截至2019年,我国仍有占耕地总面积22% 的耕地(4.44亿亩,15亩=1 hm2)属于低产田[1]。而且,我国耕地仍然普遍存在生产障碍因素突出、土壤耕层结构差、地力低下、土壤养分矿化和生物代谢能力弱等问题,正限制着农业的可持续发展[1]。因此,探索提升耕地质量、培肥农田土壤的途径及其机理对“藏粮于地、藏粮于技”国家战略和农业可持续发展具有重要意义。
土壤耕作和秸秆还田及其配合都是提升耕地质量的有效措施,都可以通过改变土壤结构,提高有机质[2]和土壤养分[3]含量,调节土壤酶活性[4],最终协调土壤水、肥、气、热[5]。耕作方式对土壤特性和作物生产的影响主要和其对土壤扰动程度和秸秆翻混质量有关[3]。旋耕具有作业简单、效率高、动力要求低等优点,是当前最主要的耕作方式,但其作业深度仅15 cm左右,不仅在秸秆还田量大时对秸秆的混埋不透彻而影响后期播种质量,而且容易在次表层(20 cm)形成犁底层,因而在改善土壤理化及生物特性和维持农田持久生产力方面存在问题[6]。研究普遍表明,作业深度25 ~ 35 cm的翻耕与旋耕相比,不仅能增加耕层厚度、打破犁底层、降低土壤容重,而且可将深层土壤翻到表层,表层熟土翻入深层,促进土壤养分矿化、层级平衡[3, 7-8],从而显著提高土壤酶活性[9]。也有研究表明,翻耕较旋耕,0 ~ 20 cm各层次的土壤容重有所降低但差异未达到显著水平[2],对土壤养分和酶活性的调控效应也受秸秆还田等其他田间管理措施的影响[10-11]。大量研究表明,秸秆还田可将秸秆中富含的有机物质、营养元素归还土壤,不仅利于降低土壤容重,增加土壤有机质、氮磷钾含量[3],改善土壤酶活性[4],还可减轻因秸秆焚烧、堆放带来的环境压力[12],但秸秆还田后若耕作或养分管理不到位也会影响作物生产[13]。
冬小麦–夏大豆(简称麦–豆)轮作是一种典型的禾本科与豆科作物、非固氮与固氮作物、高淀粉作物与高蛋白作物轮换种植模式,既具有较好的保持水土、培肥地力和提高产量的作用,又可发挥豆科作物生物固氮作用,还可推动大豆种植,减轻中国大豆进口的压力,是我国常见的种植模式[14-16]。沈吉成等[17]在陇中旱农区的研究表明,可以通过耕作措施提高麦–豆轮作田土壤真菌群落丰富度和多样性。孔德杰等[18-19]研究发现,麦–豆长期轮作下秸秆还田较秸秆不还田使0 ~ 20 cm和20 ~ 40 cm土层土壤有机碳、水溶性有机碳、微生物生物量碳、全氮、矿物质氮、硝态氮、微生物生物量氮含量显著增加,且增幅随秸秆还田量的增加而增加。然而,前人的研究多集中在耕作方式或秸秆还田单一措施对麦–豆轮作田土壤性状和作物产量的调控作用,且研究土层多为0 ~ 20 cm和20 ~ 40 cm,未考虑到因耕作对土壤的扰动深度不同而引起的土壤特性变化。因此,本研究利用始于2009年的旱地麦–豆轮作栽培模式田间定位试验,研究翻耕秸秆不还田、翻耕秸秆还田、旋耕秸秆不还田和旋耕秸秆还田对0 ~ 5、5 ~ 15、15 ~ 35和35 ~ 60 cm土层土壤理化特性及酶活性的影响,以期为提升麦–豆轮作田土壤质量提供理论依据和技术参考。
1 材料与方法 1.1 试验地概况试验地位于河南省洛阳市河南科技大学开元校区试验场(112.25°E,34.36°N),该地区属于半湿润易旱区,海拔150 m,年均气温14.6 ℃,年降水量400 ~ 800 mm,且60% 左右集中于7—9月。田间定位试验开始于2009年10月,在定位试验开始之后一直采用麦–豆轮作。土壤为壤质土,2009年试验开始之前,0 ~ 20 cm土层有机质含量15.9 g/kg,碱解氮含量36.3 mg/kg, 有效磷含量21.0 mg/kg,速效钾含量120.0 mg/kg,pH 8.1。
