长期以来,我国农业生产依赖化肥来实现作物增产,我国也成为化肥消耗第一大国[1-2]。然而,长期过量施用化肥导致土壤质量下降,引起如土壤酸化、板结、有机质含量降低等问题[3]。研究表明,硫酸钾会加剧酸性土壤的酸化,过量施用化肥会引起中性和碱性土壤中的钙离子流失,导致土壤板结[4]。过量施用氮肥会加剧土壤酸化,改变土壤团聚体周转率,加快土壤有机质的分解速率,导致土壤有机质含量减少,并影响土壤团聚体稳定性[5]。因此,化肥减量对我国农业的可持续发展具有重要的现实意义[6]。
根据中国畜牧兽医年鉴[7]报道,2020年我国家禽和牲畜出栏量高达约171亿头。按照耿维等[8]提出的产排污系数计算粪便总量,我国畜禽粪便总产量2020年达到了22.7亿t,且有逐年增长的趋势。然而,目前我国粪肥的资源利用率不到40%[9]。一方面,大量畜禽粪便未得到有效利用造成资源浪费;另一方面,畜禽粪便含有大量有机质和氮素营养,进入环境后会污染水体和大气[10]。2015年,国家农业农村部提出了《到2020年化肥使用量零增长行动方案》[11],2018年发布的《农业绿色发展导则(2018—2030年)》[12]提出推广有机肥代替化肥技术。粪肥富含有机质和营养物质,配施粪肥能有效改善土壤的理化性质,提高土壤团聚体的稳定性和降低土壤容重[13]。同时,配施粪肥在一定程度上能增加土壤有机质含量,从而增加土壤固碳量,减缓气候变化带来的影响[5, 14]。
土壤团聚体是土壤结构的基本单元,也是土壤的重要组成部分,对土壤碳固存和土壤养分的保持起着关键作用。土壤团聚体的数量、形态和稳定性在某种程度上可以反映土壤结构的好坏[15]。土壤团聚体是通过土壤中矿物、有机质和生物间复杂的相互作用而形成的,其稳定性和周转率受到土壤含水量、pH、氧化还原电位等调控[16]。研究表明,粪肥能够显著增加土壤有机质和养分含量[6],从而影响土壤团聚体的形成与稳定性。许多文献报道施用粪肥能够整体促进土壤大粒径团聚体(marcoaggregate,≥0.25 mm)的形成,但具体是对大团聚体(large marcoaggregate,≥2 mm)还是小团聚体(small marcoaggregate,2 ~ 0.25 mm)的影响更大,研究结果不尽相同。例如,Chen等[17]认为,长期施用粪肥促进大团聚体形成的同时,会减少土壤中小团聚体的含量。然而,Zhao等[18]认为长期施用粪肥会同时促进大团聚体和小团聚体的形成,并且会减少土壤中微团聚体(microaggregates)和土壤粉黏颗粒(silt-plus and clay-size particles)含量。部分研究还发现,长期大量施用粪肥会破坏土壤团聚体稳定性,从而使大团聚体含量减少[19]。尽管研究者普遍认为粪肥施用对较大的土壤团聚体的形成有促进作用,但粪肥对不同粒径团聚体的影响与粪肥种类、土壤性质等密切相关,目前也不明确粪肥对不同粒径团聚体的影响主要受何种因素影响。
因此,本文基于已发表文献数据,利用Meta分析方法评价农业系统中粪肥施用与各粒径土壤团聚体含量的关系,并引入解释变量年均降水量、年均气温、土壤类型、土壤采样深度、土壤pH、粪肥种类、堆肥条件、粪肥施用量、施用年限,分析不同因素是否会对该联系产生影响,旨在明确肥粪施用对农田土壤中不同粒径土壤团聚体含量的影响及其主要影响因素。
1 材料与方法 1.1 文献检索本文数据信息来自于Web of Science、Science Direct、Springer Link和中国知识资源综合数据库(CNKI)。利用关键词检索方法,检索式为“粪肥+ 猪粪+ 鸡粪+ 牛粪+ 羊粪+ 马粪”* 土壤团聚体,((manure OR "swine manure" OR "cattle manure" OR "poultry manure" OR "sheep manure" OR "horse manure") AND soil aggregation),搜索时间为2022年4月14日。为了减少发表的偏爱性,本文尽可能多地收集与研究主题相关的文献。最终共纳入36篇文献,共收集数据514个,其中土壤团聚体数据267个,团聚体中的营养元素含量数据247个,文献筛选过程如图 1。
|
图 1 文献筛选流程图 Fig. 1 Paper screening flow chart |
文献筛选标准为:①研究必须为大田试验,而不是盆栽或温室试验;②试验处理必须同时具有对照组(仅施用化肥或不施肥)和处理组(配施或单独施用粪肥);当研究处理组为配施粪肥,则采用单施化肥作为对照组;当研究处理组为单施粪肥时,则采用不施肥作为对照;③必须具有均值和样本量(n);④文献必须有土壤团聚体粒径指标;⑤试验地点为中国境内。
1.2 数据收集、分组与换算采用Get Data Graph Digitize 2.20提取图表数据,Meta分析数据的分组见表 1。土壤团聚体粒径分为4级,即大团聚体(large marcoaggregate,≥2 mm)、小团聚体(small marcoaggregate,2 ~ 0.25 mm)、微团聚体(microaggregates,0.25 ~ 0.053 mm)和粉黏颗粒(silt-plus and clay-size particles,< 0.053 mm)。由于部分文献中团聚体分类标准不同,本文采用以下方法进行数据转化:各粒径团聚体的含量采用直接相加的方法(公式1)进行数据合并,不同粒径团聚体中营养物质含量采用公式2进行计算。部分文献中团聚体粒径分级缺少对≥0.25 mm或 < 0.25 mm团聚体的粒径进一步细分,该部分数据无法归类到本文的团聚体分类体系中,因此此类数据未纳入本文中。
