土壤有机碳(SOC)、全氮(TN)作为农业生态系统中评估土壤肥力和土地质量的重要指标[1],与土壤生产力、环境质量密切相关[2]。了解土壤碳氮含量的动态演变过程对于制定有效的土地管理政策、提高农作物产量具有重要意义。作为地球三大碳库之一,土壤中的有机碳储量约为植被中碳储量的3倍,大气中碳储量的2倍[3]。大气CO2转化为土壤有机碳,在很大程度上抑制了温室效应的发展,对全球气候变化起到重要的调控作用[4]。同时,土壤氮的累积能够显著提高碳的稳定固存能力,对土壤碳汇产生重要的影响,因而被视为评估土壤碳固存潜力的重要指标[5]。因此,了解土壤碳氮储量及其时间演变规律并对其进行定量评估对于了解土壤生产潜力、理解陆地生态系统的碳汇能力至关重要。
滩涂是我国重要的后备土地资源之一,围垦滩涂对于缓解人地矛盾关系、保障国家粮食安全具有重要意义[6]。经围垦发育而来的滩涂农田土壤长期处于活跃和变化状态,了解其内部的碳氮演变过程对于改善施肥体系、促进围垦农田可持续发展以及优化农业管理政策具有重要的意义[7]。一般而言,超过几十年尺度的土壤发生发育过程难以直接观测。土壤时间序列凭借自身以空间代替时间的特征可以将处于不同空间位置的土体信息串联到同一时序内,从而有效地解决这一问题。土壤时间序列是指除成土时间因素以外其他成土因素相似的情况下发育的一系列土壤,这意味着时间被认为是影响土壤发育和随后水平变化的最主要因素[8]。以往的滩涂土壤时间序列研究多局限于表层土壤范围(< 30 cm)[9-10],较少考虑深层土壤属性变化;或局限于较短的成土时间范围(百年以内)[11-12],未能涉及更长的时序。然而,碳氮循环是一个长期的过程,想要了解其演变的趋势和机制应当以更长的时间范畴作为支撑;同时,仅关注表层土壤会忽略深层中碳氮的存储情况,会导致剖面碳氮固存特征出现误差,不利于更好地推进农业可持续发展。
浙江东部慈溪地区沿岸筑堤,堤内开垦造田,耕种水稻等农作物,已有千余年历史,且筑堤造田年代皆有史籍可考,为该地区创建土壤时间序列提供了可靠的依据。长期的围垦耕作、培肥改良已经使该地区的土壤理化属性发生了显著的变化[13],是用作研究土壤碳氮属性演变过程的良好选择。本研究以杭州湾南岸慈溪地区经滩涂围垦培育发展而来的水稻土剖面为研究对象,比较分析碳氮含量、储量在不同围垦时间水稻土剖面中的变化过程,揭示慈溪地区农田水稻土碳氮属性在千年围垦时序内的演化特征,旨在为当地土壤质量管理和农业可持续发展提供理论支撑,并为其他相似地区的土壤管理模式提供科学依据。
1 材料与方法 1.1 研究区概况研究区位于浙江东北部的慈溪市(30°2′ N ~ 30°19′N,121°2′E ~ 121°36′E)(图 1A),地处东海之滨,土壤发育母质为海涂堆积物。该地区主要为低山丘陵,地势相对平缓,气候属于亚热带季风气候,年均气温16.3 ℃,年均降水量1 345 mm。5 000 a前该地区在海涂自然堆积下由浅海开始逐渐向陆地转变;公元5世纪,当地居民根据海涂地势砌土筑塘、围垦造田,并在农田内耕种水稻[14];时至今日,慈溪已成为全国最重要的水稻种植区之一。该地滩涂农田土壤围垦年龄可根据《慈溪海堤集》[15]中慈溪市历代海塘图估算(图 1B)。前人研究表明,该地区成土母质来源均一且母质连续[16]。
|
图 1 研究区位置图(A)与采样点分布图(B) Fig. 1 Sketch map of study area (A) and distribution map of soil sampling points (B) |
通过实地走访考察,选取从北向南的10个具有长期耕作历史且施行相似施肥条件的农田作为采样点,采集围垦土龄约为30、60、120、170、200、280、350、550、950、1 100 a的典型土壤剖面建立土壤时间序列(图 1B)。在采集剖面样本时,按0 ~ 5、5 ~ 10、10 ~ 15、15 ~ 20、20 ~ 30、30 ~ 40、40 ~ 50、50 ~ 60、60 ~ 80和80 ~ 100 cm的特定深度间隔采集土壤样品,共采集100个重量约为500 g的土壤样品;使用体积为100 cm3的环刀在每个深度间隔的中心位置采集土壤容重样品。采集的土壤样品在室内经自然风干后研磨并过100目筛。采用重铬酸钾氧化加热法测定土壤有机碳含量[17];采用半微量凯氏定氮法测定全氮含量[18];采用电位法测量土壤pH[19]。