1.2 试验设计和田间管理试验采用随机区组设计,共设翻耕秸秆不还田(PTNR)、翻耕秸秆还田(PTSR)、旋耕秸秆不还田(RTNR)和旋耕秸秆还田(RTSR) 4个处理。其中,①PTNR是在前茬收获后将秸秆清出小区,均匀撒施肥料后立即翻耕30 ~ 35 cm,接着耙磨、播种,秸秆不还田;②PTSR的施肥耕作管理同PTNR,出苗前将粉碎的前茬秸秆(5 cm左右)均匀覆盖还田于原小区;③RTNR是在前茬收获后将秸秆清出小区,均匀撒施肥料后立即旋耕15 cm,接着播种,秸秆不还田;④RTSR的施肥耕作管理同RTNR,出苗前将粉碎的前茬秸秆(5 cm左右)均匀覆盖还田于原小区。供试冬小麦品种为洛旱6号,大豆品种为中黄13。小区面积为60 m2(20 m×3 m),3次重复。冬小麦于每年10月中下旬播种,播量为180 kg/hm2,行距20 cm,播深4 ~ 5 cm,翌年5月底或6月上旬收获。夏大豆每年6月上中旬播种,10月上旬收获;行距40 cm,株距13 ~ 15 cm。2种作物均按当地习惯采用机械条播。从2009年10月开始未进行灌溉,所有肥料均底施。所用肥料为复合肥(N︰P2O5︰K2O=20︰15︰10),施用量为麦季900 kg/hm2,折合N 180 kg/hm2、P2O5 135 kg/hm2和K2O 90 kg/hm2;大豆季300 kg/hm2,折合N 60 kg/hm2、P2O5 45 kg/hm2和K2O 30 kg/hm2。其他田间管理同当地丰产田。
1.3 测定项目和方法 1.3.1 土壤容重的测定土壤容重采用环刀法,于2018—2019年度小麦收获后第2天进行(2019年6月),分0 ~ 5、5 ~ 15、15 ~ 35和35 ~ 60 cm 4个层次采集原状土样,每个层次4次重复,每个小区3次重复,带回实验室105 ℃烘24 h后称质量,测定土壤容重。
1.3.2 土壤养分含量和酶活性的测定在取土壤容重样品的同时,每个小区采用五点取样法,用直径4 cm的不锈钢土钻分0 ~ 5、5 ~ 15、15 ~ 35和35 ~ 60 cm 4个土层采集土样,同一土层5个样点的土壤混合均匀后留取400 g左右带回实验室。将样品剔除石砾及植物根系、残茬等杂物后分成2份,一份置于– 20 ℃冰箱保存,用于测定土壤酶活性;一份风干,风干后分成2份分别磨碎过1 mm和0.15 mm尼龙筛,用于测定土壤养分含量。土壤养分含量测定参照鲍士旦[20]的方法:土壤有机质含量采用重铬酸钾外加热法,土壤全氮含量采用硫酸钾硝化–半微量凯氏定氮法,有效磷含量采用碳酸氢钠比色法,速效钾含量采用火焰光度计法。土壤酶活性的测定参照关松荫[21]的方法:转化酶活性采用3.5-二硝基水杨酸比色法,脲酶活性采用靛酚蓝比色法,蛋白酶活性采用茚三酮比色法,碱性磷酸酶活性采用磷酸苯二钠比色法,过氧化氢酶活性采用高锰酸钾滴定法。
1.4 数据统计分析试验数据采用SPSS 17.0统计分析软件进行差异显著性检验(LSD法),利用Excel 2010软件绘制图表。
2 结果与分析 2.1 耕作方式和秸秆还田对旱地麦–豆轮作田土壤容重的影响由表 1可以看出,0 ~ 60 cm土层的土壤容重随着土层深度的增加而提高,且耕作方式和秸秆还田对土壤容重的影响效应因土层而异。耕作方式对15 ~ 35、35 ~ 60 cm土层土壤容重、秸秆还田对0 ~ 5、5 ~ 15 cm土层土壤容重具有显著的调控效应,但耕作方式和秸秆还田互作对各土层土壤容重都无显著影响。与翻耕相比,旋耕有提高15 ~ 35 cm土层土壤容重,而降低35 ~ 60 cm土层土壤容重的趋势,但对各土层的影响均未达到显著水平。秸秆还田与秸秆不还田相比,两种耕作方式下0 ~ 35 cm各土层土壤容重均降低,且0 ~ 15 cm土层表现出显著差异(P < 0.05),0 ~ 5、5 ~ 15 cm土层翻耕下的降幅分别为2.9% 和2.8%,旋耕下分别为3.6% 和2.9%;但两种耕作方式下秸秆还田对35 ~ 60 cm土层土壤容重无影响。与PTSR相比,RTSR的土层容重在15 ~ 35 cm土层有所提高(6.6%),而在0 ~ 15、35 ~ 60 cm表现为降低,但均未达到显著水平。
|
|
表 1 不同处理对土壤容重的影响 Table 1 Effects of different treatments on soil bulk densities |
