2. 中国科学院南京土壤研究所, 南京 211135;
3. 江西农业大学国土资源与环境学院, 南昌 330045;
4. 中国科学院东北地理与农业生态研究所, 哈尔滨 150081
东北黑土区是我国重要的粮食生产区,全区粮食产量占全国总产量的1/4,是我国粮食生产的“稳压器”和“压舱石”[1-2]。但由于东北地区的农业机械化、规模化和集约化水平较高,农机具田间作业次数较多且大中型机械的普遍应用[3],黑土压实“变硬”问题日益凸出。据报道,自然状态的黑土表层容重为0.79 g/cm3,田间持水量为57.7%,开垦20、40和80年的耕地土壤0 ~ 30 cm土层土壤容重分别增加了7.59%、34.18% 和59.49%,田间持水量分别下降了10.74%、27.38% 和53.90%[4]。Zhuo等[5]调查发现,黑龙江西南部、吉林西部以及辽宁中南部耕作层的紧实度均高于1 000 kPa,犁底层紧实度多在2 000 kPa以上,存在较为严重的土壤压实板结问题。东北黑土压实板结导致土壤通气透水性降低,抑制作物根系伸长和水分养分吸收,造成粮食产量大幅度降低,威胁我国粮食安全[6]。乔金友等[7]在松嫩平原研究发现,大、中和小型拖拉机多次行走压实土壤可导致大豆产量分别降低21.24%、18.15% 和12.38%。因此,采取有效措施消减黑土压实、降低压实对作物产量的负面效应对维护黑土区粮食安全意义重大。
为了消除土壤压实,深松被认为是较好的机械耕作方式。有研究显示,采用深松能有效降低0 ~ 40 cm土壤容重[8]。但深松需要大马力农机牵引,能耗较高,且机械投入成本较高、深松深度有限、深松效果持续时间较短[9],长远看还可能使土壤紧实变得更严重[10]。因此,近年来生物耕作措施越来越多地被应用于缓解土壤压实。生物耕作主要通过种植覆盖作物改善压实土壤结构,其作物根系生长形成的大孔隙可提高土壤孔隙连通性,增强土壤通气透水性,同时为后茬作物根系生长提供优先通道,从而达到缓解土壤压实的目的[11]。研究表明,在美国马里兰州的不同土壤(粉砂壤土、砂壤土和壤土)上种植覆盖作物(饲料萝卜、油菜和黑麦),均显著降低了土壤压实对作物生长的负面效应[12]。然而,覆盖作物根系穿透压实土壤的能力在不同地区和土壤类型下表现可能不同,严磊等[6]发现在安徽砂姜黑土区萝卜+毛苕子在压实土壤中的根系穿透能力强于苜蓿和油菜,Pulido-Moncada等[13]报道在丹麦的砂壤土上苜蓿缓解下层土壤压实的效果优于菊苣、饲用萝卜和牛尾草等。另外,覆盖作物的播期也是影响覆盖作物根系生长及其穿透压实土壤能力的重要因素,且播期的确定与当地的气候特点有关[14]。我国东北黑土区气候冷凉,年平均积温偏低,针对性地筛选适宜该区域气候特点且根系穿透压实土壤能力强的覆盖作物是利用生物耕作消减黑土压实的必要前提。蔡丽君等[15]对12种覆盖作物在东北三江平原地区的种植效果及应用潜力进行综合评价,其中非豆科覆盖作物萝卜、苏丹草、菊苣的根体积大、地下生物量高,豆科覆盖作物紫花苜蓿根干物质积累量大,可用于改良东北黑土。但对于不同播期不同覆盖作物根系对黑土区土壤压实的响应尚未有深入研究。
基于以上,本研究在吉林省典型薄层黑土区设置压实与不压实处理,分析两个播期(春播和秋播)下不同种类覆盖作物(苜蓿、毛苕子、草木樨、沙打旺、田箐、高丹草、黑麦草、萝卜、油菜、菊苣、松香草、鲁梅克斯、燕麦、田箐+高丹草+萝卜+菊苣、草木樨+黑麦草+油菜+鲁梅克斯)根系对土壤压实的响应,以期筛选出适宜东北典型薄层黑土区且具有消减土壤压实能力的覆盖作物品种。
1 材料方法 1.1 试验地概况试验地设置于吉林省长春市公主岭市东兴村(124°48′11″E,43°37′5″N),该区属温带大陆性季风气候,年平均气温5.6 ℃,年平均降水量594.8 mm。该区域为典型薄层黑土区,种植模式为玉米单作,耕作方式以旋耕为主。试验开始前,土壤有机碳含量为11.79 g/kg,土壤机械组成为砂粒22.53%、粉粒48.92%、黏粒28.55%。
