良好的果园土壤结构一般具有较好的持水性、孔隙度和通透性,在果树生长期间起到调节果树根系对水、肥、气、热等多方面因素需求的作用[1-3]。作为土壤结构的基本组成单元,土壤团聚体的含量、分布及稳定性决定土壤侵蚀、压实、板结等物理过程的速度和幅度[4-5]。有机碳是土壤团聚体形成过程中的主要胶结物质,能提高团聚体之间的团聚度,稳定的团聚体可对其可矿化有机质进行有效保护从而免受微生物的分解[6-7]。有研究表明,通过减缓大团聚体的破坏或转化有利于大团聚体中更多微团聚体的产生,从而提高团聚体碳、氮养分含量[8-10]。
间作是一种集约利用光、热、水、土等自然资源的高效种植方式,柑橘园行间间作大豆属于高低作物搭配,能够增加果园土壤肥力、改善土壤微环境、实现柑橘提质增效,对于推进柑橘产业持续发展具有重要的意义[11-12]。钟珍梅等[13]研究指出果园间作作为一种用地与养地相结合的复合农业经营模式,能够促进团粒结构的形成和有效孔隙度的增加、提高土壤的蓄水能力、减少地表水分流失。付学琴等[14]研究发现南丰蜜橘果园间作黑麦草和白三叶草有利于土壤大团聚体的形成,显著提高土壤团聚体碳、氮的含量及微生物多样性和代谢活性。李孝梅等[15]研究表明深根性的木本植物与浅根性的豆科作物之间存在着养分的相互转移现象,可诱导根系分泌功能增强,根系分泌物本身作为有机胶结剂,能够增加土壤颗粒的结合强度,降低变湿速率,从而促进土壤的团聚化作用。近年来,有不少学者对不同绿肥种植模式下土壤养分的变化做了大量的研究,但这些研究主要以间作当年的土壤为研究对象,而针对不同间作年限下土壤有机碳、氮在不同粒径团聚体中的含量分布状况是怎样的却不清楚。因此,本研究通过田间定位试验分析柑橘大豆不同间作年限对土壤团聚体结构变化规律及有机碳、氮分布变化特征,旨在为果园不同种植模式改善土壤团聚体状况和肥力研究提供参考。
1 材料与方法 1.1 研究区概况田间试验位于湖南省张家界市永定区新木岗村柑橘园种植区(29°6′11″N,110°25′11″E,海拔208 m),试验区地处中亚热带季风湿润气候,年均气温为17.2 ℃,年均降水量为1 345.6 mm。供试土壤为板页岩风化物发育的黄泥土,土壤有机质含量为37.45 g/kg,土壤全氮、全磷和全钾含量分别为1.82、0.70和12.80 g/kg,土壤碱解氮、有效磷和速效钾含量分别为163.59、91.23和194.15 mg/kg。园区主栽品种为纽荷尔脐橙,砧木为枳,高接换种5年,株行距为3 m × 4 m。
1.2 试验设计田间试验共设置4个处理:清耕区(对照,CK)、柑橘行间间作大豆1年(T1)、柑橘行间间作大豆2年(T2)、柑橘行间间作大豆3年(T3)。柑橘树冠外围距离主干1 m位置等行距间作早熟春播大豆,大豆品种为国审早熟品种湘春豆26号(生育期96 d),行距40 cm,株距25 cm,每穴播种量2 ~ 3粒,浅播薄盖,播种期为3月下旬,收获期为7月上旬。收获大豆后将秸秆粉碎成长度≤5 cm,覆盖在行间,并用旋耕机进行翻耕与土壤充分混匀进行自然腐熟,旋耕深度为15 ~ 20 cm。每个处理3次重复,共12个小区,每个试验小区面积约666.7 m2,各处理区之间都设置宽8 m的隔离带,不同处理之间完全独立。大豆撒施复合肥(N∶P∶K=15∶15∶15)100 kg/hm2,播种前作为基肥一次性施入。大豆播种当天使用精异丙甲草胺进行一次性封闭除草,大豆封行后根据田间杂草情况进行苗后除草。清耕区定期清除园内杂草,中耕除草深度≤5 cm。
1.3 土壤样品采集人工采摘完果实后,参照曹胜等[16]文献中方法采集土壤样品,用于测定土壤基本理化性质。
1.4 测定指标与方法参照沙维诺夫干筛法[17]分离 > 5、5 ~ 2、2 ~ 1、1 ~ 0.5、0.5 ~ 0.25和 < 0.25 mm粒径土壤团聚体;土壤有机碳、全氮、碱解氮、有效磷和速效钾的含量测定参照鲍士旦[18]的土壤农化分析;土壤碳氮比(C/N)为有机碳和全氮比值。
1.5 数据处理与统计分析计算各粒径团聚体质量百分含量(wi)、> 0.25 mm大团聚体含量(R0.25)、平均质量直径(MWD)、几何平均直径(GMD)、团聚体分形维数(D)和土壤可蚀性(K),计算公式如下:
| $ {w_i} = \frac{{{m_i}}}{{{m_{\text{t}}}}} \times 100\% $ | (1) |
| $ {R_{0.25}} = \frac{{{m_{i > 0.25}}}}{{{m_{\text{t}}}}} \times 100\% $ | (2) |