由图 1A和图 1B可知,各处理0 ~ 60 cm土层有机质和全氮含量均随着土层深度的增加而逐渐降低,呈现表层聚集的现象。耕作方式和秸秆还田及二者互作对0 ~ 15 cm土层土壤有机质和全氮含量的影响均达到显著水平(P < 0.05);而15 ~ 35 cm土层有机质和全氮含量,以及35 ~ 60 cm土层全氮含量在部分处理间有显著差异。与翻耕相比,旋耕使0 ~ 5、5 ~ 15 cm土层土壤有机质和全氮含量在秸秆不还田处理下显著降低,秸秆还田处理下显著提高(P < 0.05);15 ~ 35 cm土层秸秆不还田下变幅不显著,秸秆还田下土壤有机质和全氮含量均显著降低;35 ~ 60 cm土层有机质含量无显著差异,土壤全氮含量秸秆不还田下降幅不显著但秸秆还田下显著提高8.5%。与秸秆不还田相比,秸秆还田有利于提高0 ~ 35 cm各土层的有机质和全氮含量,以及35 ~ 60 cm土层的全氮含量,且多数条件下增幅显著。从互作效应看,0 ~ 5、5 ~ 15 cm土层土壤有机质和全氮含量均表现为RTSR > PTSR > PTNR > RTNR,且处理间差异均达到显著水平;RTSR较PTSR、PTNR、RTNR土壤有机质和全氮含量在0 ~ 5 cm土层分别显著提高5.7%、18.6%、49.2% 和22.3%、45.6%、71.6%,在5 ~ 15 cm土层分别显著提高7.7%、24.0%、57.4% 和21.6%、48.6%、67.6%。在15 ~ 35 cm土层,土壤有机质含量表现为PTSR > RTSR > RTNR > PTNR,PTSR较RTSR、RTNR和PTNR分别显著提高15.5%、18.3% 和26.3%,RTSR较PTNR显著提高9.3%,但RTNR与RTSR、PTNR间差异不显著;土壤全氮含量表现为PTSR > RTSR > PTNR > RTNR,PTSR较RTSR、RTNR和PTNR显著提高11.3%、29.5% 和19.7%,PTNR与RTSR、RTNR间差异不显著。在35 ~ 60 cm土层,各处理间土壤有机质含量差异不显著,但全氮含量RTSR较PTSR、PTNR和RTNR分别显著提高8.5%、14.3% 和25.5%。可见,RTSR利于提高0 ~ 5、5 ~ 15 cm土层土壤有机质和全氮含量,PTSR利于提高15 ~ 35 cm土层的土壤有机质和全氮含量。
|
(图中小写字母不同表示同一土层不同处理间差异显著(P < 0.05),下图同) 图 1 不同处理下土壤有机质(A)和全氮(B)含量 Fig. 1 Soil organic matter (A) and total nitrogen (B) contents under different treatments |
由图 2A和图 2B可知,耕作方式对0 ~ 5 cm和5 ~ 15 cm土层土壤有效磷含量以及0 ~ 35 cm土层土壤速效钾含量有显著影响,秸秆还田及耕作方式与秸秆还田互作对0 ~ 35 cm各土层土壤有效磷含量和速效钾含量均具有显著影响,但耕作方式和秸秆还田及二者互作对35 ~ 60 cm土层土壤有效磷和速效钾含量均无显著影响。与翻耕相比,秸秆不还田下旋耕显著降低0 ~ 15 cm土层土壤有效磷和速效钾含量以及15 ~ 35 cm土层速效钾含量;而在秸秆还田下旋耕显著降低15 ~ 35 cm土层土壤有效磷含量,显著提高0 ~ 15 cm土层速效钾含量。与秸秆不还田相比,除旋耕下15 ~ 35 cm土层有效磷含量外,秸秆还田显著提高0 ~ 35 cm各土层的磷钾含量,但对35 ~ 60 cm磷钾含量无显著影响。从互作效应看,0 ~ 5、5 ~ 15 cm土层土壤有效磷和速效钾含量均表现为RTSR > PTSR > PTNR > RTNR,除0 ~ 15 cm土层RTSR与PTSR间有效磷含量差异不显著外,各处理间差异均达到显著水平;其中,RTSR较PTSR、PTNR、RTNR有效磷和速效钾含量,在0 ~ 5 cm土层分别提高3.2%、23.8%、38.6% 和6.4%、23.3%、31.4%,在5 ~ 15 cm土层分别显著提高3.8%、26.6%、38.1% 和6.8%、20.0%、29.9%。在15 ~ 35 cm土层,土壤有效磷含量表现为PTSR > RTSR > RTNR > PTNR,其中PTSR较RTSR、RTNR和PTNR分别显著提高34.0%、43.2% 和47.2%,其他处理间差异不显著;土壤速效钾含量表现为RTSR > PTSR > PTNR > RTNR,除PTSR与RTSR间差异不显著外均达到显著水平,RTSR较PTNR和RTNR分别显著提高11.2% 和16.9%。