1.3 数据计算与处理使用公式(1)计算土壤样品容重(g/cm3):
| $ {\text{BD}} = \frac{{{m_{\text{t}}} - {m_{\text{s}}}}}{v} $ | (1) |
式中:mt、ms分别为经过105 ℃干燥后的环刀样品重量和空环刀重量(g),v为环刀容积(cm3)。
第i层单位厚度(1 cm)土壤有机碳密度(SOCDicm,g/m2)、全氮密度(TNDicm,g/m2)指单位面积1 cm厚度的有机碳储量(SOCSicm,Mg/hm2)、全氮储量(TNSicm,Mg/hm2),使用公式(2)、(3)计算:
| $ {\text{SOCD}}_{i\text{cm}}={\text{SOC}}_{i}\times {\text{BD}}_{i}\times A\times (1-{C}_{i})/10 $ | (2) |
| $ {\text{TND}}_{i\text{cm}}={\text{TN}}_{i}\times {\text{BD}}_{i}\times A\times (1-{C}_{i})/10 $ | (3) |
第i层有机碳密度(SOCDi,g/m2)、全氮密度(TNDi,g/m2)指单位面积对应层次厚度的土壤有机碳储量(SOCSi,Mg/hm2)、全氮储量(TNSi,Mg/hm2),使用公式(4)、(5)计算:
| $ {\text{SOC}}{{\text{D}}_i} = {\text{SO}}{{\text{C}}_i} \times {\text{B}}{{\text{D}}_i} \times {D_i} \times (1 - {C_i})/10 $ | (4) |
| $ {\text{TND}}_{i}={\text{TN}}_{i}\times {\text{BD}}_{i}\times {D}_{i}\times (1-{C}_{i})/10 $ | (5) |
0 ~ 100 cm深度的土壤有机碳密度(SOCD,g/m2)、全氮密度(TND,g/m2)指单位面积1 m厚的土壤有机碳储量(SOCS,Mg/hm2)、全氮储量(TNS,Mg/hm2),用公式(6)、(7)计算:
| $ {\text{SOCD}} = \sum\limits_{i = 1}^n {{\text{SOC}}{{\text{D}}_i}} $ | (6) |
| $ {\text{TND}} = \sum\limits_{i = 1}^n {{\text{TN}}{{\text{D}}_i}} $ | (7) |
使用公式(8)、(9)计算不同深度范围内土壤有机碳含量加权平均值(SOCwi,g/kg)、全氮含量加权平均值(TNwi g/kg):
| $ {\text{SOC}}{w_i} = \frac{{\sum\limits_{i = 1}^n {{\text{SO}}{{\text{C}}_i} \times {\text{B}}{{\text{D}}_i} \times {D_i}} }}{{{\text{B}}{{\text{D}}_{{\text{average}}}} \times \sum\limits_{i = 1}^n {{D_i}} }} $ | (8) |
| $ {\text{TN}}{{\text{w}}_i} = \frac{{\sum\limits_{i = 1}^n {{\text{T}}{{\text{N}}_i} \times {\text{B}}{{\text{D}}_i} \times {D_i}} }}{{{\text{B}}{{\text{D}}_{{\text{average}}}} \times \sum\limits_{i = 1}^n {{D_i}} }} $ | (9) |
