2. 河南科技学院资源与环境学院, 河南新乡 453003;
3. 江苏地质矿产设计研究院(中国煤炭地质总局检测中心), 江苏徐州 221006;
4. 中国科学院大学, 北京 100049
土壤镉(Cd)污染已成为我国较为严重和普遍的农业环境问题之一[1-3]。根据我国土壤污染调查,超过19.4% 的耕地土壤点位受到有机和无机化学污染物的污染,其中Cd污染最为严重[4]。Cd是一种具有高迁移性和生物可利用性的持久性污染物,极易在环境中迁移并在食物链中累积,威胁人类健康。长期接触Cd可以导致慢性疾病,如肾小管功能障碍、骨质疏松和癌症等[5-8]。小麦是全球三大主粮之一,我国有40% 的人口以小麦为主食,与其他谷类作物相比,小麦籽粒具有较强的Cd富集能力[9],受Cd污染的耕地严重威胁我国小麦食品质量安全。因此,减少小麦中的Cd积累是降低我国居民Cd暴露风险的有效策略之一。
近年来,以叶面调控为主要方式的农艺措施在缓解小麦Cd污染方面的作用受到广泛关注,通过叶面喷施向植物补充必需或有益微量元素是减轻植物Cd胁迫的一种有效途径[10]。已有研究表明,Zn和Mn作为植物生长的必需微量营养元素对作物的生长发育至关重要[11-12],叶面喷施Zn和Mn可以促进植物生长,进而提高作物产量[13-14],并能有效降低小麦籽粒Cd含量[14]。随着纳米技术的不断进步,纳米颗粒在农业生产中已广泛应用于改善作物健康、促进作物生长并确保粮食安全。叶面喷施纳米材料较好的降低作物Cd积累效果也受到关注,特别是叶面喷施氧化锌纳米颗粒(ZnONP)和二氧化锰纳米颗粒(MnO2NP)。已有研究发现,在土壤和叶面应用ZnONP提高了小麦干物质量和产量,降低了植物的氧化胁迫,同时减轻了Cd对小麦的毒害,以及提高了小麦籽粒Zn含量;同样叶面添加MnO2NP降低了水稻糙米中的砷含量,提高了糙米中的Mn含量[15-18]。研究认为,Zn和Mn缓解Cd毒性的作用机制可能包括:①通过调节微量元素的吸收和转运促进植物生长和光合作用[19-20];②通过调节金属硫蛋白的代谢来实现其抗氧化作用,缓解氧化应激[15, 21];③改变重金属在植物体内的分布,降低其毒性[22]。
综上,虽然目前利用Zn和Mn元素调控小麦Cd积累的研究较多,但是对于Zn和Mn的纳米材料发挥调控作用的过程以及对不同小麦品种的影响仍不明确。因此,本研究通过田间小区试验,研究了叶面喷施ZnONP、MnO2NP和ZnONP+MnO2NP对6个小麦品种生长、产量、降Cd效果的影响以及Cd在不同小麦品种中的转移、积累规律,为重金属污染农田的安全利用提供科学依据。
1 材料与方法 1.1 试验地概况试验于2021年10月至2022年5月在江苏省徐州市某区–污染农田进行,该试验田为微碱性旱地Cd污染农田,栽培模式为麦玉轮作。试验区年平均气温16 ℃,年平均降水量753 mm。供试土壤为中性砂质壤土,pH为7.15,水解性氮为132.9 mg/kg,有效磷为86.5 mg/kg,速效钾为16.8 mg/kg,土壤Cd总量为0.75 mg/kg。
1.2 试验材料供试作物:根据本课题前期的研究结果[23],选取沿淮地区广泛种植的6个Cd低累积小麦品种(西农619、周麦36、华伟305、盛麦21、江麦919和烟农919)作为供试作物。
供试纳米材料:氧化锌纳米颗粒(ZnONP,粒径为30 nm)和二氧化锰纳米颗粒(MnO2NP,粒径为20 nm),纯度为99.9%,购自中科雷鸣科技有限公司。吐温80(用作表面活性剂)购自西隆化工公司。
1.3 试验设计每个小麦品种下各设置4个不同纳米材料的喷施处理,分别为:①CK(叶面喷施纯水);②叶面喷施ZnONP 25 mg/L;③叶面喷施MnO2NP 5 000 mg/L;④叶面喷施ZnONP 25 mg/L + MnO2NP 5 000 mg/L。Zn和Mn的喷施时间和剂量参考文献[24-25]。在小麦拔节期和灌浆期分别通过手持式喷雾器对小麦进行叶面喷施,拔节期和灌浆期各喷施一次,喷施量为40 L/667m2。每个处理3次重复,共72个小区,单个小区面积为4 m2(2 m ×2 m),随机排列。在小麦生长期间,土壤施肥和水分管理遵循当地的惯例。
1.4 样品采集与分析试验前采集试验地基础土样(0 ~ 20 cm)用于土壤理化性质测定,测定方法参照《土壤农化分析》2000年版[26]。小麦样品于成熟期采集,每个小区单独采集小麦植株并进行考种,获得平均株高、单位面积穗数、千粒重和穗粒数,测算理论产量,并将小麦植株划分为根、茎、叶和籽粒4部分,清洗、烘干、粉碎、过筛后用于重金属含量测定。