1.2 试验设计采用裂区试验设计,设置春播未压实与压实、秋播未压实与压实4个主区处理,每个主区内各设14个相同副区处理,分别是不同品种覆盖作物单一种植(苜蓿、毛苕子、草木樨、沙打旺、田箐、高丹草、萝卜、油菜、菊苣、松香草、鲁梅克斯、黑麦草)以及覆盖作物多品种混合种植(混播1:田箐+高丹草+萝卜+菊苣;混播2:草木樨+黑麦草+油菜+鲁梅克斯),共计56个处理,每个处理3次重复。小区布设为12行14列,每个小区长宽各2 m,各小区之间间隔1 m。压实处理在春季统一实施,采用自重6.3 t的HONGYUN ZL40轮式装载机以轮迹平排的方式往复行走3次对试验地进行压实。随后,压实和不压实处理都采用旋耕机旋至10 cm土层,播种方式为人工撒种。覆盖作物种植前不种植其他农作物,春播于2022年5月8日播种,秋播于2022年8月7日播种。为确保覆盖作物正常生长,播种前施用复合肥(N 60 kg/hm2,P2O5 28 kg/hm2,K2O 28 kg/hm2)作为基肥。
1.3 土壤物理性质测定在春季压实处理后旋耕前以及秋季播种前,均采用100 cm3不锈钢环刀分别对压实和不压实处理下的原状土壤进行取样,采集土层分别为0 ~ 10、10 ~ 20、20 ~ 30、30 ~ 40、40 ~ 50 cm土层,每层取6个环刀样,根据压实与未压实及不同土层深度,共取环刀样品60个。样品带回实验室饱和后脱水至田间持水量,用万用材料试验机(深圳三思,CMT6104)测定土壤穿透阻力,其中探针直径为2 mm,下降速度为20 mm/min。之后,将环刀土样用烘箱105 ℃烘干至恒重,测定土壤容重。
1.4 覆盖作物根系生长特征测定和根系抗压实能力评价春播和秋播处理各个覆盖作物根系的采集分别在2022年9月8日和2022年10月15日进行。采用内径为10 cm的根钻在覆盖作物种植小区内随机选取两个位置,采集0 ~ 50 cm土层内的作物根系,每层采集深度为10 cm,共分为5层。将采集到的根系洗净后,用烘箱85℃烘干称重,计算每个土层根干重密度和每个土层根干重占0 ~ 50 cm土层根总干重的比例。
为筛选根系穿透下层压实土壤能力强的覆盖作物品种,本研究提出了两个参数:一是根干重占比比值(Ratio1),即压实条件下30 ~ 50 cm土层根干重占比与未压实条件下30 ~ 50 cm土层根干重占比的比值,当该比值大于或等于1时,表明压实没有导致30 ~ 50 cm土层根干重比降低;二是根干重密度比值(Ratio2),即压实条件下30 ~ 50 cm土层根干重密度与未压实条件下30 ~ 50 cm土层根干重密度的比值。本研究将根干重密度比值的阈值设为0.8,即压实条件下覆盖作物30 ~ 50 cm土层根干重密度达到未压实条件下的80% 及以上时,便认为此种覆盖作物根系穿透下层压实土壤的能力强。根据上述两个参数筛选不同播期根系穿透下层压实土壤能力强的覆盖作物品种。
1.5 数据处理采用SPSS 26.0进行单因素方差分析(one-way ANOVA),采用Origin 2018进行图形绘制。
2 结果与分析 2.1 压实对土壤容重和穿透阻力的影响春播前,压实和不压实处理下不同土层深度土壤容重和穿透阻力如图 1所示。总体上看,两种处理的土壤容重均呈现随土层深度增加而减小的趋势,容重最大值出现在0 ~ 10 cm土层。与未压实处理相比,压实处理显著提高了各土层深度的容重(P < 0.01),0 ~ 50 cm土层的土壤平均容重提高8.3%。压实与未压实处理下穿透阻力最大值均出现在0 ~ 10 cm土层,随后穿透阻力随土层深度增加而减小;未压实处理下最小值出现在30 ~ 40 cm土层,为704 kPa,而压实处理下最小值出现在40 ~ 50 cm土层,为1 080 kPa。
|
(图中**表示同一土层压实和未压实处理之间差异显著(P < 0.01);下同) 图 1 春播前不同压实处理各土层土壤容重(A)和土壤穿透阻力(B) Fig. 1 Soil bulk densities (A) and soil penetration resistances (B) in various layers under different compaction treatments before spring sowing |
