54.25%。
|
|
表 2 不同施肥处理对0 ~ 20 cm土壤理化性质的影响 Table 2 Effects of different fertilization treatments on soil (0–20 cm) physicochemical properties |
本试验中CK和Mg0处理间土壤阳离子交换量无显著差异(表 2),而Mg3和Mg4处理土壤阳离子交换量较Mg0处理分别增加9.44% ~ 34.93% 和14.26% ~ 38.31%。CK和Mg0处理间土壤盐基饱和度无显著差异;2020年,Mg1和Mg3处理土壤的盐基饱和度较Mg0分别增加了15.60% 和15.13%,而在2021年,Mg0与其他Mg梯度处理之间无显著差异。
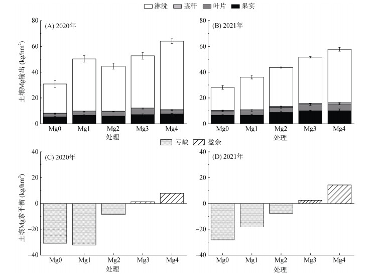
2.3 不同镁肥用量下冬瓜主产区土壤Mg输出与平衡淋洗损失是华南冬瓜主产区土壤Mg输出的主要途径,随着施Mg量的增加,淋洗损失和作物(果实、叶片和茎秆)带走Mg素逐渐增加(图 5A,5B)。2020年Mg0、Mg1、Mg2、Mg3和Mg4处理下土壤Mg总输出量分别为30.84、50.26、44.59、52.70和64.03 kg/hm2,其中淋洗损失分别占土壤Mg输出总量的73.33%、80.48%、78.11%、76.81% 和82.80%;2021年Mg0、Mg1、Mg2、Mg3和Mg4处理下土壤Mg总输出量分别为28.21、36.19、43.63、51.55和57.68 kg/hm2,其中淋洗损失分别占土壤Mg输出总量的62.85%、69.80%、69.06%、69.41% 和71.64%。
|
图 5 不同镁肥用量处理下土壤Mg素养分平衡 Fig. 5 Soil Mg nutrient equilibria under different Mg fertilizer dosages |
随着镁肥用量的增加,土壤Mg平衡逐渐扭亏为盈(图 5C,5D)。本研究两年结果均表明在镁肥用量低于60 kg/hm2 MgO(Mg2)时土壤Mg营养处于持续匮缺状态,而在镁肥用量高于90 kg/hm2 MgO(Mg3)时土壤Mg营养处于盈余状态,且随镁肥用量的持续增加土壤Mg盈余量逐渐增加。
2.4 Mg淋洗量影响因素分析采用随机森林相对重要性模型对华南冬瓜主产区土壤Mg淋洗影响因素进行分析发现(图 6),在华南冬瓜主产区土壤交换性镁含量、降雨量是加剧土壤Mg素淋洗损失的主要影响因素,两者对土壤Mg淋洗量的总贡献率高达44.89%,分别贡献22.87% 和22.02%;此外,土壤阳离子交换量、交换性钙含量、速效钾含量对土壤Mg淋洗也具有显著影响,对土壤Mg淋洗贡献率分别为16.98%、16.14% 和12.87%;模型结果表明,土壤盐基饱和度、有机质和pH对土壤Mg淋洗损失影响不显著,分别占比7.73%、5.83% 和5.49%。
|
(图中*、**分别表示影响达P < 0.05和P < 0.01显著水平,ns表示影响不显著) 图 6 基于随机森林相对重要性模型分析土壤Mg淋洗主要影响因素 Fig. 6 Influencing factors of soil Mg leaching based on relative importance model of random forest |
菜地土壤中的矿质养分主要来源于肥料的施用,近年来,盲目大量和不合理施用化肥,已经成为华南地区冬瓜种植过程中的普遍现象[10, 19]。而超出冬瓜生长需求的养分会累积在土壤剖面,结合华南地区雨热同期的气候,造成大量的淋洗损失[19]。因此合理施肥是减少养分淋洗损失的有效措施[20]。本试验中,冬瓜生长期内,农户常规处理(CK)下土壤的N、P、K、Ca和Mg的累积淋失量显著大于化肥减量处理(Mg0)(图 4),这和化肥的大量投入使用有关[13, 21]。土壤中的N、P、K、Ca和Mg的淋洗液浓度和累积淋洗量均呈现Ca > K > Mg≥N > P的规律(图 3和图 4),这和前人的研究结果基本一致[8, 11]。2020年Mg3处理降低了N、P元素的淋洗量,可能是由于使用镁肥增加了冬瓜对N和P元素的吸收[22]。随着施Mg量的增加,淋洗液的Mg浓度和累积淋失量逐渐增加(图 3和图 4),这和前人的研究结果也一致[9, 11]。淋洗液的Mg浓度最大时期均出现在施肥后,随着冬瓜的生长,Mg浓度先增加再逐渐降低(图 3)。随着施Mg量的增加,土壤Ca和K的流失量也在增加(图 4),与Baier等[23]和王昱桁[11]研究结果相似。主要是由于土壤胶体表面离子位点被Mg2+竞争,使Ca2+、K+被大量浸出导致其淋洗损失总量增加。2020年和2021年淋洗液的N、P、K、Ca和Mg的浓度和累积淋失量的差异可能主要是由两年的降雨量差异造成的[24],2020年冬瓜生长期的降雨量为1 126.6 mm,2021年冬瓜生长期的降雨量为791.9 mm。