重金属含量测定:称取0.2 g均质粉碎的植物样品于锥形烧瓶,用硝酸和高氯酸(体积比5∶1)进行冷消解,并将锥形烧瓶放在通风橱过夜,然后在电热板上加热消解。空白样品和标准对照样品按同样的方法消解,以控制数据质量。采用电感耦合等离子体质谱法(Perkin Elmer ® Optima 2000, UAS)测定溶液中的Cd、Zn和Mn浓度。通过使用重复样品、空白样品、基质加标样品以及标准物质(柑橘叶GBW10020)测定进行质量控制,标准物质回收率91% ~ 105%。
1.5 数据处理与分析为了研究小麦各部位Cd、Zn和Mn自下而上的转运能力,计算Cd、Zn、Mn从土壤到地上的转运系数(TF)[27],计算公式为:TF根–茎=小麦茎中Cd/Zn/Mn的含量/小麦根中Cd/Zn/Mn的含量;TF茎–叶=小麦叶中Cd/Zn/Mn的含量/小麦茎中Cd/Zn/Mn的含量;TF茎–籽粒=小麦籽粒中Cd/Zn/Mn的含量/小麦茎中Cd/Zn/Mn的含量;TF叶–籽粒=小麦籽粒中Cd/Zn/Mn的含量/小麦茎中Cd/Zn/Mn的含量[28]。
文中数据以平均数±标准偏差的形式表示。各数据的统计分析与方差分析采用SPSS 22.0软件,并使用Origin 2021作图。
2 结果与分析 2.1 叶面喷施纳米材料对小麦产量的影响与对照相比,本试验选取的6个小麦品种叶面喷施纳米材料后对株高均无显著影响(表 1)。与对照相比,在周麦36、华伟305、盛麦21和江麦919品种中叶面喷施ZnONP、MnO2NP和ZnONP+MnO2NP均提高了小麦千粒重3% ~ 13%、1% ~ 10%、1% ~11% 和2% ~ 11%,但差异均不显著(P > 0.05)。在西农619和烟农919品种中,叶面喷施ZnONP、MnO2NP提高了千粒重5% ~ 7% 和9% ~ 15%,而叶面喷施ZnONP+MnO2NP降低了千粒重3% 和6%。与对照相比,在华伟305和盛麦21小麦品种中叶面喷施ZnONP、MnO2NP和ZnONP+MnO2NP均提高了小麦穗粒数1% ~ 10% 和4% ~ 14%。在西农619、江麦919和烟农919小麦品种中叶面喷施ZnONP提高了小麦穗粒数8%、6% 和3%,叶面喷施MnO2NP还使烟农919小麦穗粒数提高6%,但差异不显著(P > 0.05)。与对照相比,在周麦36和江麦919中叶面喷施ZnONP、MnO2NP和ZnONP+MnO2NP均提高了理论产量3% ~ 12% 和2% ~ 19%,但差异均不显著(P > 0.05)。叶面喷施ZnONP、MnO2NP提高了西农619和烟农919理论产量10% ~ 14% 和3% ~ 18%,但差异不显著(P > 0.05)。对于华伟305,叶面喷施ZnONP、MnO2NP和ZnONP+MnO2NP提高了理论产量10%、13% 和4%,其中叶面喷施MnO2NP作用显著(P < 0.05)。叶面喷施ZnONP、MnO2NP显著提高了盛麦21理论产量22% 和24%。
|
|
表 1 不同处理对小麦产量及构成要素的影响 Table 1 Effects of different treatments on wheat yields and yield components |
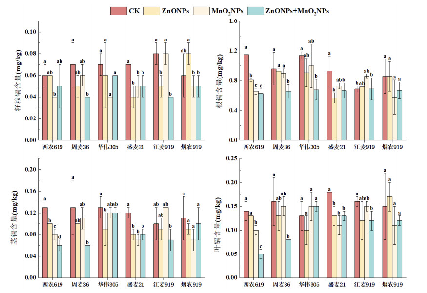
叶面喷施纳米材料对6个小麦品种籽粒、根、茎和叶Cd分布的影响具有显著差异(图 1)。小麦组织各部位Cd含量由高到低的顺序为:根 > 茎 > 叶 > 籽粒。在对照处理组中,6个小麦品种籽粒Cd含量(0.06 ~ 0.08 mg/kg)均低于国际食品法典委员会(CAC)标准[28]和我国《食品安全国家标准食品中污染物限量》(GB 2762—2022)[29]标准规定的0.1 mg/kg。与对照相比,叶面喷施ZnONP分别使西农619、周麦36、华伟305、盛麦21和江麦919的籽粒、茎和叶的Cd含量明显降低8% ~ 25%、19% ~ 25%、10% ~ 30%、27% ~ 40% 和10% ~ 37%,但烟农919根、茎和叶的Cd含量降低效果均不显著;叶面喷施MnO2NP分别使西农619、周麦36、华伟305、盛麦21和烟农919的籽粒、根和茎的Cd含量明显降低35% ~ 42%、7% ~ 16%、8% ~ 38%、21% ~ 45% 和27% ~ 39%;叶面喷施ZnONP+MnO2NP分别使西农619、周麦36、盛麦21、江麦919和烟农919的籽粒、根、茎和叶的Cd含量明显降低23% ~ 62%、31% ~ 51%、26% ~ 37%、1% ~ 53% 和9% ~ 21%,使华伟305的籽粒、根和茎Cd含量显著降低12% ~ 40%。
