2. 江苏常熟农田生态系统国家野外科学观测研究站/土壤与农业可持续发展全国重点实验室(中国科学院南京土壤研究所), 南京 211135;
3. 云南农业大学烟草学院, 昆明 650201;
4. 南京大学地理与海洋学院, 南京 210033
设施菜地过量化肥投入和高强度的种植模式,导致土壤硝态氮(NO3–-N)积累严重,且土壤呈酸性,严重威胁设施蔬菜生产安全[1-2]。强还原土壤灭菌(Reductive soil disinfestation,RSD)处理作为一种环境友好型方法,通过添加有机物料和淹水覆膜措施在短时间内创造土壤强还原环境,进而通过促进反硝化过程去除积累在土壤中的硝酸盐,达到土壤脱盐的目的[3-5]。RSD处理过程中,即土壤处在厌氧还原条件下,当大量外源有机碳施入后,土壤富集的硝酸盐(次生盐渍化主要盐分)以反硝化为主要途径去除,NO3–-N还原为气态氮产物NO、N2O、N2排放到大气,加剧N2O排放风险[6]。在满足改良效果的前提下,降低NO3–-N淋失和温室气体N2O排放风险,保证去除多余硝酸盐的同时尽可能减少氮素损失,是应用和推广RSD方法修复退化设施菜地土壤亟待解决的问题。
应用RSD处理退化菜地土壤的过程中,需要厘清土壤NO3–-N去除的三大去向:参与土壤氮循环、淋失和气态氮损失。RSD处理造成土壤厌氧还原条件,大量外源有机碳施入后可以增加土壤微生物活性,土壤NO3–-N同化转化为铵态氮(NH4+-N)和有机态氮[7-9]。有研究发现,在NO3–-N富集的菜地土壤上,以黑麦草(C/N 38,施用量为C 2 500 ~ 7 500 kg/hm2)作为RSD技术的有机物料可显著增加土壤NH4+-N含量,土壤NO3–-N显著下降[10]。但也有研究分析了RSD处理过程中施用秸秆(C/N 80)和秸秆黑炭(C/N 74)的土壤NO3–-N去除效果,却发现土壤NH4+-N、NO3–-N含量均呈显著下降趋势[11-12]。可见,不同C/N外源有机物料对土壤NO3–-N的去除效率存在差异,且NO3–-N转化为NH4+-N供后续作物利用的含量也不一致。此外,淹水或土壤水分饱和条件下,渗漏性较强的土壤采用RSD处理有可能发生NO3–-N的淋失。而对于气态损失,有研究发现,RSD处理过程中N2O排放量可达到常规土壤的950倍~ 2 554倍[13];在水稻秸秆、玉米秸秆、花生秸秆、甘蔗渣、大豆秸秆等不同有机物料施用下的RSD处理过程中,除甘蔗渣外,其他有机物料均会增加土壤N2O排放风险[13]。另外,RSD处理过程向土壤提供了外源有机碳,其可通过提高土壤CH4底物供应量,刺激土壤原有机碳的矿化等途径促进CH4排放[14]。综上可知,RSD技术去除硝酸盐积累的过程中可能会存在NO3–-N的淋失和温室气体N2O的排放等负面影响,但通过选择适宜C/N的外源有机物料,可以实现去除富集NO3–-N的同时,有利于氮的保蓄,降低氮素损失和污染风险。此外,连作障碍土壤往往呈酸性。土壤pH作为土壤的重要理化指标,可以通过影响土壤氮素转化过程改变土壤NO3–-N含量。研究表明,淹水厌氧条件下,不同pH的土壤氮矿化速率存在显著差异[15];土壤硝化速率会随着土壤pH降低而降低,且到pH 4.5左右时接近于0[16]。可见,淹水厌氧条件下土壤有机质和pH均会影响土壤NO3–-N去除效率,但目前关于RSD处理过程中不同有机物料C/N和土壤pH调控组合下对土壤及土面水NH4+-N、NO3–-N含量和温室气体排放综合效果的报道相对较少。
基于此,本研究探讨了RSD处理下不同有机物料C/N和土壤pH调控下土壤NO3–-N去向差异,筛选既能消除土壤硝酸盐富集,又能以铵态氮保蓄土壤氮素,同时能降低氮素环境污染风险的RSD改进方法,以期为退化设施菜地土壤修复和养分高效利用提供理论依据。
1 材料与方法 1.1 供试材料供试土壤采自江苏省南京市江宁区汤山街道连作20余年的设施蔬菜大棚(31°55′37″ N,119°02′59″ E)0 ~ 15 cm土层。采样时间为2022年夏季蔬菜收获后。采集的土壤,剔除石块和植物根系,风干过2 mm筛以供室内培养试验。供试不同C/N有机物料选用麦麸(C/N 20)、紫云英绿肥(C/N 30)、芦苇(C/N 60)、麦秆(C/N 90)。土壤pH调控通过加入生石灰(CaO 99%,分析纯)实现。为避免水分、物料形态等造成的结果误差,所有有机物料均于60 ℃烘干,粉碎过0.25 mm筛。供试土壤和物料基本性质如表 1所示。
|
|
表 1 供试土壤和有机物料基本性质 Table 1 Basic properties of soil and materials tested |
试验设置了土壤pH和有机物料C/N 2个因素,其中pH设置3个水平,分别为pH7、pH8、pH9记为P7、P8、P9,以不调控pH (土壤pH≈5)为对照(P5)。不同土壤pH初始值通过生石灰按照不同添加比例进行调节。同一土壤pH条件下,有机物料C/N设置4个梯度,分别为C/N 20、C/N 30、C/N 60、C/N 90分别记为C20、C30、C60、C90。具体试验设计如表 2所示。
|
|
表 2 试验设计 Table 2 Experimental design |
试验操作流程简述如下:称取相当于烘干土重50 g的风干土样于250 mL培养瓶中(每个处理重复3次),30 ℃预培养7 d激发微生物活性;正式培养阶段,添加1.0 g有机物料并将其与土壤充分混匀(2%,m/m);加入生石灰调节pH至目标土壤pH;稳定1 h后,按照质量比1∶1均匀加入蒸馏水使土壤形成约1 cm淹水层;随后,用氦气替换培养瓶内空气保持瓶内外气压相当,并将样品置于30 ℃恒温培养箱内连续培养360 h,分别在培养4、12、24、48、72、96、120、168、240、360 h时采集气体样品,用于测定CH4、N2O和CO2排放速率。培养过程中共取气样10次,每次气样采集时,打开培养瓶瓶塞通风15 min后盖上瓶塞;将培养瓶放入30 ℃恒温培养箱静置4 h后,用25 mL注射器抽吸3次混匀瓶内气体后,采集25 mL气样注入20 mL气瓶中,用于测定CH4、N2O和CO2浓度。气样采集完成后,回填相同体积的氦气。同时,在培养24、72、120、240、360 h时进行土样破坏性采集(将培养瓶内的土壤混匀后取出),用于测定土壤NH4+-N、NO3–-N含量,并且在土样采集前收集土面水,测定其NH4+-N、NO3–-N含量。
土壤和土面水NH4+-N和NO3–-N含量利用连续流动分析仪(Skalar san++,荷兰)进行测定;土壤以及物料全碳、全氮含量采用元素分析仪(Elementar Vario EL III,德国)测定;CH4、N2O和CO2浓度采用配备FID检测器的气相色谱(GC-2010,日本)测定。
1.3 数据处理与统计分析CH4、N2O和CO2排放速率及累积排放量计算参见公式(1)、(2)。
| $ F=\rho \times \Delta C / \Delta t \times 273.15 /(273.15+T) \times V / m $ | (1) |
| $ M=\Sigma\left(F_i+F_{i-1}\right) / 2 \times\left(t_i-t_{i-1}\right) \times 24 $ | (2) |
式中:F为CH4、CO2和N2O的排放速率,mg/(kg·h)和μg/(kg·h);ρ为CH4、CO2和N2O标准状态下密度;ΔC/Δt为培养瓶内CH4、CO2和N2O浓度增加量;T为培养温度,℃;V为培养瓶中气体有效空间体积,m3;m为烘干土质量,kg;M为CH4、CO2和N2O累积排放量,单位均为mg/kg;t为采样时间(d);ti–ti–1为两次采样时间间隔。
本试验中所有数据均利用Excel 2019和SPSS 24.0进行处理与统计分析,其中通过双因素方差分析(Two-way ANOVA)评估不同土壤pH和外源物料C/N组合调控下水–土–气界面NO3–-N去向的差异性,采用单因素方差分析(One-way ANOVA)评价同一pH下不同C/N有机物料处理和同一C/N有机物料下不同pH处理对设施土壤硝酸盐去除效果和途径的影响,以及不同处理对土壤及土面水铵态氮、硝态氮含量和温室气体排放量的影响,并采用LSD法进行显著性检验。利用Origin 2019进行作图。
2 结果与分析 2.1 不同土壤pH和外源有机物料碳氮比调控组合下土壤硝态氮去向差异RSD处理对土壤NO3–-N去向的影响主要包括土、水、气三个界面。本研究的RSD处理主要包括淹水条件下不同pH和外源有机物料C/N的调控组合,由表 3可知,培养结束(360 h)时,pH调控对土壤和土面水NO3–-N含量均无显著影响,土壤NO3–-N含量41.94 ~ 44.33 mg/kg,土面水NO3–-N含量5.48 ~ 8.34 mg/kg。对于NH4+-N,高pH环境会显著增加土壤和土面水NH4+-N含量。以pH 9为例,pH 9处理的土壤NH4+-N平均含量分别较pH 5(CK)、pH 7、pH 8处理增加16.8、9.17、12.99 mg/kg;土面水NH4+-N平均含量则分别较pH 5、pH 7、pH 8处理增加16.12、1.50、5.78 mg/kg。温室气体N2O排放量是土壤NO3–-N去除过程中重要的环境风险评价指标,由表 4可见,pH 5、pH 7、pH 8、pH 9处理土壤N2O累积排放量分别为1 345.20、1 777.50、1 918.80、1 805.40 μg/kg。此外,高pH处理下,CH4和CO2排放量显著增加。由此可见,调控土壤pH虽不能直接降低土壤NO3–-N含量和提高其去除效率,但可以增加土壤NH4+-N含量。
|
|
表 3 培养结束时不同pH调控和外源有机物料C/N组合下土壤和土面水NH4+-N、NO3–-N含量 Table 3 Contents of NH4+-N and NO3–-N in soils and surface water under different pH and organic material C/N ratios after cultivation |
|
|
表 4 不同pH调控和外源有机物料C/N组合下温室气体累积排放量 Table 4 Greenhouse gas emissions accumulation in soils and surface water under different pH and organic material C/N ratios |
不同C/N有机物料对土壤和土面水的NH4+-N、NO3–-N含量以及温室气体排放均有显著影响。高C/N有机物料处理的土壤NO3–-N和NH4+-N含量均显著高于低C/N有机物料处理,说明高C/N有机物料处理可以增加土壤NH4+-N存蓄能力。其中,C/N 60有机物料处理土壤NO3–-N和土面水NO3–-N含量均显著高于其他处理,分别为54.56 mg/kg和9.38 mg/kg。此外,对于N2O排放量,C/N 60有机物料处理下土壤N2O累积排放量为2883.00 μg/kg,而C/N 20处理N2O累积排放量仅为392.10 μg/kg。值得注意的是,C/N 60有机物料处理土壤NO3–-N去除效果最差,且N2O排放量最高;C/N 90有机物料处理的土壤NH4+-N含量却显著高于其他处理。
在相同pH水平下不同C/N有机物料添加对土壤、土面水NH4+-N、NO3–-N和温室气体(CH4、CO2、N2O)排放均有显著影响。由表 3可知,无论pH是否调节,C/N 20有机物料处理的土壤NH4+-N含量均低于其他处理(P < 0.05),其中,除pH 9条件下外,同一pH条件下土壤NH4+-N含量均呈现随有机物料C/N增加而上升的趋势。pH 9条件下,C20P9、C30P9、C60P9、C90P9处理土壤NH4+-N含量大多则分别为56.83、73.33、90.90、78.87 mg/kg。对于土壤NO3–-N,高C/N有机物料处理土壤NO3–-N含量显著低于低C/N处理(P < 0.05),这表明相同pH条件下施用高C/N的外源有机物料更有利于土壤NO3–-N去除和NH4+-N保蓄,且以C90P5处理效果最佳,其土壤NO3–-N含量仅为31.17 mg/kg。对于土面水,相较pH调控处理,未调控pH时不同C/N有机物料添加对土面水NO3–-N无显著影响,土面水的氮大多以NH4+-N形式存在。当pH调控至7以上,高C/N有机物料处理土面水NO3–-N含量低于低C/N有机物料处理(C/N 20),且土壤NH4+-N含量高于低C/N有机物料处理(C/N 20)。对于温室气体排放,除CH4排放外,土壤CO2、N2O排放量均随土壤pH增加而增加。其中,不同pH水平下,施用不同C/N外源有机物料对土壤N2O排放量的影响并不一致:当pH < 7时,低C/N有机物料处理增加土壤N2O排放风险;当pH > 7时,高C/N有机物料处理的土壤N2O排放风险更高。综合来看,低pH条件下,施用高C/N有机物料更有利于土壤NH4+-N存蓄和NO3–-N去除,且能兼顾N2O减排风险。
2.2 不同土壤pH和外源有机物料碳氮比调控组合下土壤NH4+-N、NO3–-N变化规律土壤NH4+-N和NO3–-N是作物生长发育的主要氮源。总体来看,无论何种pH和外源有机物料C/N,土壤NH4+-N含量均随着培养时间的推移而逐步增加,而土壤NO3–-N含量明显下降,但不同处理间的变化趋势有明显差异。其中,当不调控pH时(pH5),C/N 30、C/N 60、C/N 90有机物料处理土壤NH4+-N含量上升速率要显著高于C/N 20有机物料处理(图 1A)。当土壤pH增加至7或8时,C/N 90有机物料处理的土壤NH4+-N含量增加速率显著高于其他处理,但C/N 20、C/N 30、C/N 60有机物料处理间的NH4+-N含量变化速率无显著差异(图 1B ~ 1C)。然而,土壤pH调节至9时,土壤NH4+-N含量变化速率与外源有机物料C/N的关系并不紧密,C20P9处理土壤NH4+-N含量增加速率最高,为0.11 mg/(kg·h);C60P9处理土壤NH4+-N含量增加速率最小,为0.06 mg/(kg·h)。另外,C90P8处理土壤NH4+-N含量增加速率显著高于其他处理,为0.13 mg/(kg·h)。
|
图 1 不同pH调控和外源有机物料C/N组合下土壤NH4+-N与NO3–-N变化 Fig. 1 Changes of soil NH4+-N and NO3–-N contents under different pH and organic material C/N ratios |
对于土壤NO3–-N,高C/N有机物料处理(C/N > 30)土壤NO3–-N含量下降速率均显著低于低C/N有机物料处理(C/N < 30)。当未调控pH时,C20P5、C30P5、C60P5、C90P5处理土壤NO3–-N含量下降速率分别为0.24、0.23、0.14、0.22 mg/(kg·h);当土壤pH调节至7时,C20P7、C30P7、C60P7、C90P7处理土壤NO3–-N含量下降速率分别为0.25、0.23、0.18、0.28mg/(kg·h);当土壤pH为8或9时,不同C/N有机物料处理也呈现类似变化趋势及差异。
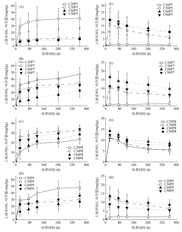
2.3 不同土壤pH和外源有机物料碳氮比调控组合下土面水NH4+-N、NO3–-N变化规律土面水的NH4+-N、NO3–-N变化可以较好地模拟RSD技术营造的淹水环境对土‒水界面氮损失的影响。对于土面水NH4+-N,无论是否进行pH调控,施用不同C/N有机物料后,土面水NH4+-N含量均显著上升(图 2A ~ 2D)。其中,当土壤pH为5、7、9时,C/N 20有机物料处理土面水NH4+-N累积速率均显著高于其他处理,分别为0.11、0.13、0.13 mg/(kg·h),这表明当土壤pH为5、7、9时,施用低C/N有机物料会增加土面水NH4+-N含量。值得注意的是,当pH为8时,C/N 20有机物料处理土面水NH4+-N含量增加速率最慢,为0.06 mg/(kg·h);C/N 90有机物料处理土面水NH4+-N含量增加速率最快,为0.09 mg/(kg·h)。
|
图 2 不同pH调控和外源有机物料C/N组合下土面水NH4+-N与NO3–-N变化 Fig. 2 Changes of NH4+-N and NO3–-N contents in surface water under different pH and organic material C/N ratios |
对于土面水中的NO3–-N,无论哪种土壤pH情境,施用中高C/N(C/N > 20)有机物料后土面水NO3–-N含量均呈现明显下降趋势;而施用低C/N(C/N 20)外源有机物料后土面水NO3–-N变化对不同pH的响应并不一致:当pH为5、7、9时,C/N 20有机物料处理土面水NO3–-N含量变化平稳,处于0.96 ~ 1.68 mg/kg;但当pH为8时,C/N 20有机物料处理土面水NO3–-N含量变化从培养24 h时的11.24 mg/kg降低至360 h时的5.15 mg/kg。单就土面水NO3–-N而言,不同pH条件下的最佳外源有机物料并不一致,其中在pH 5、pH 7、pH 8条件下,C30P5、C30P7处理土面水NO3–-N含量下降最明显,从培养24 h到360 h分别下降了9.96、4.06 mg/kg;但在pH 9的情境下,C90P9处理的NO3–-N含量最低,仅为5.40 mg/kg。
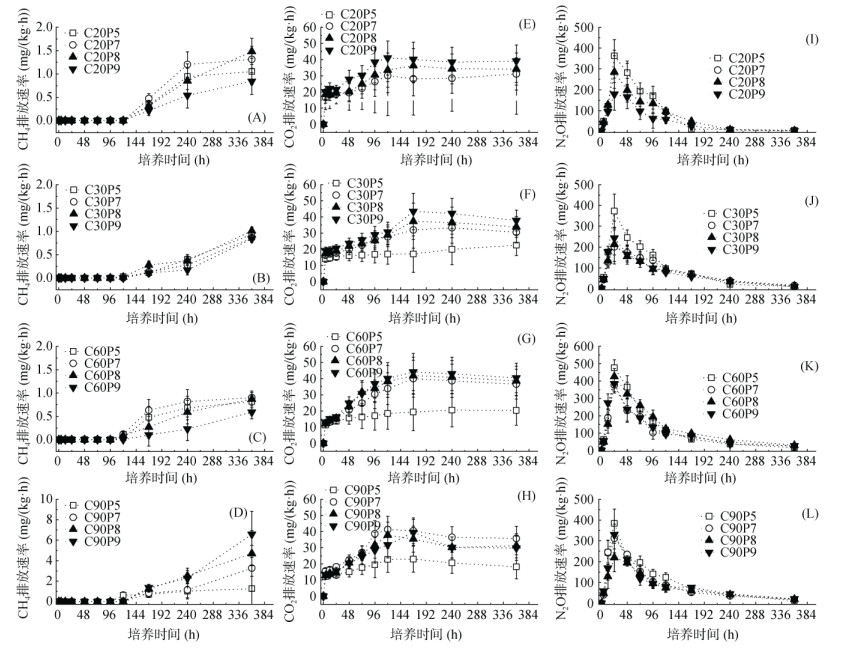
2.4 不同土壤pH和外源有机物料碳氮比调控组合下温室气体变化规律图 3反映了不同土壤pH和外源物料C/N调控组合下土壤CH4、CO2和N2O温室气体变化规律。对于CH4,所有处理的CH4排放均在培养96 h以后发生,且无论何种pH水平,C/N 90有机物料处理CH4排放速率均显著高于其他处理,说明高有机物料C/N不利于CH4减排。C90P5、C90P7、C90P8、C90P9处理CH4排放速率分别为1.28、3.27、4.71、6.57 mg/(kg·h)(图 3A ~ 3D),说明碱性环境会增加土壤CH4排放风险。值得注意的是,在调高pH后,施用中低C/N(20、30、60)的有机物料可以减少碱性环境带来的CH4排放风险。
|
图 3 不同pH调控和外源有机物料C/N组合下土壤温室气体变化 Fig. 3 Greenhouse gas emissions under different pH and organic material C/N ratios |
所有处理CO2排放速率均呈现明显的先增加后平稳再增加的趋势。pH 7、pH 8和pH 9水平下,各C/N有机物料处理的CO2排放速率均显著高于pH 5水平下各处理结果(图 3E ~ 3H)。其中,在pH 5 ~ 7时,C20P5、C30P7处理在培养结束时(360 h)的CO2排放速率分别为16.17、30.47 mg/(kg·h),明显低于其他高C/N比有机物料处理;在pH 8 ~ 9时,C90P8、C90P9处理的CO2排放速率最低,分别为31.18、29.73 mg/(kg·h),而C60P8、C60P9处理的CO2排放速率最高,分别为38.52、40.42 mg/(kg·h)。
N2O是土壤NO3–-N的主要气态去向。由图 3I ~3H可知,所有处理的土壤N2O排放均呈现先增加后下降的趋势,且培养24 h左右达到峰值。总体来看,不论哪种pH水平,C/N 60有机物料处理的N2O峰值排放速率均为最高。此外,施用有机物料的土壤N2O减排效果受pH影响差异显著:当土壤pH为5时,C20P5、C30P5、C90P5处理减缓土壤N2O排放的效果无显著差异;当土壤pH为7 ~ 9时,低C/N有机物料处理更有利于减缓N2O排放。例如,当土壤pH为9时,C20P9处理的N2O峰值排放速率仅为2.4 μg/(kg·h),远低于其他处理。综合来看,调高pH后,低C/N有机物料处理更有利于降低N2O排放风险。
综上所述,不同pH水平条件下,不同C/N外源有机物料施用对土壤CH4、CO2和N2O减排的影响效果有所差异。
3 讨论本研究表明,提高土壤pH并不会显著改善土壤NO3–-N去除效果,但高pH水平下土壤NH4+-N存蓄能力明显上升,土壤N2O排放风险明显增加。土壤pH是影响土壤硝化作用的重要因素,pH下降,土壤硝化作用会受到强烈抑制[17],pH 4.5 ~ 5.5为最适pH范围,不影响氮素供应。可见,土壤NH4+-N含量随pH增加可能是由于矿化过程受土壤pH的变化影响相对较弱所致。RSD处理过程中,土壤处于厌氧状态,硝化过程总体十分微弱,大量NH4+-N累积在土壤中。且RSD过程中的厌氧环境也有利于DNRA(硝酸盐异化还原为铵)过程的发生,pH显著影响了DNRA过程,提高了土壤NH4+-N含量[18]。此外,试验过程中有机物料的加入也会促进DNRA过程[6],从而改善土壤NH4+-N存蓄能力。
然而,在高pH环境下土壤N2O累积排放量明显增加,但不同pH土壤NO3–-N含量却无显著差异,这可能是由于以下两方面原因:pH过低时反硝化过程受到抑制,土壤N2O排放量降低;pH过低时,土壤硝化作用受到抑制,用于反硝化的NO3–-N底物相对较少,抑制反硝化过程,从而导致土壤NO3–-N无显著差异。该结果与Meng等[17]研究结果并不一致。Meng等[7]研究结果表明,增加土壤pH会促进土壤NO3–-N去除,但对于NH4+-N和有机氮的增加无显著影响,且N2O累积排放量显著降低。这可能与不同试验所设置的pH梯度不同有关。本研究中,当pH为5、7、9时,C/N 20有机物料处理土面水NO3–-N含量变化平稳,一直处于0.96 ~ 1.68 mg/kg;但当pH为8时,C/N 20有机物料处理土面水NO3–-N含量变化从培养24 h时的11.24 mg/kg降低至360 h时的5.15 mg/kg,这间接表明了土壤pH对土壤NO3–-N去除的重要性。
本研究发现,不同C/N外源有机物料对土壤NO3–-N去除和温室气体减排的作用效果并不一致。就NH4+-N的保蓄而言,施用较高C/N有机物料更有利于NH4+-N的保存,但是同时也会增加N2O排放风险。这与前人的研究结果相似,其在培养试验中也发现,随着淹水条件下黑麦草添加量的增加,土壤NO3–-N含量迅速降低,NH4+-N含量升高,但是同时会伴随大量的N2O排放[10]。本研究中,无论是否进行pH调控,施用不同C/N有机物料后,土面水NH4+-N含量均显著上升,土面水NO3–-N含量均呈现明显下降趋势,其原因是RSD处理过程中土壤NH4+-N含量增加,且此时土壤pH上升至碱性,碱性条件下不利于土壤NH4+-N的保蓄,使得土面水中的NH4+-N含量增加,这加剧了氨排放风险。一般认为,反硝化是消除土壤NO3–-N的主要途径,N2O和N2是主要产物[17]。本试验处在淹水条件下,创造了强厌氧环境,外源有机物料添加促进了反硝化作用,从而导致N2O大量排放。同时,反硝化作用还受NO3–-N含量的影响,本试验中选用的土壤为NO3–-N含量较高的土壤,添加高C/N有机物料后,促进了反硝化作用,从而导致了N2O的大量排放。低C/N有机物料活性越强,DNRA过程和微生物对NO3–-N的同化作用的刺激越强,碳有效性的提高导致微生物活性的增强,有效促进了微生物对无机氮的利用和固持,土壤的NO3–-N去除效果显著[7-8, 19]。
本研究结果还显示,不考虑有机物料C/N时,高pH水平下土壤NH4+-N存蓄能力明显上升,土壤N2O排放风险明显增加;不考虑pH时,低C/N外源有机物料输入更有利于土壤NO3–-N去除,且还能减少温室气体排放。有研究表明,玉米秸秆(C/N 12.5)作为固相碳源、农田土壤为菌源的反硝化系统在120 h内可实现96.8% 的NO3–-N去除[20]。但当综合考虑土壤pH和有机物料C/N时,本研究发现,当土壤pH为5时,施用高C/N有机物料更有利于土壤NH4+-N存蓄和NO3–-N去除,且能兼顾N2O减排。这可能是由于低pH条件下,高C/N有机物料分解周期更长,能为土壤微生物提供更久的能量,从而NH4+-N存蓄能力增强[21]。另外,高C/N只能反映有机物料中的碳和氮数量差异,不同有机物料的碳结构差异也会影响土壤NO3–-N去除效率[22]。酸性土壤环境更有利于NH4+-N保持[17],调节pH至碱性时,NH4+-N虽然容易被土壤吸附固定,却可能会发生氨挥发损失,这也是低pH情况下高C/N有机物料更有利于土壤NH4+-N存蓄和NO3–-N去除的原因。就N2O排放,降低pH能够有效降低N2O等温室气体的排放风险,但施用较高C/N有机物料会加快N2O的排放速率。RSD过程会极大地促进土壤N2O排放[13]。这是由于微生物分解有机物质时会消耗大量的氧气,加上淹水覆膜又隔绝了空气,导致土壤Eh值在RSD修复过程中快速下降形成厌氧环境[21],而高氮的投入又为土壤反硝化提供了充足的底物,导致土壤N2O在RSD过程中大量排放。由图 3可知,培养初期,设施蔬菜地积累的NO3–-N为反硝化过程提供了充足的底物,导致土壤N2O大量排放,随着时间的推移,NO3–-N被消耗,pH过低时土壤硝化作用受到抑制,用于反硝化的NO3–-N底物相对较少,会抑制反硝化过程,N2O产生量也随之减少。
对于CO2排放,无植物参与的情况下,土壤CO2排放主要来自于土壤微生物呼吸作用,而有机物料的加入,因其比表面积和孔隙度大,且含有多种养分元素,可为微生物的生长提供场所和能源,刺激了微生物的活性[22],使其大量繁殖,加速了有机质的分解和矿物质养分的转化,进而促进了土壤CO2排放[23-24]。本研究发现,不同pH水平下外源有机碳类型对土壤CO2排放的影响并不统一,这可能与土壤微生物活动的环境限制密切相关。土壤处在过酸或者过碱环境,均会影响土壤微生物活性。有研究表明,外源物料的添加能显著增加土壤中有机质的矿化,并且矿化速率与土壤初始pH之间存在正相关性[25]。土壤中有机碳的矿化主要是由于细菌的分解作用,而细菌群落主要受土壤pH的影响[26]。本研究中,pH < 7时,C20P5处理在培养360 h时的CO2排放速率最低,为16.17 mg/(kg·h);pH > 7时,C90P9处理的CO2排放速率最低,为29.73 mg/(kg·h)。RSD过程还可通过增加土壤有机质数量、刺激土壤原有机碳的矿化等途径促进CH4排放[14]。本研究发现,无论何种pH水平,C/N 90有机物料处理的CH4排放速率均显著高于其他处理,说明高C/N外源有机物料不利于CH4减排。综上所述,土壤pH和外源物料C/N对土壤NO3–-N的作用效果相对较为复杂,不同pH水平下不同C/N外源有机物料所表现的去除效果存在显著差异。就本研究结果来看,土壤pH较低时,施用高C/N有机物料更有利于土壤NH4+-N存蓄和NO3–-N去除,且能兼顾N2O减排,但其对土壤氮转化过程的影响仍有待进一步研究。
4 结论高pH条件虽然不能直接降低土壤NO3–-N含量,且存在土壤N2O排放风险,但土壤NH4+-N含量明显上升;低C/N外源有机物料输入更有利于土壤NO3–-N去除,高C/N外源有机物料更有利于土壤NH4+-N存蓄。不同处理土壤及土面水NH4+-N、NO3–-N含量和温室气体排放动态变化趋势较为一致,但不同pH条件下的最佳外源有机物料C/N并不相同。综合来看,低pH土壤环境配合高C/N有机物料更有利于土壤NH4+-N存蓄、NO3–-N去除和温室气体减排。
| [1] |
赵凤艳, 吴盼盼, 李天来, 等. 蚓粪对设施番茄连作土壤真菌群落结构的影响[J]. 生态学杂志, 2016, 35(12): 3329-3334 ( 0) |
| [2] |
蔡祖聪. 我国设施栽培养分管理中待解的科学和技术问题[J]. 土壤学报, 2019, 56(1): 36-43 ( 0) |
| [3] |
Blok W J, Lamers J G, Termorshuizen A J, et al. Control of soilborne plant pathogens by incorporating fresh organic amendments followed by tarping[J]. Phytopathology, 2000, 90(3): 253-259 DOI:10.1094/PHYTO.2000.90.3.253 ( 0) |
| [4] |
朱文娟, 王小国. 强还原土壤灭菌研究进展[J]. 土壤, 2020, 52(2): 223-233 DOI:10.13758/j.cnki.tr.2020.02.002 ( 0) |
| [5] |
蔡祖聪, 张金波, 黄新琦, 等. 强还原土壤灭菌防控作物土传病的应用研究[J]. 土壤学报, 2015, 52(3): 469-476 ( 0) |
| [6] |
Zhu T B, Zhang J B, Yang W Y, et al. Effects of organic material amendment and water content on NO, N2O, and N2 emissions in a nitrate-rich vegetable soil[J]. Biology and Fertility of Soils, 2013, 49(2): 153-163 DOI:10.1007/s00374-012-0711-4 ( 0) |
| [7] |
Wang J, Sun N, Xu M G, et al. The influence of long-term animal manure and crop residue application on abiotic and biotic N immobilization in an acidified agricultural soil[J]. Geoderma, 2019, 337: 710-717 DOI:10.1016/j.geoderma.2018.10.022 ( 0) |
| [8] |
Liu S Y, Zhang X P, Liang A Z, et al. Ridge tillage is likely better than no tillage for 14-year field experiment in black soils: Insights from a 15N-tracing study[J]. Soil and Tillage Research, 2018, 179: 38-46 DOI:10.1016/j.still.2018.01.011 ( 0) |
| [9] |
Romero C M, Engel R, Chen C C, et al. Microbial immobilization of nitrogen-15 labelled ammonium and nitrate in an agricultural soil[J]. Soil Science Society of America Journal, 2015, 79(2): 595-602 DOI:10.2136/sssaj2014.08.0332 ( 0) |
| [10] |
朱同彬, 张金波, 蔡祖聪. 淹水条件下添加有机物料对蔬菜地土壤硝态氮及氮素气体排放的影响[J]. 应用生态学报, 2012, 23(1): 109-114 ( 0) |
| [11] |
王小淇, 索龙, 季雅岚, 等. 添加几种秸秆并淹水对海南土壤N2O和CH4排放的影响[J]. 环境科学学报, 2017, 37(10): 4004-4010 ( 0) |
| [12] |
王小淇. 秸秆及生物质炭应用于强还原灭菌法对砖红壤性质及温室气体排放影响研究[D]. 海口: 海南大学, 2017.
( 0) |
| [13] |
王军, 施雨, 李子媛, 等. 生物炭对退化蔬菜地土壤及其修复过程中N2O产排的影响[J]. 土壤学报, 2016, 53(3): 713-723 ( 0) |
| [14] |
丁维新, 蔡祖聪. 土壤有机质和外源有机物对甲烷产生的影响[J]. 生态学报, 2002, 22(10): 1672-1679 DOI:10.3321/j.issn:1000-0933.2002.10.014 ( 0) |
| [15] |
曹竞雄, 韦梦, 陈孟次, 等. 温度对厌氧条件下不同pH水稻土氮素矿化的影响[J]. 中国生态农业学报, 2014, 22(10): 1182-1189 ( 0) |
| [16] |
Aciego Pietri J C, Brookes P C. Substrate inputs and pH as factors controlling microbial biomass, activity and community structure in an arable soil[J]. Soil Biology and Biochemistry, 2009, 41(7): 1396-1405 DOI:10.1016/j.soilbio.2009.03.017 ( 0) |
| [17] |
张金波, 程谊, 蔡祖聪. 土壤调配氮素迁移转化的机理[J]. 地球科学进展, 2019, 34(1): 11-19 ( 0) |
| [18] |
Meng T Z, Zhu T B, Zhang J B, et al. Effect of liming on sulfate transformation and sulfur gas emissions in degraded vegetable soil treated by reductive soil disinfestation[J]. Journal of Environmental Sciences, 2015, 36: 112-120 DOI:10.1016/j.jes.2015.03.032 ( 0) |
| [19] |
黄郑宸, 俞巧钢, 叶静, 等. 有机物料长期施用对稻田土壤养分的影响[J]. 土壤, 2023, 55(2): 272-279 DOI:10.13758/j.cnki.tr.2023.02.006 ( 0) |
| [20] |
靳鹏辉, 陈哲, 王慧, 等. 长期连续秸秆还田和生物质炭施用对稻田N2O排放的影响[J]. 土壤, 2023, 55(5): 964-973 DOI:10.13758/j.cnki.tr.2023.05.005 ( 0) |
| [21] |
柯用春, 王爽, 任红, 等. 强化还原处理对海南西瓜连作障碍土壤性质的影响[J]. 生态学杂志, 2014, 33(4): 880-884 ( 0) |
| [22] |
张耀尹. 秸秆还田对土壤中氮素转化的作用机制[D]. 北京: 中国地质大学(北京), 2021.
( 0) |
| [23] |
Momma N, Yamamoto K, Simandi P, et al. Role of organic acids in the mechanisms of biological soil disinfestation (BSD)[J]. Journal of General Plant Pathology, 2006, 72(4): 247-252 ( 0) |
| [24] |
袁金华, 徐仁扣. 生物质炭的性质及其对土壤环境功能影响的研究进展[J]. 生态环境学报, 2011, 20(4): 779-785 ( 0) |
| [25] |
张凯乐. 探究酸性土壤pH与碳氮矿化之间的相互关系[D]. 杭州: 浙江大学, 2017.
( 0) |
| [26] |
Yuan P, Wang J Q, Pan Y J, et al. Review of biochar for the management of contaminated soil: Preparation, application and prospect[J]. Science of the Total Environment, 2019, 659: 473-490 ( 0) |
2. Changshu National Agro-ecosystem Observation and Research Station/ state Key Laboratory of Soil and Sustainable Agriculture, Institue of Soil Science, Chinese Academy of Sciences, Nanjing 211135, China;
3. College of Tobacco Science, Yunnan Agricultural University, Kunming 650201, China;
4. School of Geography and Ocean Science, Nanjing University, Nanjing 210033, China
2025, Vol. 57



0)