2. 西藏高原森林生态教育部重点实验室, 西藏林芝 860000;
3. 山西农业大学农学院, 山西晋中 030801;
4. 西北农林科技大学资源环境学院, 陕西杨凌 712100;
5. 苏州科技大学环境科学与工程学院, 江苏苏州 215009;
6. 江苏省硒生物工程技术研究中心, 江苏苏州 215123
功能农业从狭义角度即指通过生物营养强化技术或其他生物工程生产具有健康改善功能的农产品[1],通过食用这类农产品可改善身体健康,有效解决“隐性饥饿”问题。在全球范围内,因功能营养缺乏而处于“隐性饥饿”状态的人群比例高达1/3。其中,我国人群对硒(Se)、锌(Zn)、钙(Ca)、铁(Fe)等元素的缺乏更为普遍[1]。Se、Zn、Ca、Fe等功能营养元素是植物生长发育必不可少的成分[2],其在土壤中的丰缺程度往往决定着当地人群的摄入水平,并关系到人体健康状况。Se与克山病及肿瘤的发生率密切相关,施Se可使作物实现增产并提高品质[1]。Zn对人体生长发育有重要作用,Zn肥能促进植物花、果实的生长发育,增强植物抗逆性[3],并有提高作物产量的作用[4]。Ca在维持心脏节律和神经肌肉兴奋方面发挥重要作用[5],施Ca可防止作物多种生理病害,蔬菜、水果缺Ca会导致裂果[6]。Fe元素缺乏会影响造血功能,严重会导致缺Fe性贫血[7];Fe也是叶绿素形成不可或缺的条件,并可增强植株抗病性[6]。
未来功能农产品有望被赋予特定功效,例如对特定疾病具有预防和辅助治疗效果。功能农业目前尚处于第一阶段,主要关注于实现对农产品中一些人体必需营养素的定量提高,特别是Se、Zn等矿物质[8]。现有研究表明,西藏土壤普遍缺Se,从地理上,我国存在一条从东北经黄土高原和四川盆地到西藏的缺Se带,而西藏正是这条缺Se带上Se缺乏最严重的地区[9],从而导致大骨节病多有发生[10]。西藏土壤Zn背景值略高于全国平均水平[11],土壤Ca、Fe含量分布相关数据未见报道。为此,本研究通过采集藏东南地区农田土壤及其作物样本,明确藏东南地区农田土壤Se、Zn、Ca、Fe空间分布特征,探析其可能的影响因子。研究结果将有助于藏东南地区功能农业的布局与发展,助力边境地区的乡村振兴。
1 材料与方法 1.1 研究区概况供试样品均采自西藏自治区藏东南地区的林芝市。藏东南地区属高原气候类型,研究区域日照时数1 563 ~ 2 022 h,最低为波密县,最高为巴宜区。全年降水多发生在6—9月,年平均降水量640.1 ~ 900 mm,最少为工布江达县,最多为波密县。以色季拉山为界,色季拉山以西的米林市、巴宜区及工布江达县气候温暖且比较湿润,年平均气温8.7 ℃,无霜期167 ~ 172 d;色季拉山以东的波密县及察隅县气候温暖湿润,年平均气温在11 ℃以上,无霜期200 ~ 250 d[12]。研究区农作物资源主要有冬小麦、青稞、龙爪稷等。相比内地平原,西藏小麦具有穗大、粒多、千粒重高的特点[13]。青稞则是西藏居民重要的粮食作物,且为全谷物,对人体具营养和食疗价值[14]。察隅龙爪稷是林芝市察隅县特色农作物,具有补中益气、厚肠胃的功效[15]。
1.2 样品采集与测定在藏东南地区林芝市的巴宜区、工布江达县、波密县、米林县级市、察隅县共5个县(区)进行农田土壤及作物样品采集。由于藏东南属典型的高山峡谷区,农用地主要在河谷中平地分布,因此采样点集中在河谷(图 1)。采样点海拔范围1 675 ~ 3 601 m,相对高差达1 926 m (表 1)。于2022年6—7月间采集了共33份农田土壤样品,并在作物收获季节采集青稞、小麦、龙爪稷等共33份作物样品。每块样地均选取一个100 m2的采样单元,在采样单元内用梅花形布点法布设5个点位,采集植物混合样品和表层(0 ~ 20 cm)土壤混合样品,土样用四分法分别保留约1 kg装袋。将土样和植物不同部位样本分别烘干过孔径0.15 mm尼龙筛,测定Se、Zn、Ca、Fe的养分含量。Se采用原子荧光光谱法测定[16],Zn、Ca、Fe采用原子吸收分光光度法测定[17]。
|
图 1 采样点位置 Fig. 1 Sampling sites |
|
|
表 1 采样点基本信息 Table 1 Basic information of sampling point |
土壤Se含量参考谭建安等[18]建议标准进行分级(表 2),土壤Fe、Zn含量根据《土地质量地球化学评价规范》(DZ/T 0295—2016)[19]中养分等级划分标准划分为5个等级(表 3)。
|
|
表 2 Se含量等级划分标准 Table 2 Classification criterion of soil total Se content |
|
|
表 3 Zn和Fe含量等级划分标准 Table 3 Classification criteria of soil total Zn and Fe contents |
采用Arcmap10.8软件制作采样点位置图。采用Excel 2016和Origin 2022软件进行数据整理和图表绘制,采用SPSS 20.0软件进行显著性差异分析及Pearson相关性分析。
2 结果与分析 2.1 农田土壤功能营养含量所采集的土壤样品中,对比土壤功能营养含量划分标准(表 2,表 3),64% 的样点土壤Se含量未达到适量水平(表 4),仅有1处位于波密县倾多镇的农田达到富Se水平;76% 的样点土壤Zn含量处于中等及以上水平,富Zn土壤样点多位于波密县和察隅县;仅有15% 的样点土壤Fe含量达到中等及以上水平,Fe缺乏较为严重,且缺Fe土壤样点多位于巴宜区和察隅县。
|
|
表 4 土壤Se、Zn和Fe含量统计 Table 4 Statistics of soil total Se, Zn and Fe contents in Nyingchi |
张晓平[11]对西藏土壤背景值的调查研究表明,西藏土壤全Se含量平均值约为0.15 mg/kg。本研究所调查的农田土壤Se含量范围为0.00 ~ 0.48 mg/kg (表 5),平均值为0.16 mg/kg,略高于西藏土壤Se含量平均值。不同县(区)间土壤Se含量无显著差异(表 6)。
|
|
表 5 藏东南农田土壤Se、Zn、Ca和Fe含量范围 Table 5 Soil total Se, Zn, Ca and Fe contents in farmlands in southeast Xizang |
|
|
表 6 不同县(区)农田土壤Se、Zn、Ca和Fe含量 Table 6 Soil total Se, Zn, Ca and Fe contents in farmlands in different counties in Nyingchi |
土壤Zn含量范围为37.96 ~ 194.17 mg/kg(表 5)。察隅县农田土壤Zn含量最高(表 6),与我国土壤Zn背景值(74.20 ± 32.78 mg/kg)[20]存在偏差,其余县(区)土壤Zn平均值与我国土壤Zn背景值相近。
所调查农田土壤Ca含量范围在2.41 ~ 7.30 g/kg (表 5),平均值5.28 g/kg。米林市农田土壤Ca含量最高,巴宜区农田土壤Ca含量最低,两者之间存在显著差异,与其他3个县间无显著差异(表 6)。5个县(区)的土壤Ca含量和藏东南农田土壤Ca含量平均值处于我国土壤Ca背景值(0.1 ~ 48 g/kg)[20]中的较低水平。土壤Fe含量范围为10.20 ~ 34.35 g/kg(表 5),平均值为21.93 g/kg,与我国土壤Fe背景值(10.5 ~ 48.4 g/kg) [20]相近。
2.3 主要作物农田土壤功能营养含量藏东南地区青稞栽培农田土壤样品不同采样县(区)间Se、Zn、Ca、Fe含量范围分别为0.09 ~ 0.30 mg/kg、64.27 ~ 94.81 mg/kg、4.05 ~ 5.68 g/kg和17.79 ~ 26.05 g/kg,均不存在显著差异(表 7)。藏东南地区小麦栽培农田土壤Se含量范围为0.12 ~ 0.22 mg/kg,5个采样县(区)间无显著差异;Zn含量范围为52.72 ~ 122.24 mg/kg,察隅县和波密县的小麦栽培农田土壤Zn含量显著高于米林市和巴宜区;Ca含量范围为3.81 ~ 6.48 g/kg,工布江达县小麦栽培土壤Ca含量最高,与巴宜区和察隅县差异显著;Fe含量为15.41 ~ 28.18 g/kg,工布江达县和米林市显著高于巴宜区,其他县(区)不存在显著差异(表 8)。相同区域小麦栽培土壤Se、Zn、Ca、Fe含量整体略高于青稞栽培土壤(图 2),小麦籽粒Se、Zn含量整体高于青稞籽粒(图 3)。土壤元素含量的高低与作物籽粒含量的分布不完全一致。
|
|
表 7 不同县(区)青稞样地土壤Se、Zn、Ca和Fe含量 Table 7 Soil total Se, Zn, Ca and Fe contents in highland barley fields in different counties of Nyingchi |
|
|
表 8 不同县(区)小麦样地土壤Se、Zn、Ca和Fe含量 Table 8 Soil total Se, Zn, Ca and Fe contents in wheat fields in different counties of Nyingchi |
|
图 2 相同区域栽培青稞、小麦土壤Se、Zn、Ca和Fe含量比较 Fig. 2 Soil total Se, Zn, Ca and Fe contents in highland barley fields and wheat fields at same site |
|
图 3 相同区域栽培青稞、小麦籽粒Se、Zn、Ca和Fe含量比较 Fig. 3 Total Se, Zn, Ca and Fe contents in highland barley and wheat grains at same site |
海拔2 500 m以下的农田土壤Se含量显著高于海拔3 500 m以上土壤,与海拔2 500 ~ 3 500 m的农田土壤间无显著差异;海拔2 000 m以下农田土壤Zn含量与海拔2 500 ~ 3 000 m及3 500 m以上土壤之间存在显著差异;海拔2 000 ~ 3 500 m范围内农田土壤Ca含量与海拔高于3 500 m的农田土壤存在显著差异,与海拔低于2 000 m的农田土壤差异不显著;海拔为2 500 ~ 3 000 m的农田土壤Fe含量与海拔2 000 ~ 2 500 m和3 000 ~ 3 500 m农田土壤之间差异不显著,与海拔低于2 000 m和高于3 500 m的农田土壤Fe含量差异显著(图 4)。Se、Zn、Ca、Fe含量整体上表现为随海拔的升高而降低的总趋势。
|
(图中小写字母不同表示不同海拔间差异显著(P < 0.05)) 图 4 不同海拔土壤Se、Zn、Ca、Fe含量分布 Fig. 4 Total Se, Zn, Ca and Fe contents in soils at different altitudinal gradients |
Se在作物体内主要分布于根和茎,总体表现为根 > 叶 > 籽粒 > 茎(图 5);Zn相较于其他3种元素在籽粒中的富集更为明显,Zn在根中的富集量最高,总体表现为根 > 籽粒 > 叶 > 茎;Ca在作物体内更多分布在叶片部分,总体表现为叶 > 根 > 籽粒 > 茎;Fe在根部的富集量明显多于其他部位,总体表现为根 > 叶 > 籽粒 > 茎。
|
图 5 Se、Zn、Ca、Fe在作物体内的分布 Fig. 5 Total Se, Zn, Ca and Fe contents in different crop organs |
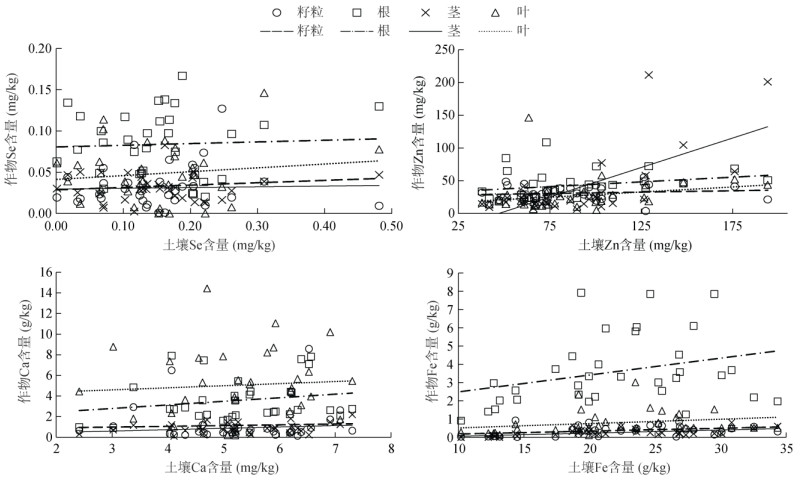
相关性分析结果显示,土壤Se、Zn、Ca、Fe含量与作物不同部位含量均为正相关(图 6)。土壤Se、Zn、Ca含量与作物籽粒对应含量间相关性未达到显著水平,土壤Fe含量与作物籽粒Fe含量显著正相关(P < 0.05,R2=0.144);土壤Se、Zn、Ca、Fe含量与栽培作物叶片及根部对应元素含量间均无显著相关性。土壤Se、Ca含量与栽培作物茎秆对应含量无显著相关性;土壤Zn含量与茎秆Zn含量呈极显著正相关(P < 0.01,R2=0.464);土壤Fe含量与茎Fe含量呈极显著正相关(P < 0.01,R2=0.35)。
|
图 6 作物不同部位与其栽培土壤Se、Zn、Ca、Fe含量的关系 Fig. 6 Relationships between contents of total Se, Zn, Ca and Fe in different organs of crops and farmland soil |
本研究调查范围内,64% 的样点土壤Se含量低于适量标准,仅在波密县倾多镇发现一处富Se土壤,这一结果与前人发现西藏东南低Se区域存在少量全Se含量较高的土壤[21],且富Se土壤区主要在雅鲁藏布江以南的结果[12]一致。这种分布差异可能与欧亚、印度板块相撞后使得雅鲁藏布江两岸成土母质不同有关[22],且雅鲁藏布江两岸环境Se的分布与大骨节病区分布吻合[10]。色季拉山以东县(区)土壤Se含量高于色季拉山以西县(区),符合土壤Se含量由东向西减少的趋势。藏东南地区农田45% 的土壤达到富Zn水平,其中64% 位于色季拉山以东南的波密县和察隅县,该区域样点中分别有83% 和75% 达到Zn丰富水平,同Se呈现一致的变化趋势。但本研究测试的均为全量元素,土壤全Zn含量与作物籽粒Zn含量间无显著相关关系,作物果实Zn含量主要与土壤有效Zn含量相关[23],且有研究表明土壤有效Zn含量与青稞籽粒Zn含量呈极显著正相关[24]。藏东南地区农田土壤Fe缺乏情况较为严重,巴宜区农田土壤均属于Fe缺乏土壤,察隅县农田土壤有88% 为Fe缺乏。
微量元素的有效态含量与土壤有机质含量呈正相关,有机质中有机酸和氨基酸可降低土壤pH,促进Fe还原,从而增加其有效性[25]。有机质分解过程可增加土壤微生物多样性,从而促进微生物对Zn的活化[26];缺磷也是导致Zn活化系数低的重要原因,适当施用磷肥也可增加Zn的生物有效性[27]。因此,可通过土壤培肥增加土壤中有机质含量,从而改善微量养分的有效性。研究区域Se、Fe普遍不丰富,施肥时可采用土壤施用和叶面喷施结合的方式对缺乏元素适当进行补充,并增加有机肥的施用比例[28]。但土壤有机质和微量元素的管理应分类,测土配方施肥,土壤全量Se、Zn、Ca、Fe较丰富的土壤,需进一步研究其有效成分的含量,也可通过适当增加有机肥施用比例的方式增加其有效性。
土壤Ca含量随海拔升高先增后减,与前人研究结果一致[29]。土壤Ca含量最大值分布在2 000 ~ 2 500 m海拔高度,土壤Fe含量最大值分布于2 500 ~ 3 000 m,4种元素含量最低值均分布在海拔高于3 500 m的梯度。海拔2 500 m以下的农田土壤Se含量显著高于海拔3 000 m以上的农田土壤,与海拔2 500 ~ 3 500 m的农田土壤无显著差异,4种功能营养元素的含量均表现出与海拔高度呈负相关的趋势(图 4)。该结论与前人发现西藏土壤Se含量的分布与由东向西地势的变化有关的结论相符,且随地势的升高呈现垂直变化规律,其本质是土壤类型垂直带谱的变化[21]。例如察隅地区的土壤垂直带谱中,土壤Se含量随海拔未呈现出规律变化,但该垂直带谱中黄壤、黄棕壤、棕壤、暗棕壤和亚高山草甸间土壤Se含量因土壤类型的不同表现出差异。土壤矿物质成分含量与土壤类型关系密切,而本研究中海拔梯度的划分未结合土壤类型,无法与Tan等[9]调查结果进行比较。但依据察隅地区垂直带谱上土壤Se含量情况,藏东南地区不同海拔土壤Se含量与察隅地区垂直带土壤Se含量呈现一致性,均表现为土壤Se含量随海拔升高整体呈下降趋势,但各海拔梯度土壤Se含量不随海拔高度呈现有规律的变化。
本研究结果表明,Se在作物体内主要分布于根和茎秆部位,总体表现为根 > 叶 > 籽粒 > 茎,这与张化[30]对春小麦的研究结果一致。Zn在作物体内分布总体表现为根 > 籽粒 > 叶 > 茎,与吴永尧等[31]对莼菜体内Zn的研究结果虽然存在差异,但相同之处在于都表明作物茎中的Zn富集量最少。此外,本研究和张化等[30]对未施Zn肥处理小麦体内Zn元素分布的结果相同,但该研究中未测定小麦根系中Zn含量,因此无法对根部Zn含量进行比较。Ca在作物体内分布为叶 > 根 > 籽粒 > 茎,与番茄植株中Ca分布[32]的结果不一致,但与该研究结果中叶片Ca富集量最多的结果一致。Fe在作物体内多富集于根部,总体表现为根 > 叶片 > 籽粒 > 茎,与不施肥条件下水稻成熟期各器官中Fe分配情况[33]存在较大差异。该差异可能是由于本研究的样本量相对较少。但相较于前人对西藏种植作物的研究,本研究采集了作物多个部位加以分析,整体上对功能营养元素在作物体内的分布情况有了一定了解。同时,这也说明了不同作物对同一元素的富集能力具有差异,且作物不同部位对同一元素的富集能力不同。
相同区域内小麦栽培土壤Se、Zn、Ca、Fe的含量整体表现为略高于同一区域内青稞栽培土壤。相同区域内种植的青稞和小麦植株体内分别富集的Se、Zn、Ca和Fe含量无明显差异,但部分青稞栽培土壤Ca、Fe含量低于小麦栽培土壤,且这部分青稞籽粒中元素富集量明显高于同区域内栽培小麦籽粒中Ca、Fe含量。依据同为葫芦科的苦瓜对Se的富集能力大于丝瓜[34],推测同为禾本科的青稞相较于小麦可能对Ca、Fe两种元素具有更强的富集能力。
3.2 作物与土壤Se、Zn、Ca、Fe含量相关性本研究结果表明,土壤Se含量与作物籽粒Se含量没有显著相关性,这与曲航等[22]和李爽等[24]的调查结果不一致,与李明伟等[35]对恩施茶园土壤Se的研究结果一致,这可能是由于本研究区内土壤有效态Se含量与全Se含量分布不一致,但本研究未测定土壤有效Se含量,需开展进一步调查。土壤全Zn含量与作物籽粒Zn含量无显著相关性,这与前人调查结果[36]相符,后续应进行土壤有效Zn含量的测定,以便更准确地评价土壤Zn含量与作物籽粒Zn含量的关系。陈向阳等[37]的研究表明,喷施Fe肥可显著提高谷子茎秆中Fe含量,且随喷施浓度增加而上升。本研究结果也发现,土壤Fe含量与作物茎秆Fe含量呈极显著正相关,说明土壤中的Fe和外源施用Fe肥均可增加作物中Fe含量。对作物和土壤营养元素相关性的讨论可为改良土壤、提高元素有效态含量及合理施肥提供依据。
4 结论藏东南农田土壤Zn含量总体较高,Se含量处于边缘水平,Fe含量则较为缺乏。土壤Se和Zn的分布以色季拉山为界东多西少,Ca、Fe则无明显分布特征,但均表现为随海拔升高而减少的趋势。作物籽粒中Fe含量与土壤中Fe含量显著正相关,籽粒其余元素与土壤中对应元素无显著相关性;茎秆Zn、Fe含量与土壤中对应元素含量极显著正相关。今后,可充分利用藏东南地区Zn丰富土壤进行农副产品开发,同时还可适当利用Se、Fe功能肥料,补充土壤缺乏养分,助力地方功能农业发展。
| [1] |
赵其国, 尹雪斌. 功能农业[M].
科学出版社, 北京, 2016
( 0) |
| [2] |
刘瑜, 郭宁, 赵凯丽, 等. 喷施氨基酸螯合钙对结球生菜产量、品质和养分吸收的影响[J]. 中国土壤与肥料, 2022(9): 123-126 ( 0) |
| [3] |
索炎炎, 张翔, 司贤宗, 等. 不同施锌方式下外源磷对花生根系形态、叶绿素含量及产量的影响[J]. 中国油料作物学报, 2021, 43(4): 664-672 ( 0) |
| [4] |
昝亚玲, 王朝辉, 毛晖, 等. 施用硒、锌、铁对玉米和大豆产量与营养品质的影响[J]. 植物营养与肥料学报, 2010, 16(1): 252-256 ( 0) |
| [5] |
Prakriya M. Calcium and cell function[J]. The Journal of Physiology, 2020, 598(9): 1647-1648 DOI:10.1113/JP279541 ( 0) |
| [6] |
谭迪, 李金雷, 王三红. 喷施不同钙肥对桃生长发育和果实品质的影响[J]. 安徽农业科学, 2021, 49(7): 160-166 ( 0) |
| [7] |
陈开玉. 营养性铁缺乏症的调查分析[J]. 中国预防医学杂志, 2010, 11(6): 619-620 ( 0) |
| [8] |
赵桂慎, 郭岩彬. 中国功能农业发展与政策研究[M].
科学出版社, 北京, 2018
( 0) |
| [9] |
Tan J A, Zhu W Y, Wang W Y, et al. Selenium in soil and endemic diseases in China[J]. The Science of the Total Environment, 2002, 284(1/2/3): 227-235 ( 0) |
| [10] |
郭亚南, 李海蓉, 杨林生, 等. 雅鲁藏布江两岸环境硒分布特征及与大骨节病发病的关系[J]. 中华地方病学杂志, 2017, 36(7): 494-497 ( 0) |
| [11] |
张晓平. 西藏土壤环境背景值的研究[J]. 地理科学, 1994, 14(1): 49-55, 100 ( 0) |
| [12] |
西藏林芝地区气象台, 林芝地区科学技术委员会. 西藏林芝地区农业气候资源分析及区划[M].
气象出版社, 北京, 1993
( 0) |
| [13] |
杜军, 胡军, 张勇. 西藏农业气候资源区划[M].
气象出版社, 北京, 2007
( 0) |
| [14] |
夏虎, 晏熙玥, 卢利聃, 等. 青稞的营养功能及其高值化利用研究进展[J]. 食品工业科技, 2022, 43(20): 403-413 ( 0) |
| [15] |
卓玛, 雷坤, 禄亚洲, 等. 外源水杨酸对龙爪稷种子萌发、幼苗生长及抗旱性的影响[J]. 江苏农业科学, 2020, 48(20): 101-105 ( 0) |
| [16] |
中华人民共和国国土资源部. 区域地球化学样品分析方法: DZ/T 0279—2016[S]. 北京: 中国标准出版社, 2016.
( 0) |
| [17] |
中国土壤学会农业化学专业委员会. 土壤农业化学常规分析方法[M].
科学出版社, 北京, 1983
( 0) |
| [18] |
谭见安. 生命元素硒的地域分异与健康[J]. 中国地方病学杂志, 1996, 15(2): 67 ( 0) |
| [19] |
中华人民共和国国土资源部. 土地质量地球化学评价规范: DZ/T 0295—2016[S]. 北京: 中国标准出版社, 2016.
( 0) |
| [20] |
魏复盛, 陈静生, 吴燕玉, 等. 中国土壤环境背景值研究[J]. 环境科学, 1991, 12(4): 12-19, 94 ( 0) |
| [21] |
张晓平, 张玉霞. 西藏土壤中硒的含量及分布[J]. 土壤学报, 2000, 37(4): 558-562 ( 0) |
| [22] |
曲航, 尼玛扎西, 韦泽秀, 等. 西藏青稞产区土壤和籽粒硒含量调查研究[J]. 麦类作物学报, 2020, 40(7): 890-896 ( 0) |
| [23] |
唐梦珊, 吕志远, 赵晓涵, 等. 喷锌对黄土高原小麦籽粒营养品质及锌分布的影响[J]. 农业环境科学学报, 2023, 42(1): 27-36 ( 0) |
| [24] |
李爽, 时学双, 次旦卓嘎, 等. 西藏日喀则地区青稞籽粒与栽培土壤中锌和硒含量特征[J]. 土壤通报, 2023, 54(3): 645-653 ( 0) |
| [25] |
褚宏欣, 党海燕, 王涛, 等. 我国主要麦区土壤有效铁锰铜锌丰缺状况评价及影响因素[J]. 土壤学报, 2024, 61(1): 129-139 ( 0) |
| [26] |
谭军, 刘晓颖, 李强, 等. 文山植烟土壤有效锌含量及其影响因素研究[J]. 土壤, 2017, 49(4): 719-724 ( 0) |
| [27] |
刘彦伶, 李渝, 蒋太明, 等. 长期施用磷肥和有机肥对黄壤稻田锌形态转化的影响[J]. 土壤学报, 2023, 60(1): 258-268 ( 0) |
| [28] |
徐兴阳, 邱学礼, 杨树明, 等. 昆明烟区植烟土壤pH与中微量元素时空变异性研究[J]. 土壤, 2023, 55(4): 887-893 ( 0) |
| [29] |
石春茂. 喀斯特干热河谷区土壤钙分布特征及其影响因素[D]. 贵阳: 贵州师范大学, 2022.
( 0) |
| [30] |
张化. 锌、硒及其互作对春小麦产量、养分吸收和锌、硒富集的影响[D]. 呼和浩特: 内蒙古农业大学, 2005.
( 0) |
| [31] |
吴永尧, 周毅峰, 周大寨. 莼菜中锌分布研究[J]. 湖北民族学院学报(自然科学版), 2001, 19(4): 1-3 ( 0) |
| [32] |
李卫民. 番茄植株中钙分布与脐腐病[J]. 天津农业科学, 1994(4): 33-34 ( 0) |
| [33] |
付力成, 王人民, 孟杰, 等. 叶面锌、铁配施对水稻产量、品质及锌铁分布的影响及其品种差异[J]. 中国农业科学, 2010, 43(24): 5009-5018 ( 0) |
| [34] |
吴丁, 方克明, 沈慧芳, 等. 江西乐平不同蔬菜硒富集能力的比较研究[J]. 江西农业学报, 2012, 24(7): 23-24 ( 0) |
| [35] |
李明伟, 黄飞跃, 胡蔚红. 恩施茶园土壤硒含量及与茶叶吸收量的相关关系[J]. 湖北农业科学, 2010, 49(4): 832-834 ( 0) |
| [36] |
鲍大忠, 游桂芝, 袁盛博. 贵州兴仁市耕地土壤有效态与对应全量、pH、有机质的相关分析[J]. 贵州地质, 2020, 37(3): 404-408 ( 0) |
| [37] |
陈向阳, 夏杜菲, 李香宇, 等. 喷施铁肥对谷子不同器官铁元素分配的影响[J]. 山西农业科学, 2022, 50(8): 1124-1130 ( 0) |
2. Key Laboratory of Forest Ecology in Tibet Plateau (Xizang Agricultural and Animal Husbandry University), Ministry of Education, Nyingchi, Xizang 860000, China;
3. College of Agriculture, Shanxi Agricultural University, Jinzhong, Shanxi 030801, China;
4. College of Resources and Environment, Northwest A & F University, Yangling, Shaanxi 712100, China;
5. College of Environmental Science and Engineering, Suzhou University of Science and Technology, Suzhou, Jiangsu 215009, China;
6. Jiangsu Province Selenium Bioengineering Technology Research Center, Suzhou, Jiangsu 215123, China
2024, Vol. 56



0)