2. 呼伦贝尔市农牧技术推广中心, 内蒙古呼伦贝尔 021000;
3. 中国农业科学院草原研究所, 呼和浩特 010010;
4. 乌兰浩特市农牧技术推广中心, 内蒙古乌兰浩特 137400;
5. 内蒙古土壤质量与养分资源重点实验室, 农业生态安全与绿色发展内蒙古高等学校重点实验室, 呼和浩特 010018
科(Isotomidae)均为4种施肥量下的优势物种,分别占总个体数的45.90% ~ 59.52% 和12.36% ~ 21.66%;②中小型土壤节肢动物个体数在水平及垂直方向上对有机肥料施入量响应一致,个体数在各土层随有机肥料施入量与施肥年限的增加而增加,随土层增大而减少,且主要在高量有机肥处理中显著增加,表明高量有机肥处理是促进中小型土壤节肢动物群落发展的最佳施肥量;③月动态分析表明,7—8月良好的水热条件与有机肥料施用对土壤动物具有正向复合作用,其中矮蒲螨科、等节
科、植绥螨科(Phytoseiidae)可以作为考察2年有机肥料施用对中小型土壤节肢动物群落积极效应的特征指标,隐翅甲科(Staphylinidae)和四奥甲螨科(Quadroppiidae)可作为消极效应的特征指标;④冗余分析结果显示,2018年影响土壤动物群落组成的主要因子是有机质、容重及速效钾,2019年为有效磷和容重。总体而言,施用有机肥可以提高黑土区土壤质量,高量有机肥可以改善中小型土壤节肢动物群落组成,为中小型土壤节肢动物提供适宜的生存环境。施肥已被广泛用于维持土壤肥力和提高作物产量的共同管理实践中[1]。化肥通常具有高营养成分,能被植物快速吸收利用。为了满足集约化农业的需求,越来越多的化学肥料被应用到世界各地的土壤当中[2]。近年来,随着化学肥料施用量的不断增加,肥料利用率降低、生物多样性下降、土壤退化和环境污染的风险随之而来,不利于农业的可持续发展[3]。与化学肥料相比,源自动物粪便、人类排泄物或植物残体的有机肥不但能够提供均衡和可持续的养分供应,提高作物产量[4],还可以通过改善土壤团聚结构、提高土壤导水率、降低机械阻力和容重,改善土壤物理条件[5]。然而,有机肥养分含量相对较低,释放速度较慢,单独使用有机肥往往无法短时间内满足作物和日常集约化农业的生产需求,与单独施用化学肥料或有机肥料相比,有机肥与化肥的联合施用已被证明是维持土壤肥力和作物产量更有效的方法[6]。
农田生态系统作为人工周期性扰动生态系统的典型,对农田生态系统的精细管理是确定有效农业生产系统的关键[7]。土壤动物作为农田生态系统物质循环、能量流动和信息传递的重要参与者[8],其群落结构组成及多样性对环境变化响应敏感,受到许多协同因素的影响,如土壤、水文、生态条件、每种作物持有的小气候条件、耕地种植作物的持续时间、农业技术措施与肥料施用等,可以作为指示农田生态系统环境变化的评价指标[9-10]。近年来,随着化肥与有机肥料的大量施用,土壤动物对肥料施用的响应引起了人们的广泛关注。Peng等[11]的研究表明,土壤中有机质含量与中小型土壤动物数量具有显著相关性。Wang等[12]的研究同样表明,有机肥施用可增加土壤有机碳的固存,提供更多的碳补给,缓解土壤动物的碳限制,确保维持土壤动物群落发展的养分供应。此外,有机肥施用还能促进微生物的繁殖,提高微生物的活性,保障土壤动物食物来源的多样性,支持多类群的协同发展[13]。目前大量的研究指出,施肥管理措施不仅仅通过改变食物来源影响土壤动物,还通过改变生存环境直接或间接地作用于土壤动物的群落发展[14-16]。Dermiyati等[17]的研究指出,化肥及有机肥的施用可引起土壤团聚体结构的变化,不同粒径的团聚体会创造不同的生态位组合,促进不同粒径团聚体中土壤动物的定殖和维持。宋以玲等[18]的研究指出,有机肥的施用能够有效吸附水分子的高分子聚合物,使土壤具备高孔隙度与低容重特性。而王文东等[19]的研究表明,中小型土壤节肢动物类群数及密度与农田土壤容重存在一定的负相关性,较低的土壤容重有助于中小型土壤节肢动物生存繁衍。由此可见,土壤动物群落结构对施肥处理响应敏感,但是目前对土壤动物的研究多聚焦于有机肥料与无机肥料单独或混合施用条件下,对于等量无机肥料施用条件下不同有机肥料施用量下的研究并不充分。因此,全面了解中小型土壤动物对不同有机肥料施用量的响应对于实现农田生态系统土壤动物的精确管理及土壤的可持续利用具有重要意义。
中国东北黑土区是世界三大黑土带之一,在我国粮食安全上具有举足轻重的作用。近年来由于长期的重用轻养,使得东北黑土资源退化流失严重,而中小型土壤节肢动物作为地下物质循环的重要参与者,在促进养分循环和改善土壤肥力方面发挥着重要作用。因此,本研究选取东北黑土区,设置不同量有机肥添加试验,拟解决以下问题:①分析东北黑土区中小型土壤节肢动物群落结构在不同有机肥施用量下的变化规律;②确定有机肥最佳施肥量及明晰对环境变化最为敏感的中小型土壤动物类群;③探讨有机肥施用下驱动中小型土壤节肢动物群落变化的主控因子,以期为东北黑土生物多样性保护和土地管理及可持续利用提供理论依据。
