3. 云南省土壤培肥与污染修复工程研究中心, 昆明 650201;
3. 云南农业大学植物保护学院, 昆明 650201
硒是人体的必需微量元素之一,具有抗癌、提高免疫力和抗氧化等作用,但是人体自身无法合成硒,也没有可以长时间储存硒元素的器官[1-3]。食物链是人体摄入硒元素的主要途径之一,而土壤–作物系统是整条食物链的基础,硒在土壤–作物系统的积累转化直接影响人类膳食硒摄入量,土壤全硒含量是这一动态过程的基础,有效硒含量是决定这一动态过程的关键因素[4]。我国是缺硒情况较为严重的国家,中国贫硒国土面积按照世界卫生组织推荐值(0.100 mg/kg)和中国规范(0.125 mg/kg)计算,分别占21.10% 和31.60%[5]。因此,了解土壤中硒元素的含量、分异特征、影响因子及其影响程度,对于开发和利用富硒土地资源具有十分重要的意义。
研究表明土壤硒含量主要受成土母质、土壤利用类型、酸碱度(pH)、有机质含量、地形等因素的影响[6-10],但各研究区域间由于气候等环境不同,影响土壤硒元素的主要因素也不尽相同。柴冠群等[11]研究发现土壤酸碱度、有机质是影响贵州省清镇市土壤硒含量的主要因素;王美华[12]指出浙西山地丘陵区土壤硒含量主要受地质背景、土壤类型和有机质等因素的影响;李庚华等[13]认为广西省乐平县土壤硒含量的分布主要受控于成土母质;龚河阳等[14]对吉林省西部土壤的研究表明土壤酸碱度、有机质含量、土壤腐植质含量和土壤阳离子交换量对有效态硒影响较大。关于对硒元素的影响因素研究目前主要采用方差分析、相关性分析、线性回归分析以及GIS空间分析等方法,如刘冰权等[15]利用相关性分析等方法对江西省赣县清溪地区土壤硒分布特征、根系土壤硒的生物有效性的影响因素进行了分析;韩笑等[16]采用相关性分析、方差分析和逐步回归方程等方法对江西省丰城市土壤硒含量分布、影响因子及其解释能力进行了分析;蔡立梅等[17]以揭阳市土壤为对象,利用相关性分析、回归分析、方差分析及GIS空间分析技术等方法对土壤硒的含量分布、富集特征及影响因素进行了系统的分析。然而上述研究分析方法中,土壤硒的空间分异特征与环境因素之间的关系受限于类别变量的局限性通常被忽略,又或者只分析了单一因素的影响,缺乏多因素相互作用的影响强度。与传统分析方法相比,地理探测器[18]是探测空间分异性,以及揭示其背后驱动因子的一种新的统计学方法,此方法无线性假设,避免多变量共线性的影响,可定量确定各因子对土壤硒空间异质性的影响,相较传统研究方法能更直观、更快速、更有效地衡量各因子的贡献。
从已有文献资料来看,我国从东北至西南存在一条较为明显的缺硒地带,其中云南省属于严重缺硒以及缺硒病经常发生的地区[19-20]。但本研究团队首次发现了云南省分布着大面积富硒土壤[21],特别在滇西南地区,其耕地土壤硒元素含量平均值达到0.46 mg/kg,颠覆了云南土壤总体缺硒的历史认知。为此,本研究选择云南省西南部西盟佤族自治县作为研究区,于2022年采集表层(0 ~ 20 cm)土壤,在摸清土壤全硒和有效硒的空间分异特征的基础上,运用相关性分析、地统计分析、GIS空间分析技术和地理探测器等方法,结合土地利用方式、地形因子、母岩类型、土壤酸碱度和有机质,探讨影响研究区土壤全硒和有效硒空间分异特征的影响因素,以期为西盟县开发利用富硒土壤资源、发展富硒农业、增加农产品附加值提供科学依据。
1 材料与方法 1.1 研究区概况西盟佤族自治县隶属于云南省普洱市,位于云南省西南部(99°18′E ~ 99°43′E,22°25′N ~ 22°57′N),是以佤族为主的少数民族聚居县,国土总面积1 353.57 km2,其东、东北、东南部与澜沧拉祜族自治县接壤,南部与孟连傣族拉祜族佤族自治县相接,西、西北部与缅甸联邦共和国山水相依,国境线长达89.33 km。因受孟加拉湾西南暖湿气流影响,属亚热带海洋性季风气候,且由于相对高差达1 869.9 m,立体气候明显,降水量丰富。西盟县几乎具有古生代到新生代的各种地层,主要出露的地层包括:王雅岩组(滇西)、花开左组(滇西)、平掌组–鱼塘寨组(滇西)、温泉组–曼信组(滇西)、西盟岩群(滇西)、元古宙变质深成侵入体、大名山组(滇西)和古近纪酸性岩等(图 1A)。研究区中西部以王雅岩组、西盟岩群为主,花开左组、平掌组–鱼塘寨组、温泉组–曼信组呈条带状分布于研究区东部。研究区植被复杂多样,主要有季节性雨林、季雨林、季风常绿阔叶林和中山湿性常绿阔叶林,粮食作物以水稻、旱稻、玉米为主,主要经济作物有茶叶、咖啡、甘蔗、米荞等(图 1B)。
