2. 安徽皖南烟叶有限责任公司, 安徽宣城 242000;
3. 安徽中烟工业有限责任公司, 合肥 230088
钾是作物生长、发育的必需营养元素之一,也是重要的品质元素,与作物品质息息相关[1]。烟草是一种重要的经济作物,其品质的好坏决定经济价值。当烟叶钾含量大于2% 时,其可燃性、焦油含量、香气的品质都得到显著提升[2-3]。此外,钾素还能提高细胞的渗透压,进而提高烟株抵抗逆境胁迫(冷害胁迫、干旱胁迫等)的能力[4]。烟草钾素含量可以影响烟叶的碳、氮代谢,降低淀粉在烟叶中的积累,从而影响烤烟的香气品质[5]。钾素含量能够促进烟叶正常落黄,提高上等烟叶的比例,增加烟叶产量和品质[6]。
皖南烟区是目前安徽省烟叶主产区,位于安徽省长江以南,包括宣城、芜湖、黄山等地,烟叶风格“浓香型”突出、“焦甜香”特色明显[7]。皖南烟田土壤速效钾含量较缺乏,82.82% 的土壤速效钾含量低于150 mg/kg[8],需施大量钾肥满足烟草生长和形成优质烟叶。但长期大量施用化肥导致了土壤酸化,为此,烟区惯用生石灰、白云石粉(大约750 ~ 1 500 kg/hm2)改良土壤酸性[9]。生石灰的施用虽解决了土壤酸化,但也加剧了土壤板结和结构恶化,降低了土壤养分有效性[10]。过量施用生石灰会导致土壤中钙离子过多积累,会通过拮抗作用导致钾离子难以被植物根系吸收,从而降低钾肥利用率[11]。
为了明确皖南烟区长期施用生石灰对烟草钾素吸收利用的影响,在宣城开展盆栽模拟试验,分析不同用量的生石灰和钾肥配施对烟草生长、钾素积累分配、钾肥利用率及烟叶品质的影响,旨在为皖南烟区制订合理的生石灰与钾肥配施技术,提高钾肥利用率和烟草质量。
1 材料与方法 1.1 供试材料盆栽试验设在安徽省宣城市杨柳镇(30°56′N, 118°45′E)温室大棚内。供试烤烟品种为当地主栽品种云烟97。盆栽土壤取自当地烟稻轮作农田,为潴育型水稻土,pH 5.67,有机质、碱解氮、有效磷、速效钾以及交换性钙含量分别13.38 g/kg、110.82 mg/kg、10.63 mg/kg、93.78 mg/kg、987.21 mg/kg。
1.2 试验设计试验选用的塑料花盆规格为高45 cm×直径45 cm,每盆装干土20 kg。设置钾肥、生石灰双因素,每因素3个水平,钾肥(K2SO4)水平:0(K0)、15(K1)、25(K2)g/株;生石灰(CaO)水平:0(Ca0)、20(Ca1)、60(Ca2)g/株。两因素组合,共9个处理,烟株分别在团棵期、旺长期和打顶期进行取样,每个时期分别有3次重复,总计81盆。氮肥和磷肥为NH4NO3和NH4H2PO4,所有处理统一施肥量为纯N 5 g/盆,P2O5 6 g/盆。
生石灰施用参照邹文桐和熊德中[12]的方法:移栽前40 d将土壤风干碾碎,加入生石灰并充分混匀,再加少量水,薄膜覆盖保湿,使土壤对施用的钙充分吸附固定。钾肥、氮肥、磷肥于移栽时圈施于盆中,施肥位置为土深15 cm处。烟苗于2017年3月21日移栽,每盆植烟1株。移栽后0 ~ 30 d每2 d浇水1次,31 ~ 60 d每天浇水1次,61 d后每天早晚各浇水1次直至烟叶全部成熟。每次浇水量为3 L,防止灌溉水溢出。温室内昼/夜温度:3月21—31日平均19 ℃/10 ℃,4月平均25 ℃/15 ℃,5月平均28 ℃/18 ℃,6月平均29 ℃/21 ℃。