|
|
表 1 土壤性质、气候、粪肥和试验条件的分组 Table 1 Grouping of soil properties, climate, manure and experimental conditions |
| $c=N_1+N_2$ | (1) |
| $ C = \frac{{{C_1}{N_1} + {{\text{C}}_2}{N_2}}}{{{N_1} + {N_2}}} $ | (2) |
式中:N1、N2代表文献中相邻两个粒径团聚体的百分含量(%);C1、C2代表团聚体中营养物质含量(g/kg或mg/kg)。
土壤分类采用美国土壤系统分类方法(USDA,ST制,土纲分类)。对于文献中未给出土壤分类的信息,但给出了试验基地所在的具体省份市县位置,本文采用中国土壤数据库中的数据代替。数据库中部分地区存在多种不同土纲,无法确定具体土纲分类则不使用数据库中的数据。由于中国土壤数据库中的分类方法采用土壤发生分类系统(GSCC,CST制),需要对土类进行转化。本文采用的转化标准为中国土壤科学元数据国家标准中给出的“中国土壤发生分类与中国土壤系统分类最大参比度”与“中国土壤发生分类与美国土壤系统分类最大参比度”。对于文中已给出土类数据,但是使用世界土壤资源参比基础(WRB)制,而不是USDA制的,采用龚子同[20]的参比方法将土类数据转换为USDA制;对于非土纲分类的数据参考“USDA土壤分类学”[21]转化为土纲分类。
经纬度数据采用经纬度查询网站(jingweidu. wncx.cn),根据文献给出的具体地点精确到市或县。如果文献未给出年均降水量和年均气温,利用中国天气网(weather.com.cn)中市或县的年平均气温与降水资料作为补充。部分文献未给出土壤pH数据,采用全球250 m分辨率0 ~ 5 cm的土壤pH数据进行补充,数据来源于FAQ SoilGrids (soilgrids.org),数据空间参考GCS_WGS_1984,采用ArcGIS pro 2.8.3进行数据读取。
本文除了收集各类粒径土壤团聚体含量数据,还同时收集了团聚体中土壤有机碳(SOC)含量数据用于分析各粒径团聚体含量效应值与营养元素含量效应值的关系。收集的土壤平均重量直径(mean weight diameter或MWD)数据用于评估粪肥施用对土壤团聚体稳定性的影响[22]。
1.3 Meta分析本文运用Meta分析对粪肥配施对不同粒径团聚体的百分含量(%)进行显著性分析,采用权重响应比(RR++)评估土壤团聚体与效应指标的敏感性,采用响应比(RR)评估粪肥配施对某一指标的影响程度:
| $ {\text{RR}} = \frac{{{M_t}}}{{{M_{{\text{CK}}}}}} $ | (3) |
式中:Mt和MCK分别代表处理组与对照组的某一粒径团聚体的百分含量的平均值,或某一粒径团聚体中营养元素含量的平均值。
lnRR是RR的自然对数,若lnRR > 0,表明粪肥施用对该指标有正向促进作用;若lnRR < 0,表明粪肥施用对该指标有负向遏制作用[23]。
| $ \ln {\text{RR}} = {\text{ln}}\frac{{{M_t}}}{{{M_{{\text{CK}}}}}} = {\text{ln}}{M_t} - {\text{ln}}{M_{{\text{CK}}}} $ | (4) |
方差(V)通过公式5计算:
| $ V = \frac{{{\text{SD}}_t^2}}{{{n_t}M_t^2}} + \frac{{{\text{SD}}_{{\text{CK}}}^2}}{{{n_{{\text{CK}}}}M_{{\text{CK}}}^2}} $ | (5) |
式中:nt和nCK分别代表处理组和对照组的样本量,SDt和SDCK分别代表处理组和对照组的SD值。
采用随机效应模型的限制最大似然法(REML) 来计算效应值。第i个研究的权重(Wi)、加权响应比(RR++)、RR++的标准误(S(RR++))和95% 置信区间(95%CI)的计算如下:
| $ {W_i} = \frac{1}{{V + {\tau ^2}}} $ | (6) |
| $ {\text{R}}{{\text{R}}_{ + + }} = \frac{{\sum\limits_{i = 1}^k {{W_i}{\text{(lnRR)}}} }}{{\sum\limits_{i = 1}^k {{W_i}} }} \times 100\% $ | (7) |
| $ S\left( {{\text{R}}{{\text{R}}_{ + + }}} \right) = \sqrt {\frac{1}{{\sum\limits_{i = 1}^k {{W_i}} }}} $ | (8) |
| $ 95\% = {\text{R}}{{\text{R}}_{ + + }} \pm 1.96 \times S\left( {{\text{R}}{{\text{R}}_{ + + }}} \right) $ | (9) |