3.2 不同施肥处理对土壤N、P、K、Ca和Mg等养分的影响土壤养分是反映土壤理化性质的重要指标,是作物高产的基础[25],施肥是提高土壤肥力和作物高产的重要农艺措施[26]。近年来,人们为了获得作物高产效益,长期大量不合理施用化肥,导致土壤的养分失调、水资源污染和植物生长不良等一系列问题[25]。因此进行优化施肥的研究,对于提高作物产量和品质,增加农民收入,保护环境有着重要意义[27]。冬瓜的需肥量很大[28],焦加斌等[29]研究表明养分吸收总量表现为K > N > Ca > P > Mg,分别为293、104、103、24和20 kg/hm2。因此在进行优化施肥后,对养分的影响对于后期科学施肥至关重要。本文通过测定土壤的pH、有机质、碱解氮、有效磷、速效钾、交换性钙、阳离子交换量和盐基饱和度,探讨不同施肥处理对土壤肥力的影响。在2020年,CK处理导致土壤的pH和有机质含量降低(表 2),这和氮肥的过量投入导致土壤酸化有关[13, 30]。与CK处理相比,进行减肥优化后,Mg0处理下显著降低了土壤中碱解氮的含量,这可能是由于氮肥投入的减少;与Mg0处理相比,2021年施Mg量显著降低了Mg3和Mg4处理土壤碱解氮含量(表 2),这可能和镁肥增加冬瓜对土壤中氮的吸收有关[22]。与CK相比,进行减肥优化后,Mg0处理下土壤的交换性钙、镁和速效钾的含量无显著差异(表 2)。与Mg0处理相比,Mg3和Mg4处理显著提高了0 ~ 20 cm土壤的交换性镁的含量(表 2),这和前人的研究结果一致[11]。与Mg0处理相比,2020年和2021年施用镁肥对土壤中的速效钾和交换性钙含量的影响不一致(表 2),这可能一方面由于K-Mg和Ca-Mg之间的离子拮抗作用,减少了植株的吸收[31];另一方面通过Mg与土壤的吸附位点的竞争,增加了土壤的速效钾和交换性钙的淋洗[11, 13],具体机理还有待进一步探究。土壤阳离子交换量是土壤的基本特性和重要肥力影响因素之一,它直接反映土壤保蓄、供应和缓冲阳离子养分的能力[32]。土壤交换性盐基离子(Ca2+、Mg2+、K+和Na+)是土壤质量的重要表征,在维持土壤养分与缓冲性中起到重要作用[32]。前人研究表面土壤阳离子交换量 < 10 cmol/kg,说明其土壤保肥能力较弱[17];土壤盐基饱和度 > 50%,土壤肥力较高[17]。在本试验中与CK相比,Mg0处理后土壤的阳离子交换量和盐基饱和度没有显著降低(表 2),说明减肥对土壤的保肥能力和土壤肥力无显著影响。施用镁肥可以显著增加土壤的阳离子交换量,对盐基饱和度无显著影响(表 2),这和土壤中的Mg2+增加有关。
3.3 不同施肥处理对土壤Mg素平衡的影响及土壤Mg淋洗的主要影响因素土壤中的Mg淋洗损失总量与施肥量之间表现出正相关,大量的Mg素淋洗损失导致土壤的Mg平衡被打破[11]。本研究发现,Mg素淋洗带走量占Mg素总带走量的62.85% ~ 82.80(图 5),土壤Mg素淋洗而导致的损失量远远大于作物本身吸收带走的Mg素养分,是导致土壤缺Mg最主要的原因[11]。2020年和2021年的Mg0、Mg1、Mg2处理下,土壤Mg素均处于亏损状态,Mg3和Mg4处理下的土壤Mg素处于盈余状态(图 5),两年土壤Mg盈余量差异的主要原因是由于降雨量的不同。前人研究表明,影响土壤中水溶性Mg淋洗的主要因素有气候(降水)、土壤类型、pH以及与其他元素互作[13]。通过对田间原位监测两年的土壤Mg淋洗因素进行随机森林分析,发现土壤Mg淋洗主要影响因素是土壤交换性镁的含量、交换性钙的含量、速效钾的含量、阳离子交换量和降雨量(图 6)。这和前人的研究结果大体相似[13],不同的是本试验采用田间原位监测不同处理之间的pH和有机质的变化不大,因此进行随机森林分析时没有显著影响。冬瓜在田间种植过程中,不可控的因素众多,但是可以通过掌握冬瓜的养分吸收规律[27],对施肥量、施肥种类、施肥方式和施肥次数进行科学调控,减少Mg素的淋洗。