1 材料与方法 1.1 研究区概况田间试验于2018年开始,地点在内蒙古自治区兴安盟扎赉特旗(46°45′N,122°47′E),该地区处于温带大陆性气候区,年平均降水量为400 mm,年均气温3.24 ℃,年平均日照时数2 311.4 h,平均海拔203 m。根据国际粮食与农业组织(FAO)土壤分类系统[20],供试土壤被归类为草甸土,其0 ~ 30 cm土层土壤有机质含量为38.3 g/kg,全氮含量为1.8 g/kg,全磷含量为7.5 g/kg,全钾含量为19.7 g/kg,pH为7.37。试验田的种植制度为玉米连作。试验区2018—2019年全年降水和气温见图 1。
|
图 1 试验区2018—2019年全年降水量和气温 Fig. 1 Monthly precipitation and temperature changes from 2018 to 2019 |
试验设置4个处理:T1,对照,氮磷钾复合肥+不施有机肥;T2,氮磷钾复合肥+低量有机肥;T3,氮磷钾复合肥+中量有机肥;T4,氮磷钾复合肥+高量有机肥。每个处理3次重复,共12个小区,小区面积为100 m2(10 m×10 m)。氮磷钾复合肥用量为25 kg/667m2,养分含量N–P2O5–K2O为21–14–10。有机肥原材料为当地农户家牛粪,用量依据当地农户的有机肥施用量进行设计,分别为15 000、30 000和45 000 kg/hm2。牛粪养分含量为:有机质107.19 g/kg、全氮11.69 g/kg、全磷4.71 g/kg、全钾5.65 g/kg、pH 8.31。有机肥经过高温堆沤腐熟,可减少养分损失,杀死病菌、虫卵及杂草种子。氮磷钾复合肥和有机肥均匀地撒施于土壤表层,每年5月一次性施入。作物为玉米,完成施肥后翻土播种。
1.3 样品采集于2018—2019年玉米生育期6、7、8、9月采集中小型土壤动物检测用土壤样品。采样时,用体积为200 cm3 (高10 cm)的环刀自上而下(0 ~ 10、10 ~ 20和20 ~ 30 cm)采集土样,每个小区随机取3个环刀样混为一个样本,装入自封袋中。中小型土壤动物采用国际通用的Tullgren漏斗法进行48 h分离提取,漏斗大口处连接有圆筒,圆筒底部放有孔板与滤网(孔径2mm),可筛离出体宽 < 2 mm的土壤动物,将分离出的中小型土壤动物置于酒精浓度为75% 的塑料瓶中备测。同时于每年玉米收获后用土钻采集0 ~ 30 cm土层土样,除去杂草、作物根系和碎石等杂质,风干,研磨,过2 mm网筛用于土壤理化性质的测定分析。
1.4 测定项目与方法中小型土壤动物鉴定:参考尹文英[21]的《中国土壤动物检索图鉴》与能乃扎布[22]的《内蒙古昆虫志》,在显微镜(Olympus CKX41)和体视显微镜(SZ78系列)下对收集到的土壤动物标本进行鉴定,鉴定到科的水平。
土壤理化性质测定:参照鲍士旦[23]的《土壤农化分析》,其中土壤pH采用电位法(m土∶V水=1∶5)测定;土壤有机质(OM)采用重铬酸钾–外加热法测定;土壤有效磷(AP)采用碳酸氢钠浸提–比色法测定;土壤速效钾(AK)采用醋酸铵浸提–火焰光度法测定;土壤全氮(TN)采用半微量凯氏定氮法测定;铵态氮(NH4+-N)和硝态氮(NO3–-N)采用2 mol/L的氯化钾溶液提取–流动分析仪(AA3,德国)测定;土壤容重(BD)采用环刀法测定。不同有机肥施用量下土壤理化性质见表 1。
|
|
表 1 不同有机肥施用量下土壤理化性质变化 Table 1 Changes of soil physicochemical properties under different application amounts of organic fertilizer |
土壤动物根据体宽分为小型(平均体宽小于0.2 mm)、中型(平均体宽在0.2 ~ 2 mm)、大型(平均体宽大于2 mm)[24-25],本研究中捕获分离的土壤动物为体宽小于2 mm的中小型土壤动物。根据个体数与总个体数比值不同,将中小型土壤动物优势度划分为优势类群(> 10%)、常见类群(1% ~ 10%)和稀有类群(< 1%)。根据土壤动物食性和生活型差异[26],将土壤动物分为植食性(phytophage)、捕食性(predators)、腐食性(saprozoic)、杂食性(omnivores)。采用Shannon-Wiener多样性指数、Pielou均匀度指数、Margalef丰富度指数和Simpson优势度指数评估中小型土壤动物时空动态特征。