|
(图中不同小写字母表示同一品种不同叶面喷施处理间差异在P < 0.05水平显著) 图 1 叶面喷施纳米材料对6种小麦根、茎、叶和籽粒中Cd含量的影响 Fig. 1 Effects of foliar spraying of nanomaterials on Cd concentrations in roots, stems, leaves and grains of six wheat varieties |
叶面喷施纳米材料后6个小麦品种Cd的TF值见表 2。在对照处理中,江麦919具有最高的TF根–茎、TF茎–叶和TF茎–籽粒;西农619的TF根–茎和TF茎–籽粒最低;叶面喷施ZnONP和MnO2NP分别使华伟305、盛麦21和烟农919的TF根–茎与对照相比减少3% ~ 22%、4% ~ 23% 和8% ~ 11%;叶面喷施ZnONP、MnO2NP和ZnONP+MnO2NP分别使周麦36、华伟305和盛麦21的TF茎–叶与对照相比增加7% ~ 15%、3% ~ 29% 和12% ~ 18%,但差异不显著(P > 0.05)。
|
|
表 2 叶面喷施纳米材料对小麦不同组织Cd转运系数的影响 Table 2 Effects of foliar sprays of nanomaterials on Cd translocation factors in different wheat tissues |
叶面喷施纳米材料对各小麦品种籽粒、根、茎和叶的Zn含量的影响见图 2。与对照相比,叶面喷施ZnONP分别使西农619、周麦36、江麦919的籽粒、根、茎和叶的Zn含量提高0.3% ~ 108%、16% ~ 109% 和4% ~ 21%,使华伟305和烟农919的籽粒、茎和叶的Zn含量增加4% ~ 93% 和5% ~ 150%,但差异均不显著(P > 0.05);叶面喷施MnO2NP分别使周麦36和江麦919的Zn含量明显增加28% ~ 99% 和7% ~ 98%;叶面喷施ZnONP+MnO2NP分别使周麦36、华伟305、盛麦21、江麦919和烟农919的籽粒、根、茎和叶的Zn含量增加10% ~ 253%、2% ~ 89%、5% ~ 59%、13% ~ 89% 和15% ~ 131%,但差异不显著(P > 0.05)。
|
(不同字母表示同一品种在不同叶面处理下在p < 0.05水平的差异显著性) 图 2 叶面喷施纳米材料对6种小麦根、茎、叶、籽粒中Zn含量的影响 Fig. 2 Effects of foliar spraying of nanomaterials on Zn concentrations in roots, stems, leaves and grains of six wheat varieties |
叶面喷施纳米材料后,6个小麦品种Zn的TF值如表 3所示。与对照相比,叶面喷施ZnONP、MnO2NP和ZnONPs+MnO2NP分别使周麦36、华伟305、江麦919和烟农919的TF根–茎增加22% ~ 61%、4% ~ 20%、15% ~ 64% 和77% ~ 169%;叶面喷施ZnONP和MnO2NP分别使西农619和华伟305的TF茎–叶增加52% ~ 106% 和30% ~ 81%;叶面喷施ZnONP、MnO2NP和ZnONP+MnO2NP分别使西农619、华伟305、盛麦21和烟农919的TF叶–籽粒减少33% ~ 42%、45% ~ 48%、11% ~ 43% 和28% ~ 43%。
|
|
表 3 叶面喷施纳米材料对小麦不同组织Zn转运系数的影响 Table 3 Effects of foliar sprays of nanomaterials on Zn translocation factors in different wheat tissues |
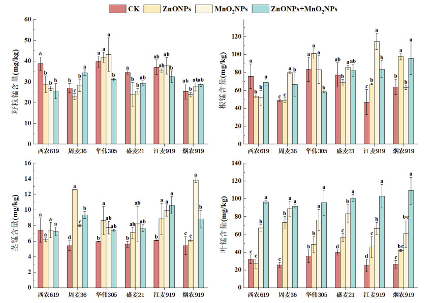
叶面喷施纳米材料对各小麦品种籽粒、根、茎和叶Mn含量影响见图 3。与对照相比,叶面喷施ZnONP分别使周麦36、华伟305、江麦919和烟农919根、茎和叶Mn含量分别增加1% ~ 185%、5% ~ 45%、43% ~ 84%和12% ~ 60%;叶面喷施MnO2NP分别使周麦36和江麦919籽粒、根、茎和叶Mn含量增加5% ~ 245% 和2% ~ 167%,使华伟305和烟农919籽粒、茎和叶Mn含量增加9% ~ 114% 和9% ~ 154%;叶面喷施ZnONP+MnO2NP分别使周麦36和烟农919籽粒、根、茎和叶Mn含量增加27% ~ 255% 和13% ~ 315%,使盛麦21和江麦919根、茎和叶Mn含量增加6% ~ 154% 和78% ~ 314%。