1.3 采样及检测烟株移栽后第30天(团棵期)、第50天(旺长期)和第65天(打顶期)对烟株根、茎、叶进行采样测定。从花盆中取出烟株(每次每处理1株)后蒸馏水洗净根部土壤,将植株分为根、茎、叶。所有样品使用去离子水冲洗去除表面土壤及灰尘后,105 ℃杀青15 min,65 ℃烘干至恒重,测量各组织干物质恒重。之后磨碎,过100目筛。K+、Ca2+含量的检测采用原子吸收分光光度法。
烟株进入成熟期后,测定其生长与发育情况,包括株高、茎围以及有效叶片数。各部位烟叶成熟后放置于密集烤房中进行烘烤,烤后烟按照国家标准进行分级。按照16 650株/hm2折算产量(kg/hm2)、产值(元/hm2)、上等烟比例(%)、中等烟比例(%)。
1.4 数据处理采用SPSS 22.0进行数据处理和差异性分析,并用Adobe Illustrator 2021和Origin 2022分析作图。
2 结果与分析 2.1 生石灰与钾肥配施对烟草农艺性状的影响由表 1可知,烤烟打顶后,与K0相比,随着钾肥的施用(K1和K2),烟株的根、茎、叶干物质量以及株高、茎围、有效叶片数显著增加(P < 0.05),而K1和K2处理间无显著差异。双因素方差分析表明,钾肥对烟株根、茎、叶干物质量以及株高、茎围、有效叶片数有显著影响(P < 0.01),生石灰以及钾肥和生石灰的交互作用对烟株各农艺性状没有显著影响。
|
|
表 1 生石灰与钾肥配施对烟株农艺性状的影响 |
由表 2可知,与K0相比,随着钾肥的施用(K1和K2),烤烟经济性状呈现显著提高的趋势(P < 0.05),产量、上等烟比例、中等烟比例以及产值分别由K0水平下1 224.00 ~ 1 274.00 kg/hm2、7.27% ~ 10.61%、17.01% ~ 23.77% 和12 227.33 ~ 17 915.54元/hm2提高到K1和K2水平下1 536.00 ~ 1 645.50 kg/hm2、27.02% ~ 31.54%、28.55% ~ 37.66% 和35 640.86 ~ 47 209.49元/hm2。而K1和K2水平间烟株各经济形状指标无显著差异。双因素方差分析表明,钾肥对烟株产量、上等烟比例、中等烟比例以及产值均具有显著影响(P < 0.01),而生石灰及钾肥和生石灰的交互作用对烟株经济性状没有显著影响。
|
|
表 2 生石灰与钾肥配施对烟株经济性状的影响 |
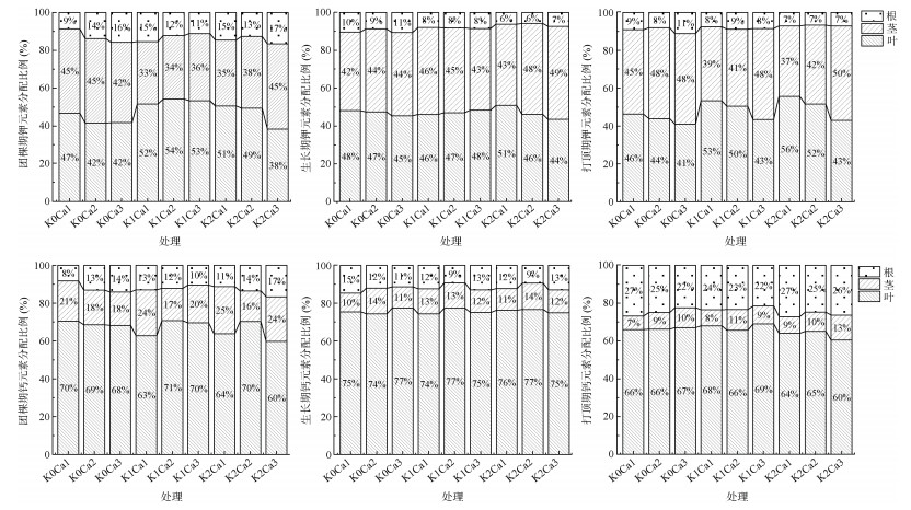
