2. 中国科学院大学南京学院, 南京 211135;
3. 鲁东大学化学与材料科学学院, 山东烟台 264025
雷竹(Phyllostachys praecox),别名雷公竹、早竹等,其出笋早、出笋期长、味道鲜美、产量高、效益大,是一种广泛种植于我国南方地区的经济作物[1]。自20世纪90年代以来,浙江省临安市等地率先将以冬季地表覆盖酿热增温和大量施肥为核心的集约经营技术应用于雷竹林生产且取得了较高的经济收益[1-2]。然而随着种植年限的增加,雷竹林退化问题日益严重,主要表现为母竹高位枯死、竹林年龄结构不合理、竹鞭上浮、竹笋产量下降等[3]。相关研究表明,雷竹林退化与土壤酸化问题密切相关,长期集约化种植可导致土壤酸化加剧,并显著促进土壤中活性铝的溶出[4]。土壤中的活性铝可通过破坏植物根尖结构抑制根系的伸长和影响根系吸收功能,或通过抑制有丝分裂、DNA合成以及ATP合成酶活性等危害植物生长并降低作物产量[5]。因此,雷竹林土壤酸化导致的铝毒可能抑制雷竹生长,是阻碍雷竹林持续丰产高效的重要原因之一。
雷竹生长速度快,养分需求量大,且竹材竹笋收获后会带走大量养分[6],因而种植过程中往往采用外源施肥的措施补充养分。然而,徐祖祥等[7]研究发现,不考虑有机肥的情况下,集约化雷竹林的施肥量可达2.25 t/hm2,远超一般农作物,存在盲目施肥、肥料利用率低等问题,加剧了土壤酸化[8-9]。已有研究表明,在自然生态系统中,植物生长所需氮素主要来源于有机氮的矿化,即使在大量施肥的情况下,植物中累积的氮素仍有50% 左右来自于土壤[10]。氮是植物维持自身生长所必需的养分元素和重要的限制因子,有机氮是土壤氮素的主要存在形式,土壤中大部分有机氮只有在土壤动物和微生物的作用下矿化为无机态氮(NH4+-N、NO3–-N)才能被植物直接吸收和利用[11]。土壤有机氮矿化在很大程度上决定了土壤的供氮能力[12]。因此,了解土壤酸化背景下雷竹林土壤有机氮矿化进程不仅能够增强对雷竹林土壤养分转化的了解,对雷竹林合理施肥也具有重要意义。
我国南方红壤多为典型的酸化土壤,富含铁铝氧化物及其水合物[13],其中无定形铁铝氧化物因巨大比表面积和大量表面电荷[14]显著影响着土壤团聚体稳定性[15-17]以及有机质转化[18-19],其必然也会对土壤有机氮矿化产生一定的影响。然而,目前关于无定形铝氧化物在养分转化方面的研究相对较少,尤其在土壤酸化加剧条件下,无定形铝氧化物如何影响土壤养分循环尚不清楚。因此,本研究通过室内培养试验,向土壤中添加不同量的无定形铝氧化物模拟酸化条件下铝的活化对有机氮矿化的影响,以期探明土壤酸化对集约经营下雷竹林土壤有机氮矿化的综合影响,从而为雷竹林可持续发展提供理论依据和实践参考。
1 材料与方法 1.1 供试土壤供试土壤采自浙江省临安市太湖源镇光辉村(30°17′17″ N,119°32′44″ E)。该地属中纬度北亚热带季风气候,年均降水量为1 460 mm,年均温为15.8 ℃,年均日照时数为1 939 h,无霜期为234 d。当地属低山丘陵地貌,土壤为粉砂岩高度发育的淹育型水稻土,土壤质地为中壤–重壤。
当地雷竹林通常于雷竹栽植5 a后的12月开始进行覆盖,一般先在地表覆盖10 ~ 15 cm稻草,再覆盖10 ~ 15 cm砻糠,稻草用量约为40 t/hm2,砻糠用量约为55 t/hm2。次年3、4月揭去未腐烂的砻糠。成林前期(通常为1 ~ 5 a)施肥量相对较少,5 a以后,施肥量显著增加,年施肥量为无机复合肥(N–P–K= 16–16–16)2.25 t/hm2和尿素(含N 460 g/kg) 1.125 t/hm2。施肥采用撒施后深翻入土的方式分3次等量施入,分别于5月中旬、9月中旬和覆盖前一周左右进行。
本研究选取同一经营户家相邻、背景相近、种植年限分别为0(未种雷竹的水稻田土壤作为对照)、4(未覆盖)、18(每覆盖2 a,停盖1 a,共覆盖8 a,采样当年未覆盖)a的雷竹林土壤作为供试土壤,以确保土壤地理位置、地形、原始理化性质、经营模式基本相近。样品采集时每个种植年限雷竹林选10 m × 10 m的3块样地,每块样地选3个点,先去除土壤表层的枯枝落叶与覆盖物,用土钻取0 ~ 20 cm表层土样,最后将3个样点土样充分混合均匀为1个土样。采回的土壤样品经风干、研磨、过2 mm筛后备用。
1.2 室内培养试验 1.2.1 无定形铝水合氧化物的制备在搅拌条件下,向0.3 mol/L AlCl3溶液中缓慢滴加1.0 mol/L NaOH溶液,直至溶液pH稳定为7.0;在25℃下静置48 h后,离心分离沉淀物;然后用去离子水清洗3次,再用酒精洗涤直至电导率达到恒定值;最后将样品在25 ℃下风干、磨碎、过100目筛备用。
1.2.2 有机氮矿化试验将玻璃棉与石英砂进行酸处理使其不含氮后,采用间歇淋洗好氧培养法[20]进行试验。过程是:在50 mL的塑料注射器底部铺一层玻璃棉,装入15 g石英砂,再铺一层玻璃棉,将15 g风干土分别与0、0.03、0.075、0.15、0.3 g无定形铝氧化物混匀(相当于每千克土样加入样品0、2、5、10、20 g,分别以Al_0、Al_2、Al_5、Al_10、Al_20表示),后与20 g石英砂混合装入注射器中,再在其上铺一层玻璃棉与15 g石英砂,以防淋洗时冲溅土样;调节土样含水量至田间持水量的60 %,采用保鲜膜封口并在膜上扎几个小孔,防止样品中水分大量散失以及确保空气流通;随后将注射器置于35 ℃培养箱中恒温培养,培养期间用称重法定期补水。分别于培养第0、7、14、21、28、42、56天时用100 mL 0.01 mol/L的CaCl2溶液分4次淋洗土样,收集淋洗液,再用20 mL无氮营养液(0.002 mol/L CaSO4·2H2O,0.002 mol/L MgSO4,0.005 mol/L Ca(H2PO4)2·H2O,0.0025 mol/L K2SO4)淋洗。淋洗结束后在8 kPa负压下抽去多余水分,继续恒温培养。收集的淋洗液经过滤定容后,测定其中的铵态氮(NH4+-N)和硝态氮(NO3--N)含量。
1.3 样品分析X射线衍射分析:取20 mg过250目筛的无定形铝氧化物样品放在载玻片上,滴一滴丙酮,使用Shimadzu-XRD-6000衍射仪连续记谱扫描,扫描条件为:CuKα射线(λ=1.5418 Å),管压40 KV,管电流30 mA,扫描范围10 °~80 °,扫描速度10 °/min,步长0.02 °。
扫描电镜分析:采用Hitachi S-4800(扫描电镜SEM)对合成样品进行了分析。
比表面及孔径大小分析:无定形铝氧化物比表面积采用液氮温度下的氮吸附测定,仪器为Micromeritics ASAP-2020型比表面与孔径分析仪。比表面积的计算采用BET方法,孔体积计算采用t-Plot(Harkins-Jura)方法,孔径分布特征可由孔体积与孔径的微分分布(dV/dlog(w)-w)表示。
土壤pH用酸度计法测定(m土∶V液=1∶2.5);有机质用高温外热重铬酸钾氧化–容量法测定;全氮用凯氏法测定;NH4+-N用靛酚蓝比色法测定[21];NO3–-N用双波长紫外分光光度法测定[22]。土壤中铝的含量与形态采用改良后的Tessier连续浸提法[23]浸提,ICP-AES法测定。
1.4 数据处理本研究对土壤有机氮矿化参数,即累积氮矿化量、净矿化速率及矿化抑制率进行了计算,计算公式如下:
| $ \text { 累积氮矿化量 }=\left(\mathrm{NH}_4^{+}-\mathrm{N}+\mathrm{NO}_3^{-}-\mathrm{N}\right)_t $ | (1) |
| $ \begin{aligned} & \quad\quad \text { 净矿化速率 }=\left(\left[\mathrm{NH}_4^{+}-\mathrm{N}+\mathrm{NO}_3^{-}-\mathrm{N}\right]_{\mathrm{i}+t}-\left[\mathrm{NH}_4^{+}-\right.\right. \\ & \left.\left.\mathrm{N}+\mathrm{NO}_3^{-}-\mathrm{N}_{\mathrm{i}}\right]\right) / t \end{aligned}$ | (2) |
| $ \text { 矿化抑制率 }=\frac{\left[\mathrm{NH}_4^{+}-\mathrm{N}+\mathrm{NO}_3^{-}-\mathrm{N}\right]_{\mathrm{a}}-\left[\mathrm{NH}_4^{+}-\mathrm{N}+\mathrm{NO}_3^{-}-\mathrm{N}\right]_{\mathrm{b}}}{\left[\mathrm{NH}_4^{+}-\mathrm{N}^{+}+\mathrm{NO}_3^{-}-\mathrm{N}\right]_{\mathrm{a}}} \times 100 \% $ | (3) |
式中:[NH4+-N+NO3–-N]i表示培养前土壤累积氮矿化量(mg/kg);[NH4+-N+NO3–-N]i+t表示培养t时间后土壤累积氮矿化量(mg/kg);t表示培养时间(d);[NH4+-N+NO3–-N]a为未加无定形铝氧化物处理土壤培养后累积氮矿化量(mg/kg);[NH4+-N+NO3–-N]b为添加无定形铝氧化物处理土壤培养后累积氮矿化量(mg/kg)。累积氮矿化量、有机氮净矿化速率的单位分别为mg/kg和mg/(kg·d)。
数据采用Excel 2016计算,SPSS 20.0软件进行统计分析,单因素方差分析(one-way ANOVA) 对不同处理间的差异进行显著性检验,Origin 8.6作图。
2 结果与分析 2.1 无定形铝氧化物的基本性质图 1 A为供试无定形铝氧化物的扫描电镜(SEM)全貌,照片显示,本试验合成了大量粒径约为20 ~ 40 μm的无定形铝氧化物。高倍放大的SEM照片(图 1 B)显示,样品呈层状结构,表面粗糙多孔,具有较大的比表面。从样品的X射线衍射图谱(图 1 C)可以看出,样品无清晰的X射线衍射峰,且强度计数较小,为无定形态。图 1 D为氮气吸脱附等温曲线,该曲线对应于IV型等温线。在较低的相对压力范围内(< 0.6 P/P0),等温线呈线性吸附,然而在较高的相对压力范围内(0.6 ~ 0.9 P/P0),等温线出现滞后现象,表明氮气在孔道结构中凝聚吸附。图中(dV/dlog(w)-w)唯一的单峰说明样品的孔径是均一的,因此,可推断本试验合成的无定形铝氧化物存在较多均一的孔隙结构。经测定,本研究最终合成样品的BET表面积为152.9 m2/g。
|
(A:样品的整体形貌图;B:典型的单个微粒形貌图;C:样品的X射线衍射图;D:样品的N2吸脱附曲线和相应的BJH孔径分布曲线) 图 1 无定形铝水合氧化物的表征 Fig. 1 Morphological characterization of amorphous Al hydroxide |
供试土壤的基本性质如表 1所示。由表 1可见,水稻田改种雷竹后,土壤有机质含量显著下降,土壤pH由对照水稻田的6.54显著下降至种植雷竹18 a后的4.43。改种雷竹4 a后,土壤铵态氮和硝态氮含量显著增加了0.47倍和2.86倍;改种雷竹18 a后,土壤铵态氮含量虽相较于改种4 a雷竹林土壤无显著性差异,但硝态氮含量显著下降。如表 2所示,随种植年限增加,雷竹林土壤中各种活性铝含量显著增加,尤其无定形态铝含量增加最为显著,改种雷竹18 a土壤中的无定形态铝含量为818.3 mg/kg,分别为种植雷竹0 a和4 a的5.39倍和1.84倍。
|
|
表 1 不同种植年限雷竹林土壤基本性质 Table 1 Soil basic properties under different planting years of bamboo |
|
|
表 2 不同种植年限雷竹林土壤铝的形态 Table 2 Various Al forms in soils under different planting years of bamboo |
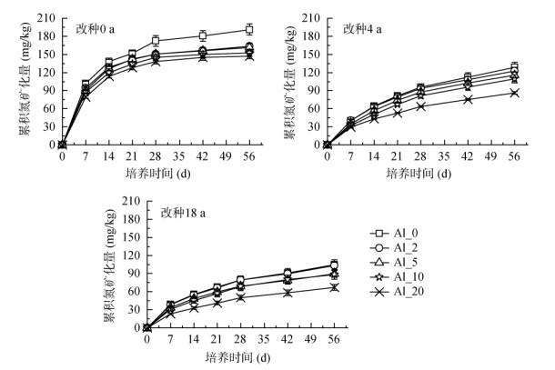
图 2和图 3分别揭示了不同无定形铝氧化物添加量下,各种植年限雷竹林土壤的累积氮矿化量和氮矿化速率的变化情况。如图 2所示,Al_0处理下,土壤有机氮的累积矿化量为种植0 a > > 种植4 a > 种植18 a,分别为191.1、128.8、95.5 mg/kg,土壤的累积氮矿化量随种植年限的增加而显著下降。添加无定形铝氧化物后,各种植年限雷竹林土壤累积氮矿化量均随无定形铝氧化物添加量的增加而降低。培养结束时,相较于未加无定形铝氧化物的土壤(Al_0),对照水稻田土壤中的累积氮矿化量在Al_2、Al_5、Al_10、Al_20处理下由196.1 mg/kg显著降为163.8、161.7、152.0、148.0、147.4 mg/kg,改种雷竹4 a和18 a后土壤的累积氮矿化量变化趋势与之相似。由图 3可见,各种植年限雷竹林土壤的有机氮矿化速率均随培养时间的增加而降低,培养开始时,对照水稻田土壤中有机氮矿化速率最高,为14.52 mg/(kg·d),分别为改种雷竹4、18 a土壤的2.53倍和2.60倍。同时,不同种植年限雷竹林土壤有机氮矿化率均随无定形铝氧化物添加量的增加而显著下降。在Al_20处理下,0、4、18 a雷竹林土壤有机氮矿化速率分别为11.37、4.20和3.33 mg/(kg·d),相较于未添加铝氧化物的土壤分别降低了21.69%、26.83% 和40.32%。
|
图 2 不同无定形铝氧化物添加量下土壤有机氮矿化进程 Fig. 2 Processes of soil nitrogen mineralization under different amorphous Al hydroxide treatments |
|
图 3 不同无定形铝氧化物添加量下雷竹林土壤的氮矿化速率 Fig. 3 Net rates of nitrogen mineralization under different amorphous Al hydroxide treatments |
由图 4可见,无定形铝氧化物添加量与土壤有机氮矿化抑制率具有显著相关性。在对照水稻田土壤中,添加无定形铝氧化物会显著抑制氮的矿化,且氮矿化抑制率随无定形铝氧化物添加量的增加缓慢增加,最高抑制率为22.42%。在改种雷竹4 a和18 a土壤中,添加无定形铝氧化物量相对较低时,氮矿化抑制率也较低,尤其是种植18 a的雷竹林土壤在Al_2处理下无定形铝氧化物对氮矿化几乎没有抑制作用,但随着无定形铝氧化物添加量的增加氮矿化抑制率显著提高,在Al_20处理下氮矿化抑制率最高达35.31%。
|
图 4 无定形铝氧化物对土壤有机氮矿化的抑制率(与对照相比) Fig. 4 Inhibition rate of amorphous Al hydroxide on nitrogen mineralization (compared with control) |
图 5为无定形铝氧化物处理下不同种植年限雷竹林土壤矿化氮组分(硝态氮+铵态氮)含量。由图 5可见,添加无定形铝氧化物后,各种植年限雷竹林土壤铵态氮含量均无显著变化,但硝态氮含量却随土壤中无定形铝氧化物添加量的增加而显著下降,尤其在Al_20处理下,0、4、18 a雷竹林土壤硝态氮含量分别显著下降了70%、98% 和94%。同时,各种植年限雷竹林土壤矿质氮的铵硝比均随着无定形铝氧化物添加量的增加而显著增加,尤其是在Al_20处理下矿化氮中硝态氮量极少,铵硝比增加极为显著,0、4、18 a雷竹林土壤的铵硝比分别由5.88、2.67、2.78显著增加为16.89、101.75和52.70。
|
(图中不同小写字母表示同一种植年限土壤不同无定形铝氧化物添加量间差异显著(P < 0.05)) 图 5 不同无定形铝氧化物添加量下土壤矿化氮中铵态氮和硝态氮含量 Fig. 5 Contents of mineralized ammonium and nitrate nitrogen under treatments with various amorphous Al hydroxide addition rates |
有机氮是氮素在土壤中的主要存在形式,大部分有机氮只有通过矿化转变为无机矿质氮才能被植物吸收利用,而土壤温度、水分、pH、有机质、土壤团聚体等显著影响土壤有机氮的矿化过程[12]。土壤中的铁铝氧化物在土壤团聚体的形成和稳定[15]以及有机质保护[24]方面具有重要作用,因此,铁铝氧化物可能会通过影响土壤中团聚体稳定性和有机质含量间接影响有机氮矿化。本研究对各种植年限雷竹林土壤添加不同用量的无定形铝氧化物,结果发现,随着土壤中无定形铝氧化物添加量的增加,土壤累积氮矿化量和氮矿化速率显著降低,土壤氮矿化抑制率显著增加,这与衡利沙等[19]的研究结果一致。但当土壤中添加的无定形铝量相对较低时,氮矿化抑制率也相对较低,尤其是种植18 a的雷竹林土壤在Al_2处理下氮矿化抑制率几乎为0,只有在较高无定形铝氧化物添加量下,土壤氮矿化的抑制效果才显著。这或许是由于在添加量较少时,无定形铝氧化物虽对有机质有吸附作用,但吸附量不大,且被吸附的有机质附着在无定形铝氧化物表面,可能增大了有机质与土壤酶及微生物的接触面积,有益于有机氮的矿化,从而一定程度上抵消了由于吸附导致的抑制效果。另外,不同土地利用方式可能导致土壤性质等方面存在差异[25-26],从而影响土壤有机氮矿化进程。本研究中,培养前期,相比较4、18 a雷竹林土壤,对照水稻田土壤具有更高的累积氮矿化量以及氮矿化速率,且添加无定形铝氧化物后,土壤氮矿化抑制率增加缓慢,这可能与土壤中高有机质含量有关。水稻田改种雷竹后,土壤pH以及有机质含量显著下降,当加入相同量的无定形铝氧化物时,雷竹林土壤的低pH显著抑制了土壤有机氮矿化速率[27],且低有机质含量下其被无定形铝氧化物吸附的有机质所占的比例更高,保护作用更明显,因而氮矿化抑制率增加更为显著[28]。综上,土壤中无定形铝氧化物显著影响着土壤的有机氮矿化进程,且这种影响在不同土壤间存在差异。
目前普遍认为土壤中铝可以通过与土壤溶液中的有机质形成有机络合物、抑制有机质降解相关的微生物和酶活性,以及借助巨大表面活性强烈吸附土壤中有机质3个方面来抑制有机质分解,从而抑制有机氮的矿化。本研究对矿化氮组分分析时发现,无定形铝氧化物的添加对土壤铵态氮含量的影响并不显著,然而显著降低了土壤硝态氮含量,这与董雪等[29]的研究结果一致。这可能是因为无定形铝氧化物在抑制有机质分解对有机质起保护作用的同时,又由于本身带有正电荷,会与土壤颗粒产生双电层效应,从而促进吸附在土壤胶体中的铵态氮的解吸,释放部分铵态氮[30],最终使不同处理下铵态氮含量差异不大。无定形铝氧化物的添加主要降低了土壤中硝态氮含量,原因可能是一方面其会强烈吸附土壤中的酶[31],从而降低硝化过程相关酶活性,另一方面是直接对土壤中的微生物产生铝毒害[5, 32],抑制了土壤的硝化作用。罗虹等[33]研究了铝胁迫下大豆根际土壤微生物区系的变化,发现高浓度铝的添加可以显著抑制土壤中硝化细菌的活性。然而,刘彩凤等[34]研究去除非晶质铁铝氧化物后土壤有机氮矿化进程发现,非晶质氧化铁铝在抑制土壤有机氮矿化的同时反而会促进土壤硝化作用的发生,这可能是因为与本研究中无定形铝氧化物的添加对土壤铵态氮的含量无显著影响的结果不同,非晶质铁铝氧化物的去除处理显著促进了铵态氮的产生,从而为硝化作用提供了丰富的底物[35-36],促进了硝化作用。由此可见,无定形铝氧化物对土壤有机氮矿化的影响在不同试验方法间存在差异,而产生这种差异的更深层次的机理仍需要进一步深入研究。
4 结论向土壤中添加无定形铝氧化物后,各种植年限雷竹林土壤累积氮矿化量与氮矿化速率均随着添加量的增加而降低,无定形铝氧化物添加量与氮矿化抑制率呈显著的线性相关。当土壤中添加的无定形铝氧化物量相对较低时,对氮矿化虽有抑制,但抑制率相对较低,尤其是种植18 a的雷竹林土壤在Al_2处理下,对氮矿化几乎没有抑制作用;当无定形铝氧化物添加量相对较高时,其对氮矿化的抑制效应显著。添加无定形铝氧化物对氮矿化的抑制主要表现为对硝化作用的抑制,各种植年限雷竹林土壤累积矿化氮中铵硝比均随着无定形铝氧化物添加量的增加而显著增加,尤其是在Al_20处理下,其矿化氮中硝态氮的量极少,铵硝比增加极为显著。总之,当土壤酸化时,活化后的无定形铝氧化物会显著抑制土壤有机氮矿化,阻碍土壤养分循环。
| [1] |
何钧潮, 王安国, 杨元龙. 雷竹笋早出高产栽培技术[J]. 经济林研究, 1995, 13(1): 32-33 ( 0) |
| [2] |
金爱武, 周国模, 华根球, 等. 雷竹笋早出丰产经营技术推广模式调查[J]. 经济林研究, 1998, 16(3): 67-68 ( 0) |
| [3] |
陈珊, 陈双林, 郭子武. 林地覆盖经营对雷竹叶片营养质量及食叶害虫适口性的影响[J]. 生态学杂志, 2014, 33(5): 1253-1259 ( 0) |
| [4] |
李子川, 庄舜尧, 桂仁意, 等. 不同集约栽培年限下雷竹林土壤化学性质与生理毒性铝的分布[J]. 浙江农林大学学报, 2011, 28(6): 837-844 DOI:10.3969/j.issn.2095-0756.2011.06.001 ( 0) |
| [5] |
沈宏, 严小龙. 铝对植物的毒害和植物抗铝毒机理及其影响因素[J]. 土壤通报, 2001, 32(6): 281-285 ( 0) |
| [6] |
叶莉莎, 陈双林, 郭子武. 竹林氮素循环与管理研究综述[J]. 浙江农林大学学报, 2015, 32(4): 635-642 ( 0) |
| [7] |
徐祖祥, 祝小祥, 徐进, 等. 临安雷竹林施肥现状及问题的分析[J]. 农学学报, 2015, 5(5): 53-56 ( 0) |
| [8] |
查宇璇, 冉茂, 周鑫斌. 烟田土壤酸化原因及调控技术研究进展[J]. 土壤, 2022, 54(2): 211-218 DOI:10.13758/j.cnki.tr.2022.02.001 ( 0) |
| [9] |
武星魁, 施卫明, 徐永辉, 等. 长期不同化肥氮用量对设施菜地土壤氮素矿化和硝化作用的影响[J]. 土壤, 2021, 53(6): 1160-1166 DOI:10.13758/j.cnki.tr.2021.06.008 ( 0) |
| [10] |
田茂洁. 土壤氮素矿化影响因子研究进展[J]. 西华师范大学学报(自然科学版), 2004, 25(3): 298-303 ( 0) |
| [11] |
蒋竹青, 彭辉. 基于文献计量学分析土壤氮素矿化研究进展[J]. 土壤通报, 2021, 52(4): 975-987 ( 0) |
| [12] |
李贵才, 韩兴国, 黄建辉, 等. 森林生态系统土壤氮矿化影响因素研究进展[J]. 生态学报, 2001, 21(7): 1187-1195 ( 0) |
| [13] |
赵学强, 潘贤章, 马海艺, 等. 中国酸性土壤利用的科学问题与策略[J]. 土壤学报, 2023, 60(5): 1248-1263 ( 0) |
| [14] |
谭文峰, 周素珍, 刘凡, 等. 土壤中铁铝氧化物与黏土矿物交互作用的研究进展[J]. 土壤, 2007, 39(5): 726-730 ( 0) |
| [15] |
王小红, 杨智杰, 刘小飞, 等. 中亚热带山区土壤不同形态铁铝氧化物对团聚体稳定性的影响[J]. 生态学报, 2016, 36(9): 2588-2596 ( 0) |
| [16] |
赵友朋, 孟苗婧, 张金池, 等. 不同林地类型土壤团聚体稳定性与铁铝氧化物的关系[J]. 水土保持通报, 2018, 38(4): 75–81, 86 ( 0) |
| [17] |
黄荣珍, 王金平, 朱丽琴, 等. 杉木人工林土壤微团聚体中铁铝氧化物与微生物的分布及其关系[J]. 水土保持通报, 2022, 42(1): 1-9 ( 0) |
| [18] |
元晓春, 苏先楚, 吴冰冰. 氮添加下土壤铁铝离子和氧化物对可溶性有机质的影响[J]. 当代化工研究, 2021(22): 12-15 ( 0) |
| [19] |
衡利沙, 王代长, 蒋新, 等. 黄棕壤铁铝氧化物与土壤稳定性有机碳和氮的关系[J]. 环境科学, 2010, 31(11): 2748-2755 ( 0) |
| [20] |
Stanford G, Smith S J. Nitrogen mineralization potentials of soils[J]. Soil Science Society of America Journal, 1972, 36(3): 465-472 ( 0) |
| [21] |
鲁如坤. 土壤农业化学分析法[M].
中国农业科学技术出版社, 北京, 1999
( 0) |
| [22] |
双波长紫外分光光度法测定水中硝酸盐氮方法的改进[J]. 中国卫生检验杂志, 2006(11): 1313-1314 ( 0) |
| [23] |
Walna B, Siepak J, Drzymala S, et al. Research on aluminium speciation in poor forest soils using the sequential extraction method[J]. Polish Journal of Environmental Studies, 2005, 14(2): 243-250 ( 0) |
| [24] |
Schneider M P W, Scheel T, Mikutta R, et al. Sorptive stabilization of organic matter by amorphous Al hydroxide[J]. Geochimica et Cosmochimica Acta, 2010, 74(5): 1606-1619 ( 0) |
| [25] |
农旅融合背景下水田改林地对土壤性质影响[J]. 土壤, 2023, 55(5): 1097-1105 DOI:10.13758/j.cnki.tr.2023.05.020 ( 0) |
| [26] |
南方典型红壤区旱地与水田土壤酸度的剖面差异性[J]. 土壤, 2022, 54(5): 1010-1015 DOI:10.13758/j.cnki.tr.2022.05.018 ( 0) |
| [27] |
土地利用方式对红壤氮素矿化和硝化作用的影响[J]. 土壤通报, 2019, 50(5): 1210-1217 ( 0) |
| [28] |
添加无定形铝氧化物对雷竹林土壤有机质矿化的影响[J]. 土壤, 2009, 41(4): 635-640 ( 0) |
| [29] |
氮添加对土壤不同粒级氮矿化的影响及铁铝氧化物的作用[J]. 亚热带资源与环境学报, 2023, 18(1): 56-62 ( 0) |
| [30] |
王艳平. 带相反电荷胶体颗粒双电层相互作用及对离子解吸的影响[D]. 北京: 中国科学院研究生院, 2011.
( 0) |
| [31] |
南方主要土壤中铁铝氧化物对土壤吸附Bt蛋白的影响[J]. 中国农业科学, 2012, 45(23): 4836-4843 ( 0) |
| [32] |
酸化土壤中铝及其植物毒性[J]. 环境科学, 1990, 11(6): 41–46, 94–95 ( 0) |
| [33] |
铝胁迫对大豆根际土壤微生物区系的影响[J]. 土壤通报, 2005, 36(5): 735-738 ( 0) |
| [34] |
外加氮源影响下铁铝氧化物在土壤氮素转化中的作用[J]. 环境科学研究, 2020, 33(8): 1946-1953 ( 0) |
| [35] |
设施种植年限对土壤铵态氮、硝态氮及硝化强度的影响[J]. 中国瓜菜, 2023, 36(5): 109-114 ( 0) |
| [36] |
有机物料对植烟土壤氮素矿化及微生物性质的影响[J]. 土壤学报, 2021, 58(1): 225-234 ( 0) |
2. Nanjing College of University of Chinese Academy of Sciences, Nanjing 211135, China;
3. School of Chemistry and Materials Science, Ludong University, Yantai, Shandong 264025, China
2024, Vol. 56



0)