4 结论1) 在冬瓜整个生长期,土壤养分累积淋失量表现为Ca > K > Mg≥N > P。与农户常规施肥(CK)相比,减肥(Mg0)可以降低冬瓜生长期内Mg、N、P、K和Ca的累积淋洗量,并且对土壤的阳离子交换量和盐基饱和度无显著影响。
2) 随着施Mg量的增加,土壤中的淋洗液Mg浓度和Mg累积淋洗量逐渐增加,也增加土壤K和Ca的淋洗。土壤的Mg素淋洗是华南地区冬瓜田间土壤Mg素最主要的去向。为防止土壤Mg库的耗竭,建议施用90 ~ 120 kg/hm2 MgO。
3) 影响华南地区土壤Mg素淋洗的主要因素是土壤交换性镁的含量、降雨量、阳离子交换量、交换性钙和速效钾的含量。因此建议在生产上降雨量大的情况下,在基肥和花期采用土施镁肥配合覆膜和缓释性强的镁肥,平衡施肥,减少土壤Mg素的淋洗。
| [1] |
林敏霞, 张晓东, 邱美欢, 等. 植物镁素生理功能及镁素营养诊断和施用[J]. 热带农业科学, 2016, 36(3): 39-43 ( 0) |
| [2] |
李娟. 植物钾、钙、镁素营养的研究进展[J]. 福建稻麦科技, 2007, 25(1): 39–42, 30 ( 0) |
| [3] |
Tian X Y, He D D, Bai S, et al. Physiological and molecular advances in magnesium nutrition of plants[J]. Plant and Soil, 2021, 468(1/2): 1-17 ( 0) |
| [4] |
Jiao J B, Li J L, Chang J J, et al. Magnesium effects on carbohydrate characters in leaves, phloem sap and mesocarp in wax gourd (Benincasa hispida (thunb.) cogn.)[J]. Agronomy, 2023, 13(2): 455 DOI:10.3390/agronomy13020455 ( 0) |
| [5] |
Ayre B G. Membrane-transport systems for sucrose in relation to whole-plant carbon partitioning[J]. Molecular Plant, 2011, 4(3): 377-394 DOI:10.1093/mp/ssr014 ( 0) |
| [6] |
Yan B, Hou Y. Effect of soil magnesium on plants: A review[J]. IOP Conference Series: Earth and Environmental Science, 2018, 170: 022168 DOI:10.1088/1755-1315/170/2/022168 ( 0) |
| [7] |
李春俭, 王正, 张福锁. 镁肥在我国主要作物上的提质增效作用[J]. 中国土壤与肥料, 2022(3): 1-6 ( 0) |
| [8] |
李丹萍, 刘敦一, 张白鸽, 等. 不同镁肥在中国南方三种缺镁土壤中的迁移和淋洗特征[J]. 土壤学报, 2018, 55(6): 1513-1524 ( 0) |
| [9] |
姜亚男, 张亚东, 杨文浩, 等. 镁肥与添加剂施用后土壤镁迁移与淋洗特征研究[J]. 土壤, 2021, 53(1): 80-87 DOI:10.13758/j.cnki.tr.2021.01.011 ( 0) |
| [10] |
Zhang B G, Cakmak I, Feng J C, et al. Magnesium deficiency reduced the yield and seed germination in wax gourd by affecting the carbohydrate translocation[J]. Frontiers in Plant Science, 2020, 11: 797 DOI:10.3389/fpls.2020.00797 ( 0) |
| [11] |
王昱桁. 柑橘园镁素淋洗特征与缺镁调控研究[D]. 重庆: 西南大学, 2022.
