2. 土壤与农业可持续发展全国重点实验室(中国科学院南京土壤研究所), 南京 211135;
3. 中国科学院大学, 北京 100049
重金属污染农田土壤的治理和修复一直是土壤科学和环境科学研究的热点和难点之一[1-2]。目前对于重金属污染农田土壤的修复主要以降低重金属有效性、减少农作物对重金属的吸收和累积为主,包括水肥管理、种植低积累作物和施用钝化改良剂等[3-4]。这类技术虽然单次成本较低、效果明显,但重金属仍存在于土壤中,难以治本,且需长期进行监测和治理[5-6]。因此,以降低土壤重金属总量为目的农田土壤重金属减量化修复技术逐渐得到了研究者们的重视,也成为农田重金属污染土壤治理和修复的迫切需求之一。
现有的农田土壤重金属减量修复技术主要有植物修复技术、磁性吸附分离技术、原位活化–表面吸附技术等,此外还包括一些成本高昂的工程修复措施(如换土法、淋洗法、电动修复法等)。植物修复技术是利用超积累植物或富集植物吸收土壤中重金属并转移到地上部,从而达到去除土壤重金属的目的,该技术成本较低但修复周期长[7-9]。磁性吸附分离技术是利用具有磁性的吸附材料吸附土壤中的非稳态重金属,再通过磁分离方法从土壤中取出磁性材料,从而实现土壤重金属的减量。该技术操作简便、去除快速,但磁性材料难以从土壤中彻底分离,且无法实现对土壤中稳态重金属的吸附分离[10-12]。原位活化–表面吸附技术是一种针对浅层重金属污染土壤的原位修复技术[13],该技术首先将活化剂(如络合剂、螯合剂等)溶液加入土壤中,使土壤中重金属活化并进入土壤溶液,随后通过自然或人为加热等方式促进土壤水分的蒸发,在这一过程中土壤溶液中的活化重金属通过土壤毛细管向上迁移并被铺设在土壤表面的材料吸收带走,从而实现土壤重金属的减量化修复。该技术操作简便,成本低廉,可以去除土壤中的稳态重金属。
原位活化–表面吸附技术在去除土壤重金属时的影响因素包括活化剂对土壤重金属的活化能力、表面材料对溶液的吸收性能、环境条件对水分蒸发的影响等,其中表面材料对土壤溶液的吸收性能是关系土壤重金属移除效率的关键因素之一。潘澄[13]研究了3种吸水材料(滤纸、纱布和尼龙网)对土壤重金属的去除效率,结果表明滤纸和纱布要明显优于尼龙网。毛海涛等[14]在治理盐碱地时提出将具有强烈吸水性能的聚乙烯醇海绵作为表面吸水材料,覆盖在盐碱地土壤表面,通过蒸发作用将盐分带到海绵材料中,试验取得了较好的土壤除盐效果。然而,目前关于表面材料对重金属溶液吸收性能的研究尚在起步阶段,相关研究还很缺乏,不同材料应用于重金属原位活化–表面吸附去除技术时的可行性尚不清楚。
鉴此,本研究选择市场上主流的吸水材料[15]作为供试材料,研究不同材料对重金属溶液的吸收性能和机制,在此基础上以某重金属污染农田土壤为供试土壤,研究原位活化–表面吸附技术中不同材料对土壤重金属的减量去除效果,以为土壤重金属原位活化–表面吸附技术的应用提供理论依据和技术支持。
1 材料与方法 1.1 供试材料供试6种表面材料:滤纸、纱布、针刺棉、超吸水纤维、脱脂棉和东洋纺。其中,滤纸为定量滤纸,购自通气电气生物科技(杭州)有限公司;纱布是医用纱布,购自江苏沙瓦医疗用品有限公司;脱脂棉购自比克曼生物科技有限公司;针刺棉购自山东奥博公司;超吸水纤维和东洋纺均购自大连寰宇发展有限公司。
供试化学试剂:EDTA(乙二胺四乙酸二钠)、氯化镉等为分析纯,浓硝酸、高氯酸和氢氟酸为优级纯,购自国药集团化学试剂有限公司;GLDA(谷氨酸二乙酸四钠)为淡黄色液体,纯度为47%,是一种生物可降解络合剂,具有较强的重金属络合能力[16-17],购自山东优索化工科技有限公司。
供试土壤:采自浙江富阳某矿区周边的农田,土壤质地为粉壤土,pH为7.96,电导率(EC)为520 μS/cm,有机碳含量为20.3 g/kg,土壤总镉含量为23.7 mg/kg,盐酸提取态镉含量为7.45 mg/kg。