|
图 3 叶面喷施纳米材料对6种小麦根、茎、叶、籽粒中Mn含量的影响 Fig. 3 Effects of foliar spraying of nanomaterials on Mn concentrations in roots, stems, leaves and grains of six wheat varieties |
各处理小麦品种Mn的转移系数如表 4所示。叶面喷施ZnONP、MnO2NP和ZnONP+MnO2NP分别使西农619、华伟305和盛麦21的TF根–茎与对照相比增加4% ~ 42%、17% ~ 74% 和27% ~ 39%,使周麦36、盛麦21和江麦919的TF茎–叶与对照相比增加22% ~ 133%、13% ~ 86% 和27% ~ 142%;叶面喷施ZnONP、MnO2NP和ZnONP+MnO2NP处理中,6个小麦品种的TF叶–籽粒和TF茎–籽粒与对照相比均下降。
|
|
表 4 叶面喷施纳米材料对小麦不同组织Mn转运系数的影响 Table 4 Effects of foliar sprays of nanomaterials on Mn translocation factors in different wheat tissues |
本研究结果表明,不同类型的纳米颗粒添加均能促进受Cd胁迫植物的生长,这和以往的研究结果基本一致,即叶面喷施Zn和Mn肥均能显著提高小麦的籽粒产量、秸秆生物量、千粒重和穗粒数[14, 31]。较高的Zn含量可能通过不同机制在植物中发挥作用,如共沉淀Cd和Zn在代谢不活跃的部分,减少Zn缺乏,从而减轻Cd的毒性,促进植物生长。此外,也有研究表明,在缺Mn条件下,叶面施用Mn肥可以有效促进作物生长[32]。Zn、Fe和Mn单独或复合添加对土壤pH、电导率、有机碳、速效氮磷钾和DTPA提取态Fe均无显著影响,表明添加微量营养素不会显著改变土壤的化学特性[33]。本研究结果也表明,叶面喷施ZnONP和MnO2NP后,6个小麦品种的籽粒产量分别提高2% ~ 24% 不等(表 1),这可能是由于Zn和Mn微量营养元素通过叶片的有效性增加所致[34]。前人研究表明,千粒重和籽粒产量的增加可能是由于Zn和Mn在小麦拔节期和灌浆期的良好作用[35-37]。叶面喷施处理的谷物产量较高可能是由于微量营养元素的可用性更好。因为在碱性和石灰性土壤中,高pH会使营养元素在植物根部的供应降低,从而不足以使植物生长情况达到最佳[38]。因此,叶面喷施直接供给植物叶片营养元素,是植物获取营养的一个很好的策略。
本研究中,叶面喷施ZnONP不仅显著地降低了籽粒中的Cd含量,而且分别降低和提高了植物体内Cd和Zn的含量。先前的研究也表明,植物中较高的Zn水平抑制了植物对Cd的吸收[18, 39]。较高的Zn浓度可能会促进小麦的生长,从而导致单位生物量Cd的减少。此外,喷施Zn还可能抑制了小麦的蒸腾作用,从而对Cd的吸收、运输和再分配产生影响[20, 40]。同时,Cd还能与细胞壁中的Si-半纤维素-Zn络合物产生共沉淀反应,将Cd固定在细胞壁中,从而抑制Cd在细胞间的转运[41-42]。尽管纳米材料有助于降低小麦对重金属的积累,但是其本身也可能对环境造成影响。纳米材料可能会在土壤中积累,影响土壤生态平衡,对微生物和其他生物产生不良影响。例如,用作肥料的CuO和ZnONP会对土壤中的无脊椎动物产生毒性影响[43]。纳米颗粒也可能通过食物链进入人体,对人体健康造成潜在威胁[44]。当低浓度纳米颗粒应用于植物时,应进一步研究植物组织中纳米颗粒释放的元素在不同组织中的富集情况,以及人类和动物与这类农产品之间的关系[45-46]。
