2. 土壤与农业可持续发展重点实验室(中国科学院), 南京 211135;
3. 安徽建筑大学环境与能源工程学院, 合肥 230601
土壤收缩是土壤干燥过程中土壤颗粒和孔隙重新排列,进而导致体积减小的现象[1]。在土壤性质和外界环境因素的共同作用下,收缩特性对土壤介质过程有着深刻影响[2]。在干燥环境下土体收缩、开裂,加速了水分的蒸发和土壤裂缝的发展,严重影响土壤结构的稳定性[3]。这种结构上的变化极易导致作物根系断裂,对作物生长造成伤害。此外,土壤缝隙较大的情况增加了土壤水分指流强度和养分及污染元素深层渗透的风险,不仅降低水分、养分利用率,并有可能影响浅层地下水质量,导致一定的环境风险[4-5]。因此,对土壤收缩特征的研究在农业生产和环境保护方面均具有重要意义。
土壤收缩过程较为复杂,受土壤质地、含水量及容重等性质的影响[6-7]。研究表明,土壤收缩特征指标与土壤中砂粒含量呈负相关,与粉粒、黏粒含量呈正相关[8]。土壤黏土矿物类型与含量均能影响土壤收缩特性[9-10]。土壤有机质与土壤收缩特性也有一定的关系。有研究认为,高有机质含量的土壤其收缩幅度可能较大[11];也有研究认为,有机质含量高时土壤结构较为稳定且保水能力较强降低了土壤收缩强度[12]。土壤收缩特征曲线通常采用三直线模型、多项式模型、Logistic模型等多种模型拟合,并对土壤收缩特性进行分析[10]。而van Genuchten方程在土壤水分之间的关系分析上具有明显的优势[13]。
砂姜黑土是淮北平原主要土壤类型之一,是该区域面积最大、最典型的中低产田,其分布面积约为400万hm2[14]。砂姜黑土具有明显的土壤收缩开裂特征,对土壤质量和作物产量影响较大。因此,对砂姜黑土障碍因子的消减及土壤的培肥利用有重要意义。添加改良物料是传统的改良方法,其中添加秸秆、生物质炭是常用的措施,且我国黄淮海地区小麦、玉米作物秸秆资源量大,秸秆直接还田或将秸秆制备成生物质炭还田不仅能提高秸秆资源的利用效率,还能改善土壤状况。由此,本文以典型砂姜黑土为研究对象,依托长期(2017—2022年)定位试验,利用van Genuchten方程研究砂姜黑土的收缩特征,分析不同秸秆还田方式对土壤养分、水分、结构和收缩特征的影响,以期为该类型土壤的改良及田间管理提供理论依据与技术支持。
1 材料与方法 1.1 田间试验设计试验设置于安徽省宿州市埇桥区安徽农业大学新农村发展研究院皖北综合试验站。该区域年平均气温15℃,年均降水量850 mm,降水分布不均且主要集中于夏季,土壤类型为砂姜黑土,种植方式为小麦、玉米轮作。
田间试验开始于2017年6月,设置了5个试验处理:氮磷钾平衡施用处理下的小麦与玉米秸秆还田(SR)、小麦秸秆+玉米秸秆生物质炭还田(WMBC)、玉米秸秆+小麦秸秆生物质炭还田(WBCM)、小麦与玉米秸秆生物炭还田(SBC),以及单施氮磷钾肥的对照(CK)。每个处理设置3次重复,采取随机区组排列。玉米收获后将生物质炭施用量按照当年秸秆生物量的1/3施入农田。小麦秸秆炭累计添加1800 kg/hm2,玉米秸秆炭累计添加2400 kg/hm2。所有处理氮磷钾肥料品种及施用量均一致。氮肥用尿素,磷肥用过磷酸钙,钾肥用硫酸钾。氮磷钾施用量采用常规施肥标准:N 225 kg/hm2,P2O5 120 kg/hm2,K 60 kg/hm2。磷钾肥作为基肥施入,氮肥总量的60% 作为基肥施入,40% 为追肥施入。
2022年5月小麦收获前,采用土钻、环刀法采集耕层(0 ~ 20 cm)土壤样品,带回实验室备用。
1.2 测定项目与方法 1.2.1 土壤基本理化性质测定土壤基本理化性质测定参考《土壤农化分析》[15]:pH采用电位计法,水土质量比5∶1;碱解氮采用碱解扩散法;有效磷采用碳酸氢钠溶液浸提–钼锑抗比色法;速效钾采用乙酸铵浸提,火焰光度法;全氮采用半微量凯氏法;全磷采用NaOH熔融–钼锑抗比色法;全钾采用NaOH熔融–火焰光度法;有机质采用重铬酸钾浓硫酸外加热法;土壤容重、土壤孔隙度及田间持水量采用环刀法;土壤团粒结构采用湿筛法。