|
图 2 不同处理下土壤有效磷(A)和速效钾(B)含量 Fig. 2 Soil available phosphorus (A) and potassium (B) contents under different treatments |
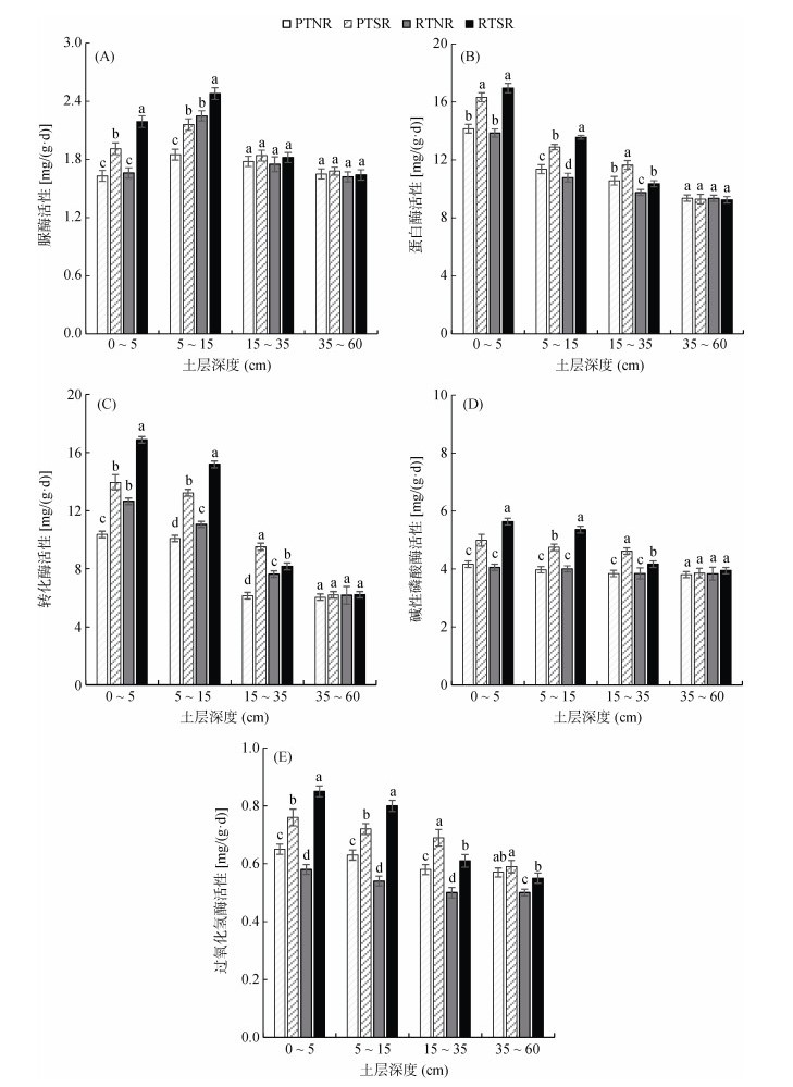
由图 3A可以看出,土壤脲酶活性随土层深度增加呈先升高后下降的趋势,峰值出现在5 ~ 15 cm土层,但处理间仅表层(0 ~ 15 cm)存在显著差异,耕作方式和秸秆还田及二者互作对15 ~ 60 cm土层土壤脲酶活性无显著影响。与翻耕相比,旋耕下0 ~ 5、5 ~ 15 cm土层脲酶活性平均分别显著增加8.3% 和18.2%,且秸秆还田下增幅较高。与秸秆不还田相比,秸秆还田提高了0 ~ 5、5 ~ 15 cm土层土壤脲酶活性,翻耕下分别显著提高17.2% 和16.8%,旋耕下分别显著提高31.9% 和10.2%。从互作效应看,在0 ~ 5 cm土层,土壤脲酶活性表现为RTSR > PTSR > RTNR > PTNR,RTSR较PTSR、PTNR和RTNR分别显著提高14.7%、34.4% 和31.9%;在5 ~ 15 cm土层,土壤脲酶活性表现为RTSR > RTNR > PTSR > PTNR,RTSR较PTSR、PTNR和RTNR分别显著提高14.8%、34.1% 和10.2%。可见,旋耕和秸秆还田均有利于提高土壤脲酶活性,以二者互作RTSR处理效果最优,但仅在表层作用显著。
|
图 3 不同处理下土壤脲酶(A)、蛋白酶(B)、转化酶(C)、碱性磷酸酶(D)和过氧化氢酶(E)活性 Fig. 3 Soil urease (A), protease (B), invertase (C), alkaline phosphatase (D), and catalase (E) activities under different treatments |
图 3B表明,除耕作方式对0 ~ 5 cm土层土壤蛋白酶活性无显著影响外,耕作方式和秸秆还田可显著影响0 ~ 35 cm土层土壤蛋白酶活性,但对35 ~ 60 cm土层土壤蛋白酶活性无显著影响。与翻耕相比,秸秆不还田下,旋耕使5 ~ 15和15 ~ 35 cm土层土壤蛋白酶活性分别显著降低5.1% 和7.7%;秸秆还田下,旋耕使5 ~ 15土层显著增加5.2%,15 ~ 35 cm土层显著降低11.1%。与秸秆不还田相比,秸秆还田利于提高土壤蛋白酶活性,翻耕下0 ~ 5、5 ~ 15和15 ~ 35 cm土层分别显著提高15.3%、13.5% 和10.3%,旋耕下分别显著提高22.4%、25.8% 和6.3%,旋耕下表层土壤增幅大,而翻耕下深层土壤增幅大。从互作效应看,土壤蛋白酶活性0 ~ 5、5 ~ 15 cm土层均表现为RTSR > PTSR > PTNR > RTNR;而15 ~ 35 cm土层则表现为PTSR > PTNR > RTSR > RTNR。
2.3.2 对土壤转化酶和碱性磷酸酶活性的影响土壤转化酶活性和碱性磷酸酶活性随着土层深度增加呈逐渐降低趋势(图 3C、3D)。且除耕作方式以及耕作方式和秸秆还田互作对35 ~ 60 cm土层土壤转化酶活性和碱性磷酸酶活性无显著影响外,耕作方式和秸秆还田及二者互作对0 ~ 35 cm各土层土壤转化酶活性和碱性磷酸酶活性均具有显著影响(图 3C、3D)。与翻耕相比,秸秆不还田下,旋耕的土壤转化酶活性在0 ~ 5、5 ~ 15和15 ~ 35 cm土层分别显著提高21.9%、9.5% 和24.1%;秸秆还田处理下,0 ~ 5和5 ~ 15 cm土层显著提高20.9% 和14.8%,15 ~ 35 cm土层显著降低14.2%。与秸秆不还田相比,秸秆还田利于提高0 ~ 35 cm土层土壤转化酶活性,0 ~ 5、5 ~ 15和15 ~ 35 cm土层翻耕下分别提高34.5%,31.1% 和54.8%,旋耕下分别提高33.5%、37.5% 和7.1%。从互作效应看,在0 ~ 5、5 ~ 15 cm土层土壤转化酶活性均表现为RTSR > PTSR > RTNR > PTNR,RTSR较PTSR、PTNR和RTNR在0 ~ 5 cm土层分别显著提高20.9%、62.7%和33.5%,在5 ~ 15 cm土层分别显著提高14.8%、50.5% 和37.5%;RTSR在15 ~ 35 cm土层的土壤转化酶活性较PTSR显著降低14.2%,而较PTNR和RTNR分别显著提高32.8% 和7.1%。