本研究中,叶面喷施MnO2NP后,小麦植株各部位(根、茎、叶、籽粒)中Mn的含量也随之增加。不同小麦品种对Zn、Mn的吸收存在显著差异。由于遗传组成的不同,这些品种之间的Zn、Mn含量也不同。Mn是作物生长发育不可缺少的微量元素之一,能显著地提高小麦叶片的光合作用。小麦中存在的重要蛋白可以抵御氧化应激,并且在维持细胞内氧化还原平衡方面起到重要作用。同时,这些重要蛋白还参与调节小麦对Mn吸收和转运的过程。有研究表明,土壤和叶面施Mn均影响小麦籽粒中Mn的含量,并且硬粒小麦籽粒中Mn的含量低于普通小麦[47-48]。还有研究报道了在田间条件下小麦品种耐Mn性的遗传变异,结果表明,叶面喷施Zn、Mn对提高籽粒中Zn、Mn含量起着关键作用[17]。本研究结果表明,在周麦36和江麦919小麦品种中,Zn和Mn复合喷施在抑制Cd积累方面的协同效应大于其单一效应。这可能是由于Cd、Zn、Mn均属于二价阳离子,其化学性质较相似,尤其是在吸收和转运通道方面。由于Zn和Mn在植物体内的运输是主动运输,而Cd主要经过被动转运,因此Zn和Mn在植物的吸收和代谢过程中会占据一定优势,当这3种元素同时存在于环境中时,植物细胞膜上的载体蛋白会优先选择与Zn和Mn结合并进行转运。不同小麦品种喷施相同纳米材料对Cd的累积效果具有较大差异,表明纳米粒子对金属的吸收与纳米粒子的种类、植物种类、生长条件等有关[49]。
转移系数(TF)可反映植物对土壤重金属的吸收并将其从根部运输至地上部分的能力。本研究结果表明,不同小麦品种对Cd的转运特性存在差异。己有研究表明,小麦对重金属离子具有不同的摄取和转运机制,主要取决于其品种特性[50-51]。江麦919具有最高的Cd转运特性,即具有最高的TF根–茎、TF茎–叶和TF茎–籽粒(表 2),西农619其TF根–茎和TF茎–籽粒最低,这可能是由于Zn与Cd的化学性质相似,当Zn与Cd同时竞争相同的转运蛋白或通道蛋白时,膜蛋白会优先与Zn结合,从而对Cd从旗叶向穗轴和籽粒等地上部的转运产生抑制作用[52]。研究还表明,Cd在同一作物品种的不同部位、不同品种同一部位之间的吸收和转运差异很大[53]。2个小麦品种对Cd的吸收和积累均存在差异,主要是因为不同小麦品种对Cd吸收转运的生理特性不同[8],这可能是由不同小麦品种基因型差异造成的。除基因型差异之外,小麦品种中Cd积累的差异可能还与其他因素有关,如小麦对Cd的转运特性[54],以及Cd与其他矿物质营养物(如Fe、Zn、Mn、Cu和Mg)之间的交互作用[55]。
4 结论叶面喷施ZnONP、MnO2NP和ZnONP+MnO2NP对不同小麦品种Cd转运积累特性的影响存在较大差异。叶面喷施上述3种纳米材料提高了部分小麦品种的生物量和产量,降低了部分小麦中Cd的含量,还减少了重金属从根到地上部分的转移系数。叶面喷施3种纳米材料分别使西农619、周麦36、华伟305、盛麦21、江麦919和烟农919小麦籽粒Cd含量降低11% ~ 35%、10% ~ 46%、10% ~ 38%、28% ~ 40%、37% ~ 53% 和15% ~ 27%。其中,西农619、华伟305和烟农919叶面喷施MnO2NP降低籽粒Cd累积效果最好,周麦36和江麦919叶面喷施ZnONP+ MnO2NP降低籽粒Cd累积效果最好,盛麦21叶面喷施ZnONP降低籽粒Cd累积效果最好。
| [1] |
Ayub M A, Ahmad H R, Zia ur Rehman M, et al. Cerium oxide nanoparticles alleviates stress in wheat grown on Cd contaminated alkaline soil[J]. Chemosphere, 2023, 338: 139561 DOI:10.1016/j.chemosphere.2023.139561 ( 0) |
| [2] |
Hamid Y, Tang L, Sohail M I, et al. An explanation of soil amendments to reduce cadmium phytoavailability and transfer to food chain[J]. Science of The Total Environment, 2019, 660: 80-96 DOI:10.1016/j.scitotenv.2018.12.419 ( 0) |
| [3] |
Li Y D, Xu R H, Ma C L, et al. Potential functions of engineered nanomaterials in cadmium remediation in soil-plant system: A review[J]. Environmental Pollution, 2023, 336: 122340 DOI:10.1016/j.envpol.2023.122340 ( 0) |
| [4] |
王玉军, 刘存, 周东美, 陈怀满. 客观地看待我国耕地土壤环境质量的现状——关于《全国土壤污染状况调查公报》中有关问题的讨论和建议. 农业环境科学学报, 2014, 33(08): 1465-1473.
( 0) |
| [5] |
Hui C Y, Guo Y, Liu L S, et al. Recent advances in bacterial biosensing and bioremediation of cadmium pollution: A mini-review[J]. World Journal of Microbiology & Biotechnology, 2021, 38(1): 9 ( 0) |
| [6] |
Li Y L, Ge C H, Cheng C, et al. Nano-biochar uptake and translocation by plants: Assessing environmental fate and food chain risk[J]. Science of The Total Environment, 2023, 905: 167012 DOI:10.1016/j.scitotenv.2023.167012 ( 0) |
| [7] |
Reyes-Hinojosa D, Lozada-Pérez C A, Zamudio Cuevas Y, et al. Toxicity of cadmium in musculoskeletal diseases[J]. Environmental Toxicology and Pharmacology, 2019, 72: 103219 DOI:10.1016/j.etap.2019.103219 ( 0) |
| [8] |
Zhou D H, Ran Y W, Yu R, et al. SIRT1 regulates osteoblast senescence through SOD2 acetylation and mitochondrial dysfunction in the progression of Osteoporosis caused by Cadmium exposure[J]. Chemico- Biological Interactions, 2023, 382: 110632 DOI:10.1016/j.cbi.2023.110632 ( 0) |
| [9] |
Rizwan M, Ali S, Abbas T, et al. Cadmium minimization in wheat: A critical review[J]. Ecotoxicology and Environmental Safety, 2016, 130: 43-53 DOI:10.1016/j.ecoenv.2016.04.001 ( 0) |
| [10] |
Gallego S M, Pena L B, Barcia R A, et al. Unravelling cadmium toxicity and tolerance in plants: Insight into regulatory mechanisms[J]. Environmental and Experimental Botany, 2012, 83: 33-46 DOI:10.1016/j.envexpbot.2012.04.006 ( 0) |
| [11] |
Ejaz A, Khan Z I, Ahmad K, et al. Appraising growth, daily intake, health risk index, and pollution load of Zn in wheat (Triticum aestivum L.) grown in soil differentially spiked with zinc[J]. Environmental Science and Pollution Research, 2022, 29(23): 34685-34700 DOI:10.1007/s11356-021-18130-w ( 0) |
| [12] |
Moitazedi S, Sayfzadeh S, Haghparast R, et al. Mitigation of drought stress effects on wheat yield via the foliar application of boron, zinc, and manganese nano-chelates and supplementary irrigation[J]. Journal of Plant Nutrition, 2023, 46(9): 1988-2002 DOI:10.1080/01904167.2022.2105719 ( 0) |
| [13] |
Bano N, Khan S, Hamid Y, et al. Effect of foliar application of nanoparticles on growth, physiology, and antioxidant enzyme activities of lettuce (Lactuca sativa L.) plants under cadmium toxicity[J]. Environmental Science and Pollution Research International, 2023, 30(44): 99310-99325 DOI:10.1007/s11356-023-29241-x ( 0) |
| [14] |
Perveen S, Saeed M, Parveen A, et al. Modulation of growth and key physiobiochemical attributes after foliar application of zinc sulphate (ZnSO4) on wheat (Triticum aestivum L.) under cadmium (Cd) stress[J]. Physiology and Molecular Biology of Plants, 2020, 26(9): 1787-1797 DOI:10.1007/s12298-020-00861-8 ( 0) |
| [15] |
Chen F, Bashir A, Zia ur Rehman M, et al. Combined effects of green manure and zinc oxide nanoparticles on cadmium uptake by wheat (Triticum aestivum L.)[J]. Chemosphere, 2022, 298: 134348 DOI:10.1016/j.chemosphere.2022.134348 ( 0) |
| [16] |
Lian J P, Cheng L P, Zhai X, et al. Foliar spray of combined metal-oxide nanoparticles alters the accumulation, translocation and health risk of Cd in wheat (Triticum aestivum L.)[J]. Journal of Hazardous Materials, 2022, 440: 129857 DOI:10.1016/j.jhazmat.2022.129857 ( 0) |
| [17] |
Pahlavan-Rad M R, Pessarakli M. Response of wheat plants to zinc, iron, and manganese applications and uptake and concentration of zinc, iron, and manganese in wheat grains[J]. Communications in Soil Science and Plant Analysis, 2009, 40(7/8): 1322-1332 ( 0) |
| [18] |
Zhu J H, Li J F, Shen Y, et al. Mechanism of zinc oxide nanoparticle entry into wheat seedling leaves[J]. Environmental Science: Nano, 2020, 7(12): 3901-3913 DOI:10.1039/D0EN00658K ( 0) |
| [19] |
Dimkpa C, Singh U, Adisa I, et al. Effects of manganese nanoparticle exposure on nutrient acquisition in wheat (Triticum aestivum L.)[J]. Agronomy, 2018, 8(9): 158 DOI:10.3390/agronomy8090158 ( 0) |
| [20] |
Wu C, Dun Y, Zhang Z J, et al. Foliar application of selenium and zinc to alleviate wheat (Triticum aestivum L.) cadmium toxicity and uptake from cadmium-contaminated soil[J]. Ecotoxicology and Environmental Safety, 2020, 190: 110091 DOI:10.1016/j.ecoenv.2019.110091 ( 0) |
| [21] |
Zhou J, Zhang C, Du B Y, et al. Effects of zinc application on cadmium (Cd) accumulation and plant growth through modulation of the antioxidant system and translocation of Cd in low- and high-Cd wheat cultivars[J]. Environmental Pollution, 2020, 265(Pt A): 115045 ( 0) |
| [22] |
Qian L S, Dawar K, Ullah I, et al. Zinc foliar application mitigates cadmium-induced growth inhibition and enhances wheat growth, chlorophyll contents, and yield[J]. ACS Omega, 2023, 8(36): 32372-32381 DOI:10.1021/acsomega.3c01511 ( 0) |
| [23] |
Zhang L G, Zhang C, Du B Y, et al. Effects of node restriction on cadmium accumulation in eight Chinese wheat (Triticum turgidum) cultivars[J]. Science of The Total Environment, 2020, 725: 138358 DOI:10.1016/j.scitotenv.2020.138358 ( 0) |
| [24] |
周一敏, 黄雅媛, 刘晓月, 等. 叶面喷施纳米MnO2对水稻富集镉的影响机制[J]. 环境科学, 2021, 42(2): 932-940 ( 0) |
| [25] |
Adrees M, Khan Z S, Hafeez M, et al. Foliar exposure of zinc oxide nanoparticles improved the growth of wheat (Triticum aestivum L.) and decreased cadmium concentration in grains under simultaneous Cd and water deficient stress[J]. Ecotoxicology and Environmental Safety, 2021, 208: 111627 DOI:10.1016/j.ecoenv.2020.111627 ( 0) |
| [26] |
鲍士旦. 土壤农化分析(3版)[M].
中国农业出版社, 北京, 2000
( 0) |
| [27] |
Saleh S R, Kandeel M M, Ghareeb D, et al. Wheat biological responses to stress caused by cadmium, nickel and lead[J]. Science of The Total Environment, 2020, 706: 136013 DOI:10.1016/j.scitotenv.2019.136013 ( 0) |
| [28] |
Rezapour S, Atashpaz B, Moghaddam S S, et al. Cadmium accumulation, translocation factor, and health risk potential in a wastewater-irrigated soil-wheat (Triticum aestivum L.) system[J]. Chemosphere, 2019, 231: 579-587 DOI:10.1016/j.chemosphere.2019.05.095 ( 0) |
| [29] |
高燕. 国际食品法典委员会(CAC)[J]. 中国标准化, 2016(5): 100-104 ( 0) |
| [30] |
中国人民共和国国家卫生健康委员会, 国家市场监督管理总局. 食品安全国家标准食品中污染物限量: GB2762—2022 [S]. 北京: 中国标准出版社, 2022.
( 0) |
| [31] |
Khan F U, Khan A A, Qu Y Y, et al. Enhancing wheat production and quality in alkaline soil: A study on the effectiveness of foliar and soil applied zinc[J]. PeerJ, 2023, 11: e16179 DOI:10.7717/peerj.16179 ( 0) |
| [32] |
Arsic M, Persson D P, Schjoerring J K, Thygesen L G, Lombi E, Doolette C L, Husted S. Foliar-applied manganese and phosphorus in deficient barley: Linking absorption pathways and leaf nutrient status. Physiologia Plantarum, 2022, 174(4): e13761.
( 0) |
| [33] |
Sankaranarayanan K, Praharaj C, Nalayini P, et al. Effect of magnesium, zinc, iron and boron application on yield and quality of cotton (Gossypium hirsutum)[J]. Indian Journal of Agricultural Sciences, 2010, 80: 699-703 ( 0) |
| [34] |
张腾, 崔利利, 刘艳妮, 等. 施用纳米氧化锌对小麦籽粒锌含量和锌利用率的影响[J]. 干旱地区农业研究, 2018, 36(4): 7-14 ( 0) |
| [35] |
Aziz M Z, Yaseen M, Abbas T, et al. Foliar application of micronutrients enhances crop stand, yield and the biofortification essential for human health of different wheat cultivars[J]. Journal of Integrative Agriculture, 2019, 18(6): 1369-1378 DOI:10.1016/S2095-3119(18)62095-7 ( 0) |
| [36] |
Saifullah, Javed H, Naeem A, et al. Timing of foliar Zn application plays a vital role in minimizing Cd accumulation in wheat[J]. Environmental Science and Pollution Research International, 2016, 23(16): 16432-16439 DOI:10.1007/s11356-016-6822-y ( 0) |
| [37] |
Yaseen M. Role of foliar feeding of micronutrients in yield maximization of cotton in Punjab[J]. Turkish Journal of Agriculture and Forestry, 2013, 37(4): 420-426 ( 0) |
| [38] |
Hamidpour M, Khadivi E, Afyuni M. Residual effects of biosolids and farm manure on speciation and plant uptake of heavy metals in a calcareous soil[J]. Environmental Earth Sciences, 2016, 75(12): 1037 DOI:10.1007/s12665-016-5840-x ( 0) |
| [39] |
Wang H, Xu C, Luo Z C, et al. Foliar application of Zn can reduce Cd concentrations in rice (Oryza sativa L.) under field conditions[J]. Environmental Science and Pollution Research, 2018, 25(29): 29287-29294 DOI:10.1007/s11356-018-2938-6 ( 0) |
| [40] |
Zheng S, Xu C, Lv G H, et al. Foliar zinc reduced Cd accumulation in grains by inhibiting Cd mobility in the xylem and increasing Cd retention ability in roots1[J]. Environmental Pollution, 2023, 333: 122046 DOI:10.1016/j.envpol.2023.122046 ( 0) |
| [41] |
Ma J, Cai H M, He C W, et al. A hemicellulose-bound form of silicon inhibits cadmium ion uptake in rice (Oryza sativa) cells[J]. New Phytologist, 2015, 206(3): 1063-1074 DOI:10.1111/nph.13276 ( 0) |
| [42] |
Ma J, Zhang X Q, Wang L J. Synergistic effects between [Si-hemicellulose matrix] ligands and Zn ions in inhibiting Cd ion uptake in rice (Oryza sativa) cells[J]. Planta, 2017, 245(5): 965-976 DOI:10.1007/s00425-017-2655-2 ( 0) |
| [43] |
Gomes S I L, Chidiamassamba S B, Trindade T, et al. Environmental hazards of WELGRO® Cu+Zn: A nano-enabled fertilizer[J]. Environmental Pollution, 2023, 336: 122469 ( 0) |
| [44] |
Al Mamun A, Prasetya T A E, Dewi I R, et al. Microplastics in human food chains: Food becoming a threat to health safety[J]. Science of The Total Environment, 2023, 858: 159834 ( 0) |
| [45] |
Iavicoli I, Fontana L, Leso V, et al. Hormetic dose– responses in nanotechnology studies[J]. Science of The Total Environment, 2014, 487: 361-374 ( 0) |
| [46] |
Wang J, Koo Y, Alexander A, et al. Phytostimulation of poplars and Arabidopsis exposed to silver nanoparticles and Ag* at sublethal concentrations[J]. Environmental Science & Technology, 2013, 47(10): 5442-5449 ( 0) |
| [47] |
姚澄, 周天宇, 易超, 史高玲, 沈文忠, 张绪美, 陈未, 樊广萍, 高岩. 施用锰肥对根际土壤锰有效性及小麦镉吸收转运的影响. 农业环境科学学报, 2022, 41(09): 1955–1965.
( 0) |
| [48] |
Y. K A, N. A-N S. Effect of zinc and wheat variety on grain content of (zn, fe, cu and mn) grown in calcareous soil. IOP Conference Series: Earth and Environmental Science, 2023, 1213(1)
( 0) |
| [49] |
Wang S H, Wang F Y, Gao S C, et al. Heavy metal accumulation in different rice cultivars as influenced by foliar application of nano-silicon[J]. Water, Air, & Soil Pollution, 2016, 227(7): 228 ( 0) |
| [50] |
何富豪, 田超, 户少武, 等. 土壤镉污染和叶面施锌对小麦不同部位镉锌含量的影响[J]. 农业环境科学学报, 2024, 43(4): 741-751 ( 0) |
| [51] |
Zhou Z, Zhang B, Liu H T, et al. Zinc effects on cadmium toxicity in two wheat varieties (Triticum aestivum L.) differing in grain cadmium accumulation[J]. Ecotoxicology and Environmental Safety, 2019, 183: 109562 ( 0) |
| [52] |
Kandhol N, Rai P, Pandey S, et al. Zinc induced regulation of PCR1 gene for cadmium stress resistance in rice roots[J]. Plant Science, 2023, 337: 111783 ( 0) |
| [53] |
Kubo K, Kobayashi H, Fujita M, et al. Varietal differences in the absorption and partitioning of cadmium in common wheat (Triticum aestivum L.)[J]. Environmental and Experimental Botany, 2016, 124: 79-88 ( 0) |
| [54] |
Hart J J, Welch R M, Norvell W A, et al. Characterization of cadmium uptake, translocation and storage in near- isogenic lines of durum wheat that differ in grain cadmium concentration[J]. New Phytologist, 2006, 172(2): 261-271 ( 0) |
| [55] |
Yang Y L, Ma T, Ding F, et al. Interactive zinc, iron, and copper-induced phytotoxicity in wheat roots[J]. Environmental Science and Pollution Research International, 2017, 24(1): 395-404 ( 0) |
2. School of Resources and Environment, Henan Institute of Science and Technology, Xinxiang, Henan 453003, China;
3. Jiangsu Geology and Mineral Resources Design and Research Institute (Testing Center of General Administration of Coal Geology, China), Xuzhou, Jiangsu 221006, China;
4. University of Chinese Academy of Sciences, Beijing 100049, China
2025, Vol. 57



0)