2. 土壤与农业可持续发展重点实验室(中国科学院), 南京 211135;
3. 西部土地退化与生态恢复国家重点实验室培育基地, 银川 750021
磷素在土壤中易被固定,其利用率较低。盐渍化土壤Cl−含量高,易与PO43−发生拮抗作用,阻碍土壤中中等稳定态磷向活性态磷的转化[1]。作为作物生长所必需的营养元素,在传统农业中,过度施用磷肥造成土壤磷素的累积,但植物可利用性磷素含量较少[2]。磷在土壤中具有很高的反应活性,通常以多种形态存在,主要包括溶解态和难溶态[3]。土壤溶液中的HPO42−、H2PO4−和易溶无机磷化合物等易被植物吸收利用的磷均属于有效磷。采用土壤磷分级方法利用不同浸提剂提取的磷包括无机磷和有机磷。土壤中无机态磷约占70% ~ 90%,有机态磷约占10% ~ 30%[4]。土壤无机磷包括Ca-P、Fe-P、Al-P、O-P等,不同形态的无机磷在土壤中的作用形式有所不同,Ca-P含量最高,在土壤中约占40% ~ 80%,但大部分为稳定态磷,可利用性Ca2-P含量极低[5]。土壤有机磷通常包括磷酸单酯、磷酸二酯、磷酸酯及有机多磷酸盐[6]。大部分有机磷不能直接被植物利用,需要通过土壤酶或微生物水解转化成无机磷才能被有效利用。
有研究表明,磷素在盐渍土中的吸附量大约是非盐渍土的3倍[7]。因此,盐渍土中磷的利用率极低。土壤磷素的转化在盐渍化农田中受到多种因素的影响,包括土壤盐分离子含量、离子组成等[8]。研究表明,土壤中的Na+会与PO43−生成Na3PO4从而增加土壤有效磷含量[9];土壤Cl−和SO42−与磷元素会产生竞争,降低作物对磷的吸收[10]。盐渍化土壤中过高的盐分含量会导致土壤理化性质变差,影响农田养分循环和减损增效[11],降低土壤酶和微生物活性,从而导致磷素利用率相较于非盐渍化土壤中更低[12]。
土壤碱性磷酸酶(ALP)能够促进磷酸盐的释放,并将土壤中中等稳定态磷转化成有效磷供植物吸收利用[13]。大量施用磷肥会导致有机磷中的植酸积累,土壤植酸酶(PHY)通过将植酸水解成肌醇磷酸盐和无机磷酸盐,促进土壤稳定态有机磷向活性有机磷和无机磷的转化,提高有机磷的有效利用[14]。郭晓雯等[15]研究发现,盐分升高会导致ALP和PHY活性降低,从而减少对磷酸基团的水解。但对于盐分影响土壤磷素形态转化机制还有待挖掘。
本研究以不同盐分梯度土壤为研究对象,分析土壤中磷素形态转化及土壤酶活性的变化,探讨无机磷与有效磷的相互影响关系,探究在磷肥的添加下,土壤磷素形态间的相互转化。本研究对了解不同盐渍化土壤中磷的形态转化及循环过程具有重要意义,为土壤磷素的活化途径提供参考依据。
1 材料与方法 1.1 研究区概况研究区位于宁夏回族自治区石嘴山市平罗县宝丰镇宝丰村(38°36′18″N ~ 39°51′13″N,105°57′42″E ~ 106°58′02″E),属温带大陆性气候,四季分明,雨雪稀少,年均温为9.2 ℃,年均降水量约为180 mm。该区域地下水位较浅,土层结构较为简单,土壤质地偏砂,主要类型为粉质黏土。区域原生植被稀疏,主要种植作物有玉米、水稻及大麦。该地区地处引黄灌区下游,境内地势平坦低洼,是灌区内汇水集盐的“重灾区”,不同盐渍化程度的土壤广泛分布。
1.2 供试土样于2023年4月11日采用五点取土法采集研究样地0 ~ 20 cm耕层土壤样品,各样品混合均匀,剔除石砾和植物残根等杂物,于室温下风干后分为两部分,一部分土壤过0.15 mm筛,用于测定土壤水溶性盐总量、土壤电导率(EC)、pH、八大离子组成、全磷、有机磷、有效磷及无机磷组分。土壤水溶性盐总量为0.99 g/kg,EC为331.20 μS/cm,pH为8.62,CO32−、HCO3−、Cl−、SO42−、Na+、K+、Ca2+、Mg2+含量分别为0.00、0.18、0.34、0.64、0.52、0.21、0.50、0.17 cmol/kg,全磷含量593.79 mg/kg,有机磷含量45.95 mg/kg,有效磷含量22.54 mg/kg,土壤无机磷组分Ca10-P、Ca8-P、Fe-P、O-P、Al-P、Ca2-P含量分别为340.09、99.67、53.08、15.70、22.35、22.00 mg/kg。另一部分土壤过2 mm筛,用于室内培养试验。