| $ {\text{MWD = }}\mathop \sum \limits_{i = 1}^n ({\bar x_i}{w_i}) $ | (3) |
| $ {\text{GMD}} = {\text{Exp}}\left( {\mathop \sum \limits_{i = 1}^n {w_i}{\text{ln}}{{\bar x}_i}/(\mathop \sum \limits_{i = 1}^n {w_i}} \right) $ | (4) |
| $ D=3-\text{lg}\left[\frac{{m}_{(i < {\overline{x}}_{i})}}{{m}_{\text{t}}}\right]/\text{lg}\left[\frac{\text{ }{\overline{x}}_{i}}{{x}_{\text{max}}}\right] $ | (5) |
| $ K = 7.594\left\{ {0.0034 + 0.0405{\text{exp}}\left[ { - \frac{1}{2}{{\left( {\frac{{\lg {\text{GMD}} + 1.659}}{{0.7101}}} \right)}^2}} \right]} \right\} $ | (6) |
式中:mi为i粒径团聚体质量(g);
应用Excel 2013进行数据处理,SPSS 24.0进行多重比较(LSD检验),CANOCO 5.0进行冗余分析(RDA),Origin 2019生成描述性图表。
2 结果与分析 2.1 柑橘园土壤团聚体分布特征由表 1可知,柑橘园间作大豆在不同年限处理下的土壤团聚体含量存在显著差异,均呈现出随着团聚体粒径的减小而显著降低的趋势,其中均以 > 5 mm粒级团聚体含量比例最高,介于34.17% ~ 39.02%,表明行间间作大豆处理的土壤机械稳定性团聚体以大团聚体为主;> 2 mm粒级团聚体含量占土壤总团聚体数量的60.18% ~ 65.93%,且随着间作大豆年限的增加,> 2 mm粒级团聚体含量呈现逐年增加趋势,团聚体含量由高到低依次为T3 > T2 > T1 > CK;2 ~ 1 mm和1 ~ 0.5 mm粒级团聚体含量均呈现倒“V”型趋势,T1处理团聚体占比最高,分别为15.60% 和11.85%;0.5 ~ 0.25 mm粒级团聚体含量呈现逐年降低趋势,团聚体含量由高到低依次为CK > T1 > T2 > T3。土壤微团聚体是土壤中直径 < 0.25 mm的土壤微结构体,清耕区土壤以 < 0.25 mm粒级团聚体居多,占比27.53%,< 0.25 mm团聚体数量为CK > T3 > T2 > T1,表明清耕处理土壤机械稳定性团聚体以微团聚体为主。
|
|
表 1 柑橘园土壤团聚体的粒径组成 Table 1 Particle size compositions of soil aggregates in citrus orchards under different treatments |
由表 2可知,随着柑橘园间作大豆年限的延长,土壤团聚体的MWD和GMD呈现升高趋势,均表现为T3 > T2 > T1 > CK,间作处理较CK分别提高了53.28% ~ 63.18% 和41.74% ~ 51.45%,且差异显著(P < 0.05);土壤团聚体的D值和K值则呈现降低趋势,均表现为CK > T1 > T2 > T3,间作处理较CK分别降低了10.45% ~ 11.42% 和12.73% ~ 14.51%。综上结果说明随着柑橘园行间间作大豆年限的延长,土壤团聚体的平均重量直径和几何平均直径逐渐升高,分形维数和土壤可蚀性逐渐降低,柑橘园行间间作大豆模式提高了果园土壤团聚度,果园土壤结构越来越稳定,果园抗侵蚀风险逐渐增强。
|
|
表 2 柑橘园土壤团聚体评价参数 Table 2 Evaluation parameters of soil aggregates in citrus orchards under different treatments |