式中:τ2为案例间方差,若某一指标的RR++的95%CI值不包含零点,表明该指标在处理组和对照组之间具有显著差异(P < 0.05)。
为了更直观地反映施用粪肥对土壤团聚体含量变化的影响,及解释变量的影响程度,将效应值转换为百分数变量(Z),其计算方法如下[24]:
| $ Z = \left[ {{\text{exp}}\left( {{\text{R}}{{\text{R}}_{ + + }}} \right) - 1} \right] \times 100\% $ | (10) |
本文采用失安全数(fail-safe number或FSN)对数据偏移进行量化。若失安全数大于临界值(5n+10,n为文献收集到的案例数),则代表数据显著性结果可信度高,不存在发表偏移[25]。
本文数据分析在R 4.1.3软件中进行。所有4种粒径的团聚体都独立在metafor包(3.4-0)中进行累积效应值的相关计算(采用rma命令)并进行森林图绘制(采用forest、coef、vcov命令)。文献数据部分未明确给出方差或标准误差,采用R中metagear包估计方差值,并选取bracken1992方法进行方差数据补充。
2 结果与分析 2.1 粪肥施用对不同粒径土壤团聚体的影响从图 2可以看出,施用粪肥显著增加土壤中的大团聚体(95%)和小团聚体(17%)的含量,且大团聚体含量的增幅更大。然而,施用粪肥后,微团聚体(14%)和粉黏颗粒(20%)的含量显著减少,且两者的减少幅度相似。施用粪肥可以显著提高平均重量直径(MWD),增幅为54%(图 2),说明施用粪肥能够提高土壤团聚体的稳定性。同时,施用粪肥显著提高了不同粒径土壤团聚体中SOC含量。
|
(n是数据的样本量,[]中表示95% 置信区间,下图同) 图 2 不同粒径土壤团聚体含量(左)和团聚体SOC含量(右) Fig. 2 Contents of different size aggregates (left) and SOC in aggregates (right) |
本文引入气候(年均降水量、年均气温)、土壤(土壤类型、采样深度、土壤pH)和粪肥(粪肥种类、堆肥条件、施用量、施用年限)3个角度的解释变量来探究施用粪肥条件下土壤团聚体形成的影响因素(表 1)。不同解释变量对效应值的影响程度用解释变量造成的异质性Qm作为判断依据(表 2)。如果P < 0.05,认为解释变量会显著影响效应值大小。从表 2可以看出,不同粒径团聚体的含量主要受到粪肥种类和土壤类型影响;同时,年均降水量、年均气温、采样深度、土壤初始pH、粪肥施用量、肥料是否堆肥和施用年限对团聚体也有一定的影响。
|
|
表 2 解释变量的异质性指标 Table 2 Heterogeneity indicators of explanatory variables |
不同土壤类型的团聚体形成对粪肥的响应存在显著差异(表 2)。在淋溶土上施用粪肥后,不同粒径团聚体含量均发生了显著变化,其中大团聚体和小团聚体的含量显著增加,其增幅分别为517% 和52%;但微团聚体和土壤粉黏颗粒的含量显著减少,减幅分别为41% 和35%(图 3)。对于老成土,施用粪肥也会显著增加大团聚体的含量(增幅95%),同时微团聚体的含量显著减少(减幅19%),但对小团聚体和土壤粉黏颗粒的影响不显著(图 3)。然而,施用粪肥对始成土和软土的不同粒径团聚体的含量没有显著影响(图 3)。
|
图 3 土壤类型(左)和土壤深度(右)对团聚体的影响 Fig. 3 Influences of soil type (left) and soil depth (right) on soil aggregates |
施用粪肥后,耕作层土壤中的大团聚体和小团聚体含量均显著增加,微团聚体和粉黏颗粒的含量都显著减少。然而,施用粪肥对深层土壤的不同粒径团聚体均没有显著影响,这也有可能是绝大部分研究只给出了耕作层(0 ~ 20 cm)土壤团聚体的数据,> 20 cm土层的土壤样本量太少造成的(图 3)。
土壤pH是影响团聚体形成的重要因素(表 2)。与对照相比,土壤的本底pH除了对粉黏颗粒含量变化无显著影响,对大团聚体、微团聚体和小团聚体的形成都有显著影响(图 4)。在pH < 6.5的酸性土壤中,施用粪肥增加了大团聚体含量,但对其他粒径团聚体没有显著影响;然而,在pH≥7.5的碱性土壤中,施用粪肥显著增加了大团聚体和小团聚体的含量,显著减少了微团聚体含量。
|
图 4 土壤pH对团聚体的影响 Fig. 4 Influence of soil pH on soil aggregates |
粪肥种类也是影响土壤团聚体形成的重要因素之一(表 2)。从图 5可知,施用牛粪显著改变了土壤中不同粒径团聚体的含量,显著增加大团聚体和小团聚体的含量(增幅分别为289% 和61%),而微团聚体和土壤粉黏颗粒的含量分别降低了27% 和53%。施用鸡粪使粉黏颗粒的含量显著减少39%,但对其他3种粒径团聚体的含量没有明显影响。施用猪粪显著增加大团聚体的含量(增幅71%),但其他3种粒径团聚体的含量没有发生显著变化。文献中只给出了施用马粪对微团聚体和粉黏颗粒影响的数据,且并没有显著影响。
|
图 5 粪肥种类(左)和是否堆肥(右)对土壤团聚体的影响 Fig. 5 Influences of manure type (left) and composting condition (right) on soil aggregates |