1.3 试验设计试验考虑土壤盐渍化程度和不同磷肥添加量2个因素,设置3个盐分梯度:等量0.0、1.0和2.3 g/kg的NaCl和Na2SO4与土壤样品充分混合,根据实际土壤水溶性盐总量分为非盐渍化(N)、轻度盐渍化(L) 和中度盐渍化(M),盐渍化程度划分参照《中国盐渍土》中的盐渍土分级标准[16];2个磷肥处理:不添加KH2PO4 (S) 和添加0.9 g/kg KH2PO4 (P)。试验共设6个处理(表 1),每个处理重复3次。
|
|
表 1 培养试验设计 Table 1 Design of culture experiment |
称取约150 g土壤放置于350 mL的组培玻璃瓶中,按照试验设计添加盐分和磷肥,混匀后用聚乙烯塑料薄膜封住瓶口,中间留一小孔并插入吸管用于培养期间通气及补充水分,放入25 ℃恒温培养室中进行培养,期间每天定时称取1次玻璃瓶的总质量,及时补充水分,保持含水量为田间持水量的70%,共培养97 d。分别在培养第1、7、37、67和97天破坏性采集土壤样品。
1.4 测试方法土壤理化分析测试参照《土壤农化分析方法》[17]。土壤水溶性盐总量采用残渣烘干–质量法测定。土壤电导率(EC)经水溶液(m土∶V水=1︰5)浸提后采用电导率仪测定。土壤pH采用pH计测定(m土∶V水=1:5)。土壤八大离子组成:Ca2+和Mg2+采用EDTA滴定法测定;K+和Na+采用火焰光度计法测定;CO32−和HCO3−采用双指示剂–中和滴定法测定;Cl−采用硝酸银滴定法测定;SO42−采用EDTA间接络合滴定法测定。土壤全磷经浓硫酸–高氯酸高温消煮后采用钼锑抗显色于全自动流动分析仪上测定。土壤有效磷(Olsen-P)经0.4 mol/L NaHCO3浸提后采用钼锑抗显色于全自动流动分析仪上测定。土壤有机磷(OP)采用1 mol/L 1/2硫酸浸提高温烧灼法进行测定。土壤无机磷分级采用钼锑抗显色法于紫外分光光度计进行测定,Ca2-P经0.25 mol/L NaHCO3浸提、Ca8-P经0.5 mol/L NH4OAc浸提、Al-P经0.5 mol/L NH4F浸提、Fe-P经0.1 mol/L NaOH–0.1 mol/L Na2CO3溶液浸提、O-P经0.3 mol/L柠檬酸钠和连二亚硫酸钠(保险粉)浸提、Ca10-P经0.5 mol/L 1/2H2SO4浸提。
酶活性[18]测定采用赛默飞(美国)多功能酶标仪(Multiskan GO)对目标物进行定量分析。土壤碱性磷酸酶(ALP)催化磷酸苯二钠水解生成苯酚和磷酸氢二钠,通过测定酚的生成量计算出ALP活性;土壤植酸酶(PHY)水解底物植酸钠生成无机磷与肌醇衍生物,于700 nm处通过吸光值变化计算得PHY活性。
1.5 数据处理试验数据采用Excel 2019进行处理和分析,采用SPSS进行相关性及统计分析,图形采用Origin软件绘制。土壤有机磷、无机磷分级和酶的活性采用单因素方差分析(One-way ANOVA)和Duncan多重比较检验处理间的差异显著性。
2 结果与分析 2.1 土壤盐分梯度对有效磷和有机磷的影响培养97 d后,添加磷肥处理下,不同盐分梯度处理土壤有效磷含量差异显著(P < 0.05)(图 1),具体表现为土壤有效磷含量随盐分浓度增加而显著降低,平均降幅为31.82%。在未加磷肥处理下,非盐渍土中有效磷含量显著高于轻度盐渍土和中度盐渍土(P < 0.05)。
|
(图中小写字母不同表示处理间差异达P < 0.05显著水平,下同) 图 1 培养97d后土壤有效磷含量 Fig. 1 Soil available phosphorus contents after 97 days of culture |
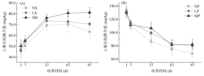