( 0) |
| [12] |
Bertol I, Guadagnin J C, González A P, et al. Soil tillage, water erosion, and calcium, magnesium and organic carbon losses[J]. Scientia Agricola, 2005, 62(6): 578-584 DOI:10.1590/S0103-90162005000600011 ( 0) |
| [13] |
杨文浩. 土壤中镁的淋洗及镁肥应用建议[J]. 中国农资, 2018(38): 22 ( 0) |
| [14] |
卢明. 西南黄壤辣椒–白菜轮作系统的镁营养调控与品质效应[D]. 重庆: 西南大学, 2021.
( 0) |
| [15] |
de Oliveira M W, Trivelin P C O, Boaretto A E, et al. Leaching of nitrogen, potassium, calcium and magnesium in a sandy soil cultivated with sugarcane[J]. Pesquisa Agropecuária Brasileira, 2002, 37(6): 861-868 DOI:10.1590/S0100-204X2002000600016 ( 0) |
| [16] |
Neilsen G H, Stevenson D S. Leaching of soil calcium, magnesium, and potassium in irrigated orchard lysimeters[J]. Soil Science Society of America Journal, 1983, 47(4): 692-696 ( 0) |
| [17] |
鲍士旦. 土壤农化分析(3版)[M].
中国农业出版社, 北京, 2000
( 0) |
| [18] |
张白鸽. 华南露地苦瓜生产体系的氮素调控[D]. 北京: 中国农业大学, 2016.
( 0) |
| [19] |
范新. 适于广东典型设施菜地的填闲蔬菜及其氮磷淋失阻控效果评价[D]. 佛山: 佛山科学技术学院, 2020.
( 0) |
| [20] |
Gransee A, Führs H. Magnesium mobility in soils as a challenge for soil and plant analysis, magnesium fertilization and root uptake under adverse growth conditions[J]. Plant and Soil, 2013, 368(1): 5-21 ( 0) |
| [21] |
王大鹏, 郑亮, 吴小平, 等. 旱地土壤硝态氮的产生、淋洗迁移及调控措施[J]. 中国生态农业学报, 2017, 25(12): 1731-1741 ( 0) |
| [22] |
李灿, 陈晓东, 郑卓越, 等. 镁和微量矿质元素对黑皮冬瓜外观和品质的影响[J]. 中国农学通报, 2021, 37(4): 49-55 ( 0) |
| [23] |
Baier R, Ettl R, Hahn C, et al. Early development and nutrition of Norway spruce (Picea abies(L.) Karst.) seedlings on different seedbeds in the Bavarian limestone Alps–a bioassay[J]. Annals of Forest Science, 2006, 63(4): 339-348 ( 0) |
| [24] |
关共凑, 魏兴琥. 自然降雨对粤北岩溶区土壤钙、镁离子流失影响模拟试验[J]. 水土保持学报, 2013, 27(5): 73–76, 83 ( 0) |
| [25] |
常海刚, 李广, 袁建钰, 等. 不同施肥方式对甘肃陇中黄土丘陵区土壤养分及春小麦产量的影响[J]. 作物杂志, 2022(5): 160-166 ( 0) |
| [26] |
刘强, 穆兴民, 王新民, 等. 长期不同施肥方式对旱地轮作土壤养分和作物产量的影响[J]. 干旱地区农业研究, 2021, 39(3): 122-128 ( 0) |
| [27] |
郭俊杰. 优化施肥下作物稳产增效潜力与土壤微生物学特征研究[D]. 南京: 南京农业大学, 2018.
( 0) |
| [28] |
何永梅, 王迪轩. 冬瓜科学施肥及注意事项[J]. 长江蔬菜, 2020(19): 71-73 ( 0) |
| [29] |
焦加斌, 陈晓东, 郑朝元, 等. 黑皮冬瓜干物质和养分吸收与分配的动态规律[J]. 中国农学通报, 2022, 38(18): 62-69 ( 0) |
| [30] |
王艳群, 彭正萍, 薛世川, 等. 过量施肥对设施农田土壤生态环境的影响[J]. 农业环境科学学报, 2005, 24(S1): 81-84 ( 0) |
| [31] |
刘芳. 钾镁互作对番茄生长、产量及钾、钙、镁养分吸收的影响[D]. 银川: 宁夏大学, 2022.
( 0) |
| [32] |
范庆锋, 虞娜, 张玉玲, 等. 设施蔬菜栽培对土壤阳离子交换性能的影响[J]. 土壤学报, 2014, 51(5): 1132-1137 ( 0) |
2. International Magnesium Nutrition Institute, College of Resources and Environment, Fujian Agriculture and Forestry University, Fuzhou 350002, China
2024, Vol. 56



0)