秋播前,压实和不压实处理下不同土层深度土壤容重和穿透阻力如图 2所示。在压实与未压实处理下,土壤容重均呈现随土层深度加深而增大的趋势,最大值分别为1.57和1.52 g/cm3。压实对0 ~ 10 cm土层的土壤容重无显著影响,但却显著提高了10 ~ 50 cm土层的土壤容重(P < 0.05)。压实与未压实条件下,在0 ~ 20 cm土层穿透阻力均随土层深度增大而增加,在20 cm土层以下均随土层深度增加逐渐降低。压实处理0 ~ 10、10 ~ 20和20 ~ 30 cm土层的穿透阻力分别约是未压实处理的4倍、2倍和1.3倍(P < 0.01)。
|
(图中*表示同一土层压实和未压实处理之间差异显著(P < 0.01);下同) 图 2 秋播前不同压实处理各土层土壤容重(A)和土壤穿透阻力(B) Fig. 2 Soil bulk densities (A) and soil penetration resistances (B) in various layers under different compaction treatments before fall sowing |
图 3所示为春播下不同土层不同覆盖作物根干重占比。在0 ~ 10 cm土层,压实处理下各作物根干重占比差异较大,混播1占比最大达到87%,苜蓿为最小占比为59%;与未压实处理相比,压实处理下0 ~ 10 cm土层高丹草、萝卜、黑麦草和混播2处理的根干重占比显著降低,而田箐、松香草的根系干重占比显著增加(P < 0.05)。在10 ~ 20 cm土层,与未压实处理相比,压实处理下田菁、菊苣、松香草和鲁梅克斯的根干重占比显著降低,而苜蓿、毛苕子、萝卜、黑麦草和混播2的根干重占比显著增加;不同覆盖作物根干重占比差异较大,压实处理草木樨根干重占比最大为31.84%,是最小根干重占比混播1的5倍。在20 ~ 30 cm土层,未压实处理菊苣和黑麦草的根干重占比显著高于压实处理,油菜根干重占比在压实处理下显著高于未压实处理。在30 ~ 40 cm土层,压实处理下苜蓿根干重占比最高,毛苕子、草木樨、沙打旺等覆盖作物根系出现“消失”的现象,油菜则是在压实处理与未压实处理下均出现该情况。在40 ~ 50 cm土层,压实处理下仍然有根系的覆盖作物品种缩减至5种,分别为苜蓿、田箐、高丹草、混播1、混播2,其中根干重占比最高的为苜蓿。
|
图 3 春播覆盖作物不同深度根干重占比 Fig. 3 Proportions of root dry weight at various depths in spring sowing cover crops |
图 4所示为春播覆盖作物不同深度根干重密度。由图 4可知,在0 ~ 10 cm土层,经压实处理后除草木樨、沙打旺、田箐、黑麦草外,其余覆盖作物品种的根干重密度均显著降低(P < 0.05);压实处理下,压实处理下,不同覆盖作物根干重密度差异明显,最大值(鲁梅克斯)是最小值(沙打旺)的15.5倍。在10 ~ 20 cm土层,毛苕子、草木樨、田箐、菊苣、松香草、鲁梅克斯、混播1、混播2的根干重密度在压实处理下显著降低(P < 0.05),黑麦草的根干重密度在压实处理下是未压实处理的3.4倍(P < 0.05);压实条件下,油菜的根干重密度最小,仅为黑麦草的3.7%。在20 ~ 30 cm土层,压实导致苜蓿、草木樨、菊苣、鲁梅克斯、黑麦草、混播1、混播2的根干重密度显著降低,毛苕子、沙打旺、田箐、高丹草、萝卜、油菜、松香草7种覆盖作物的根干重密度在压实后变化不显著;不同覆盖作物根干重密度之间的差异仍然存在,但小于0 ~ 20 cm土层。在30 ~ 40 cm和40 ~ 50 cm土层,压实均导致混播1处理的根干重密度显著降低(P < 0.05);高丹草、混播2等在压实处理下仍具有较大的根干重密度。
|
图 4 春播覆盖作物不同深度根干重密度 Fig. 4 Root dry weight densities at various depths for spring sowing cover crops |
图 5所示为秋播下不同深度土层覆盖作物根干重占比。与未压实处理相比,压实处理下0 ~ 10 cm土层内的草木樨、沙打旺、高丹草和菊苣的根干重占比显著增加(P < 0.05),苜蓿、毛苕子、萝卜、油菜和鲁梅克斯的根干重占比显著降低(P < 0.05);压实处理下,各作物根干重占比差异较大,高丹草占比最大为82%,田箐占比最小为43%。在10 ~ 20 cm土层,毛苕子、草木樨、萝卜、油菜和鲁梅克斯在压实处理下的根干重占比均显著大于未压实条件(P < 0.05),沙打旺、高丹草、菊苣和松香草在压实处理下的根干重占比均显著小于未压实条件(P < 0.05);压实条件下,萝卜的根干重占比最大,是高丹草的4倍。在20 ~ 30 cm土层,压实显著增加了草木樨、沙打旺、萝卜和混播1的根干重占比;压实条件下,根干重占比最大是混播2(14.6%),最小的为鲁梅克斯(2.74%)。在30 ~ 40 cm土层,压实显著降低了田箐和高丹草的根干重占比;压实条件下,混播2、菊苣、黑麦草、松香草的根干重占比较高。在40 ~ 50 cm土层,压实处理下的田箐、高丹草、鲁梅克斯的根系出现“消失”的现象;压实土层中根干重占比较高的是松香草、黑麦草、混播1和混播2。
|
图 5 秋播覆盖作物不同深度根干重占比 Fig. 5 Proportions of root dry weight at various depths for fall-sown cover crops |
图 6所示为秋播覆盖作物不同深度根干重密度。由图 6可知,0 ~ 10 cm土层经压实处理后除田箐、高丹草、松香草、黑麦草、混播1外,其余覆盖作物品种的根干重密度均显著降低(P < 0.05)。在10 ~ 20 cm土层,苜蓿、草木樨、沙打旺、高丹草、菊苣、松香草、混播1的根干重密度经压实处理后显著降低(P < 0.05);压实下不同覆盖作物根干重密度差异明显,最大值(萝卜)是最小值(高丹草)的14.5倍。在20 ~ 30 cm土层,压实处理后高丹草、菊苣、鲁梅克斯、黑麦草、混播2的根干重密度显著降低,其余覆盖作物的根干重密度在压实后变化不显著。在30 ~ 40 cm土层,苜蓿、沙打旺、田箐、高丹草、鲁梅克斯、混播2的根干重密度受压实显著影响(P < 0.05);压实处理中油菜、菊苣、萝卜等具有较大的根干重密度。在40 ~ 50 cm土层,压实处理下除毛苕子、草木樨、沙打旺、菊苣根干重密度受压实显著影响(P < 0.05)外,还出现了压实下田箐、高丹草、鲁梅克斯根系“消失”的现象;压实处理中根干重密度较大的有黑麦草、萝卜、松香草和油菜。
|
图 6 秋播覆盖作物不同深度根干重密度 Fig. 6 Root dry weight densities at various depths of fall-sown cover crops |
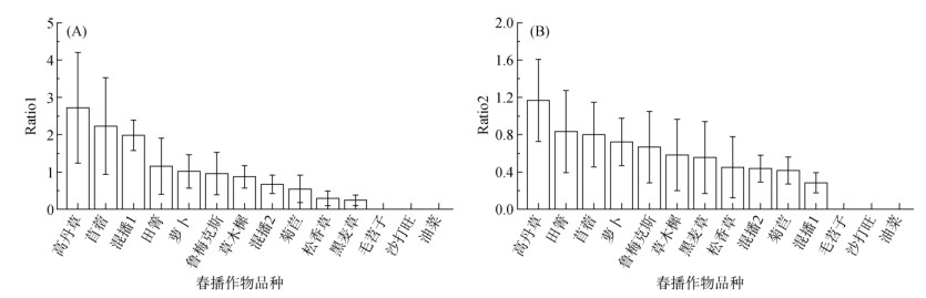
图 7所示为春播覆盖作物30 ~ 50 cm深度压实与未压实处理根干重占比的比值(Ratio1)与根干重密度的比值(Ratio 2)。由图 7A可知,Ratio1大于1的品种有高丹草(2.72)、苜蓿(2.23)、混播1(1.98)、田箐(1.15)、萝卜(1.02),由图 7B可知Ratio 2大于或等于0.8的品种有高丹草(1.17)、田箐(0.83)、苜蓿(0.80)。
|
图 7 春播覆盖作物30 ~ 50 cm深度压实与未压实处理根干重占比的比值(A)与根干重密度的比值(B) Fig. 7 Proportion ratios of root dry weight (A) to root dry weight density (B) between compacted and uncompacted treatments at 30-50 cm depth for spring-sown cover crops |
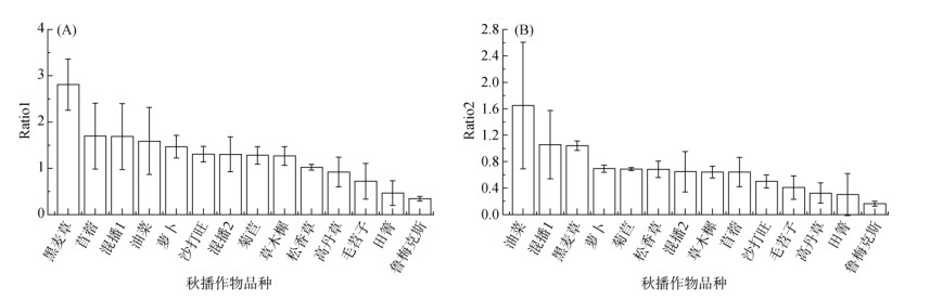
图 8所示为秋播覆盖作物Ratio1与Ratio 2。由图 8A可知,Ratio1大于1的品种有黑麦草(2.81)、苜蓿(1.70)、混播1(1.69)、油菜(1.59)、萝卜(1.47)、沙打旺(1.30)、混播2(1.30)、菊苣(1.28)、草木樨(1.27)、松香草(1.02),由图 8B可知Ratio2大于0.8的品种有油菜(1.65)、混播1(1.06)、黑麦草(1.04)。
|
图 8 秋播覆盖作物30 ~ 50 cm深度压实与未压实处理根干重占比的比值(A)与根干重密度的比值(B) Fig. 8 Proportion ratios of root dry weight (A) to root dry weight density (B) between compacted and uncompacted treatments at 30–50 cm depth for fall-sown cover crops |
土壤容重与穿透阻力是衡量土壤压实程度的两个重要指标[16]。本研究显示,春季机械压实显著增加了0 ~ 50 cm土层的容重(图 2)。严磊等[6]发现,压实仅导致0 ~ 30 cm土壤容重显著增加,对30 ~ 50 cm土壤容重无显著影响。Obour和Ugarte[17]通过文献整合分析,发现重度压实可以导致黏质土壤大于40 cm土层的容重显著增加。付娟等[18]的研究也同样表明,农田机械主要影响表层(0 ~ 30 cm)土壤物理性质,对深层(> 30 cm)土壤物理性质的影响主要通过多次压实实现。同时,本研究还发现,在机械压实接近3月后,压实处理10 ~ 50 cm土层的容重和0 ~ 30 cm土层的穿透阻力仍显著高于未压实处理,表明自然状态下压实土壤短期内难以恢复。Seehusen等[19]发现,压实土壤40 ~ 60 cm土层容重在5年以后仍显著高于未压实土壤。Keller等[20]也指出,相较于土壤导气性和水分入渗速率,压实土壤的容重难以在短期内恢复。总之,压实对土壤容重的影响可以达到50 cm深度且难以在短期内自然恢复,而常规深松等机械消减措施难以达到50 cm土层。因此,可以尝试利用根系穿透能力强的覆盖作物根系穿透深层压实土壤,增加土壤生物孔隙,改善土壤通气透水性,达到改善深层土壤压实的目的。
3.2 不同覆盖作物的抗压实及根系下扎能力本研究发现,土壤压实导致部分春播和秋播覆盖作物品种根系在0 ~ 10 cm土层的根干重占比显著大于未压实处理,如春播的田箐、松香草,秋播的草木樨、沙打旺、高丹草、菊苣。该结果与Rosolem等[21]的发现类似,这可能是因为在压实情况下,当根系发现下层土壤硬度较大,向下穿透土壤受阻时,根系更倾向于向水平方向生长,导致根系在表层土壤聚集,根干重占比显著增加。但本研究也发现,存在部分覆盖作物在深层压实土壤中的根干重占比大于未压实处理,例如春播的田箐、高丹草、萝卜、混播2等,秋播的苜蓿、萝卜、油菜、混播1、混播2等,表明这些覆盖作物的根系具有穿透压实土壤、向下层土壤生长的能力。Chen和Weil [12]的研究也显示,萝卜和油菜等根系穿透下层压实土壤的能力较强。本研究还发现,土壤压实显著降低了春播和秋播多种覆盖作物在不同土层的根干重密度,比如春播的苜蓿、毛苕子、田菁、高丹草、菊苣和混播2等,秋播的苜蓿、草木樨、沙打旺、黑麦草和混播1等(图 4和图 6),与严磊等[6]的研究结果“压实大幅度降低了0 ~ 50 cm土层苜蓿、萝卜与毛苕子混播的根干重密度”较一致。压实抑制覆盖作物根系生长的原因可能有:压实增加土壤强度,阻碍根系伸长;压实降低土壤的导水通气性,不利于根系吸水和呼吸;压实降低土壤养分的迁移和活性,抑制根系吸收养分[22-23]。另外,本研究显示,不同覆盖作物的根系对土壤压实的响应明显不同,比如春播的萝卜,秋播的毛苕子、油菜、黑麦草和混播2等,从总体上看压实对这些作物根干重密度的降低作用并不明显。da Silva和Rosolem[24]也发现,不同覆盖作物根系对土壤压实的响应不一致,比如燕麦和高粱比蓝羽扇豆对压实的响应更加敏感。这是因为不同覆盖作物根系的塑性不同,即响应土壤压实的能力不同[25]。因此,利用覆盖作物根系响应土壤压实的能力的不同,可以进一步筛选抗压实、根系穿透下层压实土壤能力强的覆盖作物品种。
为筛选根系穿透30 ~ 50 cm压实土壤能力强的覆盖作物品种,以未压实土壤为对照,本研究提出了两个参数描述压实土壤中覆盖作物根系的穿透能力,并设定了相应的阈值确定符合要求的品种。结果发现,ratio1大于1的春播品种有5种(苜蓿、高丹草、田箐、混播1、萝卜),秋播品种有10种(混播2、松香草、混播1、菊苣、苜蓿、草木樨、沙打旺、油菜、萝卜、黑麦草)。这些品种根系在压实土壤30 ~ 50 cm层次根干重占比均高于未压实土壤,表明压实土壤中这些品种更多比例的根系倾向于生长在30 ~ 50 cm层次。但是ratio1只能反映30 ~ 50 cm土层根干重占比,不能反映该层次的根干重密度,因此本研究同时计算了ratio 2。Ratio 2大于或等于0.8的春播品种有高丹草、田菁和苜蓿,秋播品种有油菜、混播1和黑麦草,表明这6种覆盖作物在压实土壤30 ~ 50 cm层次根干重密度达到未压实土壤的80% 及以上,受土壤压实的影响相对较小,对土壤压实相对不敏感。结合上述两个参数,根系穿透下层压实土壤能力强的春播覆盖作物品种是高丹草、田菁和苜蓿,秋播覆盖作物品种是油菜、混播1(田箐+高丹草+萝卜+菊苣)和黑麦草,其可以用作生物耕作消减下层土壤压实的覆盖作物品种,这与早前的研究结果相吻合。比如,Managing Cover Crops Profitably[26]一书中指出:高丹草、油菜、黑麦草、苜蓿以及萝卜等覆盖作物根系都能够很好地疏松下层紧实土壤;焦锦堂等[27]的研究显示,冬油菜种植具有降低我国西北地区土壤容重和提高土壤孔隙度的作用;赵秋等[28]的研究显示,黑麦草和冬油菜等覆盖作物有助于改善土壤容重和孔隙度状况;Boparai等[29]发现田菁根系可以穿透犁底层,降低犁底层的容重,促进后茬小麦0 ~ 60 cm土层根系密度增加。另外,本研究还发现,播期影响覆盖作物根系穿透下层压实土壤的能力,春播和秋播筛选的抗压实的覆盖作物品种完全不同。这可能是因为不同覆盖作物适宜生长的气候条件不同,比如高丹草和田菁比较适宜高温湿润的夏季环境[22]。东北地区秋季短、天气凉、霜冻早,本研究在田间观察到高丹草和田菁是最早因为霜冻而枯死的覆盖作物品种,因此这两种作物不适于在秋季播种。苜蓿虽然耐寒性较好,但其在苗期生长缓慢,秋播生长期短,根系的穿透能力较春播降低。相对而言,油菜和黑麦草更适宜温凉湿润的气候[26],秋播后生长较快,根系能够表现出更强的穿透下层压实土壤的能力。综上所述,在利用覆盖作物种植消减土壤压实时,应该同时考虑覆盖作物的品种和播种时间。
4 结论春季机械压实显著增加了0 ~ 50 cm土层的容重,且在秋播前的再次测定中压实处理10 ~ 50 cm土层土壤容重和0 ~ 30 cm土层穿透阻力仍显著高于未压实处理。压实显著影响覆盖作物根干重占比及根干重密度,但是不同覆盖作物的根干重占比及根干重密度对土壤压实的响应存在明显差异。播期也显著影响覆盖作物根干重占比及根干重密度对压实的响应。以ratio 1、ratio 2两个参数作为评价依据,本研究筛选出根系穿透30 ~ 50 cm压实土层能力强的春播覆盖作物品种为高丹草、田菁和苜蓿,秋播覆盖作物品种为油菜、混播1(田箐+高丹草+萝卜+菊苣)和黑麦草。本研究筛选的根系穿透下层压实土壤能力强的覆盖作物品种可以用于东北薄层黑土区开展生物耕作,消减黑土地土壤压实。
| [1] |
王东印, 裴莉. 东北黑土资源现状及保护措施[J]. 农业与技术, 2021, 41(21): 100-102 ( 0) |
| [2] |
任利东, 王丽, 林琳, 等. 农田土壤机械压实研究进展与展望[J]. 土壤学报, 2023, 60(3): 610-626 ( 0) |
| [3] |
高晨, 李晓鹏, 刘毅仁, 等. 农田土壤压实过程及模型研究进展[J]. 土壤, 2024, 56(1): 1-9 ( 0) |
| [4] |
黑龙江省土地管理局, 黑龙江省土地勘测规划院. 黑龙江土地资源[M].
中国农业科学技术出版社, 北京, 1998
( 0) |
| [5] |
Zhuo Z Q, Xing A, Cao M, et al. Identifying the position of the compacted layer by measuring soil penetration resistance in a dryland farming region in Northeast China[J]. Soil Use and Management, 2020, 36(3): 494-506 DOI:10.1111/sum.12576 ( 0) |
| [6] |
严磊, 张中彬, 丁英志, 等. 覆盖作物根系对砂姜黑土压实的响应[J]. 土壤学报, 2021, 58(1): 140-150 ( 0) |
| [7] |
乔金友, 张丹, 张宏彬, 等. 大中小型拖拉机压实对土壤坚实度和大豆产量的影响[J]. 农业工程学报, 2019, 35(21): 26-33 DOI:10.11975/j.issn.1002-6819.2019.21.004 ( 0) |
| [8] |
祁泽伟, 张慧芋, 李娜娜, 等. 不同秋耕措施对黄土高原春玉米田土壤物理质量的影响[J]. 土壤, 2021, 53(4): 826-832 ( 0) |
| [9] |
李洪文, 高焕文, 周兴祥, 等. 旱地玉米保护性耕作经济效益分析[J]. 干旱地区农业研究, 2000, 18(3): 44-49 ( 0) |
| [10] |
石彦琴, 陈源泉, 隋鹏, 等. 农田土壤紧实的发生、影响及其改良[J]. 生态学杂志, 2010, 29(10): 2057-2064 ( 0) |
| [11] |
Hudek C, Putinica C, Otten W, et al. Functional root trait-based classification of cover crops to improve soil physical properties[J]. European Journal of Soil Science, 2022, 73(1): e13147 DOI:10.1111/ejss.13147 ( 0) |
| [12] |
Chen G H, Weil R R. Penetration of cover crop roots through compacted soils[J]. Plant and Soil, 2010, 331(1): 31-43 DOI:10.1007%2Fs11104-009-0223-7 ( 0) |
| [13] |
Pulido-Moncada M, Katuwal S, Kristensen J B, et al. Effects of bio-subsoilers on subsoil pore-system functionality: Case study with intact soil columns[J]. Geoderma, 2021, 385: 114897 DOI:10.1016/j.geoderma.2020.114897 ( 0) |
| [14] |
蹇述莲, 李书鑫, 刘胜群, 等. 覆盖作物及其作用的研究进展[J]. 作物学报, 2022, 48(1): 1-14 ( 0) |
| [15] |
蔡丽君, 张敬涛, 盖志佳, 等. 东北三江平原覆盖作物种植效果[J]. 应用生态学报, 2022, 33(10): 2736-2742 ( 0) |
| [16] |
杨世琦, 吴会军, 韩瑞芸, 等. 农田土壤紧实度研究进展[J]. 土壤通报, 2016, 47(1): 226-232 ( 0) |
| [17] |
Obour P B, Ugarte C M. A meta-analysis of the impact of traffic-induced compaction on soil physical properties and grain yield[J]. Soil and Tillage Research, 2021, 211: 105019 ( 0) |
| [18] |
付娟, 马仁明, 贾燕锋, 等. 机械压实对农田土壤性质及土壤侵蚀的影响研究进展[J]. 农业工程学报, 2022, 38(S1): 27-36 ( 0) |
| [19] |
Seehusen T, Mordhorst A, Riggert R, et al. Subsoil compaction of a clay soil in South-East Norway and its amelioration after 5 years[J]. International Agrophysics, 2021, 35(2): 145-157 ( 0) |
| [20] |
Keller T, Colombi T, Ruiz S, et al. Soil structure recovery following compaction: Short-term evolution of soil physical properties in a loamy soil[J]. Soil Science Society of America Journal, 2021, 85(4): 1002-1020 ( 0) |
| [21] |
Rosolem C A, Foloni J S S, Tiritan C S. Root growth and nutrient accumulation in cover crops as affected by soil compaction[J]. Soil and Tillage Research, 2002, 65(1): 109-115 ( 0) |
| [22] |
杨晓娟, 李春俭. 机械压实对土壤质量、作物生长、土壤生物及环境的影响[J]. 中国农业科学, 2008, 41(7): 2008-2015 ( 0) |
| [23] |
Tracy S R, Black C R, Roberts J A, et al. Soil compaction: A review of past and present techniques for investigating effects on root growth[J]. Journal of the Science of Food and Agriculture, 2011, 91(9): 1528-1537 ( 0) |
| [24] |
da Silva R H, Rosolem C A. Early development and nutrition of cover crop species as affected by soil compaction[J]. Journal of Plant Nutrition, 2003, 26(8): 1635-1648 ( 0) |
| [25] |
Correa J, Postma J A, Watt M, et al. Soil compaction and the architectural plasticity of root systems[J]. Journal of Experimental Botany, 2019, 70(21): 6019-6034 ( 0) |
| [26] |
Clark A. Managing cover crops profitably[M].
Diane Publishing, Collingdale, PA, 2008
( 0) |
| [27] |
焦锦堂, 孙万仓, 方彦, 等. 冬油菜覆盖对土壤理化性状及微生物的影响[J]. 干旱地区农业研究, 2023, 41(6): 128-139 ( 0) |
| [28] |
赵秋, 张新建, 宁晓光, 等. 华北农田冬绿肥覆盖的抗风蚀研究[J]. 干旱区资源与环境, 2016, 30(8): 120-124 ( 0) |
| [29] |
Boparai B S, Singh Y, Sharma B D. Effect of green manuring withsesbania aculeataon physical properties of soil and on growth of wheat in rice-wheat and maize-wheat cropping systems in a semiarid region of India[J]. Arid Soil Research and Rehabilitation, 1992, 6(2): 135-143 ( 0) |
2. Institute of Soil Science, Chinese Academy of Sciences, Nanjing 211135, China;
3. College of Land Resources and Environment, Jiangxi Agricultural University, Nanchang 330045, China;
4. Northeast Institute of Geography and Agroecology, Chinese Academy of Sciences, Harbin 150081, China
2025, Vol. 57



0)