2. 中国农业科学院研究生院, 北京 100081;
3. 河南大学农学院, 河南开封 475004;
4. 河南商丘农田生态系统国家野外科学观测研究站, 河南商丘 476000
温室气体是当前气体排放研究的热点,尤其是N2O和CO2的排放[1-3]。已有研究表明,我国每年有近80% ~ 90% 的N2O和5% ~ 20% 的CO2排放来自农田,约占总温室效应的5% 和60%[4]。农业活动是重要的温室气体排放源,灌水、施肥和耕作措施等都会影响土壤温室气体的排放[5-6]。近年来,我国设施蔬菜迅速发展,播种面积已高达400万hm2(6 000万亩),约占蔬菜总播种面积的17%,成为我国农业生态系统的重要组成部分[7]。与露天蔬菜种植不同,设施菜地“大水大肥”的生产特点,必然会影响土壤的碳、氮循环过程,从而影响土壤N2O和CO2的排放。因此,明确设施菜地N2O、CO2的排放特征具有重要的现实意义。
在土壤N2O排放方面,徐钰等[8]对比了设施菜地单施有机肥、农民习惯施肥和减氮优化施肥3种施肥模式对N2O排放的影响,发现单施有机肥相比农民习惯施肥会显著降低N2O的排放,但同时也会引起产量的显著降低;而减氮优化施肥方式在保证产量的同时,显著降低了N2O的排放,说明适量减氮是降低土壤N2O排放的重要途径。张仲新等[9]也认为,设施菜地常规施肥量减少1/4在维持产量及降低N2O排放方面是合理的。山楠等[10]研究发现,施用工厂化堆肥相比化肥能显著降低52.9% 的设施菠菜地N2O排放量。而颜芳等[11]研究发现,长期单施有机肥较有机无机配施、单施化肥具有更高的N2O排放量。在土壤CO2排放方面,王晓娇等[12]通过Meta分析发现,农田土壤CO2排放量表现为单施有机肥 > 有机无机配施 > 无机肥+有机肥+缓释肥。王春新等[13]发现,鸡粪配施化肥显著提高设施土壤CO2排放速率。任立军等[14]认为,单施有机肥(生物菌肥)显著提高了设施土壤CO2排放量。另有研究表明,水肥耦合在保证作物产量的同时,对降低土壤温室气体排放具有重要作用[15-16]。薛飞[17]研究认为,设施番茄在灌水下限35 kPa、施氮量75 kg/hm2时番茄产量较高而温室气体排放量较低。杜明智等[2]发现,适量减氮及优化亏缺灌溉在保障产量的同时可有效降低温室气体的排放。综上所述,设施菜地肥料添加对土壤温室气体排放影响的研究主要集中在水肥耦合、有机(粪肥)–无机配施、肥料减施、单施有机肥(粪肥)、肥料施用量等方面,而关注粪肥类型及粪肥配施有机物料对土壤温室气体排放影响的研究相对较少。
土壤温室气体排放受土壤结构、温度、酶活性及微生物等的影响[18]。而腐殖酸的生物活性强,能够改良土壤特性,激发土壤中固化养分的释放,调节土壤酶活性及微生物群落结构等[19-21]。基于此,粪肥配施腐殖酸可能会通过调控土壤特性影响土壤及农作物对粪肥矿化碳氮的固定和吸收,从而影响土壤温室气体的排放。但目前有关粪肥配施腐殖酸对土壤温室气体排放的影响未见报道。黄腐酸作为生物活性较高的一类腐殖酸,分子量小,溶解性好,官能团的含量高[22-23],因此,本研究以黄腐酸及常见的几种粪肥(猪粪、鸡粪、羊粪)为研究对象,探究设施蔬菜种植下粪肥配施黄腐酸对土壤温室气体排放的影响,以期为设施菜地温室气体减排、粪肥合理施用提供理论支撑。
1 材料与方法 1.1 试验地概况试验在河南省新乡市红旗区小店镇某生态园内(35° 19' 47″ N,114° 0' 51″ E)进行。该地区属于典型的暖温带大陆性季风气候,年平均气温14 ℃,年平均降水量582 mm。供试设施大棚为普通拱形塑料大棚,长81 m,宽8 m,顶高3 m,棚膜为无色透明膜,大棚两侧设有卷膜器,用来调节棚内温湿度。在试验开始的前3年内,棚内未进行任何农业生产活动,适合进行有机蔬菜种植研究。棚内耕层(0 ~ 20 cm)土壤基本理化性质如下:质地粉质壤土,田间持水率23.80%,容重1.38 g/cm3,有机质21.2 g/kg,pH 8.50,电导率229.00 μS/cm,铵态氮1.19 mg/kg,硝态氮82.45 mg/kg,有效磷26.62 mg/kg,速效钾282.82 mg/kg。