从表 3可以看出钾肥与生石灰配施可以显著影响烟株不同时期各部位的钾含量。团棵期随着钾肥的施用,烟株各部位钾含量呈现增加的趋势(表 3),根、茎和叶的钾含量分别由K0水平下的15.64 ~ 20.33、44.22 ~ 47.46和25.62 ~ 29.83 mg/g增加到K1、K2水平下的26.21 ~ 33.97、45.86 ~ 63.45和47.96 ~ 51.38 mg/g,分别提升67.09% ~ 88.94%、26.05% ~ 33.69% 和72.24% ~ 89.07%。在第50天烟株旺长期可以看出仅仅叶片钾含量随着钾肥施用量的增加呈现增加的趋势(表 3),表现为由K0水平下的24.25 ~ 29.81 mg/g提升到K2水平下31.17 ~ 35.60 mg/g,钾素也从地下部逐渐向地上部转运(图 1)。在第65天打顶期时随着钾肥的施用,烟株叶和茎的钾含量呈现显著增加的趋势,由K0水平下11.76 ~ 14.81和14.33 ~ 16.29 mg/g提升到K1、K2水平下的22.42 ~ 33.32和24.44 ~ 27.97 mg/g,分别增加43.16% ~ 98.13% 和70.55% ~ 71.70%(表 3)。在打顶期,烟叶的钾含量随着生石灰的添加呈现降低的趋势,从Ca0水平下14.81 ~ 33.32 mg/g下降到Ca2水平下11.76 ~ 23.40 mg/g,下降20.59% ~ 29.77%(表 3)。根据双因素方差分析结果可知,生石灰对旺长期和打顶期烟叶钾含量有显著影响(P < 0.05)。打顶期烟株各部位钾素积累也呈现出随着钾肥添加优先向叶片积累,生石灰添加抑制钾素由茎向叶片转运(图 1)。在团棵期和旺长期烟株钾含量整体呈现规律为茎 > 叶 > 根,打顶期烟株钾含量呈现叶 > 茎 > 根的趋势(表 3)。在整个烟株的生长发育期钾的积累量呈现规律为叶 > 茎 > 根(图 1)。随着烟株生长,各个部位钾含量均呈现降低的变化趋势,烟株根、茎和叶的钾含量分别由团棵期的29.83 ~ 51.38、44.35 ~ 63.45和15.64 ~ 33.97 mg/g下降到打顶期的11.76 ~ 33.32、14.33 ~ 27.97和7.86 ~ 11.81 mg/g。
|
|
表 3 生石灰与钾肥配施对烟株各时期各部位钾含量的影响 |
|
图 1 生石灰与钾肥配施对烟株各时期各部位钾、钙积累量的影响 |
表 4反映钾肥与生石灰配施对不同时期烟株各部位钙含量的影响。团棵期烟株各部位的钙含量随着钾肥施用没有显著变化趋势;而随着生石灰的添加呈现明显上升的趋势。团棵期时烟株根、茎和叶的钙含量分别由Ca0水平下的4.41 ~ 5.26、6.71 ~ 7.65和11.94 ~ 13.08 mg/g最高提升到Ca2水平下10.10 ~ 10.95、10.11 ~ 10.77和24.20 ~ 26.25 mg/g,分别提升108.17% ~ 129.02%、40.78% ~ 50.67% 和100.68% ~ 102.68% (表 4)。旺长期和打顶期烟株根、茎和叶的钙含量也呈现相同的变化规律(表 4)。与K0相比,K2叶片钙含量下降11.05% ~ 24.95%。通过双因素方差分析可知,钾肥仅对打顶期叶片钙含量呈现显著影响(P < 0.05),生石灰对烟株各时期各部位钙含量均有显著影响(P < 0.01)(表 4)。从图 1发现,随着烟株的生长,地上部钙累积量呈降低的变化趋势,而地下部钙累积量呈上升的变化趋势。