1.2 不同材料对溶液镉的吸收特性研究在利用原位活化–表面吸附技术进行土壤修复时,表面吸水材料需对土壤中活化的重金属进行吸收,而溶液中不同形态的重金属可能对其吸收能力产生影响,因此本研究开展了不同材料对不同形态和浓度镉溶液的吸收试验。
1.2.1 不同材料对不同形态镉溶液的吸收特性试验分别配制0.2 mmol/L的CdCl2、EDTA-Cd和GLDA-Cd溶液,其中后两者溶液分别采用0.4 mmol/L的EDTA和GLDA溶液与0.4 mmol/L的CdCl2溶液按体积比1∶1混合。取直径12 cm培养皿若干,分成3组,每组加入80 mL浓度为0.2 mmol/L的不同形态镉溶液(CdCl2、EDTA-Cd和GLDA-Cd),并预先称取培养皿质量m1(g)和吸附材料质量m2(g);将6种直径均为11 cm的不同吸水材料放至溶液中,室温下吸收2 h,再用镊子取出悬垂15 min(去除材料表面的重力水)[18]后放入封口袋中,悬垂过程中培养皿在下方承接重力水,再次称取培养皿和剩余溶液的质量m3(g),计算剩余溶液的质量;用10 mL注射器吸取6 mL培养皿中的剩余溶液,过0.45 μm的水系滤头,测定溶液中镉浓度C1(mg/L),计算单位质量下不同材料对溶液和溶液中镉的吸收量。
1.2.2 东洋纺对不同浓度镉溶液的吸附特性试验取直径为12 cm的培养皿若干,分为3组,每组加入80 mL初始浓度(C0)分别为0、0.01、0.05、0.1、0.2 mmol/L的不同形态镉溶液(CdCl2、EDTA-Cd和GLDA-Cd),并预先称取培养皿质量m4(g)和吸附材料质量m5(g);将直径11 cm的东洋纺放至溶液中,室温下吸收2 h,再用镊子取出悬垂15 min后放入封口袋中,再次称取培养皿和剩余溶液的质量m6(g),计算剩余溶液的质量;用10 mL注射器吸取6 mL培养皿中的剩余溶液,过0.45 μm的水系滤头,测定溶液中镉浓度C2(mmol/L),计算单位质量下东洋纺对溶液和溶液中镉的吸收量。
1.3 不同材料吸收溶液镉的表观形貌分析选择东洋纺和超吸水纤维2种材料(直径11 cm),在含有80 mL 2 mmol/L氯化镉溶液的培养皿(直径12 cm)中吸收2 h,用镊子取出悬挂15 min后放入到50 ℃烘箱中烘干。之后,将两种材料剪成边长为1 cm的正方形,用扫描电镜–电子能谱仪观察材料的表面形貌,并分析材料表面结晶部位的元素组成。
1.4 不同材料对土壤镉的去除效果研究取200 g供试土壤(10目)放入200 mL烧杯(直径7 cm,高度9 cm)中,分别加入2种络合剂(EDTA-2Na、GLDA-4Na)作为活化剂来活化土壤中的重金属(投加量为每个烧杯中加入220 mL浓度为0.018 mol/L的络合剂溶液),搅拌均匀,此时为淹水状态,水面高度约为0.5 cm,静置平衡1 d。在各烧杯水面分别覆盖针刺棉和东洋纺,并将其放入45 ℃烘箱中2 d后取出;用镊子取走吸水材料后加水至淹水状态,然后再静置平衡1 d,再次放入新的吸水材料,同样将其置于45 ℃烘箱中2 d后取出,用镊子取走吸水材料后用小土钻(直径1 cm)在每个烧杯中采2个土样,混合均匀备用。上述操作6 d为1次循环,共进行3次18 d,每个处理3个重复。采集的土壤样品风干后,用于测定土壤pH、EC、土壤总镉和有效态镉含量。
1.5 测定项目与方法吸水材料表征和表面形貌分析:采用扫描电镜(Quanta 400 FEG,FEI公司,美国)和电子能谱仪(APPLO X1,EDAX公司,美国)对供试吸水材料进行扫描电镜–能谱分析(SEM-EDS),即样品经冻干后涂覆金钯膜,在20 kV加速电压下进行检测。材料的比表面积采用全自动比表面积自动分析仪(TriStar Ⅱ Plus 3,Micromeritics公司,美国)测定,即将适量样品放至玻璃测试管中,在–196 ℃下测定N2的吸附等温线,通过BET方程计算材料的比表面积。