式中:SOCi、TNi、BDi、Di和Ci分别表示第i层的土壤有机碳含量(g/kg)、全氮含量(g/kg)、容重(g/cm3)、土层深度(cm)和 > 2 mm的石砾占比(%);A代表1 cm;10是单位转换系数;n为参与计算的总层数;Ci认为是可以忽略的,因为研究区域中很少出现粗颗粒;BDaverage为对应深度范围容重的平均值。
使用Excel对试验所得数据进行初步的整理和预处理。使用Origin 2021学习版软件进行绘图。
2 结果 2.1 土壤理化性质的基本统计由表 1可见,研究区内土壤容重处于1.05 ~ 1.72 g/cm3,pH介于6.05 ~ 9.34,两者均为弱变异水平(CV < 10%)。有机碳含量介于1.36 ~ 24.59 g/kg,全氮含量介于0.24 ~ 2.37 g/kg,根据全国第二次土壤普查的养分分级标准[20],研究区内有机碳、全氮含量总体上处于较低水平,且尚未达到全国水耕人为土平均水平(有机碳11.13 g/kg,全氮1.18 g/kg);有机碳、全氮含量的变异系数分别达到了82.19% 和63.94%,属于中等变异水平(10% < CV < 30%)。碳氮比介于4.34 ~ 11.83,变异系数为22.78%;有机碳储量(0 ~ 100 cm)介于39.27 ~ 102.21 Mg/hm2,变异系数为33.70%;全氮储量(0 ~ 100 cm)介于5.44 ~ 13.82 Mg/hm2,变异系数为29.13%;碳氮比、碳氮储量的变异程度远小于碳氮含量的变异程度,但仍属于中等变异水平。
|
|
表 1 土壤理化性质的基本统计 Table 1 Basic statistics of soil physiochemical properties of tested soil |
有机碳与全氮含量在土层深度和时间上均表现出相似的变化趋势(图 2、3)。在土层深度方向上,表层0 ~ 30 cm中碳氮含量较高且变化速率较快,表层以下碳氮含量明显降低且变化速率减缓;0 ~ 30 cm范围内碳氮含量加权平均值分别为8.92 g/kg和1.03 g/kg,30 ~ 100 cm范围内为2.78 g/kg和0.44 g/kg,差距较大。时间方向上,0 ~ 30 cm内碳氮含量的加权平均值在围垦550 a内呈现波动减小趋势,先分别由围垦成土初期的8.74 g/kg和0.80 g/kg降至120 a时的4.63 g/kg和60 a时的0.62 g/kg,随后升至280 a时的8.75 g/kg和1.05 g/kg,最后降至550 a时的5.90 g/kg和0.77 g/kg;围垦千年后,0 ~ 30 cm内碳氮含量显著增加,分别增至14.35 g/kg和1.64 g/kg,相较于围垦初期,增幅分别达到了64% 和107%。30 ~ 100 cm土层,围垦550 a内碳氮含量的变化幅度较小(土龄为60 a的剖面除外),分别由成土初期的1.95 g/kg和0.27 g/kg增至2.17 g/kg和0.39 g/kg;围垦千年后,30 ~ 100 cm内碳氮含量显著增加,分别增至3.78 g/kg和0.56 g/kg,相较于成土初期增长了94% 和111%。
|
图 2 各剖面土壤有机碳(A)与全氮(B)含量分布变化热力图 Fig. 2 Thermal map of SOC (A) and TN (B) distributions in profiles |
|
图 3 不同深度范围下有机碳(A)与全氮(B)含量的加权平均值 Fig. 3 Weighted averages of SOC (A) and TN (B) contents at different depth ranges |
经过千年的滩涂围垦与水稻种植,慈溪地区表层土壤碳氮含量有较大幅度的提高,但从整体来看,慈溪地区土壤碳氮含量仍处于较低水平。同时,围垦土龄为60 a的剖面中40 ~ 60 cm、土龄为950 a的剖面中50 ~ 60 cm、土龄为1 100 a的剖面中80 ~ 100 cm深度处出现较高的碳氮含量值,推测这3处的异常值可能是存在腐泥层所致[16]。
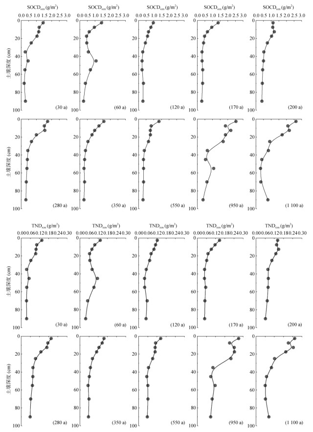