|
|
表 4 生石灰与钾肥配施对烟株各时期各部位钙含量的影响 |
生石灰和钾肥配施对烤后烟叶的品质具有显著的影响。由图 2可以看出在中部叶和下部叶的钾含量随着生石灰水平提高呈现降低的变化趋势。中部叶和上部叶的钾含量从Ca0的14.0 ~ 23.1和11.2 ~ 20.5 mg/g下降到Ca2的14.9 ~ 16.3和12.1 ~ 17.2 mg/g(图 2A)。钾肥和生石灰的用量对烤后烟叶的外观得分和感官得分具有不同的影响(图 2B、2C)。中部叶和上部叶的外观得分从K0的66.67 ~ 68.33和64.00 ~ 67.00提升到K2的76.33 ~ 79.67和69.33 ~ 74.67;而中部叶的外观得分从Ca0的68.33 ~ 79.67下降到Ca2的66.67 ~ 76.33(图 2B)。中部叶和上部叶的感官得分从K0的56.01 ~ 62.33和52.00 ~ 54.33提升到K2的63.33 ~ 67.00和58.67 ~ 61.00;同时却从Ca0的60.67 ~ 68.33和52.00 ~ 61.00下降到了Ca2的56.01 ~ 65.33和52.33 ~ 58.67(图 2C)。
|
图 2 生石灰与钾肥配施对烤后烟叶钾含量、外观得分及感官得分的影响 |
表 5是生石灰与钾肥配施对烟株打顶期各部位钾肥利用率的影响。在打顶期随着生石灰施用量的增加,植株整体的钾肥利用率呈降低趋势,表现为从Ca0水平下的20.41% ~ 23.59% 下降到Ca2水平下15.87% ~ 18.31%。从不同部位来看,钾肥和生石灰配施显著降低叶片的钾肥利用率(P < 0.05),从Ca0水平下的12.40% ~ 13.64% 下降到Ca2水平下7.05% ~ 8.31%;但钾肥和生石灰配施对烟株茎和根的钾肥利用率没有影响。此外,钾肥增施也降低了植株的钾肥利用率,从K1水平下的18.31% ~ 23.59% 下降到K2水平的15.87% ~ 20.41%。
|
|
表 5 生石灰与钾肥配施对烟株打顶期各部位钾肥利用率的影响 |
本研究发现在低钾土壤中,钾肥的施用可以明显促进烟株的生长,提高各个部位生物量的积累以及改善株高、茎围等农艺性状(表 1)。但需要根据不同产区的土壤、气候等外界因素,因地制宜地施用钾肥。研究表明,江西地区烤烟产量随着钾肥的增加而增加,但钾肥用量超过315 kg/hm2时,烟叶产量和品质呈现明显下降的趋势[13];四川凉山地区烟株产量也呈随着钾肥的提升先增后降的趋势[14]。本研究发现在K1和K2水平下烟株的农艺性状无明显的差异,这与季璇等[15]的结果一致,其发现罗平的烟叶生物量随施钾量增加呈现先增再趋于稳定的趋势,表现出明显的报酬递减规律。过量钾肥投入会打破土壤的钾库平衡,进入土壤中的速效钾会逐渐被固定为缓效钾,降低钾肥利用率,带来明显的环境问题[16]。