土壤理化性质分析:参考《土壤农业化学分析方法》[19]。其中,土壤pH和EC采用土水质量比为1∶2.5,涡旋1 min,静置30 min后,用pH计(S210-K,梅特勒托利多仪器有限公司,瑞士)和电导率仪(FE38,梅特勒托利多仪器有限公司,瑞士)测定上清液的pH和EC;土壤有机碳采用重铬酸钾氧化法测定。
另外,溶液中的镉浓度采用原子吸收光谱仪(Z-2000,日立公司,日本)测定。其中,土壤镉全量采用三酸法(氢氟酸–硝酸–高氯酸,体积比3∶1∶1)消化,消化液用Z-2000原子吸收光谱仪测定。镉测定过程中采用国家标准参比物质GBW 07401进行质量控制,标准物质测定值为标准值的93.0% ~ 100.9%,样品平行样的标准偏差为0.59% ~ 9.39%。土壤中有效镉测定采用0.1 mol/L盐酸提取法[13],即称取100目风干土样1.00 g,加入0.1 mol/L的HCl溶液10.0 mL(土液比1∶10,m/V),25 ℃下往复振荡2 h(振荡频率180 r/min),9 000 r/min离心10 min,过0.45 μm的水系滤头于10 mL离心管中,用Z-2000原子吸收光谱仪测定。
1.6 数据处理与统计分析不同材料对不同形态镉溶液的吸收特性计算公式:
单位质量吸水材料的溶液吸收量(mL/g):
| $ {K}_{1}=\frac{80-({m}_{3}-{\text{m}}_{1})}{{\text{m}}_{2}} $ | (1) |
单位质量吸水材料的镉吸收量(mmol/g):
| $ {F}_{1}=\frac{0.2\times 80*{10}^{-3}-{\text{C}}_{1}\times ({\text{m}}_{3}-{\text{m}}_{1})\times {10}^{-3}}{{\text{m}}_{2}} $ | (2) |
单位质量东洋纺对溶液的吸收量(mL/g):
| $ {K}_{2}=\frac{80-({\text{m}}_{6}-{\text{m}}_{4})}{{\text{m}}_{5}} $ | (3) |
单位质量东洋纺对镉的吸收量(mmol/g):
| $ {F}_{2}=\frac{{C}_{0}\times 80\times {10}^{-3}-{\text{C}}_{2}\times ({\text{m}}_{6}-{\text{m}}_{4})\times {10}^{-3}}{{\text{m}}_{5}} $ | (4) |
文中所有数据均为3次重复的平均值,运用SPSS 18.0软件进行方差分析,在P < 0.05水平下采用邓肯法(Duncan’s multiple range test)进行差异显著性检验。
2 结果与讨论 2.1 不同材料的形貌和性能表征图 1是供试6种吸水材料照片(材料直径均为11 cm)。滤纸由天然纤维素构成,孔径小、表面光滑、纤维紧密;纱布是较薄且经纬稀疏的棉织品,有比较明显的网格;脱脂棉是经化学处理去掉脂肪的棉花,纤维柔软细长,具有很好的亲水性和吸水性。针刺棉是一种针刺无纺布,以聚酯纤维、涤纶纤维等为主要材质,经过针刺工艺制作而成,具有密度高、厚度薄的优点。超吸水纤维是一种能吸收自身几十到几百倍水分的纤维状聚合物,可方便与其他纤维混纺,通过纺纱、织造或非织造加工形成具有特殊功能的纺织品[18,20]。东洋纺是在超吸水纤维外侧覆盖了一层聚丙烯酸,当吸水后外层可以表现出较强的保水能力[15]。
|
(A:滤纸;B:纱布;C:针刺棉;D:超吸水纤维;E:脱脂棉;F:东洋纺) 图 1 供试材料照片 Fig. 1 Photos of tested materials |