2.3 SOCDicm、TNDicm深度变化函数各剖面中SOCDicm、TNDicm随土层深度的变化特征几乎一致(图 4)。围垦550 a内,大多数剖面中SOCDicm、TNDicm在表层0 ~ 30 cm深度范围内快速降低,30 cm以下则呈现分布均匀且变化平缓的特征。然而,围垦土龄为60 a的剖面较为独特,该剖面的50 cm处SOCDicm、TNDicm均出现一个较大的峰值,推测此处的异常峰值可能是植物根系残留物堆积或是存在腐泥层所致。围垦950 a和1 100 a的两个剖面中30 cm以下SOCDicm、TNDicm仍呈现出随深度增加而降低的趋势,且相比之下降低变化的幅度更大,变化的不平滑性更强烈。根据研究区内各剖面中SOCDicm、TNDicm随深度变化的形态特征,可将其分为指数型、极大值极小值型和湿润锋型3种,其中,围垦土龄为30、120、170、200、280、350和550 a的剖面中的SOCDicm、TNDicm深度函数为指数型,60 a为极大值极小值型,950和1 100 a为湿润锋型。
|
图 4 各剖面SOCDicm、TNDicm深度分布图 Fig. 4 Changes of SOCDicm and TNDicm varies with depth in different soil profiles |
研究区内,每个采样深度间隔中碳氮储量的占比随着土壤围垦年限的增长并不存在明显的变化趋势(图 5),其中,表层0 ~ 30 cm和0 ~ 40 cm深度范围内的有机碳储量的平均占比分别为53%、61%,表层0 ~ 30 cm和0 ~ 40 cm内的全氮储量的平均占比分别为46% 和54%。结果表明,在1 m深的土壤剖面中,大部分的碳氮存储在表层0 ~ 40 cm土壤中,但仍有一定数量的碳氮固存在表层以下。此外,相比全氮,更多比例的有机碳存储在表层土壤之中。
|
图 5 单位面积1 m土壤中不同采样深度间隔下有机碳(A)与全氮(B)储量占比 Fig. 5 Percentages of SOCs (A) and TNS (B) at different sampling depth intervals in 1 m of soil per unit area |
以围垦年限为自变量,不同深度土层中碳氮的储量为因变量作散点图,并对其进行拟合,结果如图 6所示,最佳拟合函数由决定系数R2确定。其中,0 ~ 50 cm土层范围内碳储量的最佳拟合函数均为指数函数,表明在该深度范围内,有机碳在围垦前期累积速度较慢,在围垦后期累积速率较快;0 ~ 60 cm和0 ~ 80 cm土层范围内碳储量的最佳拟合函数为线性函数,表明在这一范围内,有机碳在各个时段内的累计速率较为均匀,持续增加;在1 m深的剖面中,碳储量的最佳拟合函数又从线性函数转变为指数函数。氮储量在各个深度范围内均以线性函数为最佳拟合函数,表明在各土层深度范围内,全氮的累积速率相比有机碳更加平稳。
|
图 6 碳氮储量在不同深度下的拟合结果 Fig. 6 Fitting results of SOCS and TNS at different depths |
经过长期围垦,沿海滩涂土壤属性演变的主要影响因素逐渐向人类活动转变,土壤理化属性多表现出土层深度和时间上的显著变化[21]。本研究中,经围垦后的水稻土剖面内碳氮含量在土层深度上和时间上表现出相似的变化趋势。土层深度方向上,各剖面内碳氮含量以及变化速率随深度的增加呈现减小趋势,即表现出显著的“表聚性”特征,与前人的研究结论相同[22]。这是因为农田表层土壤更易受到化肥、绿肥等有机物输入源的影响,而土层深处的有机物输入量小,限制了碳氮的累积,导致碳氮含量以及变化速率在表层、深层之间存在明显的差异[23]。此外,水稻根系在一定程度上将耕作灌溉水锁定在土壤表层内,淹水环境限制了微生物的活动以及氧气的供应,导致有机质的分解处于低效状态,有利于表层土壤中的碳氮积累[24],进一步加大了表层与深层之间碳氮含量的差异。