采用SPSS 22.0进行方差分析,检验各处理、取样时期对中小型土壤动物群落的影响,且在方差分析前,对方差分析的前提假设(正态性和方差齐性)进行验证。数据处理与图表制作采用Excel 2010、Canoco 5.0、Origin 2021和Sigmaplot 12.5。采用Canoco 5.0进行冗余分析(RDA),评估2018—2019年中小型土壤动物优势类群和常见类群个体数与土壤环境因子之间的变化关系,在进行排序分析前,通过方差膨胀因子(VIF)分析将自相关性较高(> 10)的环境变量进行剔除,并通过蒙特卡洛检验分析环境变量解释显著性。利用R语言vegan包构建主响应曲线(PRC),分析2018—2019年中小型土壤动物优势类群和常见类群对有机肥施用量的动态响应。
2 结果与分析 2.1 不同有机肥施用量下中小型土壤节肢动物群落组成试验区2018—2019年2年4个生育时期8次取样,共捕获中小型土壤动物509 786头,隶属于12目66科(表 2)。矮蒲螨科(Pygmephoridae)和等节

|
|
表 2 有机肥料不同施用量下中小型土壤节肢动物群落组成 Table 2 Community compositions of meso-micro soil arthropods under different application amounts of organic fertilizer |
由2018年和2019年中小型土壤节肢动物总个体数和总类群数的变化(图 2)可知,中小型土壤节肢动物总个体数均随有机肥施用量增加呈上升趋势,T4处理在2018年显著增加(P < 0.05),T3和T4处理在2019年显著增加(P < 0.05),且年度间中小型土壤节肢动物总个体数变化主要受矮蒲螨科(Pygmephoridae)数量变化的影响(表 1);中小型土壤节肢动物的总类群数在有机肥不同施用量下未发生显著变化,但随着施肥年限的增加小黑螨科(Caligonellidae)、表刻螨科(Epicriidae)、巨螯螨科(Macrochelidae)、洼甲螨科(Camisiidae)及鳞
|
(柱图上方不同小写字母表示同一年份不同处理之间差异显著(P < 0.05)) 图 2 不同有机肥施用量下中小型土壤节肢动物个体数和类群数变化 Fig. 2 Changes in the number of individuals and taxa of meso-micro soil arthropods under different application amounts of organic fertilizer |
由图 3可知,不同取样时期中小型土壤节肢动物个体数和类群数变化趋势并不一致。2018年和2019年4个取样时期中小型土壤节肢动物的个体数在T3和T4处理中均呈现先增加后降低的趋势,拐点分别出现在2018年7月和2019年8月,且相较于T1处理,T4处理中小型土壤节肢动物的个体数在2018年7月、2019年8月与2019年9月均显著增加(P < 0.01)。从类群数来看,T3处理下中小型土壤节肢动物类群数较其他处理具有一定优势,其中2018年7月与2019年8月T3处理土壤动物类群数显著高于T1处理(P < 0.05)。
|
(图中*、**分别表示在P < 0.05、P < 0.01水平上处理间差异显著;下同) 图 3 不同有机肥施用量下土壤动物个体数和类群数动态变化 Fig. 3 Dynamic changes of individual number and taxa of meso-micro soil arthropods in different application amounts of organic fertilizer |
比较2018年和2019年中小型土壤节肢动物个体数和类群数的变化(图 4),从个体数来看,0 ~ 10 cm土层,T4处理在2018年和2019年均显著高于T1和T2处理(P < 0.05);10 ~ 20 cm土层,T3和T4处理在2019年显著高于T1处理(P < 0.05);20 ~ 30 cm土层,T3和T4处理在2019年显著高于T1和T2处理(P < 0.05);在垂直方向上,随土层加深,中小型土壤节肢动物个体数垂直递减,且各土层间差异显著(P < 0.05)。从类群数上看,0 ~ 10 cm土层,各处理在2018年无显著变化,T3和T4处理在2019年显著高于T1处理(P < 0.05);10 ~ 20 cm土层,T3处理在2018年显著高于其他处理(P < 0.05),2019年各处理类群数变化无显著差异;20 ~ 30 cm土层,中小型土壤节肢动物类群数在2018年以T1处理最高,在2019年各处理间无显著变化;在垂直方向上,随土层加深,中小型土壤节肢动物类群数垂直递减,且各土层间差异显著(P < 0.05)。总体上,中小型土壤节肢动物个体数随有机肥施用量增加在各土层均表现为增加趋势,且在2019年变化更为显著,而类群数随有机肥施用量增加2018年在各层变化显著,2019年整体上趋于稳定。
|
(图中不同小写字母表示同一土层不同有机肥施用量间差异显著(P < 0.05),不同大写字母表示不同土层间差异显著(P < 0.05)) 图 4 不同土层中小型土壤节肢动物个体数和类群数变化 Fig. 4 Changes of individual and taxa numbers of meso-micro soil arthropods in different soil layers |
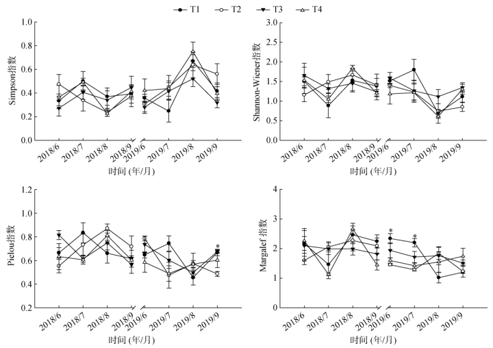
由图 5可知,有机肥不同施用量在2018年对中小型土壤节肢动物Simpson、Shannon-Wiener、Pielou和Margalef指数无显著影响。但随着施肥年限的增加,2019年相较于T1处理,Margalef指数在6、7月随有机肥施用量的增加呈下降趋势,且均在T2处理显著下降;Pielou指数在9月T2处理中显著降低。整体上,中小型土壤节肢动物的多样性在T2处理下发生显著变化。
|
图 5 不同有机肥施用量下中小型土壤节肢动物群落多样性动态变化 Fig. 5 Dynamic changes of community diversity of meso-micro soil arthropods under different application amounts of organic fertilizer |
多重方差分析结果(表 3)表明,中小型土壤节肢动物群落各指标对采样时间和有机肥施用量的响应不同。2018年,中气门亚目对采样时间及有机肥施用量均响应显著(P < 0.05),腐食性及植食性微节肢动物个体数对采样时间响应敏感(P < 0.05),Simpson指数与Shannon-Wiener指数对有机肥施用量响应极显著(P < 0.01)。2019年,前气门亚目对采样时间及有机肥施用量均响应显著(P < 0.05),其他及植食性中小型土壤节肢动物对采样时间响应显著(P < 0.05),腐食性土壤动物对有机肥施用量响应显著(P < 0.05)。
|
|
表 3 中小型土壤节肢动物主要类群、功能群和各生态指数在不同采样时间和有机肥施用量下的方差分析 Table 3 ANOVA of major groups, function groups and ecological indexes of meso-micro soil arthropods under different sampling time and organic fertilizer amounts |
主响应曲线(PRC)可综合反映中小型土壤节肢动物群落随时间的变化规律,直观呈现不同施肥量处理与对照在各时间点的差异,并能反映驱动该差异的主导因子。本研究以T1处理为对照基线,T3和T4处理下在2018年7月土壤动物群落动态变化明显区别于T1处理,矮蒲螨科(Pygmephoridae)、等节




|
(Microdispidae:微离螨科;Oppiidae:奥甲螨科;Ameroseiidae:美绥螨科;Laelapidae:厉螨科;Staphylinidae:隐翅甲科;Quadroppiidae:四奥甲螨科;Parasitidae:寄螨科;Phytoseiidae:植绥螨科;Isotomidae:等节 科;Pygmephoridae:矮蒲螨科;Zerconidae:虫穴螨科;Pachylaelapidae:厚厉螨科;Banksinomidae:邦甲螨科。下同)
图 6 不同有机肥施用量下中小型土壤节肢动物群落变化的主响应曲线 Fig. 6 Principal response curves of meso-micro soil arthropods community changes under different application amounts of organic fertilizer |
如图 7所示,对2018年和2019年中小型土壤节肢动物中优势类群和常见类群与环境因子进行冗余分析(RDA),蒙特卡洛显著性检验结果显示,第一轴均达到显著水平(P < 0.05)。随着有机肥的施用,土壤养分含量和土壤动物数量提高,2019年RDA排序图较2018年表现出较集中的趋势。2018年土壤环境因子解释了98.79% 中小型土壤节肢动物类群的变异,其中轴1解释了88.47%,轴2解释了10.32%;OM(P=0.035)、AK(P=0.048)与BD(P=0.048)的影响达到显著水平,且微离螨科(Microdispidae)、矮蒲螨科(Pygmephoridae)、植绥螨科(Phytoseiidae)等与排序轴1呈正相关,等节

|
图 7 2018—2019年中小型土壤节肢动物主要类群个体数与土壤环境因子的冗余分析 Fig. 7 Redundancy analysis of individual number of major groups of meso-micro soil arthropods and soil environment 2018—2019 |
两年的研究表明,施用有机肥能够提高中小型土壤节肢动物个体数,且以T4处理下个体数提升最为明显(图 2),这主要和有机肥的特性有关。有机肥作为外源碳的投入不仅可以促进土壤有机碳的积累,提高土壤速效养分(表 1),还可以促进微生物的活性,提高土壤中腐殖质的降解[27],缓解中小型土壤节肢动物的养分限制,为中小型土壤节肢动物提供充足的食物来源,加快中小型土壤节肢动物的群落发展。这与许多证明施肥对土壤动物丰度有积极贡献的研究结果一致[28-29]。此外,T4处理下土壤硝态氮含量的显著增加(表 1),使得土壤硝化作用增强,铵态氮在硝化细菌的作用下转化为硝态氮,释放出H+[30],使土壤pH显著下降(表 1)。而RDA结果显示,在2018年与2019年各处理大部分中小型土壤节肢动物与土壤pH呈负相关关系(图 7),即pH的降低能够促进中小型土壤节肢动物的群落发展。可能是pH的降低,使得水解阳离子增多,Fe3+溶解度的变化,增加了矿物表面反应性与交换性阳离子的丰度,使得更多的有机碳结合在矿物表面[31],而H+的增加可以通过解吸矿物表面的碱金属离子(钙镁等)降低有机碳在矿物表面的稳定性,增加土壤动物对食物的可获得性,从而保障土壤动物群落的可持续发展[32]。但由于有机肥料不同施肥量在提高土壤养分方面存在差异,导致其在改善土壤理化性质和对中小型土壤节肢动物群落结构的影响方面存在差异[33-35],如矮蒲螨科(Pygmephoridae)和等节

土壤动物受栖息环境的影响往往表现出一定的空间分布格局,而土壤动物分布的空间格局既取决于自身的特征,又与栖息环境密切相关,自然环境的演变以及人为的扰动,往往导致土壤动物种群时空特征发生显著的变化[36]。中小型土壤节肢动物的个体数和类群数表现出显著的时间差异,主要受不同时期土壤温湿度差异、土壤理化性质变化等影响。本研究显示,中小型土壤节肢动物个体数和类群数在各处理间最大值均集中在7、8月,这可以从人为干扰和气候变化方面解释。耕地作为人工周期性扰动生态系统的一个典型例子,对地上作物或地下生物均具有一定影响[37-38]。该地区作物播种一般在5—6月,耕作打破了原来地下土壤动物群落结构的动态平衡,土壤动物个体数会有所下降;7、8月良好的水热条件,加快了有机肥的周转,在增加中小型土壤节肢动物食物来源的基础上,加大了土壤孔隙,疏松了土壤表层[39-40],为中小型土壤动物的生存和繁殖提供了充足的营养物质和良好的有氧环境,此时由于前气门亚目与中气门亚目等土壤动物对采样时间和有机肥施用量响应敏感(表 3),能够迅速增加;而9月气温的急剧下降(图 1),使中小型土壤节肢动物个体数和类群数又呈下降的趋势。
在垂直方向上,中小型土壤节肢动物个体数随有机肥施入量增加在各土层均表现为增加趋势,且个体数和类群数均随土层加深而逐渐减少(图 4)。这可能是因为随着有机肥施入量的增加,土壤养分资源的积累能够支持更多土壤动物的生命活动[41],保障了中小型土壤节肢动物的群落发展;而随着土壤深度的增加,土壤动物对养分的可及性减弱,且土壤容重的增大,孔隙度的减小,能够供土壤动物呼吸的氧气减少,其成为中小型土壤节肢动物地下分布的限制因子[42],同时,由于有机肥主要分布在土壤表层,0 ~ 10 cm土层的中小型土壤节肢动物能够优先获取养分,更有利于生存。
3.3 中小型土壤节肢动物群落多样性分布差异中小型土壤节肢动物的多样性特征在有机肥不同施入量下呈现不同的变化趋势。本研究表明,2018年中小型土壤节肢动物的多样性特征未发生显著变化,结合环境因子与中小型土壤节肢动物的RDA结果,可能是速效钾含量的增加能够适当地促进作物的生长[43],为中小型土壤节肢动物提供较多的资源,从而促进中小型土壤节肢动物类群的共同发展,但在短时间内并未发生显著变化。随着有机肥施用年限的增加,2019年中小型土壤节肢动物丰富度指数与均匀度指数显著降低(图 5),一方面,可能是随有机肥料施用量的增加土壤有效磷含量显著上升(表 1),而有效磷的增加会增强分解微生物残体酶的活性,加速微生物残体的循环[44],使得微离螨科(Microdispidae)、矮蒲螨科(Pygmephoridae)等腐食性土壤动物单一类群优势显著(表 2),而单一优势类群的发展通常会对常见或稀有类群的生长具有限制作用,从而降低了中小型土壤节肢动物的丰富度与均匀度指数;另一方面,中小型土壤节肢动物的丰富度变化集中于6、7月,此时良好的水热条件,有利于湿生无脊椎动物原

两年有机肥添加能够显著改变东北黑土区中小型土壤节肢动物的群落组成,与T1处理相比,中小型土壤动物的个体数随施肥量与施肥年限的增加呈现增加的趋势,且主要在T4处理变化显著,表明等量无机肥施用条件下高量有机肥(45 000 kg/hm2)是促进中小型土壤节肢动物群落发展的最佳施肥量。两年的月动态监测结果表明,有机肥施用与7、8月良好的水热条件对土壤动物具有正向复合作用,且在时间尺度上矮蒲螨科(Pygmephoridae)、等节
| [1] |
Song W F, Shu A P, Liu J A, et al. Effects of long-term fertilization with different substitution ratios of organic fertilizer on paddy soil[J]. Pedosphere, 2022, 32(4): 637-648 DOI:10.1016/S1002-0160(21)60047-4 ( 0) |
| [2] |
Xin L J. Chemical fertilizer rate, use efficiency and reduction of cereal crops in China, 1998–2018[J]. Journal of Geographical Sciences, 2022, 32(1): 65-78 DOI:10.1007/s11442-022-1936-2 ( 0) |
| [3] |
Blanco-Canqui H, Schlegel A J. Implications of inorganic fertilization of irrigated corn on soil properties: Lessons learned after 50 years[J]. Journal of Environmental Quality, 2013, 42(3): 861-871 DOI:10.2134/jeq2012.0451 ( 0) |
| [4] |
Liu H W, Zhang X K, Zhang G Z, et al. Partial organic substitution weakens the negative effect of chemical fertilizer on soil micro-food webs[J]. Journal of Integrative Agriculture, 2022, 21(10): 3037-3050 DOI:10.1016/j.jia.2022.07.043 ( 0) |
| [5] |
Gasanova E S, Kozhokina A N, Myazin N G, et al. Results of the changes in the physicochemical properties and fractional group composition of the humus-leached chernozem under the influence of fertilizers and ameliorant[J]. IOP Conference Series: Earth and Environmental Science, 2020, 422(1): 012122 DOI:10.1088/1755-1315/422/1/012122 ( 0) |
| [6] |
Xu P D, Wu J, Wang H, et al. Combined application of chemical fertilizer with green manure increased the stabilization of organic carbon in the organo-mineral complexes of paddy soil[J]. Environmental Science and Pollution Research International, 2023, 30(2): 2676-2684 DOI:10.1007/s11356-022-22315-2 ( 0) |
| [7] |
邵洪涛. 生产系统有效性的评价与诊断研究[D]. 沈阳: 沈阳工业大学, 2006.
( 0) |
| [8] |
唐静, 邓承佳, 袁访, 等. 石灰性旱地土壤施用生物质炭对土壤节肢动物群落的影响[J]. 土壤, 2021, 53(6): 1228-1235 DOI:10.13758/j.cnki.tr.2021.06.017 ( 0) |
| [9] |
王文东, 红梅, 刘鹏飞, 等. 施用有机肥对黑土区农田大型土壤动物群落的影响[J]. 中国农业大学学报, 2019, 24(5): 174-184 ( 0) |
| [10] |
刘鹏飞, 红梅, 平翠枝, 等. 玉米间作种植对黑土区农田中小型土壤动物群落的影响[J]. 中国土壤与肥料, 2018(6): 91-97 ( 0) |
| [11] |
Peng Y, Peñuelas J, Vesterdal L, et al. Responses of soil fauna communities to the individual and combined effects of multiple global change factors[J]. Ecology Letters, 2022, 25(9): 1961-1973 DOI:10.1111/ele.14068 ( 0) |
| [12] |
Wang S J, Tan Y, Fan H, et al. Responses of soil microarthropods to inorganic and organic fertilizers in a poplar plantation in a coastal area of Eastern China[J]. Applied Soil Ecology, 2015, 89: 69-75 DOI:10.1016/j.apsoil.2015.01.004 ( 0) |
| [13] |
Li Q J, Zhang D Q, Cheng H Y, et al. Organic fertilizers activate soil enzyme activities and promote the recovery of soil beneficial microorganisms after dazomet fumigation[J]. Journal of Environmental Management, 2022, 309: 114666 DOI:10.1016/j.jenvman.2022.114666 ( 0) |
| [14] |
李媛媛, 廖家辉, 许子乾, 等. 有机肥和植被去除管理对人工林土壤节肢动物多样性的影响[J]. 生态学报, 2021, 41(7): 2761-2769 ( 0) |
| [15] |
Sheoran H S, Kakar R, Kumar N, et al. Impact of organic and conventional farming practices on soil quality: A global review[J]. Applied Ecology and Environmental Research, 2019, 17(1): 951-968 DOI:10.15666/aeer/1701_951968 ( 0) |
| [16] |
马尚飞, 红梅, 赵巴音那木拉, 等. 模拟氮沉降对草甸草原中小型土壤节肢动物群落的影响[J]. 土壤, 2021, 53(4): 755-763 DOI:10.13758/j.cnki.tr.2021.04.012 ( 0) |
| [17] |
Dermiyati, Niswati A, Sanjaya B P, et al. Soil fauna population during the maize (Zea maysl.) growth with the addition of organonitrophos, inorganic fertilizer and biochar[J]. IOP Conference Series: Earth and Environmental Science, 2018, 215: 012003 DOI:10.1088/1755-1315/215/1/012003 ( 0) |
| [18] |
宋以玲, 于建, 陈士更, 等. 化肥减量配施生物有机肥对油菜生长及土壤微生物和酶活性影响[J]. 水土保持学报, 2018, 32(1): 352-360 ( 0) |
| [19] |
王文东, 红梅, 赵巴音那木拉, 等. 不同培肥措施对黑土区农田中小型土壤动物群落的影响[J]. 应用与环境生物学报, 2019, 25(6): 1344-1351 ( 0) |
| [20] |
IUSS Working Group W R B. World reference base for soil resources[R]. World Soil Resources Report, No. 103. Rome: FAO, 2006.
( 0) |
| [21] |
尹文英. 中国土壤动物检索图鉴[M].
科学出版社, 北京, 1998
( 0) |
| [22] |
能乃扎布. 内蒙古昆虫[M].
内蒙古人民出版社, 呼和浩特, 1999
( 0) |
| [23] |
鲍士旦. 土壤农化分析(3版)[M].
中国农业出版社, 北京, 2000
( 0) |
| [24] |
邵元虎, 张卫信, 刘胜杰, 等. 土壤动物多样性及其生态功能[J]. 生态学报, 2015, 35(20): 6614-6625 ( 0) |
| [25] |
李琦聪. 不同施肥措施对土壤微节肢动物群落特征及其摄食活性的影响[D]. 哈尔滨: 东北农业大学, 2022.
( 0) |
| [26] |
徐国瑞, 张育新, 张霜, 等. 海拔对表居土壤动物不同取食功能群多度分布的影响[J]. 土壤学报, 2017, 54(1): 237-245 ( 0) |
| [27] |
Shu X Y, Liu W J, Huang H, et al. Meta-analysis of organic fertilization effects on soil bacterial diversity and community composition in agroecosystems[J]. Plants, 2023, 12(22): 3801 DOI:10.3390/plants12223801 ( 0) |
| [28] |
Wang S J, Chen H Y H, Tan Y, et al. Fertilizer regime impacts on abundance and diversity of soil fauna across a poplar plantation chronosequence in coastal Eastern China[J]. Scientific Reports, 2016, 6: 20816 DOI:10.1038/srep20816 ( 0) |
| [29] |
Zhang X K, Jiang Y, Liang L, et al. Response of soil nematode communities to long-term application of inorganic fertilizers in the black soil of Northeast China[J]. Frontiers of Biology in China, 2009, 4(1): 111-116 DOI:10.1007/s11515-008-0107-x ( 0) |
| [30] |
Qin J, Liu H M, Zhao J N, et al. The roles of bacteria in soil organic carbon accumulation under nitrogen deposition in Stipa baicalensis steppe[J]. Microorganisms, 2020, 8(3): 326 DOI:10.3390/microorganisms8030326 ( 0) |
| [31] |
武振丹, 马尚飞, 卢俊艳, 等. 贝加尔针茅草甸草原土壤有机碳组分对长期氮素添加的响应[J]. 土壤学报, 2023, 60(5): 1520-1530 ( 0) |
| [32] |
Jilling A, Keiluweit M, Gutknecht J L M, et al. Priming mechanisms providing plants and microbes access to mineral-associated organic matter[J]. Soil Biology and Biochemistry, 2021, 158: 108265 DOI:10.1016/j.soilbio.2021.108265 ( 0) |
| [33] |
Mousavi H, Cottis T, Hoff G, et al. Nitrogen enriched organic fertilizer (NEO) and its effect on ryegrass yield and soil fauna feeding activity under controlled conditions[J]. Sustainability, 2022, 14(4): 2005 DOI:10.3390/su14042005 ( 0) |
| [34] |
Qiu S J, Gao H J, Zhu P, et al. Changes in soil carbon and nitrogen pools in a Mollisol after long-term fallow or application of chemical fertilizers, straw or manures[J]. Soil and Tillage Research, 2016, 163: 255-265 DOI:10.1016/j.still.2016.07.002 ( 0) |
| [35] |
Li L J, Han X Z. Changes of soil properties and carbon fractions after long-term application of organic amendments in Mollisols[J]. CATENA, 2016, 143: 140-144 DOI:10.1016/j.catena.2016.04.007 ( 0) |
| [36] |
Coudrain V, Hedde M, Chauvat M, et al. Temporal differentiation of soil communities in response to arable crop management strategies[J]. Agriculture, Ecosystems & Environment, 2016, 225: 12-21 ( 0) |
| [37] |
Miller J J, Battigelli J P, Beasley B W, et al. Response of soil mesofauna to long-term application of feedlot manure on irrigated cropland[J]. Journal of Environmental Quality, 2017, 46(1): 185-192 DOI:10.2134/jeq2016.08.0318 ( 0) |
| [38] |
Wang W P, Zhang Y F, Li H. Quantification of soil structure via synchrotron X-ray tomography after 22 years of fertilization[J]. European Journal of Soil Science, 2021, 72(5): 2115-2127 DOI:10.1111/ejss.13108 ( 0) |
| [39] |
武振丹, 红梅, 马尚飞, 等. 长期养分添加对贝加尔针茅草原中小型土壤节肢动物群落的影响[J]. 应用与环境生物学报, 2022, 28(6): 1534-1541 ( 0) |
| [40] |
Moradi J, John K, Vicentini F, et al. Vertical distribution of soil fauna and microbial community under two contrasting post mining chronosequences: Sites reclaimed by alder plantation and unreclaimed regrowth[J]. Global Ecology and Conservation, 2020, 23: e01165 DOI:10.1016/j.gecco.2020.e01165 ( 0) |
| [41] |
罗熳丽. 川南马尾松人工林中小型土壤动物群落对林窗改造的响应[D]. 雅安: 四川农业大学, 2020.
( 0) |
| [42] |
杨旭, 林琳, 张雪萍, 等. 松嫩平原典型黑土耕作区中小型土壤动物时空分布特征[J]. 生态学报, 2016, 36(11): 3253-3260 ( 0) |
| [43] |
祝元丽, 冯向阳, 闫庆武, 等. 基于梯度提升决策树的东北黑土区农田土壤有机碳空间分异及主控因子研究[J/OL]. 中国环境科学, 2024: 1–14. https://doi.org/10.19674/j.cnki.issn1000-6923.20240016.004.
( 0) |
| [44] |
Li J H, Zhang R, Cheng B H, et al. Effects of nitrogen and phosphorus additions on decomposition and accumulation of soil organic carbon in alpine meadows on the Tibetan Plateau[J]. Land Degradation & Development, 2021, 32(3): 1467-1477 ( 0) |
| [45] |
Zagatto M R G, Zanão L A Jr, de Araújo Pereira A P, et al. Soil mesofauna in consolidated land use systems: How management affects soil and litter invertebrates[J]. Scientia Agricola, 2019, 76(2): 165-171 DOI:10.1590/1678-992x-2017-0139 ( 0) |
2. Hulunbuir Agricultural Technology Extension Center, Hulunbuir, Inner Mongolia 021000, China;
3. Institute of Grassland Research, Chinese Academy of Agricultural Sciences, Hohhot 010010, China;
4. Ulan Hot Agricultural Technology Extension Center, Ulan Hot, Inner Mongolia 137400, China;
5. Inner Mongolia Key Laboratory of Soil Quality and Nutrient Resources, Key Laboratory of Agricultural Ecological Security and Green Development at Universities of Inner Mongolia Autonomous Region, Hohhot 010018, China
2024, Vol. 56



0)