粪肥是否经过堆肥处理不是影响团聚体形成的关键因素。与堆肥处理过的粪肥相比,未经堆肥处理的粪肥显著增加了小团聚体的含量,但这种差异在其他粒径团聚体中不显著(图 5)。
粪肥施用年限主要影响大团聚体和土壤粉黏颗粒的形成(图 6)。短期(< 1 a)施用粪肥后,土壤中的大团聚体含量急剧增加(增幅2926%);施用年限为1 ~ 5 a时,土壤大团聚体含量显著增加,但增加幅度为99%;施用年限在5 ~ 10 a时,大团聚体含量则无显著变化,但粉黏颗粒的含量会显著减少,减幅为49%;长期(≥10 a)施用粪肥,总体上增加土壤大团聚体含量(增幅150%)。
|
图 6 粪肥施用年限对土壤团聚体的影响 Fig. 6 Influence of duration of manure application on soil aggregates |
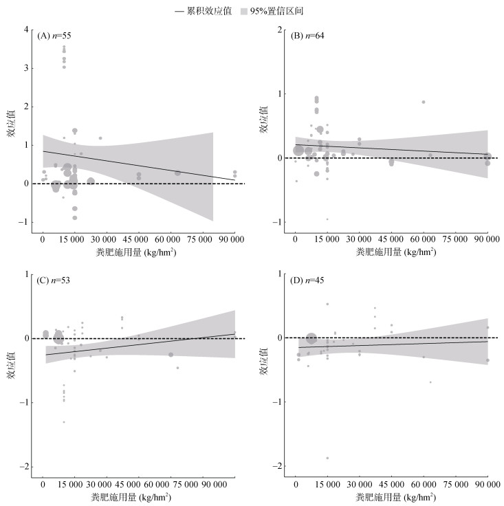
由于目前暂无统一的标准评价粪肥施用过少或过多,本文使用连续变量分析粪肥施用量对土壤团聚体的影响,能更好地体现效应值的变化趋势和施用量之间的关系。虽然粪肥施用量不是影响土壤团聚体含量变化的关键因素(表 2),但通过Meta回归分析可发现(图 7),粪肥施用量越多,对土壤团聚体的影响效果越不明显。一些研究也发现,过量施用粪肥会使钾盐和钠盐富集在土壤中,从而对土壤孔隙结构形成反聚作用,最终导致土壤孔隙率降低,破坏土壤团聚结构[26]。此外,过量的钠离子和钾离子对农作物生长也有不利的影响[27]。因此,虽然本文研究结果发现粪肥施用量对团聚体形成的影响不大,但在实际生产中仍应该施用合理量的粪肥,防止浪费资源和影响农作物的生长。
|
(A:大团聚体;B:小团聚体;C:微团聚体;D:粉黏颗粒;下图同) 图 7 粪肥施用量对土壤团聚体的影响 Fig. 7 Influence of manure application on soil aggregates |
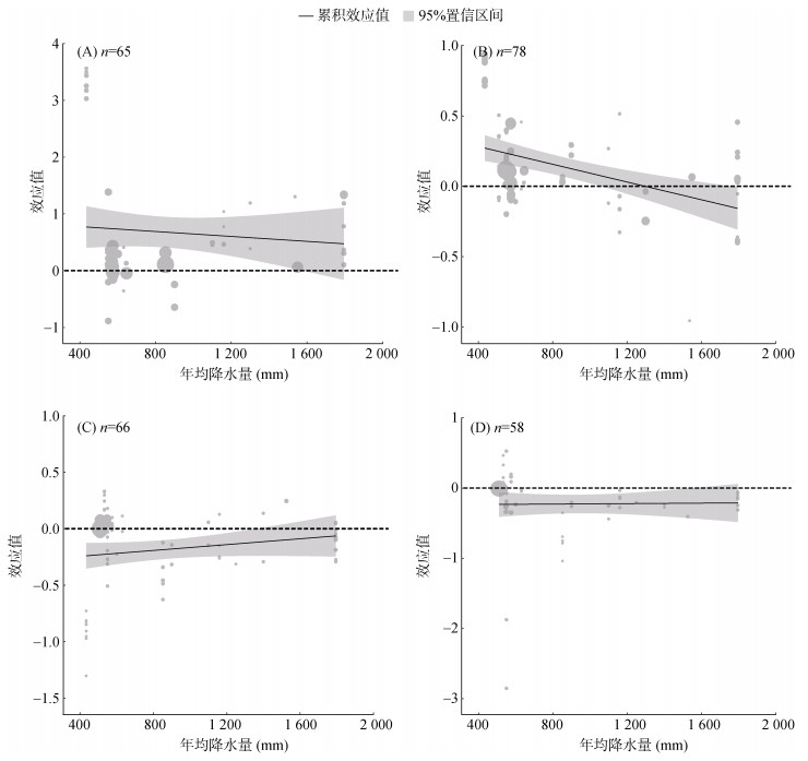
在低温地区,施用粪肥显著促进土壤大团聚体和小团聚体的形成,当年均温度 < 5 ℃时,施用粪肥使大团聚体、小团聚体的含量分别比对照组增加了410% 和56.8% (图 8)。本文数据实验地集中在湿润区和半湿润地区,采用湿润区(年均降水 > 800 mm)和半湿润区(年均降水400 ~ 800 mm)作为分类未发现异质性,但采用连续变量分析发现年均降水量会显著影响小团聚体的形成,当年均降水量 < 1 000 mm时,施用粪肥会显著增加土壤中小团聚体的含量(图 9)。
|
图 8 年均气温对土壤团聚体的影响 Fig. 8 Influence of annual temperature on soil aggregates |
|
图 9 年均降水量对土壤团聚体的影响 Fig. 9 Influence of annual precipitation on soil aggregates |
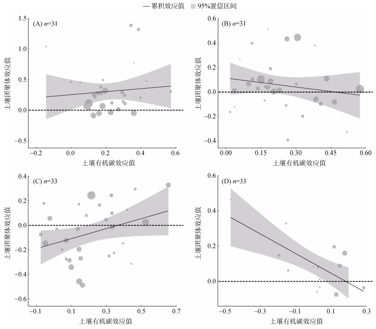
施用粪肥显著增加土壤SOC含量,其中大团聚体、小团聚体和微团聚体中的SOC含量增幅相似,土壤粉黏颗粒的SOC含量的增幅较小(图 2)。Meta回归结果显示(图 10),土壤大团聚体和小团聚体的效应值与土壤SOC的效应值没有显著关系,但微团聚体的效应值会随着SOC效应值增加而显著增加,粉黏颗粒效应值会随SOC效应值增加而显著减小。
|
图 10 土壤有机碳与土壤团聚体含量效应值的Meta回归分析 Fig. 10 Meta regression analysis of effect sizes of SOC and aggregate contents |
粪肥施用对各类团聚体含量影响的发表偏倚检验结果见表 3,各类团聚体的失安全数都远高于临界值,说明本研究选择指标不存在发表偏倚,结论可靠。
|
|
表 3 粪肥施用对各类团聚体含量影响的发表性偏倚检验 Table 3 Publication bias test for effect of manure application on soil aggregates |
本研究发现,施用粪肥显著增加土壤中大团聚体和小团聚体的含量,同时减少微团聚体和土壤粉黏颗粒含量(图 2),这与Jiang等[5]研究结论一致。土壤团聚体的形成与土壤有机质含量、土壤微生物作用和植物根系作用等关系密切,因此,施用粪肥增加了土壤大团聚体和小团聚体的含量,其原因主要有以下几个方面。第一,施用粪肥增加土壤有机质,且土壤有机质含量会随着粪肥施用量的增加而显著增加[23]。粪肥中有机质输入到土壤后,能够直接作为胶结物促进大团聚体的形成,其中土壤颗粒有机物(POM)与土壤颗粒的结合是形成团聚体的关键过程[28]。Tisdall和Oades[29]认为,大团聚体的形成是通过较小粒径团聚体逐级团聚形成的,新输入的有机质能直接作为瞬时结合剂(transient binding agents),将土壤中细颗粒固定在大团聚体中。但是本研究发现,粪肥中的有机质的输入会显著影响土壤团聚体的形成,但大团聚体和小团聚体效应值与其内部有机质含量效应值没有显著的相关关系(图 10)。造成此现象的原因可能是粪肥中有机质大量输入导致土壤碳饱和,当团聚体中碳含量饱和后,其含量不再随有机质输入而增加[30]。