时间方向上,碳氮含量的演变特征并不唯一。汪峰等[25]和Zou等[26]发现水稻土表层碳氮含量随着围垦年限的增加而持续增加;陈留美和张甘霖[16]指出其研究区内土壤碳含量在围垦300 a时达到最大阈值,300 a后含量不断下降;Kalbitz等[27]发现长期的围垦并未耗尽表层水稻土有机碳的累积潜力,但造成了底土层中有机碳的损失。众多研究结果表明围垦年限对于土壤碳氮含量的影响并不唯一,需要结合各地具体情况进行分析。本研究中,水稻土碳氮含量在围垦550 a内处于较低水平,这是因为高强度的农业翻耕减弱了土壤团聚体颗粒之间的胶结作用,影响了土壤的通透性和排水性,加速了有机质的矿化与流失[28],导致碳氮含量较低。此外,550 a内碳氮含量呈现出小幅度的波动变化特征,这可能与各采样农田内的实际管理情况有关,例如,秸秆还田的深度[29]、农田水分的类型与状况[30]等均显著影响土壤碳氮含量的变化;围垦550 a后碳氮含量的显著增高可能与土壤pH的变化有关。研究表明,偏碱性的土壤pH环境会增强部分微生物的酶活性和代谢速率,促进有机质的降解,而接近中性的pH环境则与之相反[31]。Xing等[32]发现,滩涂围垦和人为水耕会导致土壤pH趋于中性,这是因为围垦后土壤受海水的影响逐渐减小,土壤中的含盐量也随之下降。同时,淹水状态下土壤组分与环境之间更易达到平衡状态,并促进土壤脱钙过程,导致土壤pH逐渐降低至中性。以0 ~ 30 cm土层为例,研究区土壤pH由围垦550 a内的8.32降至围垦千年时的6.70,接近中性的pH环境使得碳氮快速累积,并在围垦千年时达到了较高含量水平。
总体来看,研究区内土壤碳氮含量均随时间的演变呈现增长趋势,不同的是,表层0 ~ 30 cm范围内碳的累积速率高于氮,30 ~ 100 cm范围内氮的累积速率高于碳,这是因为慈溪地区降水充沛,而土壤中的硝态氮吸附能力较差,容易随水向下淋溶,使得土壤深层中的氮元素比碳元素更易累积[33]。在当今普遍追求农田高产的背景之下,氮肥的过度投入可能会打破原本稳定的碳氮耦合平衡的状态,导致土壤酸化、土壤板结等现象的发生[30]。如何提高氮素的利用效率、保持滩涂农田土壤碳氮的平衡发展是一个值得深入研究的问题。
3.2 碳氮储量的分布与演变特征Minasny等[34]基于土壤属性的垂直分布特征确定了7种土壤深度函数类型,分别为均匀型、渐变型、指数型、湿润锋型、突变型、峰值型和极大值极小值型。这些深度函数和土壤的形成过程密切相关,可用于推断土壤发生发育过程。在本研究中,碳氮密度分布特征相似,根据特点可将碳氮密度深度函数划分为指数型、湿润锋型和极大值极小值型3类,这3类函数均表现出表层范围内(0 ~ 30 cm)碳氮密度快速下降,表层以下变化较为平缓的趋势。其中,围垦60 a的剖面因受腐泥层影响呈现出极大值极小值型分布特征,去除腐泥层影响,其本质仍是指数型。因此研究区内碳氮密度深度函数随时间的演变呈现出由指数型向湿润锋型转变的特点,各剖面内碳氮密度的变异性也逐渐增大,这是因为随着围垦时间的增长,土壤表层与深层之间营养成分累积速率在各种因素的影响之下差距逐渐增大[35]。
精确估计土壤碳氮存储量对于评估土壤碳氮固存潜力具有极大作用[36]。本研究中,各剖面单位厘米碳氮储量的变化各不相同,说明土层深度在碳氮固存量的估算中起到重要作用。研究区表层0 ~ 30 cm范围内土壤碳氮储量分别占整个剖面的53%、46%,说明碳氮的累积主要发生在表层范围内。然而,Simo等[37]认为,仅关注土壤顶部的碳储量具有极大的局限性,底土层在碳氮的储存中同样发挥着至关重要的作用,因为它们具有不可忽略的储量、超越表层土的体积以及难降解性[38]。因此,有必要以1 m乃至更深的剖面作为研究对象,才能更好地了解研究区内土壤碳氮存储情况以及固存潜力[39]。本研究中,有机碳储量的最佳拟合函数随土壤深度的变化在指数函数和线性函数之间转换,Olson和Al-Kaisi[40]研究表明,20 cm与1 m这两种不同采样深度下所测得的土壤碳储量结果会截然不同,本研究结果与此一致。氮储量在整个1 m深的剖面中都以线性函数为最佳拟合结果,说明研究区内氮的累积和迁移过程相对稳定。