3.2 生石灰与钾肥配施对烟株养分吸收的影响由于烟草生长条件和环境的投入需求,钾肥的投入比例显著高于氮磷等肥料[17]。烟株的钾素水平会影响根系构型,从而影响养分吸收的能力以及光合产物分配的能力[18]。Lawlor[19]发现植株钾素能通过调节碳和氮的代谢,对植株的生长发育和作物质量产生影响。本研究发现随着钾肥用量的增加,烟株各个时期不同部位的钾含量呈现增加的趋势。同时,随着生石灰用量的增加,打顶期烟株叶片钾含量呈降低的趋势。生石灰作为一种常见的廉价土壤酸化改良剂,可以显著提高土壤的pH,降低铝毒,提高土壤速效养分的含量[20]。然而也有研究表明在南方缺钾土壤施用大量石灰,过多的Ca2+和Mg2+将占据土壤胶体表面K+的吸附位置,促使矿物层中增加固钾位点,同时竞争植物吸收的通道,降低土壤中有效钾的含量,进而抑制钾素的吸收[21]。此外,本研究也发现在烟草生长发育前期植株的钾含量主要集中在茎部位,随着烟柱打顶后,钾素养分不断向叶片进行分配(表 3)。由于打顶措施可以去除烟株的顶端优势,阻断烟株生殖生长,使养分和光合产物向叶片开始分配,提升叶片干物质积累,提高烟叶质量和产量[22]。
3.3 生石灰与钾肥配施对烟株钾肥利用率的影响烟草是一种亟需钾素的植物,大部分烟区土壤难以满足烟株生长的需求,烟草种植面积仅占耕地面积的1%,却消耗5.9% 的全国钾肥投入量[23]。从表 5可以看出皖南烟区钾肥利用率整体不高,仅15% ~ 25%,这可能与烟草品种、土壤、施肥措施以及农艺措施等因素有密切关系。吴玉萍等[24]发现在云南主栽的4个烤烟品种中红大及K326品种的烟叶钾含量远高于云烟87。钾肥利用率高的品种往往具有较高的根体积、总吸收面积以及根系活力等[25]。此外,土壤的肥力与烟株钾素的吸收有直接的关系,土壤pH、质地、水分条件以及钾素水平都会影响植株钾素的吸收[26]。另外,本研究结果表明生石灰的过量施用降低植株的钾肥吸收,尤其是降低叶片的钾肥利用率。酸性土壤中适量的生石灰施入可以提高土壤pH,改变土壤理化性质,对烟叶产质量起到显著的促进作用,减少病虫害的发生[27-28]。由于过量的石灰施用会引起“石灰性板结”,同时还会引起土壤钙、钾、镁等元素平衡失调而导致作物减产[29]。许多研究表明植物根系吸收钾、钙、镁时产生拮抗作用,高钙土壤会抑制作物根系对土壤K+的吸收[12]。更深层次的原因可能是土壤游离的Ca2+、K+均以阳离子的形式被作物根系吸收,高浓度的Ca2+会与K+在根的原生质膜上发生拮抗竞争,最后降低植株钾的吸收速率。
3.4 产区烤烟改土与施肥的建议皖南烟区土壤速效钾水平偏低,地区差异大,烟叶钾含量总体偏低,且呈现逐渐降低的变化趋势[30]。目前皖南烟区种植烤烟当季钾肥用量大约为K2O 290 ~ 300 kg/hm2(N︰K=1︰3),同时施用1 500 kg/hm2生石灰或白云石粉防止土壤酸化以及改良土壤酸性[31]。本研究结果表明,在常年施用大量土壤酸性改良剂的情况下,烟株的钾肥利用率降低,引起烟叶钾含量降低,且增施钾肥对烟叶钾含量的提升效果不明显。因此,推荐采用的土壤改良方式为:每年施用生石灰330 kg/hm2,或隔年施用生石灰660 kg/hm2,同时每年配施钾肥(K2O)412 kg/hm2(N︰K=1︰4)。本研究是基于盆栽试验,盆栽环境与大田环境存在明显的不同,因此,所得结果还有待于进一步的大田研究加以验证和完善。