1.2.2 土壤收缩特征测定将环刀样品置于沙盘中饱和吸水8 h,将突出环刀部分削平,确保环刀内土壤体积一致;土体充分吸水饱和后置于105 ℃烘箱内,间隔1 ~ 2 h取出置于干燥器内冷却后称重,并采用精确至0.01 mm的数显游标卡尺测量土体高度和直径。
土壤收缩曲线描述了土壤含水量变化对土壤体积动态的影响。本文采用vanGenuchten方程拟合土壤收缩特征曲线:
| $ e(\vartheta)=\frac{e_{\mathrm{r}}+\left(e_{\mathrm{S}}-e_r\right)}{\left[1+\left(\chi^{\vartheta}\right)^{-p}\right]^q}, 0 \leq \vartheta \leq \vartheta_S $ | (1) |
式中:e为土壤孔隙比(cm3/cm3);
土壤线性伸展系数用于量化土壤的收缩幅度,其计算公式为:
| $ {\text{COLE}} = \frac{{{L_0} - {L_{105}}}}{{{L_{105}}}} $ | (2) |
式中:
土壤收缩率的计算公式为:
| $ {\text{Shrinkage}} = \frac{{{V_0} - {V_{105}}}}{{{V_{105}}}} \times 100{{\% }} $ | (3) |
式中:
本文数据采用Office 2019进行处理,使用SPSS 22对数据进行统计分析,Origin2022进行绘图。
2 结果与分析 2.1 不同秸秆还田方式对土壤理化性质的影响 2.1.1 不同秸秆还田方式对土壤养分的影响不同秸秆还田方式均能提高土壤氮、磷、钾含量(表 1)。各处理碱解氮、有效磷含量的变化规律一致,表现为SR > SBC > WBCM > WMBC > CK。土壤速效钾及全钾含量变化规律一致,WBCM、SBC处理速效钾及全钾含量均显著高于CK处理。土壤全氮与碱解氮含量变化基本呈相反规律,WBCM处理土壤全磷含量显著高于CK处理。秸秆及其生物质炭还田利于土壤有机质的积累,WBCM、SBC处理显著提高了土壤有机质含量。
|
|
表 1 不同秸秆还田方式下表层(0 ~ 20 cm)土壤化学性质 Table 1 Basic chemical properties of surface (0–20 cm) soils under different straw return forms |
经过长期秸秆还田,土壤容重均有所降低。秸秆+生物质炭还田对土壤容重降低效果显著,各处理容重大小变化规律为:WBCM < WMBC < SBC < SR < CK(图 1)。WBCM、WMBC处理显著提高了土壤孔隙度,不同处理土壤孔隙度大小变化整体上与容重呈相反规律。秸秆还田提高了土壤田间持水量,SR处理田间持水量最高,WBCM处理次之。
|
图 1 不同秸秆还田方式下表层(0 ~ 20 cm)土壤孔隙度、容重及田间持水量 Fig. 1 Porosities, bulk densities, and field capacities of surface (0–20 cm) soils under different straw returning forms |
图 2结果显示,土壤团聚体以 > 2 mm为主,< 0.25 mm的团聚体含量最低。秸秆还田降低了土壤中 > 5 mm的团聚体含量(SBC处理除外),SR、WMBC处理效果明显。对于粒级5 ~ 2 mm的土壤团聚体,各处理含量大小依次为:SR > WMBC > WBCM > SBC > CK,与 > 5 mm的团聚体含量整体呈现相反的变化规律。图 2结果同样显示,WMBC处理土壤中 < 5 mm的团聚体分布较为分散,土壤结构较良好。
|
图 2 不同秸秆还田方式下表层土壤(0 ~ 20 cm)团粒结构分布情况 Fig. 2 Distributions of aggregate structures in surface (0–20 cm) soils under different straw returning forms |