农田土壤碳、氮库的存量以及发展趋势深刻影响着全球气候变化和世界粮食安全问题,正确认识滩涂围垦农田土壤碳氮的演变特征和累积速率是土壤科学中的重点问题。本研究中,碳氮储量的最佳拟合函数均为指数函数或线性函数两类,指数函数说明固存率随时间不断增长,线性函数说明固存率在千年时序中稳定不变,这意味着千年时序内慈溪地区土壤碳氮储量随时间的变化皆呈现出稳步或先慢后快的增长趋势。Jiao等人[41]发现,千年时段内东台滩涂土壤有机碳随时间的积累特征表现为成土初期的快速增加,随后累积速率逐渐下降,最终达到稳定状态。相比之下,本研究中土壤碳的累积速率明显更快,且累积速率呈现出围垦前期增长较慢、后期增长较快或是全程稳定增长的特点。相对更快的累积速率是因为慈溪属于亚热带气候,更多的降雨、更加湿润的环境有利于土壤碳氮的累积,导致土壤中有机质的分解速率更慢;先慢后快的碳累积可能是因为高强度的灌溉使得稻田土壤长期处于水分上下移动状态,导致碳在表层和深层土之间不断转换、损失[42]。此外,高强度的农业翻耕减弱了土壤团聚体颗粒之间的胶结作用,加速了有机质的矿化与流失,使得农田土壤肥力在较长一段时间内并未出现明显的提高,因此,在这一时段内碳的累积速率相对较低。然而,经过千年的围垦后,碳储量表现出十分显著的增长,说明稻田土壤是一个逐渐稳定的系统,且在历经千年的围垦后,慈溪土壤仍具较强的固碳、固氮潜力。
4 结论经过千年的围垦耕种,慈溪地区土壤碳氮含量随时间的推移呈现波动增长趋势,碳氮储量呈现稳定或先慢后快的增长趋势,说明围垦农田内耕种水稻对该地区土壤肥力起到一定的促进作用,同样也提高了该地区滩涂土壤的固碳、固氮能力,对缓解温室效应和保障粮食安全起到重要作用。合理的有机化肥使用结合科学的田间管理耕作措施也许能更好地发挥该地碳氮的固存能力,进一步提高该地的土壤质量和生产力。
| [1] |
Ma Y Q, Woolf D, Fan M S, et al. Global crop production increase by soil organic carbon[J]. Nature Geoscience, 2023, 16(12): 1159-1165 DOI:10.1038/s41561-023-01302-3 ( 0) |
| [2] |
高静, 李建华, 张强, 等. 黄土高原北部典型县域耕地土壤碳氮时空变异特征及影响因素[J]. 土壤学报, 2024, 61(3): 674-686 ( 0) |
| [3] |
Eswaran H, Van Den Berg E, Reich P. Organic carbon in soils of the world[J]. Soil Science Society of America Journal, 1993, 57(1): 192-194 DOI:10.2136/sssaj1993.03615995005700010034x ( 0) |
| [4] |
李静泰, 闫丹丹, 么秀颖, 等. 中国滨海湿地碳储量估算[J]. 土壤学报, 2023, 60(3): 800-814 ( 0) |
| [5] |
Liu X, Zhang W, Wu M, et al. Changes in soil nitrogen stocks following vegetation restoration in a typical Karst catchment[J]. Land Degradation & Development, 2019, 30(1): 60-72 ( 0) |
| [6] |
徐彩瑶, 濮励杰, 朱明. 沿海滩涂围垦对生态环境的影响研究进展[J]. 生态学报, 2018, 38(3): 1148-1162 ( 0) |
| [7] |
Vreeken W J. Principal kinds of chronosequences and their significance in soil history[J]. Journal of Soil Science, 1975, 26(4): 378-394 DOI:10.1111/j.1365-2389.1975.tb01962.x ( 0) |
| [8] |