4 结论1) 皖南烟田土壤速效钾水平较低,适量施用钾肥(N︰K=1︰3)能够提升烤烟产量、产值、上等烟比例及烟叶钾含量,有利于烟叶的增产、增质。但过量钾肥的增产效果不明显,钾肥利用率明显降低。
2) 叶片钾素含量、钾肥利用率随着生石灰用量的增加而降低,过量或长期施用生石灰会抑制烟株吸钾,导致钾肥利用率和烟叶钾含量降低,烟叶感官、外观质量下降。改良烟田土壤酸性推荐每年施用生石灰330 kg/hm2,或隔年施用生石灰660 kg/hm2,同时配施钾肥(K2O)412 kg/hm2,实现土壤改性与烟叶提钾增质双赢。
| [1] |
Amtmann A, Troufflard S, Armengaud P. The effect of potassium nutrition on pest and disease resistance in plants[J]. Physiologia Plantarum, 2008, 133(4): 682-691 DOI:10.1111/j.1399-3054.2008.01075.x ( 0) |
| [2] |
严陶韬, 王一柳, 卢殿君, 等. 根区施用钾肥对烤烟产量、钾含量及钾素吸收的影响[J]. 中国土壤与肥料, 2018(5): 70-76 ( 0) |
| [3] |
苏欣悦, 王晋峰, 程晓梅, 等. 云南省典型县域烟田土壤肥力演变及综合评价[J]. 土壤, 2023, 55(6): 1380-1388 DOI:10.13758/j.cnki.tr.2023.06.027 ( 0) |
| [4] |
高志强, 邓小华, 陈冬林, 等. 湖南省烤烟生产比较优势的县域分布研究[J]. 中国烟草学报, 2009, 15(3): 29-34 ( 0) |
| [5] |
刘国顺, 叶协锋, 王彦亭, 等. 不同钾肥施用量对烟叶香气成分含量的影响[J]. 中国烟草科学, 2004, 25(4): 1-4 ( 0) |
| [6] |
汪耀富, 高华军, 刘国顺, 等. 氮、磷、钾肥配施对烤烟化学成分和致香物质含量的影响[J]. 植物营养与肥料学报, 2006, 12(1): 76-81 ( 0) |
| [7] |
罗登山, 王兵, 乔学义. 《全国烤烟烟叶香型风格区划》解析[J]. 中国烟草学报, 2019, 25(4): 1-9 ( 0) |
| [8] |
孙奕荷, 张凯, 鲁琪飞, 等. 三个典型植烟生态区土壤养分适宜性评价[J]. 作物杂志, 2023(1): 115-121 ( 0) |
| [9] |
卢维宏, 王要芳, 刘娟, 等. 磷石膏无害化改性及其在农田土壤改良中的应用研究进展[J]. 土壤, 2023, 55(4): 699-707 DOI:10.13758/j.cnki.tr.2023.04.002 ( 0) |
| [10] |
严锦申. 生石灰施用量对酸性土壤改良效果及对烤烟产质量的影响[D]. 广州: 华南农业大学, 2016.