第二,施用粪肥还能通过影响微生物生长与代谢活性,从而间接影响土壤团聚体的形成与稳定性。一方面,粪肥中的有机质能为土壤微生物生长提供碳源,防止微生物分解胶结大团聚体的有机质导致团聚体破坏。Six等[28]认为新鲜的有机物促进大团聚体形成后,进一步在微生物作用下,小团聚体形成于大团聚体中。随着胶结大团聚体的有机物逐渐被分解,大团聚体的稳定性下降,而微团聚体随着大团聚体的破坏被释放出来,随着新鲜有机质的输入被释放的微团聚体又再次被胶结起来形成大团聚体。粪肥施用能减缓团聚体的周转速率,提高团聚体的稳定性[31]。另一方面,有机物的输入直接促进了微生物的代谢活动,大量微生物分解残留物聚集在土壤中形成了稳定的土壤微团聚体[32]。研究发现,微团聚体中的微生物以细菌和古菌为主,细菌产物能将土壤粉黏颗粒胶结形成小于20 μm的微团聚体,微团聚体的累积能进一步促进后续大团聚体的形成。第三,真菌的菌丝和植物根系作为短时胶结剂(temporary binding agents),同样能促进大团聚体的形成[15]。菌丝尤其是丛枝菌根真菌(AMF)产生的菌丝能在土壤孔隙中生长,空间上能将土壤颗粒彼此缠绕在一起从而形成较为稳定的团聚体。粪肥能促进土壤真菌的生长,Ngosong等[33]通过长期的大田试验证明施用粪肥能增加土壤中丛枝菌根真菌的菌丝量。植物根系除了能直接作为胶结剂固定土壤颗粒形成大团聚体,还能提供根系分泌物进一步稳定土壤团聚体[29, 34]。粪肥施用能促进植物根系生长,Arslanoglu[35]通过多种粪肥与化肥对照试验得出,粪肥施用能促进大豆根系生长,显著提升其根系的质量。
3.2 土壤因素影响土壤团聚体对粪肥的响应本研究发现,粪肥显著影响淋溶土和老成土土壤团聚体的形成,即在淋溶土中施用粪肥会显著增加大小团聚体,减少微团聚体;在老成土施用粪肥会显著增加大团聚体,虽然小团聚体、微团聚体和粉黏粒会减少,但与对照相比不具有显著性(图 3)。淋溶土具有明显的黏粒下移现象[21],保水保肥性较差、土壤有机质含量较少[36]。研究发现,长期施用粪肥能显著改善淋溶土的土壤结构[37]。施用粪肥使淋溶土的有机质含量显著增加,从而促进土壤大团聚体的形成。同样,老成土中的有机质含量也比较低,且富含铁铝氧化物[38-39]。研究表明,铁铝氧化物具有较高的零点电荷(PZC),能吸附土壤有机质和带负电荷的土壤粉黏粒[29],因此,铁铝氧化物被认为是促进团聚体形成的重要无机黏结剂[40],特别是对于有机质含量低且黏土矿物和铁铝氧化物含量较高的老成土[38],铁铝氧化物的胶结作用是影响团聚体形成的主要因素。Tisdall和Oades[29]认为在团聚体的形成过程中,无机团聚作用的效果比有机质团聚效果差且形成的团粒稳定性较差。在老成土中施用粪肥能提升土壤中有机质含量,且老成土中丰富的铁氧化物易与土壤有机质形成有机–无机复合体[41],促进大团聚体的形成和稳定。除此之外,老成土pH较低[42],施用粪肥能有效地提高土壤pH,从而间接促进老成土中的土壤团聚体形成[43]。松软土的有机质含量丰富,施用粪肥后,过多的有机质输入增加了土壤激发效应,导致土壤有机质分解加快[30],从而导致粪肥对土壤团聚体的影响不明显。
本研究还发现,施用粪肥显著促进中性和碱性土壤中的大、小团聚体的形成,对微团聚体的形成有显著的遏制作用(图 4)。土壤pH主要是通过影响土壤微生物、植物根系生长和黏土的净电荷而间接影响土壤团聚体的形成。研究表明,过高或过低的土壤pH都不利于微生物生长,当土壤pH为6.5 ~ 7.5时,微生物活动最强[44]。酸性土壤不利于植物根系生长,遏制了微生物与根系的结核作用,导致酸性土壤中的大团聚体难以形成[45]。Meng等[43]研究发现,长期施用粪肥会使碱性土壤的pH降低。例如,连续施用粪肥20 a后,土壤pH从初始的9.56下降到7.8左右。因此,在碱性较强的土壤中施用粪肥能有效调节土壤酸碱性,使土壤pH保持在适合微生物生长的范围之内,从而间接影响土壤团聚体的形成。土壤pH还会影响黏土的净电荷,从而影响团聚体的形成,随着pH上升,黏土的分散度增加,施用粪肥能使pH基本保持在中性避免了由于土壤负zeta电位的增加导致的黏土分散[46]。
3.3 粪肥因素影响土壤团聚体对粪肥的响应本研究发现,施用牛粪会显著增加大团聚体和小团聚体含量,同时减少微团聚体和土壤粉黏颗粒含量;施用猪粪会显著增加大团聚体含量;施用鸡粪显著减少土壤粉黏颗粒,但对其他粒径团聚体没有显著性影响(图 5)。不同文献中给出的粪肥由于含水率不同等因素导致同种粪肥养分占比存在较大差异,因此本文参考《中国有机肥料养分志》[47]提供的各类粪肥养分含量(表 4)进行讨论分析,猪粪的有机质含量最高,尤其是经过堆肥的猪粪含有远高于其他畜禽粪便的腐殖质。因此,施用猪粪显著增加土壤大团聚体含量可能是由于其自身含有的大量有机质,能有效胶结小粒径土团颗粒,导致小团聚体、微团聚体以及土壤粉黏颗粒都有减少的趋势,但与对照相比不具有显著性。牛作为反刍动物,其粪便质地绵密、含水率较高,对砂性土和黏性土有良好改土作用。Ren等[2]通过Meta分析发现,相比其他有机肥,施用牛粪能更显著增加土壤微生物生物量碳,换言之施用牛粪更能促进土壤微生物的生长。因此,施用牛粪导致土壤粉黏颗粒显著减少的原因可能是大量的微生物分解产物将土壤小颗粒胶结起来形成小团聚体或者微团聚体,此外牛粪还能够促进植物根系分泌物增多,进一步促进微团聚体有效胶结成大团聚体[34]。