1.2 试验设计第1季试验设置了猪粪处理(P30、P15、P9)、鸡粪处理(C5、C3)和羊粪处理(S11、S6),同时设置了不施肥对照(CK),具体处理、施肥情况及肥料特性见表 1、表 2。每个处理3个重复,共24个小区,每个小区8 m2 (3.2 m×2.5 m),采用随机区组试验设计,相邻小区间设置0.5 m保护行,灌溉水源为生态园内地下水,基本性质如表 3。于2022年12月3日施肥、翻地,12月4日播种,每个小区种植上海青10行,播种方式为沟播,播种量为7.5 kg/hm2。试验用粪肥均作为基肥于整地时施入,上海青于2023年3月7日收获并测产,试验共计94 d。由于突发疫情等原因,期间无灌水及任何农业生产活动,且相关试验指标未监测。第1季试验结束后,重新对土壤主要性质进行了测定(表 4),结果表明,不同处理之间土壤主要性质虽然出现了差异,但未达到显著水平(P > 0.05)。基于此,在保证同一小区粪肥种类不改变的原则下,为了探究不同粪肥配施黄腐酸对土壤温室气体N2O和CO2排放的长期影响,本研究对试验处理进行了适当调整。
|
|
表 1 试验处理及施肥情况 Table 1 Treatments with detailed fertilization information |
|
|
表 2 粪肥基本性质 Table 2 Manure properties |
|
|
表 3 灌溉水水质 Table 3 Water properties |
|
|
表 4 第1季结束时土壤基本性质(0 ~ 20 cm) Table 4 Soil properties at end of first growing season (0–20 cm) |
在第1季试验的基础上,利用第1季的原位测点,设置了新的试验处理,包括猪粪(P)、鸡粪(C)、羊粪(S)、黄腐酸(H)、猪粪+黄腐酸(PH)、鸡粪+黄腐酸(CH)、羊粪+黄腐酸(SH)7个处理,同时设置了不添加粪肥和黄腐酸的对照(CK),具体处理及施肥情况见表 1。粪肥选用与第1季试验一致的猪粪、羊粪和鸡粪3种粪肥,黄腐酸选用新疆双龙腐植酸有限公司生产的“乌金999”矿物源黄腐酸钾,黄腐酸含量≥50%,K2O≥8%,pH为10.08。供试蔬菜同样为上海青。试验于2023年3月31日施肥、翻地,4月1日播种,播种方式及播种量等与第1季试验一致。3种粪肥按纯N 150 kg/hm2[24-25]进行施加,灌水情况参考当地农民灌水习惯,灌溉方式采用畦灌,每个小区每次灌水量一致,分别于2023年4月9日(灌水量2 126 m3/hm2)、4月22日(灌水量1 376 m3/hm2)、5月6日(灌水量1 376 m3/hm2)进行灌溉。试验用粪肥及黄腐酸均作为基肥于整地时施入,其他按有机蔬菜的田间管理方式进行。2023年5月11日收获上海青,试验共计41 d。
1.3 测定指标与方法 1.3.1 土壤N2O、CO2的采集与分析采用密闭式静态箱法采集气体,采样箱由深灰色PVC材料制作而成,包括底座和顶箱两部分。底座长、宽和高分别为45、45和13 cm,底座设有水封槽(宽5 cm、高3 cm)。整个试验期间,底座固定在土壤中,上沿高出土表5 cm,露出水封槽,并保持底座处于水平位置。顶箱(40 cm×40 cm×30 cm)顶部安装了1个数显式温度计,用于读取箱体内温度;侧面有气体采样孔,用于气体采集;内部装有风扇,用来混匀箱体内的气体。采样时,将顶箱套在底座的水封槽内,并加水密封。4月1、3、5、7、10、13、17、21、26日和5月5、10日的上午8:00—11:00采集气体。用60 mL带有三通阀的聚丙烯医用注射器于0、12、24 min采集气体3次,同时记录箱内温度、抽样时间。气体样品带回实验室打入10 mL真空瓶中,使用气相色谱仪(岛津-2010plus)进行测定。
