硼是植物所必需的微量营养元素,对于植物的正常生长和发育至关重要。土壤有效硼是指植物能够从土壤中吸收和利用的硼元素,其含量过低或过高会导致植物出现硼缺乏和中毒症状,显著阻碍植物生长[1]。一般来说,土壤有效硼含量低于0.5 mg/kg被认为是硼缺乏,而超过1.0 mg/kg则出现硼中毒症状[2]。如在潮湿地区,高降雨量导致硼的过度浸出,从而使植物硼缺乏;但在干旱地区,由于灌溉水中硼的添加和排水不畅,植物容易出现硼中毒情况[3]。即植物在生长季节内可能同时经历硼的缺乏和中毒[4]。因此准确测定土壤有效硼含量对于评估和预测其对作物生长和产量的影响非常重要,可避免由于硼缺乏或中毒造成的产量损失[5]。此外,土壤有效硼被列为全国第三次土壤普查(以下简称“三普”)的重要监测指标。因此在有效硼相关研究和农业生产活动中如何提取和测定有效硼含量至关重要。
目前,国内外普遍使用水溶态硼来代表土壤有效硼[6],并且有多种测定方法,包括甲亚胺比色分光光度法、姜黄素比色分光光度法、电感耦合等离子体光谱(ICP-OES)法和电感耦合等离子体质谱法[7-8]。然而,前期研究表明甲亚胺比色法的灵敏度和准确性较低,有报道灵敏度仅达到0.2 mg/kg,而土壤中有效硼含量约为0.1 ~ 12 mg/kg,平均含量为0.4 mg/kg,例如湖北省90% 以上的耕地土壤中有效硼含量低于0.5 mg/kg[9]。此外,甲亚胺比色法容易受到样品中Al、Cu、Fe、Zn和Mo等元素和样品颜色(尤其是在土壤提取物中)干扰而导致有效硼测定值出现严重偏差[8],不适用于各种类型的土壤样品。电感耦合等离子体质谱法需要复杂而昂贵的设备,不适合小型实验室使用。同时传统沸水提取土壤有效硼采用石英器皿,存在器皿价格高、提取实验效率低、提取关键点不易控制的问题[10-11],从而引入沸水浴提取土壤有效硼的讨论。因此,本文将重点比较沸水提取–姜黄素比色法、沸水提取–ICP-OES法、沸水浴提取–ICP- OES法、沸水浴提取–姜黄素比色法,旨在通过实验优化适合各类型及高低不同浓度土壤有效硼的提取方法,结合准确的测定方法,建立一种灵敏度适宜、准确性高、重复性好且操作快速高效的土壤有效硼分析方法,为土壤有效硼的研究工作和“三普”相关参数的测定提供参考。
1 实验方法 1.1 样品、主要试剂与仪器本文分析使用的土壤样品选用某土壤调查项目的实际样品,西藏-1、Y19、Y44、Y54分别采自西藏、安徽、广东和甘肃。土壤标准物质来自中国地质科学院地球物理地球化学勘察研究所(IGGE),包括GBW07412b(棕壤,pH 5.88 ± 0.06)、GBW07413b(潮土,pH 8.01 ± 0.09)、GBW07415b(水稻土,pH 7.43 ± 0.07)、GBW07417b(灰潮土,pH 6.53 ± 0.08)、GBW07458a(黑土,pH 7.10 ± 0.06)和GBW07459a(栗钙土,pH 8.37 ± 0.11),标准物质涵盖不同类型的土壤以及高中低含量的有效硼,可评估不同土壤样品有效硼提取和测定方法的可靠性。硼标准储备液是国家标准物质研究中心生产的1 000 mg/L硼单标溶液,并根据需要制备成一系列校准溶液,以覆盖样品的浓度范围。
实验过程中,使用分析纯及以上纯度试剂,并经Millipore Milli-Q台式纯水系统产生的电阻率达18.2 MΩ·cm的超纯水稀释配制而成。
使用仪器包括美国PE公司生产的Avio 200型电感耦合等离子体发射光谱仪(ICP-OES);尤尼柯WFZ UV-2000型紫外可见分光光度计;沸水提取有效硼使用的EH35B型电热板(莱伯泰科),150 mL石英三角烧瓶(配有石英冷凝回流装置);沸水浴提取有效硼使用的ZSBB-728型恒温水浴箱(上海智城),100 mL螺旋口离心管(PC材料,耐高温,可用于100 ℃以上操作);姜黄素显色反应使用50 mL圆底瓷蒸发皿;过滤样品采用0.45 μm水性滤膜。
1.2 样品提取及测定 1.2.1 沸水提取–姜黄素比色法沸水提取–姜黄素比色法是测定土壤有效硼的经典方法之一,也是此次“三普”规定的土壤有效硼测定方法之一。方法内容参照《土壤分析技术规范》[12]。