通常,鸡粪中全氮和全磷含量普遍高于其他畜禽粪便,由于鸡肠道缺少对应的消化酶,鸡饲料中的粗纤维很难被消化[26]。鸡粪含有较高的氮素养分,但又缺少有机质,因而有较低的C/N,导致鸡粪对土壤团聚体的影响不及其他粪肥。一方面,鸡粪中的有机质含量少,直接导致胶结大团聚体物质减少,大团聚体含量变化不显著;另一方面,氮素增加会促进土壤细菌生长,同时抑制真菌生物量[48],高氮素输入还可能抑制土壤酶活性和微生物活动[44]。研究者普遍认为,真菌更有利于大团聚体的形成,而细菌及其代谢产物更有利于微团聚体的形成[49]。这就解释了施用鸡粪会导致土壤粉黏颗粒显著减少的现象。此外,钠作为土壤分散剂,过量输入会破坏土壤团聚体的稳定性[19]。根据表 4可以发现,鸡粪中钠含量高于其他粪肥。因此,施用鸡粪后,钠离子在土壤中过量积累,遏制了小团聚体和微团聚体的形成,导致其含量无显著变化。
|
|
表 4 各类粪肥烘干基养分含量 Table 4 Nutrient contents in different manure drying bases |
本研究发现,在降水量低于1 000 mm地区,施用粪肥显著增加土壤中的小团聚体含量(图 9)。这与Guo等[19]的观点一致,认为在湿润地区施用粪肥会对土壤团聚体产生积极的影响,但在干旱和半干旱地区施用粪肥不会改变土壤团聚体含量,甚至可能会降低土壤团聚体稳定性。在雨水充沛地区,土壤中的无机盐容易被淋溶,可以削弱其对团聚体的分散作用[31]。本文也发现,在降水越大的地区,粪肥对土壤小团聚体的影响越不显著。Naz等[45]发现,高降水地区土壤由于碱性阴离子浸出,导致土壤普遍偏酸性。因此,可以推测,强降水会影响微生物和植物根系生长,从而导致粪肥施用后,土壤团聚体的变化不明显。Guo等[19]还发现,干旱地区大量施用粪肥不会改变土壤团聚体含量。但本文收集到的数据大多在半湿润或湿润区,因而无法有效分析粪肥对干旱地区土壤团聚体的影响。
本研究还发现,在低温地区,粪肥对土壤大团聚体和小团聚体的促进作用更明显(图 8)。Gross和Glaser[14]通过Meta分析发现,低温地区施用粪肥能更容易积累土壤有机质,这可能是由于温度低,微生物活动弱,有机质分解慢导致的,从而可以解释土壤团聚体在低温地区更稳定的现象。
4 结论1) 粪肥施用会显著增加土壤大团聚体和小团聚体含量,并且减少土壤微团聚体和土壤粉黏颗粒含量。
2) 在淋溶土中施用粪肥会显著增加土壤大团聚体和小团聚体含量,同样在老成土中施用粪肥也会显著增加大团聚体含量,但对小团聚体的影响不显著。
3) 在碱性和中性土壤中施用粪肥更有利于土壤大团聚体和小团聚体的形成。
4) 施用牛粪的改土作用最明显,能显著增加土壤大团聚体和小团聚体含量,同时减少土壤微团聚体和粉黏颗粒含量;相比之下,施用猪粪只显著增加了土壤大团聚体含量,但对其他粒径团聚体的影响不显著;而施用鸡粪只显著减少了土壤粉黏颗粒含量。
5) 适度湿润和低温地区施用粪肥更有利于土壤大团聚体和小团聚体的形成。
| [1] |
林仕芳, 王小利, 段建军, 等. 有机肥替代化肥对旱地黄壤有机碳矿化及活性有机碳的影响[J]. 环境科学, 2022, 43(4): 2219-2225 ( 0) |
| [2] |
Ren F L, Sun N, Xu M, et al. Changes in soil microbial biomass with manure application in cropping systems: A meta-analysis[J]. Soil and Tillage Research, 2019, 194: 104291 DOI:10.1016/j.still.2019.06.008 ( 0) |
| [3] |
泽尔拉都, 邸雪嫣, 张乃明, 等. 云南典型果蔬种植区土壤养分分布特征及影响因子分析[J]. 江苏农业科学, 2023, 51(21): 232-239 ( 0) |
| [4] |
李政昊, 刘斯泓, 李嘉琦, 等. 辽宁省铁岭植烟区土壤肥力特征及综合评价[J]. 土壤通报, 2022, 53(3): 631-639 ( 0) |
| [5] |
Jiang M B, Wang X H, Liusui Y H, et al. Variation of soil aggregation and intra-aggregate carbon by long-term fertilization with aggregate formation in a grey desert soil[J]. CATENA, 2017, 149: 437-445 DOI:10.1016/j.catena.2016.10.021 ( 0) |
| [6] |
Liu S B, Wang J Y, Pu S Y, et al. Impact of manure on soil biochemical properties: A global synthesis[J]. Science of the Total Environment, 2020, 745: 141003 DOI:10.1016/j.scitotenv.2020.141003 ( 0) |
| [7] |
中国畜牧兽医年鉴委员会. 中国畜牧兽医年鉴[M].