由图 3D可知,与翻耕相比,秸秆不还田处理下,旋耕对0 ~ 35 cm土层土壤碱性磷酸酶活性无显著影响;秸秆还田下,旋耕使0 ~ 15 cm土层土壤碱性磷酸酶活性显著增加,而15 ~ 35 cm土层显著下降。与秸秆不还田相比,秸秆还田可显著提高0 ~ 35 cm土层土壤碱性磷酸酶活性,0 ~ 5、5 ~ 15和15 ~ 35 cm土层翻耕下增幅分别为19.9%、19.3% 和20.0%,旋耕下分别为38.9%、33.7% 和8.3%。从互作效应看,不同处理对土壤碱性磷酸酶活性的影响因土层而异,在0 ~ 5 cm土层表现为RTSR > PTSR > PTNR > RTNR,RTSR较PTSR、PTNR和RTNR分别显著提高12.8%、35.3% 和38.9%;在5 ~ 15 cm土层表现为RTSR > PTSR > RTNR > PTNR,RTSR较PTSR、PTNR和RTNR分别显著提高12.8%、34.7% 和33.7%;15 ~ 35 cm土层表现为PTSR > RTSR > PTNR=RTNR,PTSR处理较RTSR、PTNR和RTNR分别显著提高10.8%、20.0% 和20.0%。
2.3.3 对土壤过氧化氢酶活性的影响如图 3E所示,除翻耕下秸秆还田在35 ~ 60 cm土层无显著效应外,耕作方式和秸秆还田及二者互作对0 ~ 60 cm各土层土壤过氧化氢酶活性均具有显著影响。旋耕与翻耕相比,秸秆不还田下土壤过氧化氢酶活性在0 ~ 5、5 ~ 15、15 ~ 35和35 ~ 60 cm土层分别显著降低10.8%、14.3%、13.8% 和12.3%;而秸秆还田处理下在0 ~ 15 cm土层显著增加,15 ~ 60 cm土层显著降低。秸秆还田与秸秆不还田相比,除翻耕下在35 ~ 60 cm土层增幅不显著外,无论翻耕还是旋耕,土壤过氧化氢酶活性均显著提高,且旋耕下的增幅明显高于翻耕。从互作效应看,RTSR在0 ~ 15 cm土层具有最高的土壤过氧化氢酶活性,其中,在0 ~ 5 cm土层较PTSR、PTNR和RTNR分别显著提高11.8%、30.8% 和46.6%,在5 ~ 15 cm土层分别显著提高11.1%、27.0% 和48.1%;PTSR在15 ~ 60 cm土层具有最高的土壤过氧化氢酶活性,其中,在15 ~ 35 cm土层较RTSR、PTNR和RTNR分别显著提高13.1%、19.0% 和38.0%,在35 ~ 60 cm土层较RTSR和RTNR分别显著提高7.3% 和18.0%。
2.4 土壤理化性质与土壤酶活性的相关性相关分析结果(表 2)表明,土壤容重与土壤有机质、全氮、有效磷、速效钾含量和脲酶、蛋白酶、转化酶、碱性磷酸酶、过氧化氢酶活性均呈极显著负相关关系。除蛋白酶活性与脲酶活性间的相关性不显著外,所测定的各养分、酶活性指标之间均呈显著正相关关系。说明,耕作方式和秸秆还田对土壤特性的影响是土壤容重、养分含量和酶活性共同作用的结果。
|
|
表 2 麦-豆轮作田土壤理化性质与酶活性的相关性 Table 2 Relationship between soil physiochemical properties and enzyme activities in wheat-soybean rotation filed |