未添加磷肥处理中,土壤有机磷含量随培养时间整体呈上升趋势(图 2A)。在各盐分梯度下有机磷含量表现为MS > LS > NS。培养97 d后,NS、LS和MS处理下,有机磷含量较培养第1天时分别增加32.9%、53.2% 和61.5%。添加磷肥处理中,土壤有机磷含量随培养时间整体呈下降趋势(图 2B),在不同盐分梯度下表现为MP > LP > NP。培养完成后,NP、LP和MP中土壤有机磷含量分别较初始值降低48.9%、37.7%、37.2%,均达到显著水平(P < 0.05)。
|
(A. 未添加磷肥处理;B. 添加磷肥处理) 图 2 不同盐分梯度下土壤有机磷含量随培养时间的变化 Fig. 2 Changes of soil organic phosphorus contents with culture time under different salt gradients |
由图 3可知,未添加磷肥处理下,培养97 d后与培养第一天相比,盐分处理下Ca10-P、Ca2-P和Al-P含量分别降低5.6% ~ 11.3%、30.3% ~ 43.5% 和30.0% ~ 45.5%;O-P含量增加43.1% ~ 77.8%;Ca8-P和Fe-P在NS和LS处理中含量分别增加3.7% ~ 7.4% 和1.4% ~ 5.9%,但在MS处理中分别降低5.8% 和12.7%。土壤Ca8-P、Al-P和Fe-P在非盐渍土中含量较多,Ca10-P和O-P在中度盐渍化土壤中含量较多,Ca2-P含量受盐分影响不显著。
|
图 3 不同盐分及磷肥梯度处理下土壤无机磷组分动态变化 Fig. 3 Changes of soil inorganic phosphorus components under different salinity and phosphorus fertilizer gradients |
添加磷肥处理下,培养97 d后与培养第一天相比,Ca2-P、Fe-P和Al-P含量分别降低34.0% ~ 52.5%、34.3% ~ 37.7%和20.3% ~ 24.1%;Ca8-P、O-P和Ca10-P含量分别增加60.6% ~ 79.5%、14.7% ~ 49.4%和12.9% ~ 20.9%。整体而言,添加磷肥处理下,Ca2-P、Fe-P和Al-P含量在中度盐渍土中降低更多,Ca8-P含量在轻度盐渍土中增加更多,O-P含量在中度盐渍土中增加更多。这表明盐分升高会促使Ca2-P、Ca8-P、Fe-P和Al-P含量降低;O-P和Ca10-P含量受盐分影响较大,且表现为随盐分含量升高而升高。
据此推断随培养时间的延长,未添加磷肥处理中土壤Ca10-P、Ca2-P和Al-P可能部分转化为有机磷;添加磷肥处理中,土壤有机磷、Ca2-P、Al-P和Fe-P则部分转化为难溶性的Ca10-P和O-P。
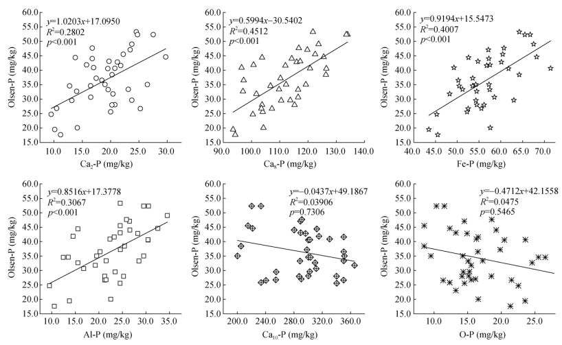
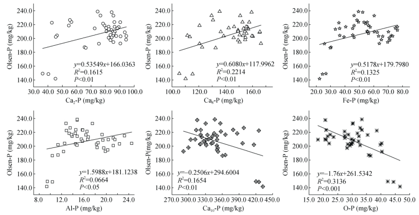
由图 4和图 5可知,土壤有效磷与添加和未添加磷肥处理下无机磷组分的相关性一致,都表现为Ca8-P、Ca2-P、Fe-P、Al-P与有效磷呈显著正相关,Ca10-P、O-P与有效磷呈负相关关系。进一步证实土壤中Ca8-P、Ca2-P、Fe-P、Al-P是可利用性磷,而Ca10-P和O-P难以被作物所利用。
|
图 4 未添加磷肥处理下土壤无机磷组分与有效磷的关系 Fig. 4 Relationship between soil inorganic phosphorus forms and available phosphorus without phosphorus fertilizer |
|
图 5 添加磷肥处理下土壤无机磷组分与有效磷的关系 Fig. 5 Relationship between soil inorganic phosphorus forms and available phosphorus with exogenous phosphorus added |