1.3.2 土壤及作物样品的采集与分析气体采集当天,利用直径5 cm的土钻,在每个小区装置附近随机取3个样点钻取耕层0 ~ 20 cm的土壤并混合为1个土壤样品。新鲜土样一部分用于测定土壤含水率,一部分冷藏用于测定土壤NH4+-N和NO3–-N含量;剩余部分进行风干处理,用于测定pH、电导率等基本性质。各项指标的测定参照鲍士旦[26]《土壤农化分析》第三版,其中采用烘干法测定土壤含水率;采用靛酚蓝比色法、紫外分光光度法分别测定土壤NH4+-N、NO3–-N;按土水质量比1∶5制备土壤悬液,采用pH计(ORION STAR A211)和电导率仪(DDB-303A)测定土壤pH和电导率。上海青成熟后,测定各小区的产量。
1.3.3 相关指标计算气体排放通量F:
| $ F = \rho \times H \times {\text{d}}c/{\text{d}}t \times 273/\left( {273 + T} \right) \times P/{P_0} $ | (1) |
式中:F为气体的排放通量,g/(m2·h);ρ为标准状态下N2O或CO2密度,g/cm3;H为静态箱的净高度,m;dc/dt为单位时间内采样箱内气体的浓度变化率,μL/(L·h);273为气态方程常数;T为采样过程中静态箱内的平均温度,℃;P为采样时气压,mm Hg,P0为标准大气压,mm Hg,P≈P0。
气体累积排放量E:
| $ E = \Sigma \left( {{F_{i + 1}} + {F_i}} \right)/2 \times \left( {{t_{i + 1}} - {t_i}} \right) $ | (2) |
式中:E为气体累积排放量,g/m2;F为N2O或CO2的排放速率,g/(m2·h);i为第i次采样,ti+1–ti为第i+1次与第i次采样的间隔时间,h。
N2O和CO2的综合温室效应M:
| $ M = E\left( {{\text{C}}{{\text{O}}_2}} \right) + E\left( {{{\text{N}}_2}{\text{O}}} \right) \times 298 $ | (3) |
式中:E(CO2)为CO2累积排放量,g/m2;E(N2O)为N2O累积排放量,g/m2;298为以N2O排放量的298倍,转化为相对于CO2的排放当量[27]。
1.4 数据处理采用Excel 2019进行数据处理,利用R 4.1.0进行方差分析、Duncan法多重比较及Pearson相关性分析,采用Origin 2022进行绘图。
2 结果与分析 2.1 土壤N2O排放量与CK处理相比,施肥处理(除P30-H处理外)均增加了N2O排放通量(图 1)。施肥后的第1周,除P15-PH处理在4月5日出现较高排放峰(0.025 kg/(hm2·d))外,其余处理N2O排放通量均低于0.02 kg/(hm2·d),P30-H处理降低了N2O排放通量。土壤N2O排放主要集中在施肥后的第2周,处理间差异明显,且伴有高N2O排放峰(4月10日)。粪肥配施黄腐酸增加了土壤N2O排放通量,其中,猪粪、鸡粪配施黄腐酸处理的增加达到显著水平(P < 0.05),N2O排放通量分别为0.061、0.040 kg/(hm2·d)。无论是粪肥还是粪肥配施黄腐酸,土壤N2O排放通量均表现为猪粪 > 鸡粪 > 羊粪。4月14日至收获阶段,各处理N2O排放通量差异不显著(P > 0.05),均在0.008 kg/(hm2·d)上下波动,处于较低排放水平。
|
(柱图上方不同小写字母表示处理间差异在P < 0.05水平显著,下同) 图 1 第2季土壤N2O排放通量和累积排放量 Fig. 1 Emission flux and cumulative emission of N2O from soil during second season |
土壤N2O累积排放量如图 1所示。P30-H处理与CK处理无显著差异(P > 0.05)。单施粪肥条件下,各处理土壤N2O累积排放量差异不显著(P > 0.05);但猪粪和鸡粪配施黄腐酸对土壤N2O累积排放量的增加达到了显著水平(P < 0.05),较单施粪肥处理分别增加36.94% 和20.16%。