( 0) |
| [11] |
张丽, 王寅, 鲁剑巍, 等. 施钾对直播油菜产量及钾钙镁养分吸收的影响[J]. 中国油料作物学报, 2015, 37(3): 336-343 ( 0) |
| [12] |
邹文桐, 熊德中. 土壤交换性钙对烤烟氮、磷、钾含量和吸收量的影响[J]. 江西农业大学学报, 2012, 34(2): 237-243 ( 0) |
| [13] |
钟晓兰, 张德远, 李江涛, 等. 施钾对烤烟钾素吸收利用效率及其产量和品质的影响[J]. 土壤, 2008, 40(2): 216-221 ( 0) |
| [14] |
李静, 张锡洲, 李廷轩, 等. 钾肥运筹对烤烟钾吸收利用的影响[J]. 植物营养与肥料学报, 2015, 21(4): 969-978 ( 0) |
| [15] |
季璇, 陈熙卓, 宋文静, 等. 施钾量对不同生态区烤烟生长和钾肥利用率的影响[J]. 中国烟草科学, 2020, 41(5): 36-42 ( 0) |
| [16] |
杨铁钊, 杨志晓, 林娟, 等. 不同烤烟基因型根际钾营养和根系特性研究[J]. 土壤学报, 2009, 46(4): 646-651 ( 0) |
| [17] |
陶芾, 滕婉, 李春俭, 等. 我国烤烟生产体系中的养分平衡[J]. 中国烟草科学, 2007, 28(3): 1-5 ( 0) |
| [18] |
杜玉海, 孙志伟, 王晓琳, 等. 缺钾对烤烟氮素吸收利用的影响[J]. 中国农业科技导报, 2019, 21(3): 141-145 ( 0) |
| [19] |
Lawlor D W. Carbon and nitrogen assimilation in relation to yield: Mechanisms are the key to understanding production systems[J]. Journal of Experimental Botany, 2002, 53(370): 773-787 ( 0) |
| [20] |
刘芳禧, 方畅宇, 庾振宇, 等. 绿肥、秸秆和石灰联用对红壤性水稻土酸度特征和水稻产量的影响[J/OL]. 土壤学报. 2024, 61(6). DOI: 10.11766/trxb202304040125.
( 0) |
| [21] |
Pierre W H, Bower C A. Potassium absorption by plants as affected by cationic relationships[J]. Soil Science, 1943, 55(1): 23-36 ( 0) |
| [22] |
伍发明, 乔保明, 刘学兵, 等. 打顶期对恩施烟区雪茄烟品种产质量的影响[J]. 安徽农业科学, 2019, 47(13): 32-34 ( 0) |
| [23] |
柳开楼, 都江雪, 马常宝, 等. 中国主要旱作粮食耕地土壤钾素的时空演变特征[J]. 土壤学报, 2023, 60(3): 673-684 ( 0) |
| [24] |
吴玉萍, 陈萍, 师君丽, 等. 云南省不同品种和产区烤烟中钾含量的差异分析[J]. 云南大学学报(自然科学版), 2010, 32(S1): 42-46 ( 0) |
| [25] |
张喜琦, 张金艳, 马玉红. 不同基因型烟草根系对钾吸收的影响[J]. 山东农业科学, 2008, 40(5): 71-73 ( 0) |
| [26] |
郭丽琢, 张福锁. 水分胁迫对烤烟体内钾素累积的影响[J]. 中国烟草学报, 2005, 11(4): 39–41, 46 ( 0) |
| [27] |
李俊领, 马晓寒, 张豫丹, 等. 土壤微生物与烟草青枯病发生关系的研究进展[J]. 生物技术通报, 2020, 36(9): 88-99 ( 0) |
| [28] |
Saleem M, Hu J, Jousset A. More than the sum of its parts: Microbiome biodiversity as a driver of plant growth and soil health[J]. Annual Review of Ecology, Evolution, and Systematics, 2019, 50: 145-168 ( 0) |
| [29] |
王立革, 孙晓姝, 王媛, 等. 秸秆还田及钾肥减量对设施黄瓜钾钙镁含量和土壤钾形态的影响[J]. 山西农业科学, 2021, 49(4): 461-466 ( 0) |
| [30] |
郇威威, 王一柳, 卢殿君, 等. 高钾用量和根区施肥可提升皖南不同质地土壤烟叶钾含量[J]. 土壤, 2019, 51(3): 458-464 ( 0) |
| [31] |
姜超强, 董建江, 徐经年, 等. 改良剂对土壤酸碱度和烤烟生长及烟叶中重金属含量的影响[J]. 土壤, 2015, 47(1): 171-176 DOI:10.13758/j.cnki.tr.2015.01.027 ( 0) |
2. Anhui Wannan Leaf Tobacco Co., Ltd., Xuancheng, Anhui 242000, China;
3. Anhui Branch of China Tobacco Industy Co., Ltd., Hefei 230088, China
2024, Vol. 56



0)