图 6为不同处理在培养的第1天和第97天土壤无机磷组分占总无机磷的比例。由图可知,土壤中无机磷形态以Ca10-P为主,未添加磷肥处理下,培养第1天土壤无机磷组分由高到低依次为Ca10-P > Ca8-P > Fe-P > Al-P > Ca2-P > O-P,培养97 d后依次为Ca10-P > Ca8-P > Fe-P > O-P > Al-P≈Ca2-P;添加磷肥处理后,培养第1天和第97天土壤无机磷组分依次都为Ca10-P > Ca8-P > Ca2-P > Fe-P > O-P > Al-P。在培养第1天,未添加磷肥处理下Ca10-P占比61.5% ~ 62.2%;添加磷肥处理中Ca10-P含量占比52.2% ~ 53.4%,Ca2-P和Fe-P含量占比相较于未施磷肥处理略有升高,分别增加8.7% ~ 9.8% 和1.5% ~ 1.7%。培养97d后添加磷肥处理下Ca10-P含量占比升至53.5% ~ 58.9%,Ca2-P、Al-P和Fe-P相较于培养第1天分别降低5.7% ~ 7.3%、0.9% ~ 1.0% 和4.5% ~ 7.4%,Ca8-P和O-P占比分别升高7.9% ~ 9.0% 和0.1% ~ 1.6%。整体来说,培养97 d后未加磷肥处理中Ca8-P、Fe-P和O-P含量占比略有升高,Ca2-P和Al-P含量占比略有降低;添加磷肥后,Ca2-P、Al-P及Fe-P含量占比均有所降低,Ca10-P含量占比有所升高,且在中度盐渍土中占比最高,非盐渍土中占比最低。
|
图 6 不同处理在培养第1天(A)和第97天(B)土壤无机磷组分占总无机磷的比例 Fig. 6 Proportions of soil inorganic phosphorus forms to total inorganic phosphorus under different treatments on day 1 (A) and day 97 (B) of culture |
表 2为不同培养时间下碱性磷酸酶(ALP)和植酸酶(PHY)活性的变化。由表中可知,未加磷肥处理中ALP活性变化对盐分的响应不显著。培养97 d后与培养第1天相比,PHY在NS、LS和MS中分别提高16.9%、17.3% 和3.4%;ALP在NP、LP和MP中分别增加8.4%、6.6%和4.4%;PHY在NP、LP和MP中分别降低65.3%、38.7% 和41.3%。
|
|
表 2 不同盐分及磷肥梯度处理下土壤酶活性特征 Table 2 Characteristics of soil enzyme activities under different salinity and phosphorus fertilizer gradients |
培养97 d后,无论是否施用磷肥处理,ALP活性均随盐度升高而降低,其中,LS和MS较NS分别降低10.0% 和12.3%,但差异不显著;LP和MP则较NP处理显著降低9.5% 和14.2%(P < 0.05)。培养完成后,ALP在NP中活性较NS处理提高31.7%,在LP处理中较LS处理中提高32.4%,在MP处理中较MS处理中提高28.8%(表 2)。在未添加磷肥处理中,LS处理下的PHY活性显著高于NS和MS处理(P < 0.05);添加磷肥处理,MP处理下的PHY活性较NP和LP处理显著降低19.4% 和20.6%,LP和NP处理间差异不显著(表 2)。总体上看,在未添加磷肥处理中PHY活性随培养时间的增加呈先升高后降低的趋势,而在添加磷肥处理中则呈先降低后升高趋势。未添加磷肥处理下,土壤ALP活性随盐分梯度变化无显著性差异的原因可能是土壤本身可利用性磷素较少,其变化也较小;在添加磷肥处理下,ALP在NP处理下活性最高,表明当土壤中磷含量增加,ALP活性随盐分含量的增加表现出降低的趋势。
