2. 中国科学院大学, 北京 100049
水稻是我国重要的粮食作物,如何在有限的耕地资源下科学有效地实现水稻增产是众多研究学者的目标。再生稻是头季稻收割时进行适当高度的留茬,利用稻桩上存活的休眠芽萌发成穗而再收获一季的稻作制度[1]。近年来,因综合效益突出,再生稻种植模式在南方地区迅速发展[2-4]。太湖流域地处北纬32°地区,光热资源供应一季中稻生产有余而供应双季稻生产不足[5],加上全球变暖对种植制度界限变化敏感区域的影响[6],该区域内再生稻种植方兴未艾,再生季的产量高达5.40 t/hm2[7-9]。
氮肥施用是保证作物高产的基础,也是活性氮排放的主要源头[10]。氨挥发是农田活性氮损失的重要途径之一,受耕作强度、作物类型、水肥管理和气象条件等众多因素的影响,其排放具有很强的地域性[11-12]。我国农田年均氨挥发损失氮量为3.29 ~ 4.06 Tg,主要集中于东部地区,其中华北平原和长江流域的粮食生产基地是重要的热点区域[13]。稻田氨挥发损失量可占活性氮总量的58.5% ~ 67.6%[10, 14],排放因子(10.2% ~ 17.4%)远高于小麦(2.78% ~ 10.7%)和玉米(3.01% ~ 9.36%)[12]。相较于单季稻,再生稻移栽开始于4月,头季施肥提前,再生季施肥增加施氮量,氨挥发特征及损失量势必与常规单季稻有所不同。目前我国有关再生稻的氨挥发研究主要集中在湖北省,其结果表明再生季氨挥发约占两季氨挥发总量的50% ~ 60%[15],排放速率可达14.3 kg/(hm2·d)[16],而氨挥发总量较稻麦轮作模式降低14.8%[14]。Hu等[17]针对全国再生稻的文献统计表明,华东地区可较华中地区高20% 的化肥氮投入,而氮肥利用率仅达到其一半水平,可见华东地区面临更严重的氮素损失。太湖流域是我国典型的稻麦轮作区,两季施氮量高达400 ~ 500 kg/hm2,氮素以氨挥发形式损失的总量可达施氮量的6.93% ~ 18.1%[18-19],蓄留再生稻对氨挥发的影响尚不清楚。因此,本文针对太湖流域传统稻麦轮作与蓄留再生稻两种种植模式开展研究,以期揭示再生稻田的氨挥发特征,为太湖流域蓄留再生稻的氮素管理提供科学参考。
1 材料与方法 1.1 试验地概况田间试验于2022年11月—2023年10月在江苏省宜兴市丁蜀镇漳渎村(119.91 °E,31.28 °N)常熟农田生态系统国家野外科学观测研究站宜兴基地开展。该地区属于亚热带季风气候,传统种植制度为稻麦轮作,年平均气温为15.5 ℃,多年平均降水量为1 391 mm。供试土壤类型为黄泥土,土壤全碳含量为12.0 g/kg,全氮含量为1.44 g/kg,有效磷含量为11.3 mg/kg,速效钾含量为70.5 mg/kg,土壤容重为1.09 g/cm3,pH为6.32。
1.2 试验设计试验共设置稻麦轮作(RW)和再生稻–紫云英(RR)两种种植模式,每个处理4次重复,采用随机区组设计,每个试验小区的面积为15 m2(3 m×5 m)。对于稻麦轮作模式,麦季施氮量为200 kg/hm2,按基肥∶追肥=1∶1,分次施入,磷肥54 kg/hm2和钾肥135 kg/hm2作基肥一次性施入;稻季施氮量为240 kg/hm2,按基肥∶蘖肥∶穗肥=3∶4∶3,分次施入,磷肥60 kg/hm2和钾肥45 kg/hm2作基肥一次性施入。对于再生稻–紫云英模式,紫云英不施肥;再生稻头季施氮量为240 kg/hm2,按基肥∶蘖肥∶穗肥=3∶4∶3,分次施入,再生季施氮量为175 kg/hm2,按促芽肥∶发苗肥∶促穗肥=2∶2∶1,分次施入,磷肥60 kg/hm2和钾肥45 kg/hm2作基肥一次性施入。肥料均为单质肥,氮肥为尿素(N,46%),磷肥为过磷酸钙(P2O5,12%),钾肥为氯化钾(K2O,60%)。具体施氮量与施肥日期见表 1。
|
|
表 1 施氮量与施肥日期 |
试验地田间管理遵循当地常规管理方式,秸秆进行全量原位还田。其中,稻麦轮作模式,小麦品种为扬麦1号,于2022年11月19日播种,播种密度为188 kg/hm2,2023年6月2日收获;水稻品种为南粳46,于2023年6月28日移栽,移栽规格为25 cm×17 cm,2023年10月28日收获。再生稻–紫云英模式,紫云英于2022年11月19日播种,播种密度为52.5 kg/hm2,2023年4月10日翻耕还田;再生稻品种为丰两优香1号,于2023年4月20日移栽,移栽规格为25 cm×17 cm,2023年8月15日头季收获,留桩高度保留至倒2节(31 cm左右),2023年10月28日再生季收获。水分管理为冬季雨养,稻季灌溉遵循前期持续淹水、中期烤田和后期干湿交替,再生稻头季收割前复水施肥,再生季复浅水,抽穗后干湿交替直至成熟落干。稻麦轮作模式稻季烤田时间为2023年8月1日—11日,再生稻–紫云英模式烤田时间为2023年5月31日—6月7日。
1.3 样品采集与测定 1.3.1 氨挥发收集与通量估算作物生育期每次施肥后连续采样7 ~ 9 d,采样时间为每天的8:00—10:00和14:00—16:00。氨挥发收集采用密闭室间歇抽气法,气室直径为20 cm,气室内的换气速率为15 ~ 20次/min,通过调节阀和流量计控制换气速率。密闭室内挥发的氨由抽气泵带动进入吸收瓶中,被瓶中100 mL的0.05 mol/L稀硫酸吸收,抽气结束后通过连续流动分析仪(San++System,荷兰Skalar)测定吸收液中的铵态氮浓度,从而估算土壤表面氨挥发通量及累积量。
氨挥发通量计算:
| $ F = C \times V \times {10^{ - 6}} \times \frac{{{{10}^4}}}{{\pi \times {R^2}}} \times 6 $ | (1) |
式中:F为氨挥发通量,kg/(hm2·d)(以单质N量计);C为吸收液铵态氮的浓度,mg/L;V为稀硫酸吸收液的体积,L;10−6为质量转换系数;104为面积转换系数;R为气室的半径,m;6为时间转换系数,是24 h与日氨挥发收集时间4 h的比值。
氨挥发累积量计算:
| $ {F_c} = \left[ {\frac{{{F_1} + {F_n}}}{2} + \mathop \sum \limits_{i = 1}^n \left( {\frac{{{F_i} + {F_{i + 1}}}}{2}} \right) \times \left( {{t_{i + 1}} - {t_i}} \right)} \right] $ | (2) |
式中:Fc为氨挥发累积量,kg/hm2(以单质N量计);F1和Fn分别为第1次和最后1次采样时的氨排放通量,kg/(hm2·d);Fi和Fi+1为第i和i+1次采样时氨的排放通量,kg/(hm2·d);n为观测次数;ti和ti+1为第i+1次和第i次采样的时间间隔,d。
1.3.2 田面水性质和土温测定田面水采集与稻季氨挥发的采集同频。田面水pH采用便携式pH计测定,田面水全氮和铵态氮浓度采用连续流动分析仪(San++System,Skalar,荷兰)测定。土温测定频率为冬季间隔7 ~ 10 d,稻季间隔4 ~ 7 d。土温测定深度为0 cm和10 cm,采用手持数显式温度计(TX10-01,Yokogawa,日本)测定。
1.3.3 作物产量指标与氨挥发强度计算作物成熟时收获地上部分,通过单打单收的方式测定每个小区的生物量,计算不同处理的籽粒产量。水稻籽粒含水量为17.2%,小麦籽粒含水量为5.8%。同时在每个小区选取6株代表性植株样品进行脱粒,籽粒置于80 ℃的烘箱中烘至恒重,经粉碎和过筛(< 0.149 mm)后采用碳氮元素分析仪(Primacs SNC90-IC-E,Skalar,荷兰)测定氮含量。氮肥偏生产力(NPFP)表征投入的单位肥料氮所能生产的作物籽粒产量,其计算公式如下:
| $ {\text{NPFP}} = Y \times {10^3}/{N_{{\text{fer}}}} $ | (3) |
式中:NPFP为氮肥偏生产力,kg/kg;Y为施肥后所获得的作物籽粒产量,t/hm2;Nfer为施氮量,kg/hm2。
氨挥发强度表征单位产量的氨挥发损失量,其计算公式如下:
| $ {F_x} = {F_{\text{c}}}/Y $ | (4) |
式中:Fx为氨挥发强度,kg/t(以单质N量计);Fc为氨挥发累积量,kg/hm2;Y为所获得的作物产量,t/hm2。
1.4 数据处理与作图运用Origin 2021进行数据处理及制图。采用SPSS 26进行单因素方差分析(One-way ANOVA),多重比较采用Duncan法,相关分析采用Parson法。
2 结果与分析 2.1 氨挥发通量动态变化与累积损失量特征图 1所示为两种种植模式各施肥阶段的氨挥发通量变化。RW模式下麦季基肥和追肥期氨挥发通量峰值出现时间分别为施肥后的第1天和第3天,稻季氨挥发通量均在施肥后第1天达到峰值随后逐渐降低;氨挥发峰值最高为稻季蘖肥期8.62 kg/(hm2·d),其他施肥期的每日氨挥发损失量均低于2 kg/(hm2·d)。RR模式下稻季氨挥发通量峰值出现时间不尽相同,基肥期为施肥后第2天,蘖/穗/促芽肥期为施肥后第3天,发苗/促穗肥期为施肥后第1天;氨挥发通量峰值由高至低分别为发苗肥期11.7 kg/(hm2·d)、蘖肥期7.28 kg/(hm2·d)、促穗肥7.05 kg/(hm2·d),其他施肥期的每日氨挥发损失量均低于2 kg/(hm2·d)。
|
图 1 两种种植模式氨挥发通量变化 |
依据氨挥发田间监测结果,对不同种植模式氨挥发累积损失量(图 2) 进行了评估,发现RW模式下麦季氨挥发损失总量为9.52 kg/hm2,约占麦季施氮量的5%;稻季氨挥发损失总量为43.3 kg/hm2,依次为蘖肥期 > 基肥期 > 穗肥期。RR模式下稻季氨挥发损失总量为74.3 kg/hm2,依次为蘖肥期 > 发苗肥 > 促穗肥 > 促芽肥 > 基肥 > 穗肥。全年而言,RW模式下氨挥发累积损失量为52.8 kg/hm2,占施氮比例达12.0%;RR模式下氨挥发累积损失量为74.3 kg/hm2,占施氮比例达17.9%,RR模式较RW模式增加40.7% 的氨排放。
|
(图中不同小写字母表示两种种植模式间差异达到显著水平(P < 0.05)) 图 2 不同施肥时期以及全年两种种植模式氨挥发累积损失量 |
图 3所示为施肥后稻季田面水性质的短期变化情况。田面水全氮浓度均在施肥后由高降至低水平(图 3A),两种种植模式下田面水全氮浓度峰值均在水稻蘖肥期,虽该时期施氮量一致,但RR模式下峰值可达179 mg/L,远高于RW模式下峰值68.0 mg/L。田面水铵态氮浓度变化趋势与全氮有所不同(图 3B),RW模式蘖肥期、RR模式蘖肥期、RR模式穗肥期和RR模式促芽肥期间田面水铵态氮浓度峰值出现时间晚于全氮。相关性结果(表 2)显示,稻季氨挥发通量主要受田面水氮素浓度的影响,RW模式下其与田面水铵态氮和全氮浓度显著正相关(P < 0.01),RR模式下其与田面水铵态氮浓度显著正相关(P < 0.01)。稻田氨挥发是NH4+和NH3的动力学平衡过程,在大量铵态氮的存在下,田面水pH也紧密地影响着氨挥发。总体上,稻季生长后期pH低于生长前期,对氨挥发的影响逐渐减弱(图 3C)。
|
图 3 稻季田面水全氮(A)、铵态氮(B)和pH(C)动态变化 |
|
|
表 2 两种种植模式下氨挥发影响因子与氨挥发通量的相关性 |
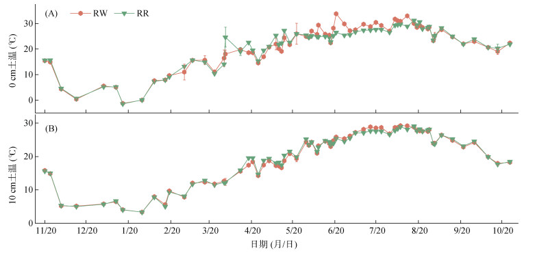
就土温而言(图 4),表层土温表现为冬季低(均值8.4 ℃),夏季高(均值28.3 ℃),进入4月后,土温遵循季节变化的同时,也受到植株冠层密集程度以及水分的影响。由同一时期不同种植模式下0 cm土温对比结果(图 4A)可知,RR模式下紫云英生长后期、再生稻泡田直至蘖肥期的土温高于RW模式下麦季;6月小麦收割后及8月常规稻抽穗期间,RW模式土温高于RR模式水稻头季;当RR模式水稻头季收割后,土温短暂高于RW模式稻季。相较之下,10 cm土温(图 4B)的动态变化起伏有所缩小,但不同种植模式间类似的差异仍存在。
|
图 4 0 cm (A)和10 cm (B)土壤温度动态变化 |
由表 3可知,RW模式下小麦产量为3.55 t/hm2,水稻产量为6.29 t/hm2;RR模式下再生稻头季产量为8.86 t/hm2,再生季产量为5.22 t/hm2,再生季产量可达头季产量的58.9%,两季总产量显著高于RW模式达43.0%。RR模式下籽粒吸氮总量为257.4 kg/hm2,较RW模式下显著提高48.6%。其中,RR模式下再生稻头季籽粒吸氮量高达172.9 kg/hm2,约为再生季籽粒含氮量的2倍。RW和RR模式下氮肥偏生产力分别为22.4和33.9 kg/kg,RR模式显著高于RW模式。RW和RR模式下氨挥发强度相当,分别为5.37和5.29 kg/t。
|
|
表 3 两种种植模式下作物的产量、籽粒吸氮量、氮肥偏生产力与氨挥发强度 |
本研究结果表明,与稻麦轮作系统稻季氨挥发的变化趋势类似,再生稻头季的氨挥发主要发生在蘖肥期,不同的是再生稻的再生季发苗肥期也导致了大量的氨挥发(图 1和图 2)。这是因为表施尿素的水解产物碳酸铵会使田面水铵态氮浓度迅速升高[20],而蘖肥期施氮量(96 kg/hm2) 最高,该时期田面水全氮与铵态氮浓度峰值也最高(图 3),为氨挥发提供了丰富的氮源。其次,再生稻蘖肥期田面水pH均值高达8.27 (图 3),碱性环境可能造成氨挥发持续时间延长[21]。发苗肥期施氮量为70 kg/hm2,明显低于蘖肥期,但其氨挥发通量可在第1天达到峰值且大于蘖肥期通量峰值(图 1),这可能与该时期温度高、植株冠层密度低和田面水层低有关[22]。有研究表明,高温晴朗的气象条件会促进稻田氨挥发速率[23]。例如,张靖等[20]早晚稻的氨挥发研究结果显示,晚稻(7—8月)氨挥发通量峰值可为早稻(4—6月)的2倍。在水稻植株较矮且冠层密集较低的生长状况下,氨挥发的损失加剧[23-24]。此外,较低的田面水层更利于氨挥发的排放[25]。本研究中,发苗肥施用时间为8月中旬且头季收割后,温度较高(图 4)、冠层减少与复浅水的环境条件均有利于氨挥发的增加。与本研究不同,湖北荆州[15]和武穴[26]的再生稻试验结果显示,再生稻基肥期施氮量最高,对应氨挥发量也最高;促芽肥施氮量较发苗肥更高,相应地,促芽肥期的氨挥发通量高于发苗肥期[26],这表明不同地区再生稻种植的氮肥运筹存在差异可能是造成氨挥发特征有所不同的原因。
3.2 两种水稻种植模式氨挥发损失差异与稻麦轮作相比,再生稻头季的基、蘖、穗肥施氮量虽与单季稻相同,但对应的氨挥发峰值及总量均低于单季稻(图 1和图 2)。RR模式水稻移栽时间为4月下旬,而RW模式稻季开始于6月底,RR模式再生稻头季氨挥发时期的0 cm土温均值较RW模式稻季低6 ℃。较低的温度可能产生抑制氨挥发的效果[23],导致RR模式氨挥发通量峰值低于RW模式且出现时间有所延后(图 1)。RR与RW模式水稻移栽前的还田物料也有所区别,RR模式为紫云英绿肥还田,RW模式为小麦秸秆还田。研究表明,麦秸还田会显著增加氮肥的氨挥发损失[27],而紫云英还田下的氨挥发损失量较单施尿素的差异并不显著[28],其原因可能是紫云英还田能提高微生物生物量氮,加速无机氮向有机氮转化的过程,降低氨挥发风险[29-30];紫云英还田还可显著降低土壤中羟胺还原酶活性,抑制氨挥发的发生[31]。因此,RR模式再生稻头季氨挥发损失量低于RW模式稻季。但RR模式促芽、发苗、促穗肥3次施肥均在夏季8月高温期,即使再生季施氮量仅为头季的80%,其氨挥发损失量也高于头季(图 2)。总体上,RR模式的稻季及全年氨挥发损失量均比RW模式高71.6% 和40.7% (图 2)。
我国水稻单位面积的氨挥发量远高于其他作物,由此呈现夏季稻区氨挥发强度大、大气氨浓度高的特点[12, 32]。受土地利用及农业措施的影响,中东部粮食产区为氨挥发热点区域,其中江苏、安徽等省份主要因为过度施肥而占据排放首位[13]。以往研究表明,太湖地区稻麦轮作体系中水稻较高施氮水平(300 ~ 350 kg/hm2)下,氨挥发损失量可达47.7 ~ 212 kg/hm2[21, 33-35]。在我国化肥施用政策的影响下,施氮水平减至240 kg/hm2时,氨挥发损失量可降至54.7 kg/hm2[19],与本研究结果相当。相较之下,湖北等地的再生稻施氮水平(280 ~ 350 kg/hm2)低于本试验条件,其氨挥发损失量(29.0 ~ 54.3 kg/hm2[14-15])也低于本研究结果。
3.3 两种水稻种植模式作物产量差异太湖流域是我国重要的粮食生产基地,水稻种植品种繁多,其中南粳46是苏南地区普遍种植的水稻品种,稻米品质好但产量变化较大,据统计,其产量在6.9 ~ 11.2 t/hm2[36],也出现过低至6.23 t/hm2的情况[19],这与本研究结果(6.29 t/hm2)十分接近。扬麦系列为长江中下游的弱筋小麦优势品种,但其在太湖地区的产量(3.03 ~ 6.27 t/hm2)年际差异较大[19, 37],且小麦收获期间时常遭受阴雨天气的影响,导致产量和品质下降。由于蓄留再生稻较常规单季稻多收一季,且具有省工省时、效益高的优点[3-4],近年来已在太湖流域逐步发展[7, 9]。该地区再生稻两季总产为9.78 ~ 12.8 t/hm2,其中丰两优香1号品种的头季和再生季产量分别可达9.05和3.82 t/hm2[7-8]。本研究中,RR模式再生稻头季和再生季产量分别较RW模式稻季和麦季增加40.7% 和46.9%,可见相应的水热条件可能更有利于再生稻的生长。进一步分析发现,由于RW和RR模式全年施氮量相近(440和415 kg/hm2),RR模式较RW模式可能通过显著提高籽粒吸氮量和氮肥偏生产力(表 3)从而实现显著增产的目的。据Hu等[17]统计,湖北地区再生稻产量名列前茅(均值13.1 kg/hm2),其籽粒吸氮量和氮肥偏生产力均显著高于产量较低的地区。
3.4 再生稻氨挥发减排建议氨是稻田活性氮排放中最重要的污染物之一,再生稻氨挥发周年损失量较稻麦轮作系统的增加意味着对环境的危害加大。结合各施肥期的氨挥发损失特征来看,蘖肥期与发苗肥期具有减排潜力。氮肥减施虽然是最有效的一条途径,但是存在粮食减产的风险。在各氨挥发影响因子中,田面水铵态氮浓度与氨挥发量呈显著正相关(P < 0.01),因此可考虑通过改变氮肥形态[21, 28](控释肥和绿肥替代)来降低施肥后田面水铵态氮浓度,避免氮素营养过剩时土壤与水稻冠层氨挥发增强[24, 28],进而减少氨挥发损失。鉴于氮肥施用量对氨挥发损失量的显著影响,还可在稳定产量和籽粒吸氮量的基础上,通过调整氮肥运筹方式,减少主要时期的施氮量来降低氨挥发通量。如在太湖流域,可考虑水稻蘖肥期施氮比更小的氮肥运筹方式,基肥∶蘖肥∶穗肥=4∶3∶3[34]或4∶2∶4[38]。基于再生稻再生季籽粒吸氮量远低于头季的情况,可进一步探究促芽肥、发苗肥与促穗肥对再生季产量的贡献,寻找更优的施氮量及施氮比例。例如,再生稻再生季干物质量一部分来自头季稻转运,再生季产量与头季长势和土壤肥力显著正相关[39-40],因此,当头季植株营养状况较好时,再生季的施氮量可适当减少,充分发挥土壤地力的作用。
4 结论再生稻的氨挥发主要发生在头季的蘖肥期和再生季的发苗肥期,分别高达23.2和20.1 kg/hm2。尽管稻麦轮作模式周年施氮量高于再生稻模式,但蓄留再生稻导致的氨挥发量更高,这主要是由于再生季短时间内大量施氮且环境温度高造成了严重的氨挥发损失。此外,再生稻头季和再生季两季总产量高达14.10 t/hm2,显著高于稻麦轮作两季总产量43.0%,这可能与种植的水稻、小麦品种以及当时的天气状况有关。综合而言,太湖流域稻麦轮作模式与再生稻模式的氨挥发强度相当,但再生稻模式显著提高籽粒吸氮量,且具有更高的氮肥偏生产力,在太湖流域蓄留再生稻较稻麦轮作具有更高的产量和更大的氨挥发减排潜力,值得未来进一步深入研究。
| [1] |
朱永川, 熊洪, 徐富贤, 等. 再生稻栽培技术的研究进展[J]. 中国农学通报, 2013, 29(36): 1-8 DOI:10.11924/j.issn.1000-6850.2013-0363 ( 0) |
| [2] |
宋开付, 张广斌, 徐华, 等. 中国再生稻种植的影响因素及可持续性研究进展[J]. 土壤学报, 2020, 57(6): 1365-1377 ( 0) |
| [3] |
Xu F X, Zhang L, Zhou X B, et al. The ratoon rice system with high yield and high efficiency in China: Progress, trend of theory and technology[J]. Field Crops Research, 2021, 272: 108282 DOI:10.1016/j.fcr.2021.108282 ( 0) |
| [4] |
Huang J D, Yu X, Zhang Z L, et al. Exploration of feasible rice-based crop rotation systems to coordinate productivity, resource use efficiency and carbon footprint in Central China[J]. European Journal of Agronomy, 2022, 141: 126633 DOI:10.1016/j.eja.2022.126633 ( 0) |
| [5] |
杨前进, 张立平, 董伟, 等. 北纬32°地区早熟中稻"一种两收" 栽培技术模式及应用效果分析[J]. 现代农业科技, 2023(8): 1–3, 11 DOI:10.3969/j.issn.1007-5739.2023.08.001 ( 0) |
| [6] |
Liu X Q, Liu Y S, Liu Z J, et al. Impacts of climatic warming on cropping system borders of China and potential adaptation strategies for regional agriculture development[J]. Science of The Total Environment, 2021, 755: 142415 DOI:10.1016/j.scitotenv.2020.142415 ( 0) |
| [7] |
狄田荣, 陆伟英. 溧阳市杂交籼稻再生栽培技术初步研究[J]. 上海农业科技, 2020(1): 46–47, 49 ( 0) |
| [8] |
樊迪, 李若林, 马静, 等. 太湖流域不同再生稻品种的温室气体排放强度[J]. 农业环境科学学报, 2022, 41(9): 2082-2090 ( 0) |
| [9] |
汤郑豪, 李诚永, 朱镕一, 等. 浙江省再生稻生产现状与发展策略[J]. 中国稻米, 2024, 30(2): 78–81, 86 ( 0) |
| [10] |
Ding W C, He P, Zhang J J, et al. Optimizing rates and sources of nutrient input to mitigate nitrogen, phosphorus, and carbon losses from rice paddies[J]. Journal of Cleaner Production, 2020, 256: 120603 DOI:10.1016/j.jclepro.2020.120603 ( 0) |
| [11] |
Ma R Y, Zou J W, Han Z Q, et al. Global soil-derived ammonia emissions from agricultural nitrogen fertilizer application: A refinement based on regional and crop-specific emission factors[J]. Global Change Biology, 2021, 27(4): 855-867 DOI:10.1111/gcb.15437 ( 0) |
| [12] |
Xu H, Liu S, Ding J, et al. Mapping crop-specific emission factors highlights hotspots of ammonia mitigation in China[J]. Science of The Total Environment, 2024, 908: 168157 DOI:10.1016/j.scitotenv.2023.168157 ( 0) |
| [13] |
Shen N C, Wang W J, Tan J N, et al. Roles of historical land use/cover and nitrogen fertilizer application changes on ammonia emissions in farmland ecosystem from 1990 to 2020 in China[J]. Science of The Total Environment, 2024, 906: 167565 DOI:10.1016/j.scitotenv.2023.167565 ( 0) |
| [14] |
Zhou Y, Liu K, Harrison M T, et al. Shifting rice cropping systems mitigates ecological footprints and enhances grain yield in Central China[J]. Frontiers in Plant Science, 2022, 13: 895402 DOI:10.3389/fpls.2022.895402 ( 0) |
| [15] |
孔盼. 不同耕作与施肥方式对早稻-再生稻稻田氨挥发和水稻氮素吸收及产量的影响[D]. 荆州: 长江大学, 2022.
( 0) |
| [16] |
Ding Z J, Li J T, Hu R, et al. Root-zone fertilization of controlled-release urea reduces nitrous oxide emissions and ammonia volatilization under two irrigation practices in a ratoon rice field[J]. Field Crops Research, 2022, 287: 108673 DOI:10.1016/j.fcr.2022.108673 ( 0) |
| [17] |
Hu R, Ding Z J, Li T Y, et al. Optimizing nitrogen application for Chinese ratoon rice based on yield and reactive nitrogen loss[J]. Agriculture, 2022, 12(7): 1064 DOI:10.3390/agriculture12071064 ( 0) |
| [18] |
Zhao X, Xie Y X, Xiong Z Q, et al. Nitrogen fate and environmental consequence in paddy soil under rice-wheat rotation in the Taihu lake region, China[J]. Plant and Soil, 2009, 319(1): 225-234 ( 0) |
| [19] |
Cai S Y, Pittelkow C M, Zhao X, et al. Winter legume-rice rotations can reduce nitrogen pollution and carbon footprint while maintaining net ecosystem economic benefits[J]. Journal of Cleaner Production, 2018, 195: 289-300 DOI:10.1016/j.jclepro.2018.05.115 ( 0) |
| [20] |
张靖, 朱潇, 沈健林, 等. 生物有机肥与化肥配施对稻田氨挥发的影响[J]. 中国生态农业学报(中英文), 2022, 30(1): 15-25 ( 0) |
| [21] |
Liu X D, Chen L Y, Hua Z L, et al. Comparing ammonia volatilization between conventional and slow-release nitrogen fertilizers in paddy fields in the Taihu Lake region[J]. Environmental Science and Pollution Research International, 2020, 27(8): 8386-8394 DOI:10.1007/s11356-019-07536-2 ( 0) |
| [22] |
Yang Y, Li N, Ni X Y, et al. Combining deep flooding and slow-release urea to reduce ammonia emission from rice fields[J]. Journal of Cleaner Production, 2020, 244: 118745 DOI:10.1016/j.jclepro.2019.118745 ( 0) |
| [23] |
Yang W L, Que H L, Wang S W, et al. High temporal resolution measurements of ammonia emissions following different nitrogen application rates from a rice field in the Taihu Lake Region of China[J]. Environmental Pollution, 2020, 257: 113489 DOI:10.1016/j.envpol.2019.113489 ( 0) |
| [24] |
Hayashi K, Nishimura S, Yagi K. Ammonia volatilization from a paddy field following applications of urea: Rice plants are both an absorber and an emitter for atmospheric ammonia[J]. Science of The Total Environment, 2008, 390(2/3): 485-494 ( 0) |
| [25] |
Li H, Liang X Q, Chen Y X, et al. Ammonia volatilization from urea in rice fields with zero-drainage water management[J]. Agricultural Water Management, 2008, 95(8): 887-894 DOI:10.1016/j.agwat.2007.05.016 ( 0) |
| [26] |
周浩之. 不同再生稻栽培模式碳氮足迹与经济效益的评估[D]. 武汉: 华中农业大学, 2022.
( 0) |
| [27] |
Wang J, Wang D J, Zhang G, et al. Effect of wheat straw application on ammonia volatilization from urea applied to a paddy field[J]. Nutrient Cycling in Agroecosystems, 2012, 94(1): 73-84 DOI:10.1007/s10705-012-9527-8 ( 0) |
| [28] |
王吕, 吴玉红, 秦宇航, 等. 紫云英稻秆联合还田与氮肥减量对水稻产量及氨挥发的影响[J]. 农业环境科学学报, 2024, 43(2): 462-472 ( 0) |
| [29] |
颜志雷, 方宇, 陈济琛, 等. 连年翻压紫云英对稻田土壤养分和微生物学特性的影响[J]. 植物营养与肥料学报, 2014, 20(5): 1151-1160 ( 0) |
| [30] |
王慧, 韩上, 唐杉, 等. 紫云英翻压还田对稻田土壤团聚体组成及其碳氮的影响[J]. 土壤学报, 2023, 60(3): 868-880 ( 0) |
| [31] |
谢志坚, 涂书新, 徐昌旭, 等. 紫云英还田对单季稻田氨挥发的影响[J]. 核农学报, 2017, 31(8): 1576-1584 ( 0) |
| [32] |
Chen S H, Cheng M M, Guo Z, et al. Enhanced atmospheric ammonia (NH3) pollution in China from 2008 to 2016: Evidence from a combination of observations and emissions[J]. Environmental Pollution, 2020, 263: 114421 ( 0) |
| [33] |
Lin D X, Fan X H, Hu F, et al. Ammonia volatilization and nitrogen utilization efficiency in response to urea application in rice fields of the Taihu Lake Region, China[J]. Pedosphere, 2007, 17(5): 639-645 ( 0) |
| [34] |
朱文彬, 曾科, 田玉华, 等. 不同深施方式对太湖地区稻田氨挥发和氮肥利用率的影响[J]. 土壤, 2023, 55(4): 729-738 DOI:10.13758/j.cnki.tr.2023.04.005 ( 0) |
| [35] |
王书伟, 林静慧, 吴正贵, 等. 氮肥深施对太湖地区稻田氨挥发的影响[J]. 中国生态农业学报(中英文), 2021, 29(12): 2002-2012 ( 0) |
| [36] |
赵凌, 朱镇, 陈涛, 等. 水稻优良品种南粳46及其衍生品种特性分析[J]. 植物遗传资源学报, 2023, 24(3): 648-660 ( 0) |
| [37] |
Xue L H, Yu Y L, Yang L Z. Maintaining yields and reducing nitrogen loss in rice–wheat rotation system in Taihu Lake region with proper fertilizer management[J]. Environmental Research Letters, 2014, 9(11): 115010 ( 0) |
| [38] |
张敏, 姚元林, 田玉华, 等. 不同施肥措施对稻田氮损失和氮肥利用的影响[J]. 土壤, 2022, 54(5): 890-895 DOI:10.13758/j.cnki.tr.2022.05.003 ( 0) |
| [39] |
He A B, Wang W Q, Jiang G L, et al. Source-sink regulation and its effects on the regeneration ability of ratoon rice[J]. Field Crops Research, 2019, 236: 155-164 ( 0) |
| [40] |
Lin M H, Yang S W, Chen H F, et al. Optimally combined application of organic and chemical fertilizers increases grain yield and improves rhizosphere microecological properties in rice ratooning[J]. Crop Science, 2023, 63(2): 764-783 ( 0) |
2. University of Chinese Academy of Sciences, Beijing 100049, China
2025, Vol. 57



0)