由表 3可知,不同间作年限处理对土壤总有机碳含量有显著影响,表现为T3 > T2 > T1 > CK。团聚体粒级大小影响柑橘园土壤团聚体中有机碳含量的分布,随着团聚体粒径的减小,有机碳含量呈现显著降低的趋势,其中均以 > 5 mm粒级团聚体有机碳含量最高,介于17.13 ~ 22.15 g/kg。柑橘行间间作大豆不同年限的柑橘园土壤团聚体内有机碳含量存在一定差异,随着柑橘园间作大豆年限的延长,各粒级团聚体有机碳含量呈上升趋势,与清耕区相比,不同间作大豆年限的果园土壤 > 5、5 ~ 2、2 ~ 1和1 ~ 0.5 mm粒级团聚体中有机碳含量分别增加1.12 ~ 5.02、1.21 ~ 6.25、3.60 ~ 6.00和2.46 ~ 3.86 g/kg,其中T2和T3与CK土壤有机碳含量的差异达到显著水平(P < 0.05)。
|
|
表 3 柑橘园土壤团聚体有机碳含量 Table 3 Organic carbon contents of soil aggregates in citrus orchards under different treatments |
由表 4可知,不同间作年限处理对土壤全氮含量有显著影响,其中间作3年的土壤全氮含量最高,清耕区最低。土壤全氮含量在各粒级团聚体中的分布特征与有机碳相似,随着团聚体粒径的减小,全氮含量呈现显著降低的趋势。在4个处理中,> 5 mm粒级团聚体的全氮含量表现为柑橘园间作大豆3年处理的含量最高,为2.37 g/kg,而清耕区土壤的全氮含量最低,为1.96 g/kg。随着柑橘园间作大豆年限的延长,2 ~ 1、1 ~ 0.5和0.5 ~ 0.25 mm粒级团聚体全氮含量均呈现先降低后增加的趋势,其中柑橘行间间作大豆1年时土壤全氮含量最低,分别为1.45、1.34和1.24 g/kg;5 ~ 2 mm和 < 0.25 mm粒级团聚体全氮含量在间作大豆1年后出现显著上升趋势,且间作大豆2年时土壤全氮含量最高,分别为2.19和1.23 g/kg。
|
|
表 4 柑橘园土壤团聚体全氮含量 Table 4 Total nitrogen contents of soil aggregates in citrus orchards under different treatments |
由图 1可知,不同间作年限处理C/N差异显著(P < 0.05),变化区间为6.16 ~ 10.69。随着团聚体粒径的减小,清耕区土壤C/N呈现先降低后升高的趋势,变化区间为6.43 ~ 8.74,平均值为7.31。柑橘园行间间作大豆1年的土壤C/N呈先升高后降低的趋势,变化区间为6.16 ~ 10.69,平均值为8.45,其中2 ~ 1 mm粒级团聚体土壤C/N最高。柑橘园行间间作大豆2年的土壤C/N呈逐渐降低的趋势,变化区间为7.39 ~ 9.91,平均值为8.70。柑橘园行间间作大豆3年的土壤C/N呈先升高后降低的趋势,变化区间为7.29 ~ 9.56,平均值为8.65,其中5 ~ 2 mm粒级团聚体土壤C/N最高。不同间作大豆年限的果园土壤C/N分别是清耕处理的1.16倍、1.19倍和1.18倍,表明柑橘园行间间作大豆能显著提高土壤肥力水平。
|
(图中小写字母不同表示同一粒径团聚体不同处理间差异达P < 0.05显著水平) 图 1 柑橘园土壤团聚体C/N Fig. 1 C/N ratios of soil aggregates in citrus orchards under different treatments |
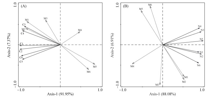
根据各环境变量(> 5、5 ~ 2、2 ~ 1、1 ~ 0.5、0.5 ~ 0.25和 < 0.25 mm团聚体各粒径组成含量)和土壤团聚体有机碳与全氮含量的RDA结果可知(图 2),团聚体各粒径组成和土壤团聚体有机碳含量的RDA1和RDA2解释率分别为91.95% 和7.37%,两轴能解释99.32% 的差异信息(图 2A);团聚体各粒径组成和土壤团聚体全氮含量的RDA1和RDA2解释率分别为88.08% 和6.91%,两轴能解释94.99% 的差异信息(图 2B)。M1、M2和M3粒径土壤团聚体与C1 ~ C6团聚体有机碳含量呈正相关关系,对有机碳含量变异的解释度分别为67.6%、68.6% 和15.9%,M4、M5和M6粒径土壤团聚体与C1 ~ C6团聚体有机碳含量呈负相关关系,对有机碳含量变异的解释度分别为21.2%、70.3% 和49.6%,表明 > 5、5 ~ 2和0.5 ~ 0.25 mm粒径土壤团聚体是影响土壤团聚体有机碳含量变化的3个主要的环境因子。M1和M2粒径土壤团聚体与N1 ~ N6团聚体全氮含量呈正相关关系,对全氮含量变异的解释度分别为32.8% 和33.7%;M4、M5和M6粒径土壤团聚体与N1 ~ N6团聚体全氮含量呈负相关关系,对全氮含量变异的解释度分别为48.5%、34.1% 和17.5%,表明 > 5、5 ~ 2、1 ~ 0.5和0.5 ~ 0.25 mm粒径土壤团聚体是影响土壤团聚体全氮含量变化的4个主要的环境因子。
|
(M1 ~ M6、C1 ~ C6、N1 ~ N6分别表示 > 5、5 ~ 2、2 ~ 1、1 ~ 0.5、0.5 ~ 0.25和 < 0.25 mm团聚体的各粒径组成、有机碳和全氮含量;虚线箭头表示影响变量,实线箭头表示结果变量) 图 2 柑橘园土壤团聚体分布与有机碳(A)和全氮(B)含量间的冗余分析 Fig. 2 Redundancy analysis of soil aggregate distribution with organic carbon content (A) and total nitrogen content (B) in citrus orchards |
研究表明,间作种植会直接或间接促进土壤大团聚体的形成,改善土壤结构[19-20]。本研究中,柑橘园间作大豆处理能显著提高 > 1 mm土壤团聚体含量,较清耕区提高了28.53% ~ 31.46%,这是因为翻耕提高了土壤大团聚体含量。然而,果园作为经济林用地,年周期内干扰强度较大的还有修剪、除草和采摘等频繁踩踏行为,这些干扰容易破坏已形成的土壤团聚体结构[21-22],造成随着种植年限的增加,0.25 ~ 2 mm粒级土壤团聚体含量呈现下降变化趋势。土壤团聚体D值越小,土壤容重越小,土壤越疏松,土壤含蓄水分和水土保持的功能越强;土壤团聚体MWD和GMD值越大,土壤结构越稳定,土壤抗侵蚀能力越强[23]。本研究中,随着柑橘园行间间作大豆年限的延长,土壤团聚体的MWD和GMD呈现升高趋势,土壤团聚体的D值和K值呈现降低趋势,可能原因是间作促进作物根系分泌物的分泌量,根系分泌物的增加主要影响以其为底物的细菌和真菌的数量,促进菌丝的生长,对微团聚体具有缠绕作用,有利于微团聚体转化为大团聚体,使土壤结构更加稳定。
已有研究发现,土壤团聚体内有机碳含量随粒径增大而增大,而大团聚体的有机碳含量高,一方面是由于微团聚体通过有机质胶结形成大团聚体;另一方面,大团聚体中处于分解状态的根系和菌丝可以提升其中的有机碳含量[24]。王艳玲等[25]研究认为无机胶体(黏粒和游离氧化物)主要形成粒径较小的水稳性团聚体,而粒径较大的水稳性团聚体主要依赖于有机质含量。本研究结果表明,随着柑橘园行间间作大豆年限的延长,各粒级团聚体有机碳、氮含量呈上升趋势,说明稳定的团聚体结构能够保护有机碳、氮,使其免受矿化分解,增加在团聚体内的富集量。土壤团聚体中有机碳和全氮的含量不仅是体现土壤肥力的直接指标,还可以指示土壤碳、氮养分矿化输入和损失平衡的结果[26]。有机碳、氮在团聚体内表现为 > 2 mm粒径最高,0.25 ~ 2 mm次之,< 0.25 mm最低,大团聚体中有机碳、氮含量显著高于微团聚体,这一结果与团聚体等级发育模型理论相吻合。土壤C/N是土壤营养状况的重要指标,较低的C/N意味着微生物分解活动能力增强,土壤有机碳矿化速率快,有机物腐解程度高,土壤养分有效性高,而较高的C/N意味着有机碳稳定,利于其在土壤中积累[27]。本研究中,柑橘园行间间作大豆处理的C/N显著高于清耕柑橘园,是因为收获大豆后将秸秆粉碎覆盖在柑橘树行间进行自然腐熟,不断增加了果园土壤有机质含量,而柑橘园行间间作大豆后C/N低于适宜水平(15 ~ 25)的原因可能是大豆属豆科类一年生草本植物,其根系拥有大量根瘤菌共生,具有固氮的效应,同时套种农作物后,土壤氮的活化性提高。土壤团聚体是稳定和保护土壤有机碳、氮养分的载体,是土壤有机碳、氮养分的储存场所,土壤有机碳、氮养分的数量和质量与团聚体密切相关[28-29]。RDA分析解释了上述原因,在各环境变量中,> 5、5 ~ 2和0.5 ~ 0.25 mm粒径土壤团聚体是影响土壤团聚体有机碳含量变化的3个主要的环境因子(图4A),> 5、5 ~ 2、1 ~ 0.5和0.5 ~ 0.25 mm粒径土壤团聚体是影响土壤团聚体全氮含量变化的4个主要的环境因子(图4B)。
4 结论1) 柑橘园土壤团聚体分布以 > 0.25 mm大团聚体为主,柑橘园行间间作大豆的土壤大团聚体含量较清耕区提高了19.58% ~ 22.29%,间作种植模式更有利于大团聚体的形成。随着柑橘园间作大豆年限的延长,土壤团聚体的MWD和GMD呈现升高趋势,土壤团聚体的D值和K值呈现降低趋势,间作种植模式更有利于土壤结构稳定。
2) 随着柑橘园间作大豆年限的延长,各粒级团聚体有机碳、氮含量呈上升趋势,间作大豆3年的果园土壤C/N较清耕区提高了1.16倍~ 1.19倍。进一步研究发现,土壤团聚体各粒径组成与土壤有机碳、氮含量相关性显著,大团聚体含量是影响土壤团聚体有机碳和全氮含量变化的主要环境因子。
| [1] |
王珏, 周卫军, 商贵铎, 等. 不同母质柑橘园土壤养分特征及肥力综合评价[J]. 生态学杂志, 2022, 41(5): 933-940 ( 0) |
| [2] |
Mustafa A, Xu M G, Ali Shah S A, et al. Soil aggregation and soil aggregate stability regulate organic carbon and nitrogen storage in a red soil of Southern China[J]. Journal of Environmental Management, 2020, 270: 110894 DOI:10.1016/j.jenvman.2020.110894 ( 0) |
| [3] |
刘文利, 吴景贵, 傅民杰, 等. 种植年限对果园土壤团聚体分布与稳定性的影响[J]. 水土保持学报, 2014, 28(1): 129-135 ( 0) |
| [4] |
Verchot L V, Dutaur L, Shepherd K D, et al. Organic matter stabilization in soil aggregates: Understanding the biogeochemical mechanisms that determine the fate of carbon inputs in soils[J]. Geoderma, 2011, 161(3/4): 182-193 ( 0) |
| [5] |
杜少平, 马忠明, 薛亮. 不同年限旱砂田土壤团聚体及其有机碳分布特征[J]. 应用生态学报, 2017, 28(5): 1619-1625 ( 0) |
| [6] |
Pulleman M M, Marinissen J C Y. Physical protection of mineralizable C in aggregates from long-term pasture and arable soil[J]. Geoderma, 2004, 120(3/4): 273-282 ( 0) |
| [7] |
任立军, 李金, 邹洪涛, 等. 生物有机肥配施化肥对设施土壤养分含量及团聚体分布的影响[J]. 土壤, 2023, 55(4): 756-763 DOI:10.13758/j.cnki.tr.2023.04.008 ( 0) |
| [8] |
Jiménez J J, Lal R, Russo R O, et al. The soil organic carbon in particle-size separates under different regrowth forest stands of north eastern Costa Rica[J]. Ecological Engineering, 2008, 34(4): 300-310 ( 0) |
| [9] |
Sodhi G P S, Beri V, Benbi D K. Soil aggregation and distribution of carbon and nitrogen in different fractions under long-term application of compost in rice–wheat system[J]. Soil and Tillage Research, 2009, 103(2): 412-418 ( 0) |
| [10] |
王琪, 朱莹雪, 许连周, 等. 施用生物质炭对黑土腐殖质组成及水稳性团聚体分布的影响[J]. 土壤, 2023, 55(3): 605-611 DOI:10.13758/j.cnki.tr.2023.03.018 ( 0) |
| [11] |
党科, 宫香伟, 吕思明, 等. 糜子/绿豆间作模式下施氮量对绿豆叶片光合特性及产量的影响[J]. 作物学报, 2021, 47(6): 1175-1187 ( 0) |
| [12] |
杨欢, 周颖, 陈平, 等. 玉米–豆科作物带状间套作对养分吸收利用及产量优势的影响[J]. 作物学报, 2022, 48(6): 1476-1478 ( 0) |
| [13] |
钟珍梅, 詹杰, 李振武, 等. 紫色土侵蚀区柑橘园套种印度豇豆对土壤水稳性团聚体的影响[J]. 草业科学, 2015, 32(12): 1940-1944 ( 0) |
| [14] |
付学琴, 陈登云, 杨星鹏, 等. '南丰蜜橘'园生草对土壤团聚体养分和微生物特性及果实品质的影响[J]. 果树学报, 2020, 37(11): 1655-1666 ( 0) |
| [15] |
李孝梅, 李永梅, 乌达木, 等. 玉米间作大豆、萝卜对红壤不同粒径水稳性团聚体碳氮分布的影响[J]. 中国土壤与肥料, 2022(1): 104-111 ( 0) |
| [16] |
曹胜, 廖炜, 邓素枫, 等. 不同母质发育的柑橘园土壤团聚体及有机碳分布特征[J]. 中国土壤与肥料, 2023(7): 96-103 ( 0) |
| [17] |
Elliott E T. Aggregate structure and carbon, nitrogen, and phosphorus in native and cultivated soils[J]. Soil Science Society of America Journal, 1986, 50(3): 627-633 ( 0) |
| [18] |
鲍士旦. 土壤农化分析(3版)[M].
中国农业出版社, 北京, 2000
( 0) |
| [19] |
Liu D D, Ju W L, Jin X L, et al. Associated soil aggregate nutrients and controlling factors on aggregate stability in semiarid grassland under different grazing prohibition timeframes[J]. The Science of the Total Environment, 2021, 777: 146104 ( 0) |
| [20] |
白怡婧, 刘彦伶, 李渝, 等. 长期不同轮作模式对黄壤团聚体组成及有机碳的影响[J]. 土壤, 2021, 53(1): 161-167 DOI:10.13758/j.cnki.tr.2021.01.022 ( 0) |
| [21] |
林诚, 郑祥洲, 郭宝玲, 等. 亚热带地区不同种植年限果园土壤团聚体结构及有机碳、氮分布特征[J]. 农业环境科学学报, 2019, 38(7): 1560-1566 ( 0) |
| [22] |
宋彪, 周卫军, 商贵铎, 等. 冰糖橙种植园土壤团聚体特征及其影响因素[J]. 水土保持通报, 2023, 43(2): 34-42 ( 0) |
| [23] |
Wang H, Guan D S, Zhang R D, et al. Soil aggregates and organic carbon affected by the land use change from rice paddy to vegetable field[J]. Ecological Engineering, 2014, 70: 206-211 ( 0) |
| [24] |
冷暖, 邓羽松, 林立文, 等. 南亚热带不同母质发育土壤团聚体特征及其稳定性[J]. 水土保持学报, 2021, 35(5): 80–86, 93 ( 0) |
| [25] |
王艳玲, 王燕, 李凌宇, 等. 成土母质与利用方式双重影响下红壤团聚体的组成特征与稳定性研究[J]. 土壤通报, 2013, 44(4): 776-785 ( 0) |
| [26] |
张顺涛, 任涛, 周橡棋, 等. 油/麦-稻轮作和施肥对土壤养分及团聚体碳氮分布的影响[J]. 土壤学报, 2022, 59(1): 194-205 ( 0) |
| [27] |
农金花. 果菇间作系统下紫色土碳氮组分变化特征及其相互关系研究[D]. 重庆: 西南大学, 2017.
( 0) |
| [28] |
潘浩男, 覃潇敏, 肖靖秀, 等. 不同磷水平下间作对红壤团聚体及有效磷特征的影响[J]. 中国土壤与肥料, 2022(4): 1-8 ( 0) |
| [29] |
王慧, 韩上, 唐杉, 等. 紫云英翻压还田对稻田土壤团聚体组成及其碳氮的影响[J]. 土壤学报, 2023, 60(3): 868-880 ( 0) |
2024, Vol. 56



0)