中国农业出版社, 北京, 2021
( 0) |
| [8] |
中国区域畜禽粪便能源潜力及总量控制研究[J]. 农业工程学报, 2013, 29(1): 171–179, 295 ( 0) |
| [9] |
我国有机肥资源及产业发展现状[J]. 中国土壤与肥料, 2020(3): 210-219 ( 0) |
| [10] |
中国畜禽粪污资源化利用技术应用调研与发展分析[J]. 农业工程学报, 2022, 38(9): 237-246 ( 0) |
| [11] |
农业农村部. 到2020年化肥使用量零增长行动方案[EB/OL]. 2015. zzys. moa. gov. cn/gzdt/201503/t20150318_ 6309945. htm.
( 0) |
| [12] |
农业农村部. 农业绿色发展导则(2018—2030年) [EB/ OL]. 2018. gov. cn/gongbao/content/2018/content_5350058. htm.
( 0) |
| [13] |
Ning C C, Gao P D, Wang B Q, et al. Impacts of chemical fertilizer reduction and organic amendments supplementation on soil nutrient, enzyme activity and heavy metal content[J]. Journal of Integrative Agriculture, 2017, 16(8): 1819-1831 DOI:10.1016/S2095-3119(16)61476-4 ( 0) |
| [14] |
Gross A, Glaser B. Meta-analysis on how manure application changes soil organic carbon storage[J]. Scientific Reports, 2021, 11: 5516 DOI:10.1038/s41598-021-82739-7 ( 0) |
| [15] |
盐渍化条件下土壤团聚体及其有机碳研究进展[J]. 应用生态学报, 2021, 32(1): 369-376 ( 0) |
| [16] |
土壤团聚体的形成和稳定机制: 研究进展与展望[J]. 土壤学报, 2023, 60(3): 627-643 ( 0) |
| [17] |
Chen Y, Zhang X D, He H B, et al. Carbon and nitrogen pools in different aggregates of a Chinese Mollisol as influenced by long-term fertilization[J]. Journal of Soils and Sediments, 2010, 10(6): 1018-1026 DOI:10.1007/s11368-009-0123-8 ( 0) |
| [18] |
Zhao Z H, Zhang C Z, Li F, et al. Effect of compost and inorganic fertilizer on organic carbon and activities of carbon cycle enzymes in aggregates of an intensively cultivated Vertisol[J]. PLoS One, 2020, 15(3): e0229644 DOI:10.1371/journal.pone.0229644 ( 0) |
| [19] |
Guo Z C, Zhang J B, Fan J, et al. Does animal manure application improve soil aggregation? Insights from nine long-term fertilization experiments[J]. Science of the Total Environment, 2019, 660: 1029-1037 DOI:10.1016/j.scitotenv.2019.01.051 ( 0) |
| [20] |
世界土壤资源参比基础(WRB)的创立及其土壤分类[J]. 土壤学进展, 1995, 23(5): 21-27 ( 0) |
| [21] |
Soil Survey Staff. Soil taxonomy - A basic system of soil classification for making and interpreting soil surveys[M].