2.4 土壤酶活性与磷素形态转化的相关性未添加磷肥处理下(图 7A),土壤Al-P与ALP活性呈显著正相关(P < 0.05);有机磷、Ca10-P、O-P与PHY和ALP均呈负相关,Ca8-P、Ca2-P、Fe-P与ALP和PHY均呈正相关,但相关性不显著。添加磷肥处理下(图 7B),土壤Al-P、Fe-P与ALP和PHY均呈显著正相关;Ca10-P、O-P与ALP和PHY均呈显著负相关关系(P < 0.05)。无论添加磷肥与否,土壤Ca10-P与Fe-P、Al-P都呈显著负相关,与O-P、有机磷均呈显著正相关关系(P < 0.05)。结果表明,ALP和PHY活性增加可提高土壤本底Al-P含量以及外加磷肥处理的Ca2-P、Al-P和Fe-P的含量,并促进Ca10-P和O-P等稳定性无机磷向其他形态磷素的转化。
|
(*、**、***分别表示相关性达P < 0.05、P < 0.01、P < 0.001显著水平) 图 7 未添加磷肥(A)和添加磷肥(B)处理下土壤磷素组分与酶活性的相关性 Fig. 7 Correlation between soil phosphorus forms and enzyme activities under treatments without (A) and with (B) phosphorous fertilizer addition treatment |
土壤磷素有效性主要受土壤理化性质、土壤酶及土壤微生物等的影响。许婷婷等[19]研究表明受盐碱胁迫、土壤团粒结构缺乏等影响,土壤有效磷含量降低,致使土壤磷素难以被作物吸收利用。本研究中,土壤本身磷库中含有的有效磷含量约占总磷库的10.7% ~ 11.4%;经添加不同盐分培养97 d后有效磷占总磷库比例由高到低依次为NS > LS > MS,分别为13.7%、11.3% 和10.1%,说明盐分对土壤有效磷含量有抑制作用。研究表明,通过施用外源磷肥土壤中有效磷含量迅速提高[20]。本研究中,添加磷肥处理后土壤有效磷含量迅速提高10倍,使土壤从缺磷状态迅速变成富磷状态。随培养时间的延长,轻度盐渍土和中度盐渍土中有效磷含量缓慢降低,到第97天时,降低幅度分别为8.0% 和26.8%。盐分影响土壤中磷素有效性的原因可能是:一方面在土壤盐胁迫情况下,土壤酶活性和微生物活动受到制约[21],有机磷的矿化作用减弱,无机磷中难以被植物利用的组分含量升高,从而降低土壤中有效磷含量;另一方面含盐量升高,抑制了土壤养分的循环与释放,使土壤磷的利用率降低。
土壤中不同磷素组分对有效磷的贡献不同。研究表明,土壤无机磷组分中Ca2-P对土壤有效磷的贡献最大,Ca8-P、Fe-P和Al-P为有效磷的缓效磷源[22],Ca10-P在土壤中的含量最高,但可利用性仅高于O-P。郭大勇等[23]通过在盆栽试验中外施不同种类磷肥研究发现,不同无机磷组分Ca2-P、Ca8-P和Fe-P与有效磷呈极显著正相关(P < 0.001)。本研究中,无论添加磷肥与否,在土壤磷库中,Ca2-P、Ca8-P、Fe-P和Al-P与有效磷呈显著正相关(P < 0.001),Ca10-P和O-P与有效磷呈负相关。可见,无论外加磷肥与否,土壤中Ca2-P、Ca8-P、Fe-P和Al-P的含量变化均会影响土壤磷素有效性,而Ca10-P和O-P的活化是提高土壤磷有效性的重要途径。后续将继续研究Ca10-P和O-P的活化途径,如添加低分子量有机酸或其他有机物料,从而提高磷素有效性。
3.2 盐分和磷肥施用对土壤磷素形态转化的影响磷肥加入土壤后,很快发生物理和化学反应,转化成磷酸盐化合物,能促进作物对磷素的吸收,提高作物产量[24]。杨艳菊等[25]通过添加不同种类磷肥分析土壤磷素形态的变化,研究表明,磷肥添加下,有机磷总量和组分均有不同程度增加,有机磷组分中以活性有机磷增加最为显著[26]。本研究中添加磷肥处理中有机磷总量有较大变化,推测可能是因为添加磷肥导致土壤pH降低,增加了土壤中有机磷的含量,但此结论有待考究,后续研究会继续进行试验证实。