|
图 1 研究区土壤母岩类型(A)、土地利用类型(B)、DEM及土壤采样点分布(C) Fig. 1 Parent rock types (A), land use types (B), DEM and soil sampling sites (C) in study area |
根据西盟县的乡镇区域、种植结构、地形地貌、土壤性质等因素特点,采用随机布点取样并按照五点取样法采集表层土壤样品275个(图 1C),每个混合样品取1 kg。土壤样品于室内自然风干,剔除土壤中的石块以及植物残体后磨碎、过筛,装入自封袋备用。土壤样品测定指标:土壤pH测定参照NY/T 1377—2007《土壤pH的测定》[22],土壤有机质测定参照《土壤农化分析》[23],土壤全硒含量测定参照NY/T 1104— 2006《土壤中全硒的测定》[24]、土壤有效硒含量测定参照NY/T 3420—2019《土壤有效硒的测定》[25]。
1.3 数据处理与统计分析为确保数据的准确性,本研究采用拉衣达准则进行异常值的剔除,剔除后土壤采样点为264个。数据使用SPSS statistic 26.0软件进行描述性统计分析和相关性分析;运用半方差函数在GS+7.0软件进行空间结构分析;使用ArcGIS 10.7软件提取研究区高程、坡度和坡向,并对土壤全硒和有效硒进行普通克里格插值和全局空间自相关分析;使用地理探测器进行因子探测和交互性探测分析。根据地理探测器对输入的自变量的要求,参考前人研究[26-27]及先验知识将研究区坡度划分为:< 5°、5° ~ 10°、10° ~ 15°、15° ~ 20°、20° ~ 25°、25° ~ 30°、30° ~ 35°、>35°共8类,坡向以45°为间隔划分,其他指标以自然断点分段法分为8类。
2 结果与讨论 2.1 土壤硒元素描述性统计西盟县土壤全硒含量平均值为0.49 mg/kg,变幅处于0.09 ~ 1.42 mg/kg,变异系数为37.42%;土壤有效硒平均值为0.056 mg/kg,变幅处于0.006 ~ 0.145 mg/kg,变异系数为37.61%。谭见安[28]根据我国克山病带和低硒环境的研究结果,划分出我国硒元素生态景观的界限值:硒不足(≤0.125 mg/kg)、潜在硒不足(0.125 ~ 0.175 mg/kg)、足硒(0.175 ~ 0.40 mg/kg)、富硒(0.4 ~ 3.0 mg/kg)、硒中毒(≥3.0 mg/kg)。由表 1可知,西盟县土壤硒资源普遍处于较高水平,富硒土地资源丰富,占全县面积的66.67%。
|
|
表 1 西盟县土壤全硒含量丰缺状况及占比 Table 1 Abundance and deficiency of soil total Se content and its proportion in Ximeng County |
我国对于富硒土壤的划定及其规划利用主要以土壤全硒含量为依据[29],但是即使是生长在土壤全硒含量较高地区的作物也并不一定生产出富硒农产品,相反全硒含量较低的耕地土壤中也可以生长出富硒农产品[30-31]。这除了受作物对硒元素的吸收特性影响外[32],主要是因为土壤中容易被植物吸收利用的有效硒含量不同[33]。为了更清晰地反映土壤供硒潜力以及土壤中硒的有效性,本文引入了活化率指标:土壤硒活化率=土壤有效硒含量/土壤全硒含量×100%。结果发现研究区土壤硒活化率变幅为4.09% ~ 20.77%,平均值为12.17%,和表 2中其他研究区相比,仅低于湖北省恩施州。