图 2是不同吸水材料的扫描电镜图,从图中可以看出不同材料的表观形貌存在较大差异。滤纸的表面致密且不规则,纱布与脱脂棉的表面纤维均为扁平状态,但脱脂棉纤维间的间距大,这与脱脂棉本身较为柔软蓬松有关。针刺棉、超吸水纤维和东洋纺的扫描电镜图相似,均由管状的纤维组成,但超吸水纤维与东洋纺的管状纤维较为光滑,这与两者的组成相似有关[15,20]。材料的比表面积测定显示,不同材料存在一定差异。比表面积最大的是滤纸,为2.43 m2/g;最小值为超吸水纤维,为1.38 m2/g;纱布、针刺棉、脱脂棉和东洋纺的比表面积居中,分别为2.36、1.71、1.64、1.54 m2/g。总体而言,供试材料的比表面积相对于活性炭等常见吸附材料(> 2000 m2/g)[21-22]较小,表明其对重金属的吸附能力有限。
|
(A:滤纸;B:纱布;C:针刺棉;D:超吸水纤维;E:脱脂棉;F:东洋纺) 图 2 不同材料的扫描电镜图 Fig. 2 SEM images of tested materials |
表 1是不同材料对镉溶液的吸收量。无论是哪一种形态的镉溶液,东洋纺的吸收能力均是最强,单位质量东洋纺的溶液吸收量为46.2 ~ 49.2 mL/g,显著高于其他材料;滤纸的吸液能力最小,仅为8.8 ~ 11.8 mL/g,东洋纺的溶液吸收量是滤纸的4.16倍~ 5.42倍。6种材料吸收溶液性能的顺序为:东洋纺 > 针刺棉 > 超吸水纤维≈脱脂棉 > 纱布 > 滤纸。相较潘澄[13]研究中使用的滤纸和纱布表面吸水材料,本研究中所使用的东洋纺、针刺棉、超吸水纤维和脱脂棉4种材料吸收性能明显较强。
|
|
表 1 不同材料对镉溶液的吸收性能(mL/g) Table 1 The solution absorption abilities of different materials |
同一种材料对不同镉溶液的吸收也存在一定差异。对于滤纸和纱布,其对镉离子溶液(CdCl2)的吸收要明显优于EDTA-Cd和GLDA-Cd溶液;针刺棉、超吸水纤维和东洋纺对镉离子溶液的吸收也高于对络合态镉溶液的吸收。其原因可能有两方面:一是络合态镉溶液相对于离子态镉溶液存在一定的黏滞性(因为络合剂的存在),从而不利于溶液的流动[23];二是盐分的存在会抑制表面吸附材料对溶液的吸收。在本研究中,0.2 mmol/L的CdCl2、EDTA-Cd和GLDA-Cd溶液的电导率分别为13.28、34.28和43.67 mS/cm,络合态镉溶液的电导率明显较高。有研究表明,当水中含有较高浓度盐分时,吸水材料纤维的内外渗透压降低,可进入纤维内部的水分子减少,从而导致吸液量降低[24-25]。
表 2显示了单位质量不同材料对溶液中镉的吸收量。在6种材料中,东洋纺的单位质量材料吸镉量最高,达到0.009 ~ 0.016 mmol/g,显著高于其他材料。与不同材料对溶液的吸收量顺序不同,尽管滤纸和纱布对溶液的吸收量排在末位,但其单位质量的吸镉量与除东洋纺以外的其他材料差距不大。这可能是因为滤纸和纱布的比表面积高于其他材料,其对溶液中的镉具有一定的吸附能力,而非仅依赖于不同材料对溶液的吸收量。在镉离子溶液中,滤纸和纱布对溶液中镉的吸收仅低于东洋纺;在GLDA-Cd溶液中,滤纸和纱布对溶液中镉的吸收能力居中;而在EDTA-Cd溶液,滤纸和纱布对溶液中镉的吸收能力较低,为0.003 mmol/g,但也与针刺棉(0.005 mmol/g)和脱脂棉(0.004 mmol/g)的差距不大。
|
|
表 2 不同材料对溶液中镉的吸收量(mmol/g) Table 2 Cd absorption abilities of different materials |