Cambridge University Press, UK, 2009
( 0) |
| [22] |
Luan H A, Gao W, Tang J W, et al. Aggregate-associated changes in nutrient properties, microbial community and functions in a greenhouse vegetable field based on an eight-year fertilization experiment of China[J]. Journal of Integrative Agriculture, 2020, 19(10): 2530-2548 DOI:10.1016/S2095-3119(20)63269-5 ( 0) |
| [23] |
基于Meta分析研究不同管理措施对中国农田土壤剖面有机碳的影响[J]. 土壤, 2021, 53(6): 1290-1298 DOI:10.13758/j.cnki.tr.2021.06.024 ( 0) |
| [24] |
基于Meta分析评价东北黑土地保护性耕作与深耕的区域适宜性: 以作物产量为例[J]. 土壤学报, 2022, 59(4): 935-952 ( 0) |
| [25] |
水蚀环境植被恢复对土壤有机碳固存和团聚体稳定的影响: Meta分析[J]. 环境科学, 2023, 44(3): 1542-1552 ( 0) |
| [26] |
畜禽粪便污染的环境风险与资源化处理技术分析[J]. 环境科学, 2023, 44(8): 4764-4774 ( 0) |
| [27] |
畜禽养殖粪污的处理及资源化利用[J]. 农业灾害研究, 2022, 12(9): 55-57 ( 0) |
| [28] |
Six J, Bossuyt H, Degryze S, et al. A history of research on the link between (micro)aggregates, soil biota, and soil organic matter dynamics[J]. Soil and Tillage Research, 2004, 79(1): 7-31 DOI:10.1016/j.still.2004.03.008 ( 0) |
| [29] |
Tisdall J M, Oades J M. Organic matter and water-stable aggregates in soils[J]. Journal of Soil Science, 1982, 33(2): 141-163 DOI:10.1111/j.1365-2389.1982.tb01755.x ( 0) |
| [30] |
Jiang H, Han X Z, Zou W X, et al. Seasonal and long-term changes in soil physical properties and organic carbon fractions as affected by manure application rates in the Mollisol Region of Northeast China[J]. Agriculture, Ecosystems & Environment, 2018, 268: 133-143 ( 0) |
| [31] |
Wen Y J, Tang Y F, Wen J, et al. Variation of intra- aggregate organic carbon affects aggregate formation and stability during organic manure fertilization in a fluvo- aquic soil[J]. Soil Use and Management, 2021, 37(1): 151-163 DOI:10.1111/sum.12676 ( 0) |
| [32] |
Ding X L, Liang C, Zhang B, et al. Higher rates of manure application lead to greater accumulation of both fungal and bacterial residues in macroaggregates of a clay soil[J]. Soil Biology and Biochemistry, 2015, 84: 137-146 DOI:10.1016/j.soilbio.2015.02.015 ( 0) |
| [33] |
Ngosong C, Jarosch M, Raupp J, et al. The impact of farming practice on soil microorganisms and arbuscular mycorrhizal fungi: Crop type versus long-term mineral and organic fertilization[J]. Applied Soil Ecology, 2010, 46(1): 134-142 DOI:10.1016/j.apsoil.2010.07.004 ( 0) |
| [34] |
不同处理牛粪对黑土团聚体组成与稳定性的影响[J]. 中国土壤与肥料, 2013(4): 10-15 ( 0) |
| [35] |
Arslanoglu Ş F. The effects on the root and plant development of soybean of organic fertilizer applications[J]. Bioscience Journal, 2022, 38: e38036 DOI:10.14393/BJ-v38n0a2022-60382 ( 0) |
| [36] |
Garg K K, Anantha K H, Dixit S, et al. Impact of raised beds on surface runoff and soil loss in Alfisols and Vertisols[J]. CATENA, 2022, 211: 105972 DOI:10.1016/j.catena.2021.105972 ( 0) |
| [37] |
Zou C M, Li Y, Huang W, et al. Rotation and manure amendment increase soil macro-aggregates and associated carbon and nitrogen stocks in flue-cured tobacco production[J]. Geoderma, 2018, 325: 49-58 DOI:10.1016/j.geoderma.2018.03.017 ( 0) |
| [38] |
He Y B, Xu C, Gu F, et al. Soil aggregate stability improves greatly in response to soil water dynamics under natural rains in long-term organic fertilization[J]. Soil and Tillage Research, 2018, 184: 281-290 DOI:10.1016/j.still.2018.08.008 ( 0) |
| [39] |
Wang X Y, Zhao L X, Comeau L P, et al. Divergent carbon stabilization pathways in aggregates in Ultisols with and without organic amendments: Implications from 13C natural abundance and NMR analysis[J]. Geoderma, 2022, 426: 116088 DOI:10.1016/j.geoderma.2022.116088 ( 0) |
| [40] |
Nguyen D T, Nguyen M T, Le T Q, et al. Sorption of cosmetic and personal care polymer ingredients to iron oxides, clay minerals and soil clays: An environmental perspective[J]. Science of the Total Environment, 2023, 861: 160606 DOI:10.1016/j.scitotenv.2022.160606 ( 0) |
| [41] |
土壤团聚体形成与稳定机制及影响因素[J]. 土壤通报, 2005, 36(3): 415-421 ( 0) |
| [42] |
He Y B, Lin L R, Chen J Z. Maize root morphology responses to soil penetration resistance related to tillage and drought in a clayey soil[J]. The Journal of Agricultural Science, 2017, 155(7): 1137-1149 DOI:10.1017/S0021859617000302 ( 0) |
| [43] |
Meng Q F, Ma X F, Zhang J, et al. The long-term effects of cattle manure application to agricultural soils as a natural-based solution to combat salinization[J]. CATENA, 2019, 175: 193-202 DOI:10.1016/j.catena.2018.12.022 ( 0) |
| [44] |
Li B Z, Song H, Cao W C, et al. Responses of soil organic carbon stock to animal manure application: A new global synthesis integrating the impacts of agricultural managements and environmental conditions[J]. Global Change Biology, 2021, 27(20): 5356-5367 DOI:10.1111/gcb.15731 ( 0) |
| [45] |
Naz M, Dai Z C, Hussain S, et al. The soil pH and heavy metals revealed their impact on soil microbial community[J]. Journal of Environmental Management, 2022, 321: 115770 DOI:10.1016/j.jenvman.2022.115770 ( 0) |
| [46] |
有机肥增减施后红壤水稻土团聚体有机碳的变化特征[J]. 土壤, 2019, 51(6): 1106-1113 DOI:10.13758/j.cnki.tr.2019.06.009 ( 0) |
| [47] |
全国农业技术推广服务中心. 中国有机肥料养分志[M].
中国农业出版社, 北京, 1999
( 0) |
| [48] |
Zhou Z H, Wang C K, Luo Y Q. Meta-analysis of the impacts of global change factors on soil microbial diversity and functionality[J]. Nature Communications, 2020, 11: 3072 DOI:10.1038/s41467-020-16881-7 ( 0) |
| [49] |
保护性耕作对土壤团聚体及微生物学特性的影响研究进展[J]. 生态环境学报, 2020, 29(6): 1277-1284 ( 0) |
2024, Vol. 56



0)