|
|
表 2 研究区与其他地区土壤硒含量及活化率比较 Table 2 Comparison of topsoil Se content and activation rates between study area and other areas |
对西盟县土壤全硒和有效硒进行半方差函数拟合,土壤全硒空间分布的最优模型为球状模型,有效硒空间分布的最优模型为高斯模型,拟合系数分别为0.980和0.959,残差分别为3.149×10–5和8.848×10–9,均趋近于0,表明两者的拟合精度较高,可以很好地反映西盟县土壤全硒和有效硒的空间结构特征。土壤全硒和有效硒的块基效应分别为15.63% 和29.73%,表明土壤全硒和有效硒具有较强空间相关性,主要受结构性因素的影响。土壤全硒和有效硒的变程分别为46.030 km和34.918 km,说明两者的空间自相关范围较大。
在半方差函数拟合的基础上,对土壤全硒和有效硒分别进行普通克里格插值(图 2)。西盟县富硒耕地资源丰富,仅有少数足硒地区呈块状分布在西盟县中部及北部;西盟县有效硒分布规律与全硒相似。进一步采用全局统计量Moran’s I指数对土壤硒含量分布进行全局统计分析,并利用热点分析指标(Getis-Ord Gi*)进行局部空间自相关分析。分析结果表明,西盟县土壤硒具有显著的空间自相关性,土壤全硒和有效硒的Moran’s I指数分别为0.66和0.60,P < 0.01,Zscore分别为15.37和14.01,均大于1.96,具有统计学意义,再次验证了研究区土壤硒元素具有显著的空间自相关性。
|
图 2 研究区土壤全硒、有效硒含量空间分布 Fig. 2 Spatial distributions of soil total and available Se contents in study area |
为直观反映西盟县土壤全硒和有效硒面积分布的热点区域和空间位置,以西盟县37个行政村为基本单位,使用ArcGIS软件绘制了研究区冷热点分析图(图 3)。西盟县土壤全硒和有效硒呈现出显著的空间聚集特征,且两者分布规律相似。全硒热点区域主要分布在西盟县东部的秧洛村和班母村,冷点区域主要分布西盟县中部的莫美村、莫窝村、窝笼村和班哲村;有效硒的热点区域主要分布在西盟县东部的秧洛村、班母村和里拉村,冷点区域主要分布在西盟县中部的莫窝村和北部的窝羊村。
|
图 3 研究区土壤全硒和有效硒冷热点区分布 Fig. 3 Spatial distribution of cold–hot spots of soil total and available Se in study area |
本研究选取母岩类型、土壤酸碱度和有机质、土地利用方式、地形因子等因素对研究区土壤全硒、有效硒的空间变异特征展开研究和讨论。
2.3.1 母岩类型的影响地质背景–岩石化学组成是制约土壤元素组成的重要因素[40]。研究区新老地层交错,断裂强烈,褶皱明显,构造复杂。在本次研究的8种母岩类型中,温泉组–曼信组(滇西)的土壤全硒和有效硒含量最高(图 4)。究其原因主要是因为石炭纪是地史时期最重要的成煤期之一。Long等[41]从我国5个煤炭分布区的19个煤田或矿井中采集了代表 7个成煤期的130个煤矸石样本,结果证明古生界石炭纪煤纤石硒含量丰富。这也侧面认证了这一时期的地层硒含量丰富。
|
(图中小写字母不同表示不同母岩类型间土壤全硒或有效硒含量差异显著(P < 0.05),下同) 图 4 不同母岩类型土壤全硒、有效硒含量 Fig. 4 Soil total and available Se contents with different parent rock types |