提取时称取风干试样10.00 g于150 mL石英三角瓶中,加入20.00 mL超纯水,摇匀后装好冷凝回流装置,置于电热板上低温加热至微沸腾。保持微沸5 min(准确计时)后移开热源,继续冷凝回流5 min(准确计时),取下三角瓶。待冷却至室温,一次倾入滤纸上(或离心),滤液承接于塑料杯中,必要时在取下的三角烧瓶中加入2滴硫酸镁溶液加速澄清。如滤液不澄清,使用0.45 μm水性滤膜过滤。
测定时吸取1.00 mL滤液于50 mL圆底瓷蒸发皿内,加入4.00 mL姜黄素–草酸溶液,置于(55 ± 3) ℃的恒温水浴上蒸发至干(皿底部全部接触水面)。自皿内物质呈现玫瑰红色时开始计时继续烘焙15 min后取出,待冷却至室温后用20 mL乙醇将残渣溶解并完全洗入具塞50 mL塑料管内(此溶液比色读数不宜超过2 h,否则玫瑰红色花青苷慢慢地分解成姜黄素而失效[13])。以乙醇做参比溶液,在分光光度计上用550 nm波长,1 cm石英光皿比色。测定吸光度值,并将扣除空白后的吸光值,根据校准曲线得到测定液的含硼量。同时完成从沸水提取到姜黄素比色的全流程空白试验。该方法使用的姜黄素–草酸试剂在光照下会迅速分解,需存储于棕色瓶内避光,可保存一段时间。
1.2.2 沸水提取–ICP-OES法由于ICP-OES具有简单易用、灵敏度高、稳定性好、线性范围宽、抗干扰能力强、样品基质影响小以及可以同时检测多种元素的能力,成为植物和土壤样品分析的重要工具,也为土壤中硼的分析带来明显的改进[14-15]。沸水提取–ICP-OES法分析土壤中有效硼含量即是对沸水提取–姜黄素比色法中测定方法的改进,即沸水提取–ICP-OES与沸水提取–姜黄素比色法的提取方法一致,测定时根据测定要求合理调整好ICP-OES仪器的工作参数。同时注意按上述沸水提取–ICP-OES测定完成全流程空白试验。样品测定中涉及到ICP-OES的主要工作参数见表 1。
|
|
表 1 ICP-OES仪器主要工作参数 |
ICP-OES测定硼的常用特征谱线为249.677 nm和249.773 nm,但待测液中高浓度Fe(特征谱线249.772 nm)会在249.773 nm处出现谱线重叠对硼测定产生干扰,特别是Fe/B > 500时对硼的测定干扰不可忽略[16],故分析有效硼时选用249.677 nm谱线,以排除Fe存在带来的测定干扰。
1.2.3 沸水浴提取–ICP-OES法由于沸水提取土壤有效硼需使用昂贵的石英三角瓶和石英回流冷凝器,且煮沸强度和沸腾时间不易控制,因此不断改进热水溶性硼的提取方法仍作为土壤有效硼测定的重要关注点。本研究结合了陈淑萍等[17]和易田芳等[10]利用热水浴提取有效硼的方法,通过前期试验和优化,建立了一种便捷、易于控制且准确的沸水浴提取–ICP-OES法用于土壤有效硼的测定。
提取时准确称取10.00 g经过2 mm孔径尼龙筛的风干试样于100 mL的螺口圆底的硬质具盖离心管(PC材质)中,加入20.00 mL超纯水。利用微混合仪将样品混匀后放入恒温沸水浴箱中(100 ± 1) ℃加热,约15 min后样品温度恒定在99 ℃(可通过在一离心管中插温度计来测量瓶内温度,并使用纸张填充管口空隙以获得准确的瓶内温度),准确计时40 min。取出离心管,待其冷却至室温后使用定量滤纸过滤。若过滤后的样品不够澄清,可使用0.45 μm水性滤膜再次过滤,以得到澄清溶液。
直接使用ICP-OES测定滤液中的硼含量。同时完成从提取到ICP-OES测定的全流程空白试验,以排除任何仪器背景和试剂污染对测定结果的影响。
1.2.4 沸水浴提取–姜黄素比色法本文将按照1.2.3沸水浴提取–ICP-OES法提取有效硼溶液后,利用姜黄素比色测定有效硼含量,从而获得沸水浴提取–姜黄素比色法的实验结果。
为有效比较有效硼提取和测定方法对分析结果的影响,本文涉及同一样品沸水提取的姜黄素比色法(1.2.1)与ICP-OES法(1.2.2) 测定土壤有效硼使用同一份提取溶液,涉及沸水浴提取的ICP-OES法(1.2.3)与姜黄素比色法(1.2.4)测定土壤有效硼使用同一份提取溶液。通过保持其他影响因素的一致性,以更好地讨论和说明不同测定方法之间的相关性。