有研究表明,磷肥加入土壤后,显著增加土壤Ca2-P、Ca8-P、Fe-P和Al-P的含量,Ca10-P和O-P的含量在短时间内不会增加,但随着时间的推移,Ca10-P和O-P处于上升状态,Ca2-P、Ca8-P、Fe-P和Al-P均呈现下降趋势[27]。本试验得出的结论与此相似,添加磷肥后,培养第1天Ca2-P和Fe-P含量显著增加,培养第97天时,Ca10-P含量发生明显变化,不同盐分梯度下Ca10-P增加量表现为MP > LP > NP,分别增加20.9%、12.0% 和12.9%。无机磷形态中Ca2-P、Ca8-P、Fe-P和Al-P属于有效性较高的组分,Ca10-P和O-P几乎不能被作物所利用。
研究表明,土壤本身含有的磷素可利用率很低,大部分被土壤所固定,土壤盐碱障碍对磷素的吸收利用影响更大[28]。本试验培养97 d后,未添加和添加磷肥处理下,非盐渍土中Ca10-P分别占总无机磷含量的58.2% 和53.5%,轻度盐渍土中分别为58.9% 和55.0%,中度盐渍土中分别为62.6% 和58.9%,表明土壤Ca10-P含量随盐分的增加占无机磷总量的比例有所升高。这可能是因为在盐渍化土壤中,土壤理化性质变差,土壤微生物活性降低,影响磷素活化,而Ca10-P占总无机磷含量最高,当土壤中磷素可利用性较低时,Ca10-P所起的作用最大。刘小媛[29]研究表明,Ca-P是主要的土壤无机磷组分,Al-P和Fe-P偏低是盐渍土壤缺磷的主要原因。本试验结果与此相似,培养97 d后,NS、LS和MS处理土壤中Fe-P占比分别为10.8%、10.3% 和8.6%,Al-P占比分别为3.0%、2.7% 和2.2%,故土壤中的Al-P和Fe-P随盐分浓度的升高而降低。出现这种结果的原因主要是在盐碱化土壤中,Fe、Al含量较少,磷主要生成磷酸钙的转化体系,导致Al-P和Fe-P含量降低。本研究中,添加磷肥后,中度盐渍化土壤中Ca10-P和O-P含量增加更为明显,Ca8-P在MP处理中增加量低于在NP和LP中的增加量,Ca2-P、Fe-P和Al-P在MP中降低更为显著,因O-P本身含量较低,可能在中度盐渍化土壤中添加磷肥后Ca2-P、Fe-P和Al-P主要转化为Ca10-P,在非盐渍土和轻度盐渍化土壤中则主要转化为Ca10-P和Ca8-P。
土壤中有效磷的含量随盐分的升高而降低,在盐渍化农田土壤中通过添加磷肥能迅速提高土壤有效磷含量。何港辉等[30]研究表明,单施有机肥、有机肥配施中量化肥能显著提高土壤酶的活性。土壤ALP和PHY促进有机磷矿化的同时,也会分泌柠檬酸盐和草酸盐等羧酸盐促进土壤有机磷活化,因此进一步探讨提高土壤中酶的活性来增加磷素活化能力是今后的研究重点。
4 结论1) 不同盐分梯度对土壤磷库作用不同。在添加磷肥的处理中,随土壤含盐量增加,土壤有效磷含量逐渐降低;有机磷总量逐渐升高;无机磷中Ca2-P、Ca8-P、Fe-P和Al-P含量均降低、Ca10-P和O-P含量升高。未添加磷肥的处理除Ca2-P受盐分影响不显著外,其余组分与添加磷肥处理中变化规律相同。表明随盐分含量升高,土壤可利用性磷部分转化为固定态磷,致使土壤磷素活性降低,在中度盐渍化土壤中表现最显著。
2) 未添加磷肥的处理中,土壤Al-P、Fe-P与ALP和PHY均呈正相关,土壤有机磷、Ca10-P和O-P与ALP和PHY均呈负相关;添加磷肥后,土壤Al-P、Fe-P和Ca2-P与ALP和PHY均呈显著正相关,O-P、Ca10-P与ALP和PHY呈显著负相关。表明酶活性增加有利于土壤中Ca10-P和O-P及土壤本身有机磷的活化。
因此,在实际肥料管理过程中,盐渍化土壤应注重通过单施有机肥、有机肥配施中量化肥等方式提高酶的活性,从而增加有机磷向无机磷的转化。
| [1] |
咸敬甜, 陈小兵, 王上, 等. 盐渍土磷有效性研究进展与展望[J]. 土壤, 2023, 55(3): 474-486 DOI:10.13758/j.cnki.tr.2023.03.003 ( 0) |
| [2] |
张淑香, 徐明岗. 土壤磷素演变与高效利用[J]. 中国农业科学, 2019, 52(21): 3828-3829 ( 0) |
| [3] |
钟传青. 解磷微生物溶解磷矿粉和土壤难溶磷的特性及其溶磷方式研究[D]. 南京: 南京农业大学, 2004.
( 0) |
| [4] |
Lv H Y, Yang H T. Effects of long-term fertilization on inorganic phosphorus morphology and adsorption and desorption characteristics of black soil[J]. Soil Science and Plant Analysis Communication, 2019, 50(6): 763-771 DOI:10.1080/00103624.2019.1589485 ( 0) |
| [5] |
卜玉山, 梁美英, 张广峰, 等. 不同石灰性土壤磷素形态及其有效性差异[J]. 山西农业大学学报(自然科学版), 2011, 31(3): 193-199 ( 0) |
| [6] |
阳琴, 徐博, 占丰瑞, 等. 不同分子量碳源对砂姜黑土磷素有效性和玉米磷吸收的影响[J]. 土壤, 2023, 55(5): 1001-1007 DOI:10.13758/j.cnki.tr.2023.05.009 ( 0) |
| [7] |
Udo E J, Ibedu M A, Fagbami A A. Phosphorus status of some saline and non-saline hydromorphic soils of the Niger Delta of Nigeria[J]. Plant and Soil, 1984, 77(2): 327-335 ( 0) |
| [8] |
习娟, 杨修一, 耿计彪, 等. 不同施磷量对盐渍化土壤玉米磷素吸收及产量的影响[J]. 中国土壤与肥料, 2022(7): 58-63 ( 0) |
| [9] |
王燕, 赵哈林, 董治宝, 等. 荒漠绿洲农田盐渍化过程中土壤环境的演变过程[J]. 生态环境学报, 2014, 23(11): 1744-1751 ( 0) |
| [10] |
高珊, 杨劲松, 姚荣江, 等. 调控措施对滨海盐渍土磷素形态及作物磷素吸收的影响[J]. 土壤, 2020, 52(4): 691-698 DOI:10.13758/j.cnki.tr.2020.04.006 ( 0) |
| [11] |
杨劲松, 姚荣江, 王相平, 等. 中国盐渍土研究: 历程、现状与展望[J]. 土壤学报, 2022, 59(1): 10-27 ( 0) |
| [12] |
Rath K M, Rousk J. Salt effects on the soil microbial decomposer community and their role in organic carbon cycling: A review[J]. Soil Biology and Biochemistry, 2015, 81: 108-123 DOI:10.1016/j.soilbio.2014.11.001 ( 0) |
| [13] |
高亚君, 李亚娟, 姜智英, 等. 不同退化程度高寒草甸土壤磷素含量与碱性磷酸酶活性研究[J]. 草原与草坪, 2022, 42(5): 81-87 ( 0) |
| [14] |
苏奇倩, 丁豪杰, 李晓锋, 等. 微生物植酸酶及其对土壤植酸的矿化作用综述[J]. 环境化学, 2023, 42(4): 1366-1380 ( 0) |
| [15] |
郭晓雯, 刘佳炜, 郑志玉, 等. 全生育期咸水滴灌对土壤盐分累积和棉花生长的影响[J]. 干旱区研究, 2022, 39(6): 1952-1965 ( 0) |
| [16] |
王遵亲, 祝寿泉, 俞仁培, 等. 中国盐渍土[M].
科学出版社, 北京, 1993
( 0) |
| [17] |
鲍士旦. 土壤农化分析(3版)[M].
中国农业出版社, 北京, 2000
( 0) |
| [18] |
廖梓鹏. 农田土壤微生物碱性磷酸酶基因的多样性及其对磷素响应[D]. 广州: 华南理工大学, 2017.
( 0) |
| [19] |
许婷婷, 石程仁, 张智猛, 等. 施用钙肥对盐碱地花生开花期后土壤水分、盐分和速效养分运移的影响[J]. 中国农学通报, 2019, 35(24): 73-81 ( 0) |
| [20] |
曹华, 李欢, 樊慧琳, 等. 外源磷添加会增加不同年限稻田磷素生物有效性[J]. 土壤学报, 2024, 61(2): 515-526 ( 0) |
| [21] |
陈绕生, 薛林宝. 园林植物土壤酶活性和微生物活性对盐碱胁迫的响应[J]. 北方园艺, 2021(4): 79-86 ( 0) |
| [22] |
杜伟, 赵秉强, 林治安, 等. 有机复混磷肥对石灰性土壤无机磷形态组成及其变化的影响[J]. 植物营养与肥料学报, 2011, 17(6): 1388-1394 ( 0) |
| [23] |
郭大勇, 袁玉玉, 曾祥, 等. 石灰性土壤施用不同磷肥对玉米苗期生长和土壤无机磷组分的影响[J]. 水土保持学报, 2021, 35(4): 243-249 ( 0) |
| [24] |
郭慧慧, 郝明德, 蒙静, 等. 施肥对人工羊草地的产草量及养分吸收的影响[J]. 宁夏大学学报(自然科学版), 2016, 37(1): 118-124 ( 0) |
| [25] |
杨艳菊, 王改兰, 张海鹏, 等. 长期施肥条件下栗褐土碱性磷酸酶活性及其与磷形态的关系[J]. 土壤, 2013, 45(4): 678-682 ( 0) |
| [26] |
Wang J, Liu W Z, Mu H F, et al. Inorganic phosphorus fractions and phosphorus availability in a calcareous soil receiving 21-year superphosphate application[J]. Pedosphere, 2010, 20(3): 304-310 ( 0) |
| [27] |
龚会蝶, 王雪艳, 王宇莹, 等. 磷肥品种和施用方式对灌耕灰漠土有效磷和无机磷形态的影响[J]. 西北农业学报, 2023, 32(5): 744-752 ( 0) |
| [28] |
高珊, 杨劲松, 姚荣江, 等. 改良措施对苏北盐渍土盐碱障碍和作物磷素吸收的调控[J]. 土壤学报, 2020, 57(5): 1219-1229 ( 0) |
| [29] |
刘小媛. 不同调控措施对黄河三角洲盐渍农田氮磷养分协同增效的影响研究[D]. 北京: 中国科学院大学, 2021.
( 0) |
| [30] |
何港辉, 沈一, 王梓轩, 等. 多样化培肥模式调控丛枝菌根真菌促进玉米磷素吸收[J]. 土壤学报, 2024, 61(2): 573-582 ( 0) |
2. Key Laboratory of Soil and Sustainable Agriculture, Chinese Academy of Sciences, Nanjing 211135, China;
3. State Key Laboratory of Land Degradation and Ecological Restoration in Western China, Yinchuan 750021, China
2024, Vol. 56



0)