土壤容重是反映土壤物理性质的重要指标,其大小可直接影响土壤通气性、蓄水能力以及作物根系的穿透阻力,进而影响土壤养分的转化与利用以及作物生长发育[22-23]。容重较小的土壤,透气性较好,利于根系下扎,更适于作物生长[23]。旋耕和深翻对土壤扰动的深度和强度不同,对土壤结构破碎和挤压程度也会不同,从而影响土壤容重,且其效应与耕作年限以及是否采取秸秆还田措施有关[24]。本研究表明,两种耕作方式对表层土壤容重的影响较小,旋耕有增加15 ~ 35 cm土层土壤容重的趋势,翻耕有增加35 ~ 60 cm土层土壤容重的趋势,这是由于耕作机械在破碎耕作层土壤的同时,也会在一定程度上压实下层土壤[23],这与王成宝等[25]在连续8年翻耕的试验田中设置连续4年旋耕和翻耕所得到的试验结果相似。此外,秸秆还田可降低0 ~ 35 cm各土层的土壤容重,且影响效应与耕作方式有关,总体表现为旋耕下0 ~ 15 cm土层降幅大,深翻下在15 ~ 35 cm土层降幅大,在35 ~ 60 cm土层无显著变化。说明旋耕有增加深层土壤容重的趋势,秸秆还田利于降低土壤容重,且影响效应与耕作方式有关,旋耕和秸秆还田配合利于降低表层土壤容重,翻耕与秸秆还田配合利于降低较深土层的土壤容重。
3.2 耕作方式和秸秆还田对旱地麦-豆轮作田土壤养分含量的影响土壤养分含量可以直观反映土壤的肥力状况,是评价土壤质量的重要指标。本研究发现,耕作方式对旱地麦–豆轮作区土壤有机质、全氮、有效磷和速效钾含量均具有显著的调控效应,其中旋耕、翻耕分别在5 ~ 15、15 ~ 35 cm土层表现最优,这与黄尚书等[26]发现的旋耕利于提高0 ~ 15 cm土层土壤养分含量,翻耕利于提高15 cm以下土层养分含量的结果一致。其原因主要是旋耕和翻耕对土壤扰动和肥料、秸秆翻埋的深度不同,造成养分向耕作区富集,还与不同耕作方式下土壤养分矿化、作物养分利用存在差异有关[27]。本研究还发现,与秸秆不还田相比,秸秆还田能增加0 ~ 15 cm土层土壤养分含量,这与张聪等[14]研究结果基本一致。这是因为作物秸秆含有丰富的作物生长发育所需要的碳、氮、磷、钾等营养元素,而秸秆还田处理主要分布在土壤表层,经过长时间的腐烂分解后,有机质含量较高,同时有机质分解产生有机酸及其产物能够溶解部分被固定的氮、钾营养,作物秸秆中也含有水溶性钾,从而增加了表层有效磷和速效钾的含量[28-29]。与试验开始前(10年前)0 ~ 20 cm土层相比,旋耕秸秆不还田处理下0 ~ 5、5 ~ 15 cm土层的有机质含量分别降低22.0%、12.4%,有效磷含量分别降低27.7%、16.2%,其原因可能是本试验所有处理的施肥量相同,秸秆不还田下由于作物生产消耗导致了养分消耗,而且旋耕的作业扰动层是0 ~ 15 cm,加速了该土层的养分矿化,增加了作物对该土层的养分吸收,从而使土壤有机质和有效磷含量有所下降。翻耕下由于15 ~ 35 cm土层土壤被翻到表层,使表层土壤的养分得到了一定的补充,从而使翻耕秸秆不还田的土壤养分含量与试验开始前相当。秸秆还田处理因秸秆引入有机物料和氮磷钾养分的多年累积效应,土壤养分含量与试验开始前得到显著提高。这些结果说明长期旋耕秸秆不还田所致的麦–豆轮作田土壤有机质和有效磷含量降低应该被重视。此外,本研究中采用的是麦–豆轮作种植体系,此体系中耕作降低土壤容重、增加土壤孔隙度的作用显著增强了大豆的共生固氮作用[30],减少了作物生产对土壤氮素的消耗,从而提高土壤全氮含量,这利于作物可持续生产,进而影响土壤中有机质、有效磷和速效钾的含量和空间分布[31]。
3.3 耕作方式和秸秆还田对旱地麦-豆轮作田土壤酶活性的影响土壤酶参与土壤中一切复杂的生物化学过程,在土壤营养物质循环、能量转化过程中起到了重要的作用,其活性高低能反映土壤各种生物化学过程的强度及方向[29],因而其活性的高低客观地反映土壤肥力状况[10, 15]。于镇华等[32]研究发现,大豆–玉米轮作条件下,蔗糖酶、过氧化氢酶活性随土层深度增加而降低。庞党伟等[13]研究表明,不同耕作方式对15 cm以下土层土壤酶活性无显著影响,但秸秆还田处理下的土壤酶活性大于秸秆不还田处理。李华伟等[23]研究表明,旋耕处理下表层土壤酶活性较高,但15 cm以下土层土壤酶活性均低于深耕处理。本研究中,耕作方式和秸秆还田对0 ~ 35 cm土层的土壤酶活性多会产生显著影响,但对35 ~ 60 cm土层的土壤酶活性无显著影响。总体来看,旋耕利于提高表层土壤酶活性,翻耕利于提高较深土层土壤酶活性,特别是秸秆还田下的效应更突出,最终0 ~ 15 cm土层土壤脲酶、蛋白酶、转化酶、碱性磷酸酶和过氧化氢酶活性均在旋耕秸秆还田处理下达到最大,而15 ~ 35 cm土层以翻耕秸秆还田最优,这与李华伟等[23]的研究结果基本一致。其原因主要是长期耕作对土壤的扰动,秸秆、肥料翻混的效果不同,致使土壤物理容重和土壤养分含量在耕作层有所改变[33],从而为土壤微生物生长和繁殖提供良好的通气环境和养分供应,进而激发了土壤酶活性[34-35],土壤理化指标与土壤酶活性间所呈现的显著相关性也证明了这一论点。