2.2 土壤CO2排放量各处理土壤CO2排放通量均随时间波动上升(图 2)。施肥后的第1天(4月1日),各处理土壤CO2排放通量与CK处理相比均有明显增加,猪粪、羊粪配施黄腐酸增加最明显,分别为158.3%、141.1%。截至4月21日,施肥处理(除P15-PH处理外)间CO2排放通量差异较小,CK、P30-H、P15-PH、P9-P、C5-CH、C3-C、S11-SH、S6-S处理CO2平均排放通量依次为40.0、49.1、60.8、48.2、52.8、48.0、54.2、45.6 kg/(hm2·d);4月21日后,各处理CO2排放通量出现明显差异,CK、P30-H、P15-PH、P9-P、C5-CH、C3-C、S11-SH、S6-S处理CO2平均排放通量依次为49.7、53.6、87.3、70.4、83.9、67.4、73.5、65.8 kg/(hm2·d)。综合分析整个蔬菜生育期,单施粪肥条件下土壤CO2排放通量表现为猪粪 > 鸡粪 > 羊粪,粪肥配施黄腐酸同样增加了土壤CO2排放通量。另外,土壤CO2排放通量受灌水的影响较大。第1次(4月9日)和第3次(5月6日)灌水后所有处理CO2排放通量均有明显上升;第2次(4月22日)灌水后,除P30-H和P9-P处理外的其余处理CO2排放通量同样表现为上升趋势。
|
图 2 第2季土壤CO2排放通量和累积排放量 Fig. 2 Emission flux and cumulative emission of CO2 from soil during second season |
与CK处理相比,施肥处理均增加了土壤CO2累积排放量(图 2),但单施黄腐酸、猪粪、鸡粪和羊粪处理均未达到显著水平(P > 0.05)。猪粪、鸡粪和羊粪配施黄腐酸处理较单施粪肥处理分别增加了27.21%、19.45% 和14.89%。
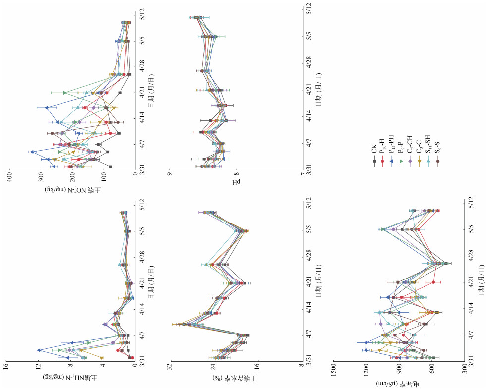
2.3 土壤基本性质动态变化第2季各处理土壤NH4+-N含量变化呈先升后降再维持低水平波动的趋势(图 3)。施肥后第3天(4月3日),各处理NH4+-N含量达峰值,以P15-P31.9H处理最高,显著高于CK处理。添加猪粪处理释放NH4+-N效果优于鸡粪和羊粪处理。施肥后1 ~ 5 d为土壤NH4+-N含量变化高峰期,随后回落至较低水平(0.253 ~ 3.811 mg/kg)。随着蔬菜生长,各处理NH4+-N含量逐渐接近CK处理水平。各处理土壤NO3–-N含量呈波动下降趋势。与CK处理相比,各处理均提升了土壤NO3–-N含量,其中,P15-P31.9H处理土壤NO3–-N含量最高,为327.3 mg/kg;4月21日后,各处理NO3–-N含量呈明显下降趋势。
|
图 3 第2季期间土壤性质动态变化 Fig. 3 Dynamics of soil properties during second season |
在蔬菜生育期内,于4月9日、22日和5月6日进行灌水,各处理土壤含水率均随灌水而增加,并在18.01% ~ 30.84%,其平均含水率介于21.61% ~ 23.24%,各处理间无显著差异。土壤pH变化随时间呈脉冲式波动,除P15-PH处理土壤平均pH较CK处理显著降低0.88% 外,其余各处理与CK处理均无显著差异(P > 0.05)。试验结束时,各处理pH均较CK处理有所增加,P9-P处理增幅最大(0.86%),S11-SH处理增幅最小(0.23%)。受施肥、灌水等因素影响,各处理土壤EC值也呈波动性变化,4月26日达整个试验过程的最低值,其中S11-SH处理最高(592.67 μS/cm),CK处理最低(468.33 μS/cm)。试验结束时,各处理土壤EC值较初始土壤(229.0 μS/cm)均有明显升高,S11-SH处理增幅最大,为241%。
2.4 土壤N2O和CO2排放通量与环境因子的相关性由表 5可知,土壤含水率与土壤N2O、CO2排放通量均呈显著正相关;土壤pH与CO2排放通量呈显著正相关与N2O排放通量呈负相关,但相关性未达到显著水平;土壤电导率与N2O排放通量呈显著正相关;土壤铵态氮与N2O排放通量呈显著正相关;土壤硝态氮与N2O排放通量呈显著正相关,与CO2排放通量呈显著负相关;另外,箱内温度与土壤N2O、CO2排放通量均为正相关,并与CO2排放通量相关性达到显著水平。
|
|
表 5 土壤N2O、CO2排放通量与环境因子的Pearson相关性 Table 5 Pearson correlation coefficients between N2O, CO2 emission flux and environmental factors |
单施粪肥和粪肥配施黄腐酸处理与CK处理相比,均增加了土壤综合温室效应,均表现为猪粪 > 鸡粪 > 羊粪(表 6)。与单施粪肥处理相比,粪肥配施黄腐酸处理增加了土壤综合温室效应。从蔬菜产量上看,施肥均显著增加了蔬菜产量(P < 0.05),猪粪和羊粪处理的增产效果要高于鸡粪处理,其中,羊粪配施黄腐酸处理(S11-SH)产量最高,为27.5 t/hm2。综合考虑温室效应及产量,本研究中羊粪配施黄腐酸处理效果最佳。
|
|
表 6 不同处理N2O与CO2排放综合温室效应及蔬菜产量 Table 6 Global warming potentials of N2O and CO2 emissions and vegetable yields under different treatments |
土壤N2O主要是由土壤微生物的硝化和反硝化作用产生[6],本研究中,土壤N2O排放主要发生在施肥后的第2周,说明该阶段有机肥料的矿化速率加快,增加了有机物向无机物的转化,为土壤硝化和反硝化微生物提供了充足的能量、电子及反应底物,显著增加了土壤N2O的排放[28]。土壤CO2主要由微生物活动及作物根系呼吸作用产生[29]。本研究中,土壤CO2排放主要发生在作物生长中后期,主要是由于作物生长加快了对肥料养分的吸收,增强了根系呼吸作用,促进了土壤CO2的排放。
本研究中,单施猪粪、鸡粪、羊粪处理在土壤N2O、CO2排放通量及累积排放量方面均无显著差异,说明3种粪肥自身矿化的差异较小,另外,粪肥发挥作用需要较长的时间,而本试验的施用时间较短致使其对土壤的影响未体现出差异。但粪肥配施黄腐酸尤其是猪粪和鸡粪配施黄腐酸却增加了土壤N2O、CO2的排放,而羊粪配施黄腐酸增加了土壤CO2的排放,可能是由于黄腐酸的添加刺激了粪肥的矿化,激发了粪肥养分的释放,改善了土壤环境,增加了土壤碳、氮的有效性[19-21]。本研究发现,粪肥在黄腐酸的刺激下,猪粪和鸡粪处理土壤N2O、CO2排放高于羊粪处理,原因可能是猪粪和鸡粪碳氮比(10左右)小[30-31],氮的有效性高,更利于土壤N2O、CO2的排放,而羊粪处理的碳氮比(20左右)大[31],氮的有效性低,仅增加了土壤CO2的排放。另外,黄腐酸添加提高了作物生长及微生物的活性,增强了作物和微生物的呼吸作用,促进了CO2的排放;同时O2的消耗也在加速,刺激了土壤反硝化作用的发生,增加了土壤N2O的排放[32]。
3.2 环境因子对土壤N2O、CO2排放的影响 3.2.1 环境因子对土壤N2O排放的影响本研究中,土壤含水率与N2O排放通量呈显著正相关,原因可能是土壤水分增加,容易产生厌氧环境,有利于反硝化作用的进行,从而增加了土壤N2O的排放[33]。土壤pH与N2O排放通量呈负相关,但相关性未达到显著水平,这与王娟等[34]的研究结果一致。土壤pH主要通过影响土壤酶、微生物活性及土壤有机质的合成分解等,间接影响土壤N2O的排放。已有研究表明,低pH可以抑制N2O还原酶的形成,从而降低土壤N2O的排放[35]。粪肥矿化作用产生铵态氮,铵态氮的硝化作用在产生硝态氮的同时,也会产生H+,对土壤pH有降低作用,从而抑制了土壤N2O的排放[36]。本试验中,土壤电导率与N2O排放通量呈正相关,这与温慧洋等[37]的研究结果一致。王娟等[34]认为,N2O排放与铵态氮呈负相关,与硝态氮呈正相关,但本研究中土壤铵态氮、硝态氮与N2O排放通量均呈正相关,可能是因为土壤硝化及反硝化作用主要表现为协同作用,粪肥的矿化速率大于硝化速率,土壤铵态氮整体是增加的,铵态氮的增加有利于硝化反应的进行,增加了土壤N2O的排放,同时反应产物为硝态氮,为反硝化作用提供了反应底物,也增加了土壤N2O的排放。静态箱内温度可以间接反映土壤温度[38],温度升高,土壤酶、硝化及反硝化微生物的活性增强,土壤呼吸作用加快,易产生厌氧环境,从而促进了N2O的排放。
3.2.2 环境因子对土壤CO2排放的影响本研究发现,土壤含水率与CO2排放通量同样呈显著正相关,这与杜世宇等[15]的研究结果一致。但也有学者指出,过高的土壤含水率会抑制土壤中O2的扩散,抑制作物及微生物的呼吸作用,从而降低CO2的排放[39]。还有学者认为,土壤含水率可能与土壤温度相互协同,共同影响土壤CO2的排放[40],也就是说土壤含水率对CO2排放通量的影响是非线性的且与其他环境因子存在交互作用。本研究还发现,土壤pH(pH > 8)与CO2排放通量呈显著正相关,与何飞飞等[41]的研究(pH < 8)结果一致,但韩昌东等[42]认为土壤pH(6 ~ 8)与CO2排放通量呈负相关,不同的结果可能是源于这3个研究的pH不同,适合生存的微生物群落组成不同,导致其对pH的响应和CO2排放也不同[43]。本试验中,土壤电导率与CO2排放通量呈负相关,这与李会文等[38]的研究一致。土壤盐分不仅会影响土壤酶及微生物活性,还会对土壤物理性状产生影响,高含盐量会降低土壤的导水率、入渗率和孔隙度等,从而降低土壤呼吸作用[44]。另外,土壤铵态氮和硝态氮均与CO2排放通量呈负相关,而刘宏元等[45]认为土壤铵态氮和硝态氮与CO2排放正相关,这可能是因为土壤铵态氮和硝态氮除部分供给作物生长及参与土壤硝化反硝化作用外,还可能供给土壤微生物自身繁殖[46],但并不是所有的过程都产生CO2。静态箱温度同样与CO2排放通量呈正相关,温度升高,加快了土壤微生物活性,促进了CO2的排放。本研究还发现,灌水促进了土壤CO2的排放,这与杜世宇等[15]的结果相同。适当补充水分不反可从促进作物生长,还会增强土壤微生物的活性,加快有机物的分解,从而促进CO2的排放[47]。
需要说明的是,本研究第1季施肥处理与第2季不同,短期的研究结果可能会存在一定不确定性,因此需要多季监测不同粪肥与黄腐酸配施对设施菜地N2O和CO2排放的影响。
4 结论1) 单施粪肥处理之间的土壤N2O和CO2排放差异不显著,但粪肥配施黄腐酸增加了土壤N2O和CO2的排放,且猪粪和鸡粪配施黄腐酸处理增加更显著。
2) 土壤含水率、pH、铵态氮、硝态氮是影响N2O和CO2排放的重要因素。
3) 单施猪粪和羊粪的增产效果要高于鸡粪,且粪肥配施黄腐酸具有增产的趋势,其中,羊粪配施黄腐酸处理产量最高,为27.5 t/hm2。
4) 综合考虑温室效应及产量,本研究认为羊粪配施黄腐酸处理效果最佳。
| [1] |
王学霞, 张磊, 张卫东, 等. 种植年限对京郊设施菜地温室气体排放的影响[J]. 农业环境科学学报, 2021, 40(7): 1601-1610 ( 0) |
| [2] |
杜明智, 王广帅, 刘浩, 等. 设施番茄土壤温室气体排放对水氮管理的响应[J]. 灌溉排水学报, 2022, 41(1): 101-109 ( 0) |
| [3] |
华瑶, 陆玉芳, 高维常, 等. 生物硝化抑制剂对黔西南黄壤硝化作用及N2O排放的影响[J]. 土壤, 2023, 55(3): 512-519 ( 0) |
| [4] |
Plattner, Giankasper. IPCC, 2014: Climate Change 2014: Synthesis Report. Contribution of working groups Ⅰ, Ⅱ and Ⅲ to the fifth assessment report of the intergovernmental panel on climate change[J]. Journal of Romance Studies, 2014, 4(2): 85-88 ( 0) |
| [5] |
马芸芸, 周伟, 何莉莉, 等. 秸秆生物质炭对稻田土壤剖面N2O和N2浓度的影响[J]. 土壤学报, 2021, 58(6): 1540-1551 ( 0) |
| [6] |
曹文超, 宋贺, 王娅静, 等. 农田土壤N2O排放的关键过程及影响因素[J]. 植物营养与肥料学报, 2019, 25(10): 1781-1798 DOI:10.11674/zwyf.18441 ( 0) |
| [7] |
李天来. 设施蔬菜产业发展(一) 我国设施蔬菜产业发展现状及展望[J]. 中国蔬菜, 2023(9): 1-6 ( 0) |
| [8] |
徐钰, 刘兆辉, 魏建林, 等. 北方典型设施菜地土壤N2O排放特征[J]. 山东农业科学, 2016, 48(10): 86–91, 2 ( 0) |
| [9] |
张仲新, 李玉娥, 华珞, 等. 不同施肥量对设施菜地N2O排放通量的影响[J]. 农业工程学报, 2010, 26(5): 269-275 ( 0) |
| [10] |
山楠, 韩圣慧, 刘继培, 等. 不同肥料施用对设施菠菜地NH3挥发和N2O排放的影响[J]. 环境科学, 2018, 39(10): 4705-4716 ( 0) |
| [11] |
颜芳, 刘继培, 王伊琨, 等. 连续多年施肥后设施土壤N2O排放通量特征[J]. 江苏农业学报, 2020, 36(4): 949-954 ( 0) |
| [12] |
王晓娇, 张仁陟, 齐鹏, 等. Meta分析有机肥施用对中国北方农田土壤CO2排放的影响[J]. 农业工程学报, 2019, 35(10): 99-107 ( 0) |
| [13] |
王春新, 于鹏, 张玉玲, 等. 氮肥与有机肥配施对设施土壤呼吸的影响[J]. 土壤通报, 2017, 48(1): 146-154 ( 0) |
| [14] |
任立军, 赵文琪, 李金, 等. 不同施肥模式对设施土壤CO2排放特征及碳平衡的影响[J]. 土壤通报, 2022, 53(4): 874-881 ( 0) |
| [15] |
杜世宇, 薛飞, 吴汉卿, 等. 水氮耦合对设施土壤温室气体排放的影响[J]. 农业环境科学学报, 2019, 38(2): 476-484 ( 0) |
| [16] |
昝鹏, 陈燕萍. 不同水肥耦合水稻温室效应及氮素利用率研究[J]. 节水灌溉, 2018(2): 56-60 ( 0) |
| [17] |
薛飞. 灌水下限、施氮量对设施土壤温室气体排放特征的影响[D]. 沈阳: 沈阳农业大学, 2019.
( 0) |
| [18] |
徐丽, 李成旭, 张军辉, 等. 多年冻土退化地区湿地土壤温室气体排放及其影响因子[J]. 生态学杂志, 2020, 39(5): 1464-1473 ( 0) |
| [19] |
魏世平, 吴萌, 李朋发, 等. 腐殖酸对花生连作地土壤真菌群落结构的影响[J]. 土壤学报, 2023, 60(3): 846-856 ( 0) |
| [20] |
席奇亮, 杨铁钊, 周方, 等. 烟草专用液体肥添加黄腐酸对烤烟西柏三烯二醇代谢水平的影响[J]. 植物营养与肥料学报, 2018, 24(4): 981-991 ( 0) |
| [21] |
范慧娟. 浅议腐植酸肥料在改良土壤及提高肥料利用率中的作用[J]. 中国农业信息, 2014, 26(1): 105 ( 0) |
| [22] |
闫军营, 孙笑梅, 程传凯, 等. 腐殖酸与氮肥配施对豫北潮土冬小麦光合特性的影响[J]. 江苏农业科学, 2020, 48(21): 104-110 ( 0) |
| [23] |
李欢, 杨清夏, 李扬, 等. 减氮及增施腐殖酸对玉米产量和氮肥利用率的影响[J]. 生态学杂志, 2021, 40(5): 1331-1339 ( 0) |
| [24] |
刘沙沙, 李兵, 张古彬, 等. 有机肥替代化肥对豫东地区上海青生长及氮磷利用的影响[J]. 农学学报, 2019, 9(8): 14–18, 47 ( 0) |
| [25] |
中华人民共和国农业农村部. 设施蔬菜施肥量控制技术指南: NY/T 3832—2021[S]. 北京: 中国农业出版社, 2021.
( 0) |
| [26] |
鲍士旦. 土壤农化分析(3版)[M].
中国农业出版社, 北京, 2000
( 0) |
| [27] |
宋博影, 郭艳杰, 王文赞, 等. 生物炭和双氰胺对设施蔬菜土壤温室气体排放的影响[J]. 中国农业科学, 2023, 56(10): 1935-1948 ( 0) |
| [28] |
谢海宽, 李贵春, 徐驰, 等. 不同灌溉方式对设施菜地N2O排放的影响及其年际差异[J]. 农业环境科学学报, 2018, 37(4): 825-832 ( 0) |
| [29] |
Kuzyakov Y. Sources of CO2 efflux from soil and review of partitioning methods[J]. Soil Biology and Biochemistry, 2006, 38(3): 425-448 ( 0) |
| [30] |
张若扬, 郝鲜俊, 韩阳, 等. 不同有机肥对采煤塌陷区土壤氮素矿化动态特征研究[J]. 水土保持学报, 2020, 34(2): 188-194 ( 0) |
| [31] |
沈其荣, 沈振国, 史瑞和. 有机肥氮素的矿化特征及与其化学组成的关系[J]. 南京农业大学学报, 1992, 15(1): 59-64 ( 0) |
| [32] |
李青山, 王德权, 高政绪, 等. 黄腐酸钾对植烟土壤氮素转化及N2O排放的影响[J]. 农业环境科学学报, 2020, 39(5): 1130-1139 ( 0) |
| [33] |
Cao W C, Liu S, Qu Z, et al. Contribution and driving mechanism of N2O emission bursts in a Chinese vegetable greenhouse after manure application and irrigation[J]. Sustainability, 2019, 11(6): 1624 ( 0) |
| [34] |
王娟, 高晶波, 何建平, 等. 生物炭及生物硝化抑制剂添加对黄土区设施菜地土壤温室气体排放的影响[J]. 中国土壤与肥料, 2023(8): 50-58 ( 0) |
| [35] |
Bergaust L, Mao Y J, Bakken L R, et al. Denitrification response patterns during the transition to anoxic respiration and posttranscriptional effects of suboptimal pH on nitrogen oxide reductase in Paracoccus denitrificans[J]. Applied and Environmental Microbiology, 2010, 76(19): 6387-6396 ( 0) |
| [36] |
李雪松, Sajjad Raza, 刘占军, 等. 氮肥及硝化抑制剂配合施用对石灰性土壤二氧化碳释放的影响[J]. 农业环境科学学报, 2017, 36(8): 1658-1663 ( 0) |
| [37] |
温慧洋, 焦燕, 杨铭德, 等. 盐碱土壤N2O排放与amoA和narG功能基因丰度的响应规律[J]. 土壤, 2019, 51(4): 724-731 ( 0) |
| [38] |
李会文, 管瑶, 贺兴宏, 等. 咸淡水组合灌溉模式对棉田土壤CO2日排放特征影响[J]. 灌溉排水学报, 2023, 42(7): 60-67 ( 0) |
| [39] |
张俊丽, 张锦丽, 赵晓进, 等. 不同耕作方式下旱作玉米田土壤CO2排放量及其与土壤水热的关系[J]. 干旱地区农业研究, 2018, 36(4): 88-93 ( 0) |
| [40] |
张丁辰, 蔡典雄, 代快, 等. 旱作农田不同耕作土壤呼吸及其对水热因子的响应[J]. 生态学报, 2013, 33(6): 1916-1925 ( 0) |
| [41] |
何飞飞, 荣湘民, 梁运姗, 等. 生物炭对红壤菜田土理化性质和N2O、CO2排放的影响[J]. 农业环境科学学报, 2013, 32(9): 1893-1900 ( 0) |
| [42] |
韩昌东, 叶旭红, 马玲, 等. 不同灌水下限设施番茄土壤CO2排放特征及其影响因素研究[J]. 灌溉排水学报, 2020, 39(2): 46-55 ( 0) |
| [43] |
李海防, 夏汉平, 熊燕梅, 等. 土壤温室气体产生与排放影响因素研究进展[J]. 生态环境, 2007, 16(6): 1781-1788 ( 0) |
| [44] |
Garcı́a-Gil J C, Plaza C, Soler-Rovira P, et al. Long-term effects of municipal solid waste compost application on soil enzyme activities and microbial biomass[J]. Soil Biology and Biochemistry, 2000, 32(13): 1907-1913 ( 0) |
| [45] |
刘宏元, 周志花, 赵光昕, 等. 黄淮海平原农田土壤温室气体排放对长期施加生物炭的响应[J]. 中国农业科技导报, 2023, 25(7): 178-186 ( 0) |
| [46] |
Chen X F, Liu M, Kuzyakov Y, et al. Incorporation of rice straw carbon into dissolved organic matter and microbial biomass along a 100-year paddy soil chronosequence[J]. Applied Soil Ecology, 2018, 130: 84-90 ( 0) |
| [47] |
陈述悦, 李俊, 陆佩玲, 等. 华北平原麦田土壤呼吸特征[J]. 应用生态学报, 2004, 15(9): 1552-1560 ( 0) |
2. Graduate School of Chinese Academy of Agricultural Sciences, Beijing 100081, China;
3. College of Agriculture, Henan University, Kaifeng, Henan 475004, China;
4. National Research and Observation Station of Shangqiu Agro-ecology System, Shangqiu, Henan 476000, China
2024, Vol. 56



0)