Scarciglia F, Critelli S, Borrelli L, et al. Weathering profiles in granitoid rocks of the Sila Massif uplands, Calabria, southern Italy: New insights into their formation processes and rates[J]. Sedimentary Geology, 2016, 336: 46-67 DOI:10.1016/j.sedgeo.2016.01.015 ( 0) |
| [9] |
Yang P P, Shu Q, Liu Q, et al. Distribution and factors influencing organic and inorganic carbon in surface sediments of tidal flats in northern Jiangsu, China[J]. Ecological Indicators, 2021, 126: 107633 DOI:10.1016/j.ecolind.2021.107633 ( 0) |
| [10] |
Zhang H, Yin A J, Yang X H, et al. Changes in surface soil organic/inorganic carbon concentrations and their driving forces in reclaimed coastal tidal flats[J]. Geoderma, 2019, 352: 150-159 DOI:10.1016/j.geoderma.2019.06.003 ( 0) |
| [11] |
Zhang H, Wu P B, Yin A J, et al. Organic carbon and total nitrogen dynamics of reclaimed soils following intensive agricultural use in Eastern China[J]. Agriculture, Ecosystems & Environment, 2016, 235: 193-203 ( 0) |
| [12] |
李雪盈, 濮励杰, 许艳, 等. 江苏沿海典型滩涂围垦区土壤有机碳时空异质性[J]. 土壤, 2020, 52(2): 365-371 DOI:10.13758/j.cnki.tr.2020.02.020 ( 0) |
| [13] |
张徐, 张明, 吴鹏豹, 等. 典型滩涂围垦区土壤化学性质的短期变化特征[J]. 土壤通报, 2016, 47(2): 346-352 ( 0) |
| [14] |
慈溪市地方志编纂委员会办公室. 《慈溪县志》编修实录[M].
浙江人民出版社, 浙江, 1992
( 0) |
| [15] |
王清毅主编, 慈溪市地方志编纂委员会办公室编. 慈溪海堤集[M]. 北京: 方志出版社, 2004.
( 0) |
| [16] |
陈留美, 张甘霖. 滨海沉积物发育的水稻土时间序列母质均一性判定与特性演变[J]. 土壤学报, 2009, 46(5): 753-763 DOI:10.3321/j.issn:0564-3929.2009.05.001 ( 0) |
| [17] |
邓锦兰, 郭振平, 李枫. 介绍一种有机碳测试方法[J]. 土壤肥料, 1991(5): 47-48 ( 0) |
| [18] |
谢小玲, 李海锋, 李雪莹, 等. 土壤全氮半微量定氮法与自动定氮仪定氮法的比较分析[J]. 生态环境学报, 2012, 21(6): 1071-1074 ( 0) |
| [19] |
李海玲. 土壤pH值的测定——电位法[J]. 农业科技与信息, 2011(13): 47-48 DOI:10.3969/j.issn.1003-6997.2011.13.031 ( 0) |
| [20] |
全国土壤普查办公室. 中国土壤普查技术[M].