土壤有机质对硒的影响主要在于对硒的吸附与固定作用。一般情况下,土壤有机质含量越丰富对于土壤中硒的吸附能力也就越强,土壤中含硒量也相对越高[42]。土壤酸碱度(pH)被认为是影响土壤硒含量的重要因素之一。土壤pH的大小制约着土壤中硒的吸附和游离态,继而控制着土壤中硒的生物利用率,而且还对土壤硒的形态变化产生直接影响,其表现在土壤酸碱性不同的状态下,硒元素与土壤组分等吸附和解吸过程受到一定影响[43]。
研究区土壤全硒和有效硒含量与土壤有机质含量均呈极显著正相关(P < 0.01,表 3)。这与前人研究结果一致[37, 44]。李世宝等[45]证实有机质与腐植酸结合态硒、强有机结合态硒等惰性态硒呈极显著正相关。因此,土壤中有机质含量较高的区域土壤硒更容易被固定。研究区土壤pH对土壤硒含量并无显著影响,这与前人研究不同[46-47]。究其主要原因可能是由于研究区土壤属于酸性土壤,pH变幅(4.18 ~ 6.81)较小,因而对土壤全硒和有效硒的影响并不显著。
|
|
表 3 土壤全硒、有效硒含量与pH、有机质相关性分析 Table 3 Correlation analysis of soil total and available Se contents with pH and organic matte |
土地利用方式、人为扰动条件等的不同,土壤中生物、物理、化学变化过程出现差异,造成了土壤在发育和利用过程中保硒能力也有较大差异,具体体现在硒元素的流失和富集[48-49]。通过对研究区不同土地利用方式的土壤全硒、有效硒含量进行统计分析,不同植被类型间土壤全硒和有效硒分布规律相同,具体表现为草地 > 森林 > 灌木地 > 耕地(表 4)。
|
|
表 4 不同土地利用方式下土壤硒描述性统计特征 Table 4 Descriptive statistics of soil Se contents under different land use types |
地形控制了太阳辐射和降水的空间再分配,因此地形特征往往能较好地指示局部生境的小气候条件,反映土壤硒含量的空间差异。地形特征是一个多维变量,包括海拔、坡向、坡度等,不同坡向、坡度及海拔高度具有不同的水热分配条件和物质移动堆积的特点,地貌差异对土壤养分元素的分布有明显的影响[50-52]。
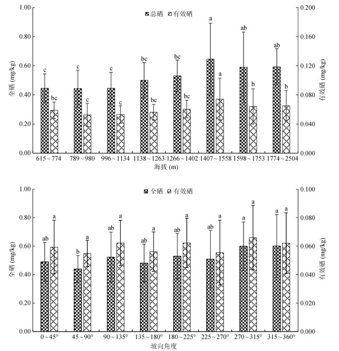
Pearson相关性分析结果表明,研究区土壤全硒和有效硒与海拔呈极显著(P < 0.01)正相关,r分别为0.308和0.233,这与前人研究结果一致[27, 53]。但是采用自然断点间断法将海拔分为8类后,土壤全硒含量在海拔1 558 m之前呈现随着海拔上升逐渐上升的趋势,超过此范围后,全硒含量随着海拔的上升而降低,土壤有效硒大致呈现相同的规律(图 5A)。海拔1 558 m之前,土壤硒含量随海拔升高,推测可能是因为随着海拔的增高温度降低,微生物活性降低,有机质分解速率缓慢,促进表层土壤中的硒向有机结合态转换,减缓了土壤中硒元素的流失。而海拔超过1 558 m的地区硒含量下降的原因可能是:该地区地层年代主要为西盟岩群、古近纪酸性岩、远古宙变质深成侵入体以及王雅岩组(滇西),岩性主要为片岩和花岗岩,其形成的土壤硒含量相对过低;其次,该地区土壤类型主要为淋溶土,又由于随着海拔的升高,坡度逐渐上升,受雨水冲刷严重,因此在水经过淋溶土时,会将土壤中的硒溶解并带走,导致硒的流失。
|
图 5 土壤全硒、有效硒含量与海拔、坡向关系 Fig. 5 Relationship between soil total and available Se contents with altitude and slope aspect |
坡向作为山地的重要地形因子之一,它通过改变光照、温度、水分等因子,对生物多样性、植物生长发育,以及土壤营养元素含量等产生重要影响[54]。如图 5B所示,研究区土壤全硒和有效硒呈现随着坡向角度上升而增加的趋势,坡向为270° ~ 315°和315°~ 360°的两个区域的全硒含量高于其他区域。多数关于不同坡向对土壤养分影响的研究[55-56]证实,坡向作为环境因子,通过太阳辐射差异化土壤温度、蒸发量、湿度、昼夜温差来影响微生物活跃度及腐殖质的累积、分解,导致不同坡向土壤养分的异质性,一般而言,阴坡土壤养分高于阳坡。
2.4 各因子影响程度本研究采用地理探测器对土壤pH、有机质、母岩类型、土地利用方式、地形因子进行因子探测和交互探测,以期定量分析各影响因子对研究区土壤全硒和有效硒的解释能力和交互效果。从结果可以看出,对研究区土壤全硒的空间变异有影响的因子依次是(表 5):母岩类型(19%)、海拔(16%)、土壤有机质含量(10%)、坡向(8%)、土壤pH(4%)和坡度(2%);对研究区土壤有效硒的空间变异有影响的因子依次是(表 6):全硒含量(83%)、母岩类型(18%)、海拔(15%)、有机质含量(7%)、坡向(5%)、土壤pH(3%)、坡度(2%)。根据交互探测的结果,影响因子两两交互作用均大于单因子对土壤全硒和有效硒空间变异的影响,其中地层年代和海拔(坡向)对土壤全硒的交互作用最强,为41%;全硒和土壤pH对土壤有效硒的交互作用最强,为89%。
|
|
表 5 各影响因子对土壤全硒的因子探测和交互探测分析结果 Table 5 Results of factor detection and interaction detection analysis of soil total Se by each influencing factor |
|
|
表 6 各影响因子对土壤有效硒的因子探测和交互探测分析结果 Table 6 Results of factor detection and interactive detection analysis of soil available Se by each influencing factor |
1) 西盟县土壤全硒和有效硒含量的平均值分别为0.46 mg/kg和0.056 mg/kg,其中富硒土壤占全县面积的66.67%,表明该地区具有丰富的硒资源,且土壤硒活化率为12.17%。
2) 土壤全硒和有效硒在空间分布上呈现出明显的聚集特征,主要集中在县域的特定区域。
3) 地理探测器因子分析揭示了母岩类型和土壤全硒含量分别对土壤全硒和有效硒的空间变异具有显著的解释能力。
4) 影响因子之间的交互作用对土壤全硒和有效硒的空间变异具有显著影响,表明土壤硒元素含量的空间分异受多种因素的共同影响,需要综合考虑。
综上,西盟县具有丰富的土壤硒资源,且其分布具有一定的空间特征,主要受到母岩类型和土壤因素的影响。基于这些特征,可依托当地的资源特点,科学制定富硒农产品产业化开发规划,明确重点发展区域和品种,促进富硒产业的可持续发展、农产品的品质提升和产业升级。
| [1] |
Razaghi A, Poorebrahim M, Sarhan D, et al. Selenium stimulates the antitumour immunity: Insights to future research[J]. European Journal of Cancer (Oxford, England), 2021, 155: 256-267 ( 0) |
| [2] |
Huang Z, Rose A H, Hoffmann P R. The role of selenium in inflammation and immunity: From molecular mechanisms to therapeutic opportunities[J]. Antioxidants & Redox Signaling, 2012, 16(7): 705-743 ( 0) |
| [3] |
Schrauzer G N. Selenium and selenium-antagonistic elements in nutritional cancer prevention[J]. Critical Reviews in Biotechnology, 2009, 29(1): 10-17 DOI:10.1080/07388550802658048 ( 0) |
| [4] |
王凯, 卢维宏, 张乃明, 等. 土壤作物系统中的硒与人体健康[J]. 肥料与健康, 2020, 47(1): 5-10, 69 ( 0) |
| [5] |
王学求, 柳青青, 刘汉粮, 等. 关键元素与生命健康: 中国耕地缺硒吗?[J]. 地学前缘, 2021, 28(3): 412-423 ( 0) |
| [6] |
刘飞, 杨柯, 徐仁廷, 等. 广西都安县典型水田硒地球化学特征及影响因素[J]. 环境科学, 2021, 42(10): 4897-4907 ( 0) |
| [7] |
牟叶果, 陈清霞, 李龙波, 等. 贵阳市花溪区表层土壤硒空间分异特征及其影响因素[J]. 环境科学学报, 2022, 42(8): 415-424 ( 0) |
| [8] |
陈东平, 张金鹏, 聂合飞, 等. 粤北山区连州市土壤硒含量分布特征及影响因素研究[J]. 环境科学学报, 2021, 41(7): 2838-2848 ( 0) |
| [9] |
黄钊, 陈政, 薛传东, 等. 云南省新平县哀牢山地区富硒土壤成因及其影响因素研究[J]. 现代地质, 2020, 34(3): 609-617 ( 0) |
| [10] |
覃建勋, 付伟, 郑国东, 等. 广西岩溶区表层土壤硒元素分布特征与影响因素探究——以武鸣县为例[J]. 土壤学报, 2020, 57(5): 1299-1310 ( 0) |
| [11] |
柴冠群, 王国坤, 王丽, 等. 贵州省清镇市土壤硒含量的分布及其影响因素[J]. 土壤, 2022, 54(6): 1108-1116 ( 0) |
| [12] |
王美华. 浙西典型石煤矿山周边耕地富硒土壤地球化学特征及影响因素[J]. 现代地质, 2022, 36(3): 941-952 ( 0) |
| [13] |
李庚华, 范汝海, 李成勇. 广西平乐县富硒土壤地球化学特征[J]. 中国资源综合利用, 2022, 40(6): 69-72 ( 0) |
| [14] |
龚河阳, 李月芬, 汤洁, 等. 吉林省西部土壤硒含量、形态分布及影响因素[J]. 吉林农业大学学报, 2015, 37(2): 177-184, 190 ( 0) |
| [15] |
刘冰权, 沙珉, 谢长瑜, 等. 江西赣县清溪地区土壤硒地球化学特征和水稻根系土硒生物有效性影响因素[J]. 岩矿测试, 2021, 40(5): 740-750 ( 0) |
| [16] |
韩笑, 周越, 吴文良, 等. 富硒土壤硒含量及其与土壤理化性状的关系——以江西丰城为例[J]. 农业环境科学学报, 2018, 37(6): 1177-1183 ( 0) |
| [17] |
蔡立梅, 王硕, 温汉辉, 等. 土壤硒富集空间分布特征及影响因素研究[J]. 农业工程学报, 2019, 35(10): 83-90 ( 0) |
| [18] |
王劲峰, 徐成东. 地理探测器: 原理与展望[J]. 地理学报, 2017, 72(1): 116-134 ( 0) |
| [19] |
孙国新, 李媛, 李刚, 等. 我国土壤低硒带的气候成因研究[J]. 生物技术进展, 2017, 7(5): 387-394 ( 0) |
| [20] |
陈艳兰, 王衡, 石武祥, 等. 云南不明原因猝死病区环境和人体硒、铬的研究[J]. 现代预防医学, 2009, 36(18): 3557-3559 ( 0) |
| [21] |
张丽, 张乃明, 张玉娟, 等. 云南耕地土壤硒含量空间分布及其影响因素研究[J]. 土壤, 2021, 53(3): 578-584 ( 0) |
| [22] |
中华人民共和国农业部. 土壤pH的测定: NY/T 1377—2007[S]. 北京: 中国标准出版社. 2007.
( 0) |
| [23] |
鲍士旦. 土壤农化分析(3版)[M].
中国农业出版社, 北京, 2000
( 0) |
| [24] |
中华人民共和国农业部. 土壤中全硒的测定: NY/T 1104—2006[S]. 北京: 中国标准出版社.
( 0) |
| [25] |
中华人民共和国农业农村部. 土壤有效硒的测定: NY/T 3420—2019[S]. 北京: 中国标准出版社.
( 0) |
| [26] |
王欢, 高江波, 侯文娟. 基于地理探测器的喀斯特不同地貌形态类型区土壤侵蚀定量归因[J]. 地理学报, 2018, 73(9): 1674-1686 ( 0) |
| [27] |
朱青, 郭熙, 韩逸, 等. 南方丘陵区土壤硒空间分异特征及其影响因素——以丰城市为例[J]. 土壤学报, 2020, 57(4): 834-843 ( 0) |
| [28] |
谭见安. 中华人民共和国地方病与环境图集[M].
科学出版社, 北京, 1989
( 0) |
| [29] |
高梦瑶. 中国地质学会公布第二批天然富硒土地认定结果[J]. 地质论评, 2022, 68(6): 2409-2411 ( 0) |
| [30] |
Yuan L X, Yin X B, Zhu Y Y, et al. Selenium in plants and soils, and selenosis in Enshi, China: Implications for selenium biofortification[M]//Springer Briefs in Molecular Science. Dordrecht: Springer Netherlands, 2012: 7–31.
( 0) |
| [31] |
王莹, 马彦斌, 王泽晶. 基于有效硒的富硒土壤阈值及有效硒的影响因素[J]. 环境科学, 2023, 44(1): 395-404 ( 0) |
| [32] |
吴彩芳, 鲍荣粉, 廖慧苹, 等. 野菜少花龙葵的硒富集特性研究[J]. 四川农业大学学报, 2018, 36(6): 778-784 ( 0) |
| [33] |
Wang D, Xue M Y, Wang Y K, et al. Effects of straw amendment on selenium aging in soils: Mechanism and influential factors[J]. Science of the Total Environment, 2019, 657: 871-881 DOI:10.1016/j.scitotenv.2018.12.021 ( 0) |
| [34] |
李卫东, 陈永波, 黄光昱, 等. 恩施州耕地土壤剖面理化特征及养分分布变化规律[J]. 土壤, 2018, 50(6): 1134-1138 ( 0) |
| [35] |
夏飞强, 张祥, 杨艳, 等. 安徽省宁国市土壤和农产品硒地球化学特征及影响因素[J]. 土壤, 2021, 53(3): 585-593 ( 0) |
| [36] |
吴一群, 陈子聪, 颜明娟, 等. 福建省寿宁县茶园土壤硒状况及其有效性[J]. 茶叶学报, 2018, 59(3): 131-134 ( 0) |
| [37] |
谢薇, 杨耀栋, 侯佳渝, 等. 天津市蓟州区土壤硒的有效性及影响因素[J]. 环境化学, 2019, 38(10): 2306-2316 ( 0) |
| [38] |
张含, 龚敏, 石汝杰. 重庆市蔬菜地土壤硒含量及其影响因素分析[J]. 中国农学通报, 2022, 38(19): 114-119 ( 0) |
| [39] |
王峰, 陈玉真, 单睿阳, 等. 大田县茶园土壤和茶叶中硒含量及影响因素分析[J]. 茶叶学报, 2018, 59(3): 126-130 ( 0) |
| [40] |
周国华, 曾道明, 贺灵, 等. 福建铁观音茶园生态地球化学特征[J]. 中国地质, 2015, 42(6): 2008-2018 ( 0) |
| [41] |
Long J, Zhang S X, Luo K L. Selenium in Chinese coal gangue: Distribution, availability, and recommendations[J]. Resources, Conservation and Recycling, 2019, 149: 140-150 DOI:10.1016/j.resconrec.2019.05.039 ( 0) |
| [42] |
黄春雷, 宋明义, 魏迎春. 浙中典型富硒土壤区土壤硒含量的影响因素探讨[J]. 环境科学, 2013, 34(11): 4405-4410 ( 0) |
| [43] |
周越, 吴文良, 孟凡乔, 等. 土壤中硒含量、形态及有效性分析[J]. 农业资源与环境学报, 2014, 31(6): 527-532 ( 0) |
| [44] |
余文权, 王峰, 陈玉真, 等. 福建省典型茶园土壤硒含量及其影响因素研究[J]. 茶叶科学, 2020, 40(2): 173-185 ( 0) |
| [45] |
李世宝, 杨立国, 熊万里, 等. 内蒙古巴彦淖尔市临河区富硒耕地硒形态特征及其影响因素[J]. 物探与化探, 2023, 47(2): 477-486 ( 0) |
| [46] |
周鑫斌, 于淑慧, 谢德体. pH和三种阴离子对紫色土亚硒酸盐吸附-解吸的影响[J]. 土壤学报, 2015, 52(5): 1069-1077 ( 0) |
| [47] |
袁知洋, 郑金龙, 戴光忠, 等. 恩施富硒土壤区土壤硒镉与其理化性质关系研究[J]. 西南农业学报, 2019, 32(8): 1852-1859, 1967 ( 0) |
| [48] |
黄宇, 王华, 冯宗炜, 等. 南方红壤地区种植龙须草对土壤质量的影响[J]. 生态学报, 2003, 23(12): 2599-2606 ( 0) |
| [49] |
刘华应, 黄永聪, 蒋宗林, 等. 广西岑溪市富硒土壤地球化学特征及成因分析[J]. 矿产与地质, 2020, 34(2): 347-354 ( 0) |
| [50] |
石淑芹, 陈佑启, 李正国, 等. 基于土壤类型和微量元素辅助信息的土壤属性空间模拟[J]. 农业工程学报, 2010, 26(12): 199-205, 432 ( 0) |
| [51] |
朱晓勤, 刘康, 李建国, 等. GIS支持下的秦岭山地植被分布与环境梯度关系研究[J]. 水土保持研究, 2009, 16(2): 169-175 ( 0) |
| [52] |
秦松, 樊燕, 刘洪斌, 等. 地形因子与土壤养分空间分布的相关性研究[J]. 水土保持研究, 2008, 15(1): 46-49, 52 ( 0) |
| [53] |
商靖敏, 罗维, 吴光红, 等. 洋河流域不同土地利用类型土壤硒(Se)分布及影响因素[J]. 环境科学, 2015, 36(1): 301-308 ( 0) |
| [54] |
刘旻霞, 王刚. 高寒草甸植物群落多样性及土壤因子对坡向的响应[J]. 生态学杂志, 2013, 32(2): 259-265 ( 0) |
| [55] |
秦文静, 李小英, 许彦红, 等. 滇中地区典型公益林林分土壤养分及肥力研究[J]. 西部林业科学, 2022, 51(2): 145-154 ( 0) |
| [56] |
刘顺, 许格希, 陈淼, 等. 坡向对川西亚高山土壤酶活性和微生物养分限制的影响[J]. 应用生态学报, 2023, 34(11): 2993-3002 ( 0) |
3. Yunnan Soil Fertilization and Pollution Remediation Engineering Research Center, Kunming 650201, China;
3. College of Plant Protection, Yunnan Agricultural University, Kunming 650201, China
2024, Vol. 56



0)