在6种材料中,东洋纺对溶液和溶液中的镉吸收量均最高,因此进一步研究了东洋纺对不同浓度镉溶液的吸收性能,结果见表 3。随着镉离子溶液中镉浓度的增加,东洋纺对溶液的吸收能力变化不大(51.6 ~ 54.0 mL/g),仅在0.2 mmol/L浓度下明显下降(降为46.4 mL/g)。对于EDTA-Cd和GLDA-Cd溶液,则在镉浓度为0.1 mmol/L时已有明显下降(降为47.4 ~ 47.5 mL/g)。这一结果表明溶质浓度的增加会对材料的吸水量产生一定的不利影响,同时溶液的黏滞性也会影响材料的吸水性。一般而言,溶液黏滞度越高,其在移动过程中受到的阻力越大,而镉络合物的分子大于镉离子的水合物分子,其在溶液中的体积较大,从而导致溶液的黏滞度增大,影响材料对溶液的吸收[25]。在同种浓度下,东洋纺对不同形态镉溶液的吸收性能变化不大,仅在0.1 mmol/L浓度下东洋纺对镉离子溶液的吸收量要明显高于其他两种形态的镉溶液,但差距不大。
|
|
表 3 东洋纺对不同浓度镉溶液的吸收性能(mL/g) Table 3 Solution absorption abilities of Dongyang textile in different Cd concentration solutions |
从表 4中东洋纺对溶液中镉的吸收量来看,随着溶液中镉浓度的增加,东洋纺对镉的吸收量也逐步增加,且不同浓度间有显著性差异。东洋纺对不同种类溶液中镉的吸收存在较大差异,其中东洋纺对镉离子的吸收能力最高,在不同浓度溶液中的吸收量为0.000 9 ~ 0.015 3 mmol/g;对GLDA-Cd的吸收能力居次,为0.000 8 ~ 0.010 9 mmol/g;而对EDTA-Cd的吸收能力最差,为0.000 5 ~ 0.008 2 mmol/g。这一结果显示络合态镉相对于离子态镉更不易被东洋纺所吸收,这可能是因为络合态镉的活性和稳定性比离子态镉更高,不易被吸收材料所吸附[26]。此外,也与东洋纺对络合态镉溶液的吸收量低于镉离子溶液有关,溶液吸收量越少,则镉随溶液进入吸水材料中的量就越少。
|
|
表 4 东洋纺对溶液中镉的吸收量(mmol/g) Table 4 Cd absorption abilities of Dongyang textile in different Cd concentration solutions |
以超吸水纤维和东洋纺为例,研究了这两种材料在吸收含镉溶液前后的微观形貌变化。图 3的扫描电镜照片显示,在吸收镉溶液前,超吸水纤维和东洋纺的纤维表面光滑,基本没有杂质;而在吸收镉溶液后,这两种材料的纤维表面明显有晶体产生。对含有晶体部位的纤维进行能谱分析,结果见图 3C和3F,可以看出,C、N、O是超吸水纤维和东洋纺的主要组成元素,总的质量分数分别达到96.35% 和93.14%;同时可以观察到Cd元素的特征峰,其质量分数分别为0.85% 和1.56%,表明这两种材料在吸收含镉的溶液后,经过蒸发,镉以晶体的形式沉积在材料纤维的表面,从而实现了镉从溶液向材料中富集的过程。毛海涛等[14]的研究也表明,以海绵为强力吸水层的盐碱地治理防护毯也可以有效地将土壤中的盐分吸收到海绵中并在蒸发后保留在海绵内。
|
(A:超吸水纤维处理前SEM图;B:超吸水纤维处理后SEM图;C:超吸水纤维处理后EDS图;D:东洋纺处理前SEM图;E:东洋纺理后SEM图;F:东洋纺处理后EDS图) 图 3 吸收镉溶液前后不同材料的SEM-EDS图 Fig. 3 SEM-EDS images of different materials before and after absorption of Cd solution |
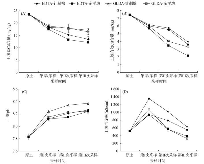
选择对溶液镉吸收量较大的两种材料针刺棉和东洋纺作为表面吸收材料,以EDTA和GLDA为活化剂,研究不同材料对土壤中活化镉的提取能力,结果见图 4A。随着试验的进行,土壤中的总镉含量呈下降趋势,重金属镉去除效果最高达48.7%(EDTA-东洋纺处理)。以EDTA作为活化剂的处理中,两种材料对土壤中镉的去除效率(43.1% ~ 48.7%)要优于GLDA活化剂处理(27.6% ~ 30.4%),这是由于EDTA具有较多的配位离子,结合能力强,对大多数金属离子具有更强的络合能力[27]。虽然GLDA处理中的镉去除率略低,但GLDA是一种生物可降解络合剂,在田间应用时二次污染的风险较小,可作为EDTA的替代。但无论是EDTA还是GLDA处理,东洋纺对土壤镉的去除能力(30.4% ~ 48.7%)均高于针刺棉(27.6% ~ 43.1%),这也与前面不同材料溶液吸收试验中的结果一致(表 2)。从有效态镉的含量来看,处理后有效态镉含量均明显下降,下降幅度为46.7% ~ 71.1%,其中EDTA-东洋纺处理中的有效态镉含量下降幅度最大,为71.1%。与总镉含量相比,有效态镉含量下降幅度更大,表明本技术在去除土壤总镉的同时也明显降低了土壤有效态镉的含量,且东洋纺比针刺棉更有利于土壤有效态镉的下降。一般而言,盐酸提取态镉主要包括土壤中水溶态、交换态和碳酸盐结合态镉[28]。本研究中,通过向土壤中加入EDTA和GLDA螯合剂来活化土壤镉,这两种螯合剂可以活化土壤中的有机结合态和铁锰氧化结合态镉[29]。综合上述分析,本研究所采用的技术可以去除土壤中的水溶态、交换态、碳酸盐结合态和有机结合态、铁锰氧化物结合态镉,但受限于处理的时间、活化剂的用量等,目前还无法完全去除土壤中上述形态的镉。
|
图 4 土壤总镉含量(A)、有效态镉含量(B)、pH(C)和电导率(D)的变化 Fig. 4 Changes of soil total Cd content (A), available Cd content (B), pH (C) and EC (D) |
由于络合剂的加入会对土壤的pH和盐分产生一定影响,可能影响后续农田土壤的再利用,因此本研究评估了试验过程中土壤pH和EC的变化,结果见图 4C和4D。处理过程中土壤pH均高于原土,特别是第1次采样时土壤pH从原土的7.83增加到8.12 ~ 8.24;随后pH增加趋缓,在第3次采样时土壤pH增加到8.24 ~ 8.37。此外,GLDA处理的土壤pH普遍高于EDTA处理,这与GLDA溶液的pH(8.2)高于EDTA有关。土壤电导率在第1次采样时明显升高,从原土的520 μS/cm升高到938 ~ 1 035 μS/cm,这是因为加入的络合剂带入了大量盐分。随着试验的进行,溶液逐步向土表迁移并被材料吸收,水分蒸发后溶质保留在吸收材料中,第2次和第3次采样,土壤电导率明显下降,特别是第3次采样部分土壤的电导率已低于原土,表明投加络合剂带入的盐分已移出土壤,不会对土壤造成负面影响。其中,东洋纺要明显优于针刺棉,其对土壤电导率的降低效果更为明显。
上述研究表明,原位活化–表面吸附技术在重金属污染农田减量化修复中表现出了较好的应用潜力。由于本研究中选用的表面吸水材料是通过吸收含重金属溶液的方式来去除土壤重金属,其对溶液中重金属的固定能力较弱,在野外应用中当遇到降水或灌溉时可能会将材料中的重金属重新冲洗下来,因此未来需进一步加强吸水材料固定重金属的性能研究,以防止进入到吸水材料中的重金属重新释放。
3 结论不同材料对溶液和镉的吸收量均存在明显差异,其中东洋纺明显高于其他材料,其对溶液的吸收量可达46.2 ~ 49.4 mL/g,对溶液中镉的吸收量可达0.009 ~ 0.016 mmol/g;不同材料对镉离子溶液的吸收要优于对络合态镉溶液的吸收。无论是EDTA还是GLDA处理,试验条件下东洋纺对土壤镉的去除能力(30.4% ~ 48.7%)均高于针刺棉(27.6% ~ 43.1%),且土壤pH在处理后有所上升,而土壤电导率在处理后先上升随后逐渐下降,最终与土壤原始电导率相近,基本不影响后续农田土壤的再利用。
| [1] |
Li X F. Technical solutions for the safe utilization of heavy metal-contaminated farmland in China: A critical review[J]. Land Degradation & Development, 2019, 30(15): 1773-1784 ( 0) |
| [2] |
骆永明, 滕应. 中国土壤污染与修复科技研究进展和展望[J]. 土壤学报, 2020, 57(5): 1137-1142 ( 0) |
| [3] |
Lin H, Wang Z W, Liu C J, et al. Technologies for removing heavy metal from contaminated soils on farmland: A review[J]. Chemosphere, 2022, 305: 135457 DOI:10.1016/j.chemosphere.2022.135457 ( 0) |
| [4] |
刘杏梅, 赵健, 徐建明. 污染农田土壤的重金属钝化技术研究——基于Web of Science数据库的计量分析[J]. 土壤学报, 2021, 58(2): 445-455 ( 0) |
| [5] |
李剑睿, 徐应明, 林大松, 等. 农田重金属污染原位钝化修复研究进展[J]. 生态环境学报, 2014, 23(4): 721-728 ( 0) |
| [6] |
杨树深, 孙衍芹, 郑鑫, 等. 重金属污染农田安全利用: 进展与展望[J]. 中国生态农业学报, 2018, 26(10): 1555-1572 ( 0) |
| [7] |
Mahar A, Wang P, Ali A, et al. Challenges and opportunities in the phytoremediation of heavy metals contaminated soils: A review[J]. Ecotoxicology and Environmental Safety, 2016, 126: 111-121 DOI:10.1016/j.ecoenv.2015.12.023 ( 0) |
| [8] |
熊娟, 王依涵, 陈畅, 等. 伴矿景天修复农田土壤镉污染的研究进展[J]. 农业环境科学学报, 2022, 41(3): 441-454 ( 0) |
| [9] |
Wei Z H, Van Le Q, Peng W X, et al. A review on phytoremediation of contaminants in air, water and soil[J]. Journal of Hazardous Materials, 2021, 403: 123658 DOI:10.1016/j.jhazmat.2020.123658 ( 0) |
| [10] |
Fan L R, Song J Q, Bai W B, et al. Chelating capture and magnetic removal of non-magnetic heavy metal substances from soil[J]. Scientific Reports, 2016, 6: 21027 DOI:10.1038/srep21027 ( 0) |
| [11] |
王启豪, 刘国明, 涂晨, 等. MgAl-LDHs磁性颗粒对镉污染农田土壤的减量修复研究[J]. 土壤, 2023, 55(6): 1297-1305 ( 0) |
| [12] |
贠豪, 李远, 杨帅, 等. 磁性黏土颗粒对污染土壤中镉去除作用的初步研究[J]. 土壤, 2021, 53(5): 1015-1022 DOI:10.13758/j.cnki.tr.2021.05.017 ( 0) |
| [13] |
潘澄. 多氯联苯–重金属复合污染农田土壤物化及生物修复效应[D]. 南京: 中国科学院南京土壤研究所, 2012.
( 0) |
| [14] |
毛海涛, 黄庆豪, 龙顺江, 等. 土壤盐渍化治理防护毯的研发及试验[J]. 农业工程学报, 2015, 31(17): 121-127 ( 0) |
| [15] |
陈静, 沈艳琴, 姚一军, 等. 超吸水材料的研究进展[J]. 化工进展, 2022, 41(11): 5925-5935 ( 0) |
| [16] |
Pinto I S S, Neto I F F, Soares H M V M. Biodegradable chelating agents for industrial, domestic, and agricultural applications—A review[J]. Environmental Science and Pollution Research International, 2014, 21(20): 11893-11906 DOI:10.1007/s11356-014-2592-6 ( 0) |
| [17] |
Wu Q, Cui Y R, Li Q L, et al. Effective removal of heavy metals from industrial sludge with the aid of a biodegradable chelating ligand GLDA[J]. Journal of Hazardous Materials, 2015, 283: 748-754 DOI:10.1016/j.jhazmat.2014.10.027 ( 0) |
| [18] |
Kakonke G, Tesfaye T, Sithole B, et al. Production and characterization of cotton-chicken feather fibres blended absorbent fabrics[J]. Journal of Cleaner Production, 2020, 243: 118508 DOI:10.1016/j.jclepro.2019.118508 ( 0) |
| [19] |
鲁如坤. 土壤农业化学分析方法[M].
中国农业科学技术出版社, 北京, 2000: 147-150
( 0) |
| [20] |
Das D, Rengasamy R S, Kumar M. Liquid sorption behavior of superabsorbent fiber based nonwoven media[J]. Fibers and Polymers, 2013, 14(7): 1165-1171 DOI:10.1007/s12221-013-1165-5 ( 0) |
| [21] |
王田, 黄瑞毅, 马培勇, 等. 磷酸水热预处理制备高比表面积高介孔率活性炭[J]. 环境科学学报, 2018, 38(11): 4340-4349 ( 0) |
| [22] |
薛广钊, 侯贵华, 乔仁静, 等. 稻壳基高比表面积介孔活性炭的制备与表征[J]. 环境工程学报, 2016, 10(1): 375-378 ( 0) |
| [23] |
David R. CRC handbook of chemistry and physics (Internet Version 2005)[M].
CRC Press, Boca Raton, 2005: 8-62
( 0) |
| [24] |
Djafari Petroudy S R, Arjmand Kahagh S, Vatankhah E. Environmentally friendly superabsorbent fibers based on electrospun cellulose nanofibers extracted from wheat straw[J]. Carbohydrate Polymers, 2021, 251: 117087 DOI:10.1016/j.carbpol.2020.117087 ( 0) |
| [25] |
李琦娴, 杨建忠. 静电纺超吸水纤维毡的制备及其吸水性能分析[J]. 纺织科学与工程学报, 2020, 37(1): 84–87, 83 ( 0) |
| [26] |
Gyliene O, Rekertas R, Šalkauskas M. Removal of free and complexed heavy-metal ions by sorbents produced from fly (Musca domestica) larva shells[J]. Water Research, 2002, 36(16): 4128-4136 DOI:10.1016/S0043-1354(02)00105-7 ( 0) |
| [27] |
Wu L H, Luo Y M, Christie P, et al. Effects of EDTA and low molecular weight organic acids on soil solution properties of a heavy metal polluted soil[J]. Chemosphere, 2003, 50(6): 819-822 DOI:10.1016/S0045-6535(02)00225-4 ( 0) |
| [28] |
甘国娟, 刘妍, 朱晓龙, 等. 3种提取剂对不同类型土壤重金属的提取效果[J]. 中国农学通报, 2013, 29(2): 148-153 ( 0) |
| [29] |
Gluhar S, Kaurin A, Lestan D. Soil washing with biodegradable chelating agents and EDTA: Technological feasibility, remediation efficiency and environmental sustainability[J]. Chemosphere, 2020, 257: 127226 ( 0) |
2. State Key Laboratory of Soil and Sustainable Agriculture, Institute of Soil Science, Chinese Academy of Sciences, Nanjing 211135, China;
3. University of Chinese Academy of Sciences, Beijing 100049, China
2025, Vol. 57



0)