4 结论耕作方式和秸秆还田对麦–豆轮作田0 ~ 35 cm各土层的土壤容重、养分含量和酶活性均会产生影响,且影响存在互作效应。与旋耕相比,翻耕利于降低15 ~ 35 cm土层土壤容重且提高土壤养分含量和酶活性。与秸秆不还田相比,秸秆还田利于降低土壤容重,提高土壤养分含量和酶活性,且0 ~ 15 cm土层的效应大于15 ~ 35 cm土层。旋耕秸秆还田利于提高表层土壤养分含量和酶活性,而翻耕秸秆还田利于提高较深土层土壤养分含量和酶活性,旱作区麦–豆轮作田应根据不同土层的土壤质量提升需求采用秸秆还田且翻耕旋耕配合的管理模式。
| [1] |
赵伟霞, 栗岩峰, 张宝忠, 等. 土壤肥力提升原理与技术研究进展[J]. 灌溉排水学报, 2022, 41(9): 1-5 ( 0) |
| [2] |
周虎, 吕贻忠, 杨志臣, 等. 保护性耕作对华北平原土壤团聚体特征的影响[J]. 中国农业科学, 2007, 40(9): 1973-1979 ( 0) |
| [3] |
吕凯飞, 周锋, 安曈昕, 等. 耕作深度及秸秆还田对耕层土壤理化性状的影响[J]. 西南农业学报, 2021, 34(7): 1503-1509 ( 0) |
| [4] |
赵士诚, 曹彩云, 李科江, 等. 长期秸秆还田对华北潮土肥力、氮库组分及作物产量的影响[J]. 植物营养与肥料学报, 2014, 20(6): 1441-1449 ( 0) |
| [5] |
黄明, 吴金芝, 李友军, 等. 耕作方式和秸秆覆盖对旱地麦豆轮作下小麦籽粒产量、蛋白质含量和土壤硝态氮残留的影响[J]. 草业学报, 2018, 27(9): 34-44 ( 0) |
| [6] |
于晓芳, 赵晓宇, 胡树平, 等. 内蒙古河套平原灌区玉米适宜耕作方式研究[J]. 植物营养与肥料学报, 2019, 25(3): 392-401 ( 0) |
| [7] |
苏丽丽, 徐文修, 李亚杰, 等. 耕作方式对干旱绿洲滴灌复播大豆农田土壤有机碳的影响[J]. 农业工程学报, 2016, 32(4): 150-156 ( 0) |
| [8] |
吴海燕, 金荣德, 范作伟, 等. 东北黑土区不同耕作方式土壤养分与酶活性的时空变化[J]. 水土保持学报, 2009, 23(6): 154–157, 170 ( 0) |
| [9] |
冯彪, 青格尔, 高聚林, 等. 不同耕作方式对土壤酶活性及微生物量和群落组成关系的影响[J]. 北方农业学报, 2021, 49(3): 64-73 ( 0) |
| [10] |
刘长源, 焦凤丽, 洪圣哲, 等. 不同覆盖处理对土壤酶活性和土壤养分的影响[J]. 华北农学报, 2021, 36(S1): 246-252 ( 0) |
| [11] |
乔鑫鑫, 李乾云, 王艳芳, 等. 豆–麦复种模式对豫西丘陵区土壤团聚体及碳氮含量的影响[J]. 干旱地区农业研究, 2021, 39(3): 145-153 ( 0) |
| [12] |
张国, 逯非, 赵红, 等. 我国农作物秸秆资源化利用现状及农户对秸秆还田的认知态度[J]. 农业环境科学学报, 2017, 36(5): 981-988 ( 0) |
| [13] |
庞党伟, 陈金, 唐玉海, 等. 玉米秸秆还田方式和氮肥处理对土壤理化性质及冬小麦产量的影响[J]. 作物学报, 2016, 42(11): 1689-1699 ( 0) |
| [14] |
张聪, 慕平, 尚建明. 长期持续秸秆还田对土壤理化特性、酶活性和产量性状的影响[J]. 水土保持研究, 2018, 25(1): 92-98 ( 0) |
| [15] |
李可懿, 王朝辉, 赵护兵, 等. 黄土高原旱地小麦与豆科绿肥轮作及施氮对小麦产量和籽粒养分的影响[J]. 干旱地区农业研究, 2011, 29(2): 110–116, 123 ( 0) |
| [16] |
陈婉华, 袁伟, 王子阳, 等. 不同耕作方式与秸秆还田对土壤酶活性及水稻产量的影响[J]. 中国土壤与肥料, 2022(7): 162-169 ( 0) |
| [17] |
沈吉成, 李玲玲, 谢军红, 等. 耕作措施对陇中麦豆轮作系统土壤真菌群落的影响[J]. 中国土壤与肥料, 2019(6): 94–98, 153 ( 0) |
| [18] |
孔德杰, 朱金霞, 任成杰, 等. 麦豆长期轮作下秸秆还田对土壤碳氮组分及作物产量的影响[J]. 干旱地区农业研究, 2022, 40(5): 190-200 ( 0) |
| [19] |
孔德杰, 李娜, 任成杰, 等. 不同施肥水平对长期麦豆轮作体系土壤氮素及产量的影响[J]. 西北农业学报, 2022, 31(6): 729-740 ( 0) |
| [20] |
鲍士旦. 土壤农化分析(3版)[M].
中国农业出版社, 北京, 2000
( 0) |
| [21] |
关松荫. 土壤酶及其研究法[M].
农业出版社, 北京, 1986
( 0) |
| [22] |
刘金霞, 肖朝霞. 秸秆还田与减施氮肥对双季稻产量及土壤理化性质的影响[J]. 热带农业科学, 2023, 43(4): 1-5 ( 0) |
| [23] |
李华伟, 徐月, 司纪升, 等. 耕层优化双行匀播对麦田土壤理化特性的影响[J]. 麦类作物学报, 2014, 34(10): 1406-1412 ( 0) |
| [24] |
黄国勤, 杨滨娟, 王淑彬, 等. 稻田实行保护性耕作对水稻产量、土壤理化及生物学性状的影响[J]. 生态学报, 2015, 35(4): 1225-1234 ( 0) |
| [25] |
王成宝, 温美娟, 杨思存, 等. 耕作方式对灌耕灰钙土耕层物理性质和玉米产量的影响[J]. 干旱地区农业研究, 2022, 40(3): 170-177 ( 0) |
| [26] |
黄尚书, 钟义军, 黄欠如, 等. 耕作深度及培肥方式对红壤坡耕地土壤理化性质及作物产量的影响[J]. 中国土壤与肥料, 2020(4): 72-83 ( 0) |
| [27] |
杨培培, 杨明欣, 董文旭, 等. 保护性耕作对土壤养分分布及冬小麦吸收与分配的影响[J]. 中国生态农业学报, 2011, 19(4): 755-759 ( 0) |
| [28] |
宿庆瑞, 迟凤琴, 张久明, 等. 不同耕作技术模式对土壤理化性状及大豆产量的影响[J]. 大豆科学, 2010, 29(3): 453-456 ( 0) |
| [29] |
刘晓芳, 李晓婷, 李立军, 等. 不同耕作方式下旱作农田土壤酶活性与有机碳的关系研究[J]. 中国农学通报, 2018, 34(13): 106-112 ( 0) |
| [30] |
彭西红, 陈平, 杜青, 等. 减量施氮对带状套作大豆土壤通气环境及结瘤固氮的影响[J]. 作物学报, 2022, 48(5): 1199-1209 ( 0) |
| [31] |
夏文建, 柳开楼, 张丽芳, 等. 长期施肥对红壤稻田土壤微生物生物量和酶活性的影响[J]. 土壤学报, 2021, 58(3): 628-637 ( 0) |
| [32] |
于镇华, 李彦生, 金剑, 等. 不同施肥措施对农田黑土剖面土壤酶活性特征的影响[J]. 土壤与作物, 2018, 7(3): 276-283 ( 0) |
| [33] |
刘艳, 叶鑫, 包红静, 等. 秸秆还田配施化肥对春玉米耕层土壤理化性质及产量的影响[J]. 土壤, 2023, 55(2): 254-261 ( 0) |
| [34] |
张斯梅, 段增强, 顾克军, 等. 稻秸还田下减量化施氮对小麦产量、养分吸收及土壤理化性质的影响[J]. 土壤, 2023, 55(3): 537-543 ( 0) |
| [35] |
赵婧, 王亚男, 曾希柏, 等. 不同改良措施对第四纪红壤酶活性的影响[J]. 土壤学报, 2022, 59(4): 1160-1176 ( 0) |
2024, Vol. 56



0)