秸秆还田后土壤收缩率、横向线性伸展系数均有所降低(表 2),SBC处理土壤纵向线性伸展系数略高于CK处理,但处理间差异不显著。秸秆+生物质炭还田降低了土壤收缩率,WMBC处理土壤收缩率及横、纵向线性伸展系数均最低,对土壤收缩有显著的抑制作用。
|
|
表 2 不同秸秆还田方式下土壤收缩率及相关参数 Table 2 Soil shrinkage rates and related parameters under different straw returning forms |
利用公式(1)拟合土壤收缩曲线所得参数见表 3。结果显示,利用vanGenuchten方程拟合不同处理下砂姜黑土的收缩曲线,其拟合度较高,实测数据与拟合数据之间的决定系数均达0.95以上。
|
|
表 3 不同秸秆还田方式下土壤收缩曲线特征 Table 3 Characteristics of soil shrinkage curves under different straw returning forms |
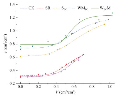
土壤收缩曲线如图 3所示。由图 3可见,随着土壤水分比(θ)及孔隙比(e)逐渐降低,土壤收缩曲线形状大致呈现“S”形,添加生物质炭处理的土壤收缩曲线明显高于未加生物质炭处理。土壤饱和孔隙比表现为:WBCM > WMBC > SBC > CK > SR;土壤残余孔隙比变化趋势整体上与饱和孔隙比一致,但SR处理残余孔隙比大于CK处理(表 3)。
|
图 3 不同秸秆还田方式下土壤的收缩曲线 Fig. 3 Soil shrinkage curves under different straw return forms |
依据拟合方程可将土壤收缩曲线划分为结构收缩、线性收缩、残余收缩及零收缩4个阶段(表 4、表 5)。结果显示,结构收缩阶段,CK处理土壤水分比所占比例最小,仅占0.28%,其余处理水分比所占比例变化趋势为WBCM > WMBC > SBC > SR,依次为23.11%、18.13%、3.27% 和1.70%;生物质炭还田处理在结构收缩阶段其土壤孔隙比与水分比变化趋势一致;随着水分流失引起的土壤体积变化CK处理最大,WBCM处理最小。线性收缩阶段,CK、SR、WMBC、WBCM、SBC处理的水分比分别为30.63%、34.38%、39.66%,36.26%、66.87%,孔隙比依次为59.14%、60.42%、64.22%、63.90%、39.38%;CK处理在该阶段土壤水分损失所对应的体积变化最大,SBC处理最小,WMBC处理其次。残余收缩阶段,各处理的土壤水分比所占比例变化规律为SR > CK > SBC > WMBC > WBCM,对应的孔隙比分别为33.23%、29.71%、38.85%、20.60%、17.75%;此阶段土壤由于水分损失而引起的土壤体积变化强度趋势为SBC > CK > WBCM > SR > WMBC。零收缩阶段,土壤水分比SBC处理最小(1.43%),CK处理最大(38.03%),但各处理水分损失所对应的体积变化WBCM处理最小,SBC处理最大。
|
|
表 4 不同秸秆还田方式下土壤收缩曲线对应拐点 Table 4 Inflection points corresponding to soil shrinkage curves under different straw returning forms |
|
|
表 5 不同秸秆还田方式下土壤收缩阶段比例(%) Table 5 Proportions of soil shrinkage stages under different straw return forms |
线性收缩阶段总体上占整个土壤收缩曲线的比例最大,水分比、孔隙比分别占总损失的30.63% ~ 66.87%和9.38% ~ 64.22%,其次是残余收缩阶段,水分比、孔隙比分别占总损失的19.93% ~ 40.63%、17.75% ~ 38.85%。除CK处理在土壤零收缩阶段的水分变化最大,各处理结构收缩、零收缩阶段水分比、孔隙比占总损失均较小,因此线性收缩、残余收缩阶段为整个收缩过程的主体部分。
3 讨论 3.1 不同秸秆还田方式对砂姜黑土理化性质的影响秸秆还田提高了砂姜黑土养分含量。一方面,秸秆自身含有大量氮、磷、钾等元素,另一方面,生物质炭孔隙丰富、比表面积大,对不同形态氮、磷、钾养分存在很强的吸附作用[16],因此秸秆、生物质炭的添加不仅能吸附土壤中的养分,还影响着土壤微生物活动,进而使土壤中氮和有机无机磷矿化、溶解,增加土壤速效养分含量[17]。秸秆还田利于土壤贮存态钾向速效钾转化,从而提高土壤钾的有效性[18],加之生物质炭对钾的吸附作用,使得玉米秸秆+小麦秸秆生物质炭还田下土壤速效钾及全钾含量显著增加。秸秆及秸秆生物质炭由于自身含有的碳元素,还田后土壤有机质得到提高。由于秸秆生物质炭为高温碳化制备而成,含碳丰富[19],因此小麦、玉米秸秆生物质炭还田下砂姜黑土有机质含量最高,且属惰性材料的生物质炭较秸秆难以被微生物分解利用[20],进一步导致有机质(碳)的积累。
土壤团聚体作为土壤结构的基础单元,添加不同的物料会对其造成一定影响。秸秆还田、秸秆+生物质炭还田使砂姜黑土 > 5 mm不良团聚体得以破碎,形成分布较均匀的土壤结构,改善了土壤结构,提高了土壤团聚体稳定性;但双季秸秆生物质炭还田的土壤 > 5 mm不良团聚体增多,0.5 ~ 5 mm团聚体减少。这可能是由于生物质炭本身作为胶结物质可将较小粒级的团聚体胶结成大团聚体,从而促进 > 5 mm团聚体的形成[21];而秸秆使土壤中新鲜残茬有机碳含量增加,促进了有机质的胶结作用,进而提高了大团聚体的含量。但秸秆可能影响土壤中微生物的活动,进而使 > 5 mm团聚体发生破碎。因此,秸秆+生物质炭还田不仅能提高土壤团聚体稳定性,还能改善土壤结构,提高土壤的通透性,改善土壤紧实的性状。
砂姜黑土黏粒含量较高,土壤黏闭特征最为明显[9]。而土壤容重和孔隙度是反映土壤疏松程度的重要指标。经过长期秸秆还田,土壤容重降低,孔隙度增大(SR处理除外),其中,玉米秸秆+小麦秸秆生物质炭还田效果最好。秸秆生物质炭由于其自身的多孔性,不仅能增加土壤孔隙,还可以通过改变土壤的质地和结构,降低土壤容重[22-23]。而秸秆直接还田,可通过提升土壤有机质等机制降低土壤容重使得土壤疏松多孔[23]。玉米秸秆与小麦秸秆相比,不仅生物量较大且难以腐解,可通过提升土壤有机质及其自身残留尚未腐解的低密度有机物料影响土壤结构,进而对土壤容重及孔隙度造成一定影响[24]。添加物料的异同也能影响土壤持水性能。生物质炭由于其表面亲水基众多,能很大程度截留水分,提高土壤的蓄水能力。但也由于生物质炭丰富的孔隙结构,添加生物质炭后土壤孔隙增多,也加大了水分蒸发的风险[25]。本试验表明,秸秆直接还田其土壤持水性最好,这可能与砂姜黑土在直接添加秸秆下其孔隙度最小,同时也因提高了土壤有机质的含量,使得土壤水分易于保存、不易蒸发有关。因此,秸秆+生物质炭还田更利于降低砂姜黑土容重,提高土壤孔隙度及持水量。
3.2 不同秸秆还田方式对砂姜黑土收缩特征的影响本试验表明,不同秸秆还田方式均降低了砂姜黑土收缩率,小麦秸秆+玉米秸秆生物质炭还田及小麦、玉米秸秆生物质炭还田效果显著,小麦秸秆+玉米秸秆生物质炭还田土壤横、纵向线性系数均最低。秸秆、生物质炭的添加使土壤理化性质、结构特性发生变化,从而导致土壤收缩特性发生改变。土壤有机质含量通常与线性伸展系数呈正相关[13]。结合有机质变化特征发现,本研究中不同秸秆还田方式下,小麦秸秆+玉米秸秆生物质炭还田的土壤有机质含量最低。同时,土壤容重越小,收缩能力越强[26]。而本研究结果显示,秸秆+生物质炭还田的土壤容重较低,但其收缩率也较小。这可能由于该秸秆还田方式其土壤持水量较大且土壤结构得以改善,从而降低了土壤因孔隙收缩所带来的负面影响。
观察土壤收缩特征曲线可以发现,本研究中该曲线基本呈“S”形,与Peng和Horn[13]研究结果较一致。土壤饱和孔隙比通常与有机质含量呈正相关[13]。本研究中,秸秆直接还田处理土壤有机质含量相比小麦秸秆+玉米秸秆生物质炭还田处理和对照更高,而秸秆直接还田的饱和孔隙比却最低,说明饱和孔隙比还受除有机质以外的其他因素影响。生物质炭使土壤残余孔隙比得到有效提升,而秸秆直接还田处理残余孔隙比略高于对照,说明长期秸秆还田能改善土壤最小孔隙比,其中生物质炭的贡献较大。
土壤不同收缩区代表不同尺度的孔隙在脱水过程中的作用范围,反映了土壤结构的变化规律[27]。本研究中,结构收缩阶段,秸秆+生物质炭还田下砂姜黑土水分比及孔隙比增大,这原于土壤失水过程中团聚体破碎,重新排列形成结构更稳定的团聚体,同时也导致团聚体间的大孔隙增多。但由于在该区域土壤团聚体之间的大孔隙在土壤水分损失时主要来自生物孔和团聚体孔的结构孔隙[13],土壤体积变化幅度小,因此并不意味着秸秆+生物质炭还田增强了土壤收缩[27]。土壤收缩过程中,生物质炭还田处理的主体收缩部分其土壤孔隙比整体降低,说明来自活性黏土相关的膨胀微孔收缩程度得以降低。小麦、玉米秸秆生物质炭还田下土壤收缩能力减弱程度更明显,这源于土壤线性收缩及残余收缩部分土壤孔隙比降低,使得土壤团聚体内孔隙数量减少且孔隙结构变化减弱、土壤黏粒收缩能力减弱[28]。零收缩阶段,秸秆+生物质炭还田下土壤孔隙比较小,仅添加生物质炭的土壤孔隙比有较明显变化,说明该收缩阶段小麦、玉米秸秆生物质炭还田处理土壤微孔更膨胀[29]。
4 结论1) 秸秆直接还田利于提高砂姜黑土碱解氮、有效磷含量,而秸秆+生物质炭还田更利于提高土壤速效钾及全量养分含量,玉米秸秆+小麦秸秆生物质炭还田效果更明显。小麦秸秆+玉米秸秆生物质炭还田下大团聚体破碎形成了分布较为均匀的土壤结构。
2) 长期秸秆+生物质炭还田对降低砂姜黑土的容重、提高土壤孔隙度的效果显著,玉米秸秆+小麦秸秆生物质炭还田优于小麦秸秆+玉米秸秆生物质炭还田。而秸秆直接还田下田间持水量最大,玉米秸秆+小麦秸秆生物质炭还田次之。
3) 不同秸秆还田方式均缓解了土壤收缩程度,小麦秸秆+玉米秸秆生物质炭还田土壤收缩率最低,玉米秸秆+小麦秸秆生物质炭还田次之。
4) 在实际的农业生产中,选择秸秆+生物质炭还田方式更利于砂姜黑土的改良利用。玉米秸秆+小麦秸秆生物质炭还田不仅利于提高土壤养分,还能显著降低砂姜黑土容重,提高土壤孔隙度;而小麦秸秆+玉米秸秆生物质炭还田对砂姜黑土的结构改善、收缩障碍的改良效果最佳。
| [1] |
Tang C S, Shi B, Liu C, et al. Experimental characterization of shrinkage and desiccation cracking in thin clay layer[J]. Applied Clay Science, 2011, 52(1/2): 69-77 ( 0) |
| [2] |
郑思文, 李振东, 陈晓冰, 等. 广西喀斯特地区甘蔗地土壤收缩变化研究[J]. 土壤, 2019, 51(6): 1202-1208 ( 0) |
| [3] |
Wen T D, Wang P P, Shao L T, et al. Experimental investigations of soil shrinkage characteristics and their effects on the soil water characteristic curve[J]. Engineering Geology, 2021, 284: 106035 DOI:10.1016/j.enggeo.2021.106035 ( 0) |
| [4] |
张中彬, 彭新华. 土壤裂隙及其优先流研究进展[J]. 土壤学报, 2015, 52(3): 477-488 ( 0) |
| [5] |
Gärdenäs A I, Šimůnek J, Jarvis N, et al. Two-dimensional modelling of preferential water flow and pesticide transport from a tile-drained field[J]. Journal of Hydrology, 2006, 329(3/4): 647-660 ( 0) |
| [6] |
Zhang Z B, Peng X, Wang L L, et al. Temporal changes in shrinkage behavior of two paddy soils under alternative flooding and drying cycles and its consequence on percolation[J]. Geoderma, 2013, 192: 12-20 DOI:10.1016/j.geoderma.2012.08.009 ( 0) |
| [7] |
Du Y J, Li S L, Hayashi S. Swelling–shrinkage properties and soil improvement of compacted expansive soil, Ning-Liang Highway, China[J]. Engineering Geology, 1999, 53(3/4): 351-358 ( 0) |
| [8] |
邢旭光, 马孝义. 土壤失水过程对土体收缩特性的影响[J]. 农业机械学报, 2016, 47(6): 148-153 ( 0) |
| [9] |
Zolfaghari Z, Mosaddeghi M R, Ayoubi S. Relationships of soil shrinkage parameters and indices with intrinsic soil properties and environmental variables in calcareous soils[J]. Geoderma, 2016, 277: 23-34 DOI:10.1016/j.geoderma.2016.04.022 ( 0) |
| [10] |
吕殿青, 邵明安. 土壤干湿收缩特征研究进展[J]. 土壤通报, 2003, 34(3): 225-228 ( 0) |
| [11] |
Zhao H L, Shar A G, Li S, et al. Effect of straw return mode on soil aggregation and aggregate carbon content in an annual maize-wheat double cropping system[J]. Soil and Tillage Research, 2018, 175: 178-186 DOI:10.1016/j.still.2017.09.012 ( 0) |
| [12] |
Taha M R, Alsharef J M A, Al-Mansob R A, et al. Effects of nano-carbon reinforcement on the swelling and shrinkage behaviour of soil[J]. Sains Malaysiana, 2018, 47(1): 195-205 DOI:10.17576/jsm-2018-4701-23 ( 0) |
| [13] |
Peng X, Horn R. Modeling soil shrinkage curve across a wide range of soil types[J]. Soil Science Society of America Journal, 2005, 69(3): 584-592 DOI:10.2136/sssaj2004.0146 ( 0) |
| [14] |
王玥凯, 郭自春, 张中彬, 等. 不同耕作方式对砂姜黑土物理性质和玉米生长的影响[J]. 土壤学报, 2019, 56(6): 1370-1380 ( 0) |
| [15] |
鲍士旦. 土壤农化分析(3版)[M].
中国农业出版社, 北京, 2000
( 0) |
| [16] |
Cox D, Bezdicek D, Fauci M. Effects of compost, coal ash, and straw amendments on restoring the quality of eroded Palouse soil[J]. Biology and Fertility of Soils, 2001, 33(5): 365-372 DOI:10.1007/s003740000335 ( 0) |
| [17] |
Spokas K A, Novak J M, Venterea R T. Biochar's role as an alternative N-fertilizer: Ammonia capture[J]. Plant and Soil, 2012, 350(1): 35-42 ( 0) |
| [18] |
刘义新, 韩移旺, 唐绅, 等. 结晶有机肥对土壤供钾能力及钾在烟株的分布特点[J]. 植物营养与肥料学报, 2004, 10(1): 107-109 ( 0) |
| [19] |
DeLuca T H, Gundale M J, MacKenzie M D, et al. Biochar effects on soil nutrient transformations[M]//Biochar for Environmental Management. London: Routledge, 2024: 401–440.
( 0) |
| [20] |
柯跃进, 胡学玉, 易卿, 等. 水稻秸秆生物炭对耕地土壤有机碳及其CO2释放的影响[J]. 环境科学, 2014, 35(1): 93-99 ( 0) |
| [21] |
汤泽辉, 吕铭, 丁诚, 等. 外源有机碳对滩涂盐碱地土壤团聚体形成的影响[J]. 扬州大学学报(农业与生命科学版), 2021, 42(2): 122-128 ( 0) |
| [22] |
王擎运, 陈景, 杨远照, 等. 长期秸秆还田对典型砂姜黑土胀缩特性的影响机制[J]. 农业工程学报, 2019, 35(14): 119-124 ( 0) |
| [23] |
王湛, 李银坤, 徐志刚, 等. 生物质炭对土壤理化性状及氮素转化影响的研究进展[J]. 土壤, 2019, 51(5): 835-842 ( 0) |
| [24] |
高鸣慧. 秸秆和生物炭还田的土壤培肥和增产效果研究[D]. 沈阳: 沈阳农业大学, 2020.
( 0) |
| [25] |
李辉. 不同培肥措施对土壤理化特性及有机碳组分的影响[D]. 呼和浩特: 内蒙古农业大学, 2019.
( 0) |
| [26] |
邢旭光, 赵文刚, 马孝义, 等. 土壤水分特征曲线测定过程中土壤收缩特性研究[J]. 水利学报, 2015, 46(10): 1181-1188 ( 0) |
| [27] |
Hussein J, Adey M A. Changes of structure and tilth mellowing in a Vertisol due to wet/dry cycles in the liquid and vapour phases[J]. European Journal of Soil Science, 1995, 46(3): 357-368 DOI:10.1111/j.1365-2389.1995.tb01332.x ( 0) |
| [28] |
刘畅, 齐伟, 王策, 等. 无机肥施用对农田干湿循环土壤收缩特性的影响[J]. 灌溉排水学报, 2021, 40(11): 44-50 ( 0) |
| [29] |
Braudeau E, Frangi J P, Mohtar R H. Characterizing nonrigid aggregated soil–water medium using its shrinkage curve[J]. Soil Science Society of America Journal, 2004, 68(2): 359-370 ( 0) |
2. Key Laboratory of Soil and Sustainable Agriculture, Chinese Academy of Sciences, Nanjing 211135, China;
3. Department of Environment and Energy Engineering, Anhui Jianzhu University, Hefei 230601, China
2024, Vol. 56



0)