2 结果与分析 2.1 沸水提取与沸水浴提取时间在沸水提取法中,煮沸时间和回流冷凝时间长短可能直接影响有效硼的浸出量。本文取中等浓度土壤标准物质GBW07413b比较土壤有效硼含量随煮沸时间及冷凝回流时间的变化情况。试验过程中除测试的条件有改变外,其余均按照1.2.1沸水提取–姜黄素比色法中提取步骤操作。沸水提取中煮沸时间对测定结果的影响如图 1A,回流冷凝时间对测定结果的影响如图 1B。
|
图 1 煮沸时间(A)和回流冷凝时间(B)对沸水提取–姜黄素比色法测定有效硼含量的影响 |
图 1A表明,在试验条件下,煮沸时间为5 min时,测定的有效硼含量最大,之后随着煮沸时间的增加,测定结果降低再缓慢增加,整体变化较为平缓。图 1B表明,在试验条件下,回流冷凝时间超过5 min后,有效硼的测定值逐渐降低,但是较为缓慢,这可能是因为冷却过程中土壤胶体对水溶性硼存在吸附力。由于煮沸时间5 min和回流冷凝时间5 min时,标准物质GBW07413b有效硼测定结果在标准值的1 σ范围内,且为了便于各实验测定结果的比较,根据《土壤分析技术规范》[12]要求,后续试验将沸水提取法中煮沸时间和回流冷凝时间均控制在5 min。
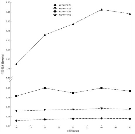
在沸水浴提取时间试验中,为确认沸水浴提取方法对有效硼含量测定结果的影响,选用不同类型土壤且覆盖土壤有效硼高中低含量范围的土壤标准物质(GBW07412b、GBW07413b、GBW07415b、GBW 07459a)试验提取方法时间的影响。在沸水浴提取试验中,土壤溶液在水浴中加热15 min后,温度基本稳定在99 ℃,此时再继续加热10 ~ 50 min,确认提取液中有效硼含量随提取时间增加的变化情况,如图 2所示。
|
图 2 沸水浴提取时间对测定结果的影响 |
有效硼含量随提取时间的延长而缓慢增加,但40 min后含量基本稳定,故确定后续沸水浴提取–ICP- OES法测定有效硼含量方法的提取时间为40 min。
2.2 方法检出限和测定下限方法检出限和测定下限的确定可以帮助确定分析方法的灵敏度和可靠性,并提高实验结果的可信度和准确性[18]。方法检出限是指能够被分析方法检测到的最小浓度,通常定义为标准差× t值。测定下限是指在一定置信水平下,分析方法可以测定的最低浓度,通常定义为4倍的方法检出限。这两个限值对于分析方法的灵敏度评估和实验数据的解释非常重要。本文通过确定方法检出限和测定下限来评估4种分析方法的灵敏度和可靠性。
在最佳实验条件下利用4种分析方法获得的11份全流程空白对照(CK)样品的测定值,取其置信水平为99%,并根据HJ 168—2020[19]附录A的方法确定方法检出限和测定下限计算方法,获得4种分析方法的方法检出限和测定下限(表 2)。
|
|
表 2 四种测定方法的方法检出限和测定下限 |
从表 2中可以看出,对比4种方法的空白值和方法检出限数据,发现空白分别来自于有效硼的提取和测定过程,利用沸水浴提取–ICP-OES法的空白值最优,该方法的检出限和测定下限值明显优于其他3种方法。沸水提取法的测定下限高于沸水浴提取法,这表明沸水提取过程中由于石英三角烧瓶底部平整度的不一致会影响空白值精度,同时沸水提取中对沸腾情况判断的不一致性也影响了空白值的测定。对比姜黄素比色法和ICP-OES法,姜黄素比色法在比色测定中引入较高的空白值,且对于有效硼含量低于0.12 mg/kg的土壤样品不适用。
2.3 方法精密度与正确度方法精密度分析可以帮助确定方法的可靠性和精确性,以及确定实验结果的误差范围。如果实验方法的精度和可重复性较高,则可以得到更可靠和准确的实验结果。本文取有效硼含量范围为高中低以及不同类型的6种土壤标准物质(GBW07412b、GBW 07413b、GBW07414b、GBW07417b、GBW07458a、GBW07459a),依据所讨论的4种有效硼测定方法,设定实验室内95% 的置信区间,对其精密度和正确度进行分析。每种土壤标准物质平行测定7次,分别计算各样品的有效硼含量,并与标准值进行比较。不同处理方法测定土壤标准物质的结果及精密度值列于表 3。
|
|
表 3 土壤标准物质有效硼含量测定结果 |
从表 3可以看出,利用沸水浴提取–ICP-OES测定不同土壤样品中有效硼含量的精密度均能控制在10% 以内,符合实验的质量控制要求。其他3种方法的测定精密度无法有效控制在10% 以内,造成方法分析精密度较差的原因分别来自提取和测定过程。
在提取过程中,石英三角烧瓶底部厚度和平整度的不一致性导致控制沸腾强度以及准确计时煮沸和冷却回流时间的困难。这种不一致性影响了提取过程的一致性,从而对分析结果的精密度造成了影响。
对相同提取过程,ICP-OES法的测定精度优于姜黄素比色法,说明比色法测定有效硼显色过程不易控制。姜黄素–草酸与硼在瓷蒸发皿底部形成玫瑰花青苷的显色过程需在无水条件下进行,但由于瓷蒸发皿的形状、口径、壁厚以及内表面釉质无法完全一致,导致残渣蒸发的分散面积大小不一,从而无法保持玫瑰花青苷显色时间和速度的一致性,因此影响了比色法测定的精密度。此外,显色条件还受环境温湿度影响,有水分残存会使络合物颜色强度降低,因此在不同时间内特别是不同环境湿度条件下测定样品中有效硼含量的重现性可能并不理想。
图 3为不同处理方法测定土壤标准物质有效硼含量与标准值的比较。从图 3看出,沸水浴提取–ICP-OES法测定不同土壤标准物质的正确度均在标准值的1 σ偏差范围内。沸水提取–姜黄素比色法和沸水浴提取–姜黄素比色法对土壤标准物质GBW 07412b、GBW07459a的测定结果偏高,说明显色反应存在一定干扰。而对标准物质GBW07417b,沸水提取–ICP-OES法测定结果偏低,但姜黄素法测定结果偏高,可能是由于这3种方法的测定下限刚好接近于GBW07417b有效硼含量0.13 ± 0.03 mg/kg,因此测定存在较大偏差风险。
|
图 3 不同处理方法的有效硼测定值与标准值的比较 |
为了更全面了解4种分析方法在实际样品测定中的适用性,并进一步研究可能存在的其他关键影响因素,本文选取来自不同省市的4种不同实际样品进行有效硼分析,每种方法都按照最优条件全程序分析,并对每个样品平行测定5次。4种不同样品有效硼含量的测定结果如表 4所示。
|
|
表 4 不同实际样品有效硼含量测定 |
测定结果显示,对于Y19及Y54样品,4种方法的结果一致;然而对西藏-1号样品,姜黄素比色法的结果偏差接近50%。该结果表明,在西藏-1号样品中,姜黄素比色法对有效硼的测定可能存在特殊影响因素。
排除该样品实验过程中器皿、蒸发温度、环境湿度和空气流速等因素对结果均一性的影响,以及通过元素分析排除样品中其他元素包括铁、钼、钛、锆、镉、钙等易和显色试剂形成有色络合物而对硼测定的干扰[20],并进一步考虑西藏土壤的特殊性。西藏土壤盐渍化是目前突出的土壤环境问题,干旱区土壤中硝酸盐的富集度较高,尤其是在农耕地土壤中[21-23]。Williams和Vlamis[24]研究表明土壤中大量硝酸盐的存在会影响姜黄素比色法的准确度,导致有效硼的结果偏低。
根据实验结果,确认西藏-1号样品的有效硼提取液中硝酸根含量达33.7 mg/L。为进一步研究硝酸盐对姜黄素与硼的络合物形成的影响,本文设计实验,在含有0.35 µg B的溶液中连续添加不同浓度的硝酸根,以观察有效硼提取溶液中硝酸根含量对于沸水提取–姜黄素比色法测定硼结果的影响程度。实验结果表明溶液中硝酸根含量达到20 mg/L以上会对姜黄素比色法测定硼产生明显干扰(图 4)。
|
图 4 硝酸盐含量对姜黄素比色法测定硼的影响 |
这些结果表明,在西藏-1号样品中,硝酸盐的存在可能会对姜黄素比色法准确性产生影响,导致有效硼的测定结果偏低。因此在使用沸水提取–姜黄素比色法进行有效硼分析时,需要特别注意样品中硝酸盐含量,必要时采取相应措施来排除干扰,确保分析结果的正确性和可靠性。
2.5 方法相关性比较及方法评价采用Origin 2018软件对4种方法测定土壤有效硼含量的结果,包括空白(表 2)、6种不同土壤标准物质(表 3)、4个不同实际样品(表 4)进行数据分析,表明有效硼测定结果不服从正态分布(P < 0.05)。采用Spearman相关分析,发现沸水提取–ICP-OES、沸水提取–姜黄素比色、沸水浴提取–ICP-OES与沸水浴提取–姜黄素比色测定结果均呈显著两两正相关,r > 0.952(表 5),4种方法测定结果具有可比性。
|
|
表 5 四种方法分析土壤有效硼结果的相关性 |
然而,在样品测定过程中需要将实验条件调整为最优状态,并注意排除可能干扰测定结果的因素。
3 讨论与结论分析土壤有效硼含量时,选择合适的方法需要综合考虑多种因素,如土壤样品的类型、分析步骤、前期准备、实验数据分析、效率要求以及实验室条件等,最佳推荐使用沸水浴提取–ICP-OES法,该法具有测定下限较低、测定含量范围广、精度高、样品提取和测定过程易于控制和分析速度快等优点,适用于大批量样品和需要快速分析的各类土壤调查及研究。
尽管沸水提取–ICP-OES方法具有一定可靠性,但在提取过程中受到器皿厚度、底部平整度等因素的影响,实验人员对于提取时沸腾强度和沸腾时间控制差异性,导致有效硼分析结果精密度不能完全控制在10% 以内。此外石英器具的价格较高,实验室配备不足也会导致分析效率低等问题。
沸水浴提取–姜黄素比色法虽然提取效率高,但与沸水提取–姜黄素比色法均存在比色过程繁琐问题,且影响测定结果的因素较多,测定过程难于控制,特别是在有效硼与姜黄素蒸干显色过程中,显色时间和速度有关,并且室内湿度对结果影响较大。当土壤中的有效硼含量较低时,其可能低于显色反应的测定下限,从而导致测定结果的不准确。由于显色反应范围有限,实验室除明确该方法的测定下限外,还需要确认方法的测定上限,对于含量较高的样品应进行稀释后再进行测定。另外,当硝酸根含量超过20 mg/L时,比色过程会受到干扰,导致结果偏低。因此在应用中需加以防范,特别是对盐碱地土壤的有效硼测定。
综上所述,本文通过探讨不同分析方法的影响因素,不断改进和完善土壤有效硼含量的测定方法,提高土壤有效硼含量分析的精密度和正确性。这有助于实验室选择合适的分析方法,为土壤有效硼测定研究提供借鉴,也为后续检测实验室进行“三普”分析工作提供技术支撑。
| [1] |
Janaki B, Sandesh B. The availability status of boron in the cultivated soil of Nepal[J]. Journal CleanWAS, 2022, 6(1): 37-39 DOI:10.26480/jcleanwas.01.2022.37.39 ( 0) |
| [2] |
Lal K N, Tyagi R S. Deficiency, favourable, and toxic effects of boron on tobacco[J]. American Journal of Botany, 1949, 36(9): 676 DOI:10.1002/j.1537-2197.1949.tb05321.x ( 0) |
| [3] |
Nable R O, Bañuelos G S, Paull J G. Boron toxicity[J]. Plant and Soil, 1997, 193(1): 181-198 ( 0) |
| [4] |
Goldberg S, Suarez D L. A new soil test for quantitative measurement of available and adsorbed boron[J]. Soil Science Society of America Journal, 2014, 78(2): 480-485 DOI:10.2136/sssaj2013.09.0404 ( 0) |
| [5] |
Marschner P. Marschner's mineral nutrition of higher plants(3rd ed.)[M].
Academic Press, San Diego, 2012: 483-643
( 0) |
| [6] |
王艳泽, 施燕之, 张学凯, 等. 土壤中有效硼的分析进展[J]. 冶金分析, 2007, 27(6): 36-40 ( 0) |
| [7] |
Kmiecik E, Tomaszewska B, Wątor K, et al. Selected problems with boron determination in water treatment processes. Part Ⅰ: Comparison of the reference methods for ICP-MS and ICP-OES determinations[J]. Environmental Science and Pollution Research, 2016, 23(12): 11658-11667 DOI:10.1007/s11356-016-6328-7 ( 0) |
| [8] |
Sah R N, Brown P H. Boron determination—a review of analytical methods[J]. Microchemical Journal, 1997, 56(3): 285-304 DOI:10.1006/mchj.1997.1428 ( 0) |
| [9] |
朱端卫. 土壤和植物中硼测定方法概述[J]. 土壤通报, 1995, 26(3): 142-143 ( 0) |
| [10] |
易田芳, 彭礼枚, 向勇. 水浴加热振荡提取–电感耦合等离子体原子发射光谱法测定土壤中有效硼[J]. 理化检验–化学分册, 2019, 55(8): 972-975 ( 0) |
| [11] |
张鹏鹏, 胡梦颖, 徐进力, 等. 沸水浸提–电感耦合等离子体发射光谱法测定土壤中的有效硼[J]. 光谱学与光谱分析, 2021, 41(6): 1925-1929 ( 0) |
| [12] |
全国农业技术推广服务中心. 土壤分析技术规范(第2版)[M].
中国农业出版社, 北京, 2006
( 0) |
| [13] |
Dible W T, Truog E, Berger K C. Boron determination in soils and plants[J]. Analytical Chemistry, 1954, 26(2): 418-421 DOI:10.1021/ac60086a047 ( 0) |
| [14] |
Sah R N, Brown P H. Techniques for boron determination and their application to the analysis of plant and soil samples[J]. Plant and Soil, 1997, 193(1): 15-33 ( 0) |
| [15] |
易田芳, 向勇, 蒋建军, 等. 四酸微波消解-电感耦合等离子体发射光谱(ICP-OES)法测定土壤和沉积物中全硼含量[J]. 中国无机分析化学, 2023, 13(6): 576-581 ( 0) |
| [16] |
Xu L Q, Rao Z. Determination of boron in soils by sequential scanning ICP-AES using side line indexing method[J]. Fresenius' Zeitschrift Für Analytische Chemie, 1986, 325(6): 534-538 DOI:10.1007/BF00635682 ( 0) |
| [17] |
陈淑萍, 王雪征, 茜晓哲, 等. 甲亚胺法测定土壤有效硼的研究[J]. 土壤学报, 2009, 46(3): 537-540 ( 0) |
| [18] |
Thompson M, Ellison S, Wood R. Harmonized guidelines for single-laboratory validation of methods of analysis (IUPAC Technical Report)[J]. Pure and Applied Chemistry, 2002, 74(5): 835-855 DOI:10.1351/pac200274050835 ( 0) |
| [19] |
中华人民共和国生态环境部. 环境监测分析方法标准制订技术导则: HJ 168—2020 [S]. 北京: 中国环境科学出版社, 2020.
( 0) |
| [20] |
王训银. 硼在比色分析中的反应特征[J]. 核动力工程, 1991, 12(6): 84-90 ( 0) |
| [21] |
赵梦竹, 马金珠. 干旱区不同类型土壤中硝酸盐的分布特征及来源分析[J]. 兰州大学学报(自然科学版), 2014, 50(3): 424–430, 436 ( 0) |
| [22] |
马波, 张加琼, 税军锋, 等. 西藏中东部地区土壤侵蚀野外调查报告[J]. 水土保持通报, 2018, 38(5): 1–8, 361 ( 0) |
| [23] |
赵明德, 刘攀, 杨冲, 等. 盐胁迫对青藏高原多年生牧草幼苗生理指标的影响[J]. 生态科学, 2018, 37(3): 123-130 ( 0) |
| [24] |
Williams D E, Vlamis J. A critical examination of the curcumin method for boron analysis of plant tissues, waters and soil extracts. I. Sample size[J]. Communications in Soil Science and Plant Analysis, 1970, 1(3): 131-139 DOI:10.1080/00103627009366251 ( 0) |
2024, Vol. 56



0)