农业出版社, 北京, 1992
( 0) |
| [21] |
Yan B H, Zhang Y L, Zang S Y, et al. Distributions of particle sizes in black soil and their environmental significance in NorthEast China[J]. Sustainability, 2021, 13(7): 3706 DOI:10.3390/su13073706 ( 0) |
| [22] |
杨静, 张毅, 鲍清涛, 等. 不同类型水稻土可溶性有机氮及其组分的剖面分布[J]. 土壤, 2022, 54(4): 691-699 DOI:10.13758/j.cnki.tr.2022.04.005 ( 0) |
| [23] |
Jin Z Q, Shah T, Zhang L, et al. Effect of straw returning on soil organic carbon in rice–wheat rotation system: A review[J]. Food and Energy Security, 2020, 9(2): e200 DOI:10.1002/fes3.200 ( 0) |
| [24] |
Gao H J, Chen X, Wei J L, et al. Decomposition dynamics and changes in chemical composition of wheat straw residue under anaerobic and aerobic conditions[J]. PLoS One, 2016, 11(7): e0158172 DOI:10.1371/journal.pone.0158172 ( 0) |
| [25] |
汪峰, 姚红燕, 陈若霞, 等. 慈溪1000年时间序列农田土壤氮矿化和硝化的变化[J]. 土壤学报, 2019, 56(5): 1161-1170 ( 0) |
| [26] |
Zou P, Fu J R, Cao Z H, et al. Aggregate dynamics and associated soil organic matter in topsoils of two 2, 000-year paddy soil chronosequences[J]. Journal of Soils and Sediments, 2015, 15(3): 510-522 DOI:10.1007/s11368-014-0977-2 ( 0) |
| [27] |
Kalbitz K, Kaiser K, Fiedler S, et al. The carbon count of 2000 years of rice cultivation[J]. Global Change Biology, 2013, 19(4): 1107-1113 DOI:10.1111/gcb.12080 ( 0) |
| [28] |
郭绍义, 王红新, 刘文彬, 等. 升金湖沿湖不同土地利用方式下土壤有机质和养分变化特征[J]. 土壤, 2022, 54(6): 1132-1137 DOI:10.13758/j.cnki.tr.2022.06.006 ( 0) |
| [29] |
宋依依, 曹阳, 段鑫盈, 等. 秸秆还田深度对土壤团聚体组成及有机碳含量的影响[J]. 土壤, 2022, 54(2): 344-350 DOI:10.13758/j.cnki.tr.2022.02.018 ( 0) |
| [30] |
韩光中, 张甘霖, 黄来明, 等. 水耕人为土有机碳和全氮对水分状况和耕作时间的响应[J]. 土壤学报, 2019, 56(6): 1300-1308 ( 0) |
| [31] |
Xu Z W, Zhang T Y, Wang S Z, et al. Soil pH and C/N ratio determines spatial variations in soil microbial communities and enzymatic activities of the agricultural ecosystems in NorthEast China: Jilin Province case[J]. Applied Soil Ecology, 2020, 155: 103629 DOI:10.1016/j.apsoil.2020.103629 ( 0) |
| [32] |
Xing W L, Cheng X R, Xiong J, et al. Variations in soil biological properties in poplar plantations along coastal reclamation stages[J]. Applied Soil Ecology, 2020, 154: 103649 DOI:10.1016/j.apsoil.2020.103649 ( 0) |
| [33] |
胡锦昇, 樊军, 付威, 等. 保护性耕作措施对旱地春玉米土壤水分和硝态氮淋溶累积的影响[J]. 应用生态学报, 2019, 30(4): 1188-1198 ( 0) |
| [34] |
Minasny B, Stockmann U, Hartemink A E, et al. Measuring and modelling soil depth functions[J]. