2. 本溪市生态环境保护综合行政执法队, 辽宁本溪 117021
土地资源作为人类生存基础性资源,关系着国民经济发展。而矿山开采对土地的破坏使已稀缺的土地资源呈加速减少的趋势[1],且矿区废弃地占据了大量土地资源,使原生植被与原地貌遭到破坏,造成了严重的水土流失,加剧人地矛盾,对人类社会产生了重大影响。因此,对土壤基质进行改良是矿山废弃地生态恢复过程中的关键核心[2]。
土壤调理剂不仅能有效改善土壤环境及促进植物生长,还能改善土壤养分,提高土地的生产力,对实现土壤可持续发展具有重要意义[3]。腐植酸是一种生物活性剂,是由羧基、酚羟基、醌基、羰基、甲氧基等多活性官能团组成的高分子化合物,广泛应用于农业生产和土壤修复[4]。腐植酸作为腐殖质主要成分,是土壤微生物生存的基础,能改善土壤pH、通透性等土壤环境促进微生物生长繁殖,并促进微生物对难溶性矿物养分的转化;腐植酸还能影响土壤微生物活性,并提高微生物的环境抗逆性[5]。而微生物能也利用腐植酸中有机物等营养物质作为能量和碳源,并利用腐植酸中的醌类物质来维持自身的能量代谢[6]。总之,腐植酸在优化土壤结构、提升土壤肥力与土壤微生物活性等方面有着重要价值。而其衍生产品腐植酸钾(HAK)在促进作物养分吸收、提高肥料利用率、改善土壤理化性质方面有较好的效果[7]。
微生物菌剂是指含有活微生物的特定制剂,常应用于农业生产。研究表明,施用微生物菌剂不仅能够促进植物的生长发育,提高其抗逆性,还能改良土壤理化性质,改善土壤微生物群落组成等[8],具有高效、低投入及不污染环境等特点,应用前景广阔[9]。哈茨木霉菌(Trichoderma harzianum,TH)是一类普遍存在的真菌。有学者将TH施用于柴胡,研究TH对柴胡生长、产量、质量以及种植土壤养分的影响,发现TH提高柴胡产量和品质效果显著,还提高了土壤碱解氮、有效磷及速效钾的含量 [10];TH还能通过合成抗生素化合物来抑制病原菌体活性,保护植株免受病原体的攻击[11]。在土壤中,TH有助于分解不溶性矿物质,溶解土壤中的磷酸盐,促进植物对磷酸盐的吸收,有利于植物的正常生长和发育[12]。胶质芽胞杆菌(Bacillus mucilaginosus,BM)俗称硅酸盐细菌,能分解长石、云母等铝硅酸盐类的原生态矿物,使土壤中难溶性钾、磷等转变为可溶性速效养分以供植物生长利用[13]。链霉菌作为种类和数量较多的放线菌之一,不仅能抑制植被根际及周边土壤有害菌的生长和繁殖,还能达到控病保产的目的,其中细黄链霉菌(Streptomyces microflavus,SM)应用较多。研究表明,SM能在作物根际周边大量繁衍,将土壤中的氮磷钾等物质转化成作物可吸收的状态[14]。
腐植酸作为土壤调理剂,与化肥等配合施用效果更加明显[15]。腐植酸有基施、撒施、冲施等多种施用方式,其中腐植酸水溶肥冲施对土壤改良、作物增产效果较好[16]。微生物菌剂对土壤改良的研究日渐受到重视,且不同菌剂混施的改良效果研究日益增多,但目前关于腐植酸与微生物菌剂配合施用的研究鲜有报道,特别是腐植酸协同多种菌剂对矿区废弃地土壤改良的相关研究尚未见报道。
基于以上,本研究通过盆栽试验采用腐植酸与不同菌剂联合施用技术,探究了其对矿区废弃地土壤理化性质与土壤酶活性的影响,并采用灰色关联度分析方法筛选最优腐植酸与菌剂组合,以对未来矿区废弃地土壤植被恢复提供技术支持,为外源施加腐植酸对菌剂使用效果研究提供理论依据。
1 材料与方法 1.1 供试材料供试土壤采自辽宁阜新市海州区海州露天矿排土场西南部刺槐林(121°40′28.86″ E,41°57′42.06″ N)。该区土壤除淋溶性褐土外,还含有煤矸石及大量的粉砂岩、砾岩、煤页岩等岩石成分。采用五点取样法采集土样,去除根系、杂草、砂石等杂物,风干后作为盆栽试验用土。原生土壤理化性质较差,其中pH 7.01,容重1.02 g/cm3,含水率19.8%,有机质8.25 g/kg,全氮0.48 g/kg,有效磷3.19 mg/kg,速效钾145.89 mg/kg,碱解氮78.73 mg/kg。对土壤8项常规重金属含量进行测定,结果详见表 1。
|
|
表 1 土壤重金属含量 Table 1 Heavy metal contents in tested soil |
供试微生物菌剂哈茨木霉菌(TH)、胶质芽孢杆菌(BM)购于广西农保生物工程有限公司,浓度分别为1×1010、5×109 cfu/g,细黄链霉菌(SM)购于山东和众康源生物科技有限公司,浓度为2×1010 cfu/g。供试腐植酸钾(HAK)购于北京博威神农科技有限公司,为黑色微粒矿源腐植酸钾,由氢氧化钾液体对精选风化煤反应提取而成,其中腐植酸(干基)质量分数65% ~ 70%,氧化钾质量分数10% ~ 12%,pH 8 ~ 10,水溶性大于98%。
供试植物黑麦草为四倍体抗寒种,发芽势0.78,发芽指数147.73,发芽率62%,种子状况良好。
试验用盆为塑料盆,上口径15.5 cm,下口径12.2 cm,盆高10.5 cm。
1.2 试验设计通过查阅相关资料[17-19],确定本研究中TH菌剂用量为0.17%(菌剂与供试土壤的质量比,下同),BM菌剂用量为1.2%,SM菌剂用量为0.12%。HAK采用水稀释冲施法,浓度为0.03%,每次施用250 mL,间隔10 d冲施1次。试验设置单施HAK及其与菌剂协同混施处理,其中HAK浓度固定为0.03%。各处理的具体配置方式详见表 2。
|
|
表 2 不同处理配置方式 Table 2 Treatments and their compositions |
盆栽试验于2022年11月15日开始,每盆装入1 kg风干后的土壤,按试验设计称取对应浓度的微生物菌剂与供试土壤混匀,9个处理每个处理重复3次,共计27盆。菌剂混匀后,撒入30粒黑麦草种子覆土后冲施浓度0.03%的腐植酸钾250 mL。于2023年3月25日收获,采集土样,测定土壤理化性质、土壤酶活性指标。
1.3 测定项目与方法土壤理化性质与酶活性根据《土壤农化分析》[20]与相关文献[21]的方法进行测定。其中,土壤含水率采用烘干法,容重采用环刀法,pH采用电位法,有效磷采用钼锑抗比色法,碱解氮采用碱解扩散法,速效钾采用乙酸铵提取–火焰光度计法,全氮采用凯氏定氮法,有机质采用重铬酸钾容量法–稀释热法测定。脲酶活性采用苯酚钠比色法,蔗糖酶活性采用3, 5-二硝基水杨酸比色法,蛋白酶活性采用茚三铜比色法,磷酸单酯酶活性采用对硝基苯磷酸盐比色法。
1.4 灰色关联度评价模型的构建灰色关联分析法是通过关联度和关联序反映各评价对象与理想对象的接近次序,对评价对象进行比较得出优劣的土壤质量评价方法,有着正确、客观的评价结果[22-23]。本研究以所测定的12种土壤指标为基础,9种处理为评价对象,基于灰色系统关联度理论,构建土壤质量综合评价模型。
1) 关联系数确定。根据不同试验处理后土壤质量的变化特点,假定存在一个较理想的改良处理,以该处理的各项土壤质量指标作为参考模式,其他处理土壤质量各指标为比较模式。处理方式以x表示,土壤指标以k表示,各处理x在指标k处的值构成比较数列xi,x0为构建的理想参考值,本试验中选择各个土壤指标的最高值作为理想值。各个参比因子的灰色关联度系数ξi (k)表示为:
| $ {\xi _i}(k) = \frac{{\frac{{\min }}{i}\frac{{\min }}{k}\left| {{x_0}(k) - {x_i}(k)} \right| + \rho \frac{{\max }}{i}\frac{{\max }}{k}\left| {{x_0}(k) - {x_i}(k)} \right|}}{{{x_0}(k) - {x_i}(k) + \rho \frac{{\max }}{i}\frac{{\max }}{k}\left| {{x_0}(k) - {x_i}(k)} \right|}} $ | (1) |
式中:ξi (k)为x0与xi在第k点的关联度系数[24];|x0(k)–xi(k)|为x0数列在k点的绝对差;ρ为分辨系数,本研究中取值为0.5。
2) 等权关联度确定。根据ξi (k)求出不同处理土壤质量的等权关联度Ri:
| $ Ri = \frac{1}{n}\sum\limits_{k = 1}^n {{\xi _i}} (k) $ | (2) |
式中,n为土壤质量指标的总数,n=12。
3) 指标权重确定。
| $ {W_i} = \frac{{{R_i}}}{{\sum {{R_i}} }} $ | (3) |
4) 加权关联度确定。根据不同处理方式下土壤质量各指标的灰色关联系数ξi(k)和权重Wi,计算不同处理下土壤质量的加权关联度Ri:
| $ {R'_i} = \sum\limits_{k = 1}^n {{\xi _i}(k) \cdot {W_i}} $ | (4) |
利用SPSS 21.0软件对试验数据进行处理与统计分析,采用Duncan多重比较法进行处理间差异显著性检验,采用GraphPad Prism 9.0进行绘图。
2 结果与分析 2.1 不同菌剂与腐植酸钾配施对土壤理化性质影响从图 1可看出,单施HAK与TH+HAK处理对土壤含水率提升较好,较CK处理显著提高18.36%、25.49%,而其余处理与CK处理差异不显著(P > 0.05,下同)。各处理土壤pH 6.08 ~ 7.00,HAK及BM菌剂的施用使土壤pH下降,其中BM+HAK处理的pH最低,较CK处理显著降低12.01%,除单施HAK及含BM菌剂的协同配施处理外,其余处理pH较CK处理无显著差异。单施HAK处理能显著提高土壤有效磷、碱解氮及有机质含量,较CK处理显著提高了17.60%、58.23% 及27.09%。HAK与菌剂协同混施处理总体虽能提高土壤养分含量,但速效钾含量较CK处理降低了2.66% ~ 43.43%。
|
(柱图上方不同小写字母表示处理间差异显著(P < 0.05);下同) 图 1 不同处理对土壤理化性质的影响 Fig. 1 Effects of different treatments on soil physicochemical properties |
在单菌+HAK协同混施处理中,BM+HAK处理对土壤有机质、有效磷、全氮、碱解氮含量及容重的提升最优,较CK处理显著提高37.95%、243.76%、21.88%、95.27% 及13.99%,表明HAK与BM菌剂的添加对以上指标的提升具有协同作用;SM+HAK处理土壤速效钾含量较CK处理减少了30.48%,且显著低于单施HAK处理,表明SM菌剂与HAK协同减少了速效钾含量。
在双菌+HAK协同混施处理中,TH+BM+HAK处理能显著提升土壤有效磷与碱解氮含量,较CK处理显著提高276.90% 与209.53%,且显著高于TH+HAK处理与BM+HAK处理,而有机质含量较CK处理无显著差异;TH+SM+HAK处理对土壤碱解氮、全氮与有机质含量的提升作用介于TH+HAK处理与BM+HAK处理之间,三者之间对养分提升无协同作用;BM+SM+HAK处理土壤速效钾含量最低,显著低于其他处理,即三者对速效钾含量减少的协同作用最强。
三菌+HAK混施处理土壤全氮含量最高,其余指标介于单菌+HAK与双菌+HAK处理之间,无显著提升效果,表明三菌与HAK对土壤理化性质改善不存在协同作用。
综合以上结果表明,单施HAK能一定程度改善土壤理化性质但效果不佳,不同菌剂与HAK混施处理对大部分土壤理化性质改善有不同的协同作用,而对个别指标则存在逆向协同,应综合分析进而评价不同处理对土壤的综合改善效果。
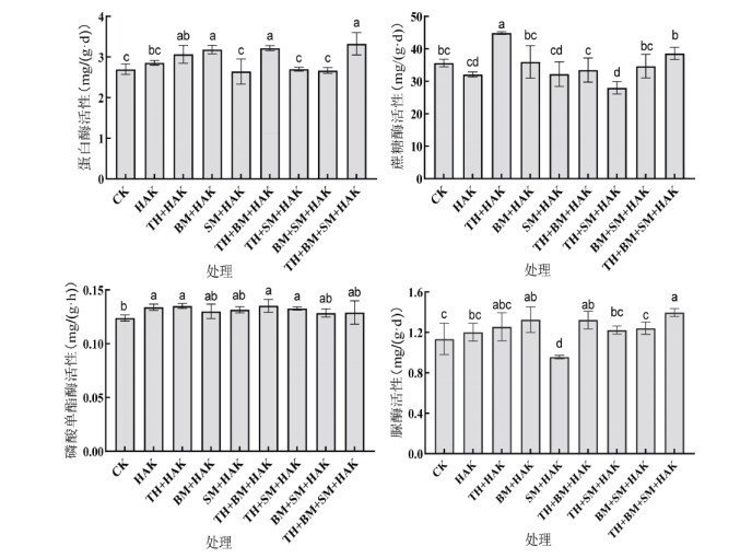
2.2 不同菌剂与腐植酸钾配施对土壤酶活性影响从图 2可以看出,不同处理对土壤酶活性影响不同,单施HAK处理土壤磷酸单酯酶活性较CK处理显著提升8.03%,对其他土壤酶活性影响较小。在单菌+HAK协同混施处理中,TH+HAK处理显著提升土壤蛋白酶、蔗糖酶及磷酸单酯酶活性,较CK处理显著提高13.75%、25.97% 及8.96%,其中蔗糖酶活性显著高于单施HAK处理;BM+HAK处理显著提升脲酶活性,较CK处理显著提高16.86%,但与单施HAK处理相比无显著差异;SM+HAK处理脲酶活性显著低于CK处理,较CK处理显著下降了15.7%。以上结果表明,HAK搭配施用TH或BM菌剂对土壤酶活性提高有利,而搭配SM菌剂施用对部分土壤酶活性无显著提高作用。
|
图 2 不同处理对土壤酶活性的影响 Fig. 2 Effects of different treatments on soil enzyme activities |
在双菌+HAK混施处理中,TH+BM+HAK处理对土壤酶活性提升作用介于TH+HAK处理与BM+ HAK处理之间。而TH+SM+HAK处理蔗糖酶活性最低,较CK处理显著下降21.49%,BM+SM+HAK处理对蛋白酶活性较CK与单施HAK处理无提升作用。可见,双菌+HAK混施处理对土壤酶活性的提升没有协同作用,反而对土壤酶活性产生不利影响。
三菌+HAK混施处理土壤脲酶与蛋白酶活性较CK处理显著提高23.09% 与23.67%,但较单菌+HAK协同混施处理无显著提升,且蔗糖酶与磷酸单酯酶活性较CK处理无显著提升,表明HAK+三菌混施对4种土壤酶活性提升无协同作用。
2.3 土壤质量灰色关联度分析 2.3.1 建立标准模式及计算关联系数根据灰色系统理论要求,将土壤pH、容重、含水率、有机质、速效钾、碱解氮、有效磷、全氮、蛋白酶、脲酶、蔗糖酶、磷酸单酯酶12个指标视为一个整体,9种不同处理土壤的各项指标值构成比较数列xi(k)={xi(1),xi(2),xi(3),…,xi(n)},以12项指标理想值为参考值,构成最优指标集x0(k)={x0(1),x0(2),x0(3),…,x0(m)}。其中,k=1,2,3,…,n,n是指标数;i=1,2,3…,m,m是处理数。根据黑麦草对土壤养分的需求特点,12项指标均选择其数值为理想参考值,则最优指标集X0(k)={7.00, 0.932, 0.219, 48.037, 284.294, 165.063, 22.458, 1.479, 3.357, 1.463, 44.875, 0.135},本文采用均值化方法对原始指标数据进行标准化处理,得出最小二级差
|
|
表 3 被评价对象的关联系数 Table 3 Correlation coefficients of evaluation objects |
当各指标在同等重要性的情况下,可由公式(2)计算各参试指标的等权关联度,而实际上土壤各指标特征值的重要性并不相同,为了正确得出各指标关联度大小,则需确定土壤指标权重,因此本研究采用熵权法[24]替代公式(3)以确定各评价指标的权重(表 4),最终通过公式(4)计算出各指标对应的加权关联度(表 5)。通过加权关联度值,能够评估不同处理指标值与最优指标集之间的差异大小。当关联度值越大时,表明该模式与最优指标集的相似程度越高;反之,差异较大。由表 5可知,本研究中,不同菌剂与腐植酸钾配施处理土壤质量评价灰色关联度值大小顺序为:BM+HAK > TH+BM+ HAK > TH+BM+SM+HAK > BM+SM+HAK > TH+SM+HAK > TH+HAK > HAK > SM+HAK > CK。
|
|
表 4 土壤质量评价指标的权重 Table 4 Weights of soil quality evaluation indexes |
|
|
表 5 被评价对象的加权关联度 Table 5 Correlation degrees of evaluation objects |
本研究结果表明,腐植酸钾(HAK)单施及其与菌剂协同混施对土壤理化性质与酶活性存在不同影响。腐植酸具有醇羟基、酚羟基、羧基、羰基等亲水性基团,在与水接触后能发生电离并与水分子结合形成氢键,从而吸附大量水分,提高土壤保水能力[25]。土壤速效养分的含量反映了土壤养分供给的强度,因此常用于土壤肥力评价。研究表明,腐植酸自身可为土壤提供养分并促进土壤中难溶性磷酸盐溶解,从而增加土壤磷含量,且能吸附NH+ 4,生成腐植酸铵盐,减少氮素挥发损失,故施加腐植酸钾增加了土壤含水率、有效磷及碱解氮含量[26],本研究结果(图 1)与其一致。腐植酸有改善土壤的优势,而微生物菌剂显著提高了腐植酸的作用效果。本研究中,HAK与哈茨木霉菌(TH)、胶质芽孢杆菌(BM)与细黄链霉菌(SM)协同混施中,BM+HAK处理对土壤养分提升显著,主要因为BM可以将土壤中的磷石灰、长石等钾、磷矿物质分解成有效钾、磷,从而改善营养条件[27],且HAK的施入刺激了BM的活性,加速其对矿物的分解;而TH与SM对土壤养分的改善能力远弱于BM。双菌+HAK处理对土壤有效磷、碱解氮、全氮等含量的增加作用优于单菌+HAK处理,说明不同菌种之间对土壤养分条件的改善表现出强烈的互补效应;三菌+HAK处理改良效果介于单菌+HAK与双菌+HAK之间,这可能由于过多种类微生物相互竞争,减弱了协同效果,这一结果与黄丽华等[17]研究一致。本研究中,随着菌剂的施用造成土壤含水率与速效钾含量下降,这与以往研究的上升趋势不同[28],原因可能为植株根系具有较高吸收养分和水分的能力,且土壤水解氮等养分的增加使植株生长茂盛并形成发达的根系,从而土壤水分消耗加大,使含水率减小[29]。根据全思懋等[30]的研究,速效钾含量容易受温度、水分、作物吸收等影响[31],本研究推测植物的生长发育加大了对速效钾的需求量,因此导致土壤速效钾含量减少。pH与有机质被认为是土壤的核心指标,单独施用腐植酸会降低土壤pH,这可能是由于腐植酸中含有较多羧基、酚羟基等酸性基团可解离出较多的H+,而使土壤pH下降[32]。本研究中,在有BM菌剂的处理中,pH显著下降,根据杨榕等[33]研究,BM具有进行分泌及合成有机酸的能力,可使土壤保持在相对较低的pH水平,因此,HAK+BM处理使土壤pH显著下降。腐植酸与菌剂本身具有有机质成分,协同混施后能有效增加土壤有机质。Gou等[34]认为腐植酸还能使微生物以残体的方式保留从而增加土壤有机质。有研究表明,随着植物根系在土壤大孔隙间发育,土壤颗粒受到挤压进而压缩非毛管孔隙体积,从而在某种程度上会增加土壤容重[35]。本研究中,施加菌剂后可能也因植物生长间接影响了土壤结构。
土壤酶主要调节土壤生物化学过程,且对土壤中的微生物活性具有指示作用。腐植酸作为生物刺激剂,能活化微生物活性,一定程度上提高了土壤酶的活性[36]。本研究中,TH菌剂施用后显著提高土壤脲酶与蔗糖酶活性,与Zhang等[37]研究结果一致。SM菌剂属链霉菌属,具有广泛抑制其他微生物的能力,因此SM菌剂的添加导致土壤蛋白酶、脲酶等活性无显著提升。脲酶活性是影响土壤氮素转化的重要因素,可以表征土壤氮素转化状况。本研究中,TH与BM菌剂施入对土壤脲酶的活性具有促进作用,可能由于施入菌剂后使微生物数量及多样性增加,改善了土壤微生物区系,且腐植酸刺激并提高了土壤脲酶活性[38]。
本研究利用灰色关联度理论,以测定的12种土壤指标为基础,分析了8个不同HAK与微生物菌剂搭配处理和1个空白对照处理土壤质量的变化情况,基于该理论,加权关联度值Ri越高,其对应的土壤质量越好[39]。从灰色关联度值(表 5)可以看出,BM+HAK处理排名第一,土壤质量最好,表明在BM菌剂与HAK的相互影响下,对土壤质量的改良效果最好。
4 结论HAK单独施用显著提高矿区废弃地土壤含水率、碱解氮含量和有机质含量。在单菌+HAK混施处理中,BM+HAK处理效果较好,虽降低了土壤pH,但对土壤有效磷、碱解氮、全氮及有机质等养分的改善要优于TH+HAK与SM+HAK处理,且有效提高了土壤脲酶与蔗糖酶活性。在双菌+HAK混施处理中,BM+SM+HAK处理土壤容重最大,对土壤碱解氮含量的提升有明显协同作用,且磷酸单酯酶活性最高,但对蛋白酶、蔗糖酶及脲酶活性有不同程度的降低。三菌+HAK混施处理对土壤理化性质的改善及土壤酶活性的提升介于单菌+HAK处理与双菌+HAK处理之间,无协同提升作用。
结合灰色关联度分析结果,HAK协同菌剂施用对土壤综合改良效果优于单施HAK,其中BM+HAK处理改良效果最佳,优于HAK+双菌或三菌协同处理,可作为一种矿区废弃地土壤改良的良好技术。
| [1] |
赵义博, 雷少刚, 刘英. 胜利矿区土壤养分空间变异特征与影响因素[J]. 土壤, 2020, 52(2): 356-364 ( 0) |
| [2] |
李禹凝, 王金满, 张雅馥, 等. 干旱半干旱煤矿区土壤水分研究进展[J]. 土壤, 2023, 55(3): 494-502 ( 0) |
| [3] |
Babla M, Katwal U, Yong M T, et al. Value-added products as soil conditioners for sustainable agriculture[J]. Resources, Conservation and Recycling, 2022, 178: 106079 DOI:10.1016/j.resconrec.2021.106079 ( 0) |
| [4] |
Sutradhar S, Fatehi P. Latest development in the fabrication and use of lignin-derived humic acid[J]. Biotechnology for Biofuels and Bioproducts, 2023, 16(1): 38 DOI:10.1186/s13068-023-02278-3 ( 0) |
| [5] |
Akimbekov N, Qiao X H, Digel I, et al. The effect of leonardite-derived amendments on soil microbiome structure and potato yield[J]. Agriculture, 2020, 10(5): 147 DOI:10.3390/agriculture10050147 ( 0) |
| [6] |
Kulikova N A, Perminova I V. Interactions between humic substances and microorganisms and their implications for nature-like bioremediation technologies[J]. Molecules, 2021, 26(9): 2706 DOI:10.3390/molecules26092706 ( 0) |
| [7] |
匡岗, 王欢欢, 刘德育, 等. 腐殖酸钾对豫西地区烤烟品质及土壤环境的影响[J]. 中国农学通报, 2017, 33(33): 60-66 ( 0) |
| [8] |
Gu Y A, Dong K, Geisen S, et al. The effect of microbial inoculant origin on the rhizosphere bacterial community composition and plant growth-promotion[J]. Plant and Soil, 2020, 452(1): 105-117 ( 0) |
| [9] |
张子嘉, 肖波. 微生物菌剂对草坪草的促生机理及增强抗逆性研究进展[J]. 草学, 2022(2): 5-8 ( 0) |
| [10] |
Liu L, Xu Y S, Cao H L, et al. Effects of Trichoderma harzianum biofertilizer on growth, yield, and quality of Bupleurum chinense[J]. Plant Direct, 2022, 6(11): e461 DOI:10.1002/pld3.461 ( 0) |
| [11] |
Konappa N, Udayashankar A C, Dhamodaran N, et al. Ameliorated antibacterial and antioxidant properties by Trichoderma harzianum mediated green synthesis of silver nanoparticles[J]. Biomolecules, 2021, 11(4): 535 DOI:10.3390/biom11040535 ( 0) |
| [12] |
Pani S, Kumar A, Sharma A. Trichoderma harzianum: An overview[J]. Bulletin of Environment, Pharmacology and Life Science, 2021, 10(6): 32-39 ( 0) |
| [13] |
孔涛, 任曦玥, 张宇航, 等. 胶质芽孢杆菌与苜蓿根瘤菌双接种对排土场紫花苜蓿生长和土壤性质的影响[J]. 水土保持学报, 2021, 35(04): 321-326 ( 0) |
| [14] |
Zhu L, Jia X, Li M X, et al. Associative effectiveness of bio-organic fertilizer and soil conditioners derived from the fermentation of food waste applied to greenhouse saline soil in Shan Dong Province, China[J]. Applied Soil Ecology, 2021, 167: 104006 DOI:10.1016/j.apsoil.2021.104006 ( 0) |
| [15] |
孙海燕, 杜丹凤, 马倩, 等. 秸秆还田条件下尿素与腐植酸配施对玉米养分吸收、土壤养分及酶活性的影响[J]. 中国土壤与肥料, 2021(3): 102-109 ( 0) |
| [16] |
Taha A, Omar M, Ghazy M. Effect of humic and fulvic acids on growth and yield of lettuce plant[J]. Journal of Soil Sciences and Agricultural Engineering, 2016, 7(8): 517-522 ( 0) |
| [17] |
黄丽华, 孔涛, 张开, 等. 菌剂混施对紫花苜蓿生长和土壤性质的影响[J]. 生态学杂志, 2022, 41(8): 1580-1587 ( 0) |
| [18] |
郭建军, 张永江, 丁方军, 等. 细黄链霉菌(AMCC400001)对油菜促生作用研究[J]. 长江蔬菜, 2013(24): 58-61 ( 0) |
| [19] |
尹微, 江志阳. 多粘类芽孢杆菌与腐植酸水溶肥料配合施用在黄瓜上的应用研究初报[J]. 腐植酸, 2015(6): 21-24 ( 0) |
| [20] |
鲍士旦. 土壤农化分析(3版)[M].
中国农业出版社, 北京, 2000
( 0) |
| [21] |
周礼恺, 张志明. 土壤酶活性的测定方法[J]. 土壤通报, 1980, 11(5): 37–38, 49 ( 0) |
| [22] |
李鑫, 张文菊, 邬磊, 等. 土壤质量评价指标体系的构建及评价方法[J]. 中国农业科学, 2021, 54(14): 3043-3056 ( 0) |
| [23] |
Yaganoglu E, Sari S, Aksakal E, et al. A new approach for comparison of soil characteristics using grey relational analysis and principal component analysis[J]. Journal of Animal and Plant Sciences-JAPS, 2022, 32(2): 466-478 ( 0) |
| [24] |
杜发兴, 吴登峰, 吴厚发, 等. 基于灰色关联度的石漠化地区土壤质量评价[J]. 西南农业学报, 2019, 32(9): 2102-2108 ( 0) |
| [25] |
Fahramand M, Moradi H, Noori M, et al. Influence of humic acid on increase yield of plants and soil properties[J]. International Journal of Farming and Allied Sciences, 2014, 3(3): 339-341 ( 0) |
| [26] |
冯俊义, 赵萌萌, 谭菁, 等. 四种环境材料单施对煤矿区土壤结构和性状的影响研究[J]. 农业资源与环境学报, 2024, 41(1): 72-82 ( 0) |
| [27] |
Sun T, Liu Y, Wu S, et al. Effects of background fertilization followed by co-application of two kinds of bacteria on soil nutrient content and rice yield in Northeast China[J]. International Journal of Agricultural and Biological Engineering, 2020, 13(2): 154-162 ( 0) |
| [28] |
Deng L, Wang T, Luo W, et al. Effects of a compound microbial agent and plants on soil properties, enzyme activities, and bacterial composition of Pisha sandstone[J]. Environmental Science and Pollution Research International, 2021, 28(38): 53353-53364 ( 0) |
| [29] |
Li S X, Wang Z H, Malhi S S, et al. Chapter 7 nutrient and water management effects on crop production, and nutrient and water use efficiency in dryland areas of China[M]//Advances in Agronomy. Amsterdam: Elsevier, 2009: 223–265.
( 0) |
| [30] |
全思懋, 管晓进, 王绪奎, 等. 江苏省域农田土壤速效钾含量变化及其影响因子研究[J]. 土壤, 2019, 51(2): 257-262 ( 0) |
| [31] |
柳开楼, 韩天富, 黄晶, 等. 中国稻作区土壤速效钾和钾肥偏生产力时空变化[J]. 土壤学报, 2021, 58(1): 202-212 ( 0) |
| [32] |
乔红波, 张慧, 高瑞, 等. 三门峡烟区土壤pH时空变异特征[J]. 中国烟草科学, 2010, 31(4): 48-51 ( 0) |
| [33] |
杨榕, 李博文, 刘微. 胶质芽孢杆菌对印度芥菜富集土壤Cd及土壤pH的影响[J]. 环境科学学报, 2013, 33(6): 1648-1654 ( 0) |
| [34] |
Guo X X, Liu H T, Wu S B. Humic substances developed during organic waste composting: Formation mechanisms, structural properties, and agronomic functions[J]. The Science of the Total Environment, 2019, 662: 501-510 ( 0) |
| [35] |
孙龙. 枯落物对土壤分离过程的影响及其季节变化特征[D]. 北京: 中国科学院研究生院(教育部水土保持与生态环境研究中心), 2016.
( 0) |
| [36] |
Pukalchik M, Kydralieva K, Yakimenko O, et al. Outlining the potential role of humic products in modifying biological properties of the soil—a review[J]. Frontiers in Environmental Science, 2019, 7: 80 ( 0) |
| [37] |
Zhang R, Yan Z B, Wang Y K, et al. Effects of Trichoderma harzianum fertilizer on the soil environment of Malus hupehensis rehd. seedlings under replant conditions[J]. HortScience, 2021, 56(9): 1073-1079 ( 0) |
| [38] |
李海云, 姚拓, 师尚礼, 等. 复合菌剂对玉米根际土壤酶活性和微生物数量的影响[J]. 草原与草坪, 2018, 38(06): 19-26 ( 0) |
| [39] |
杨颖, 郭志英, 潘恺, 等. 基于生态系统多功能性的农田土壤健康评价[J]. 土壤学报, 2022, 59(2): 461-475 ( 0) |
2. Benxi City Ecological Environment Protection Comprehensive Administrative Enforcement Team, Benxi, Liaoning 117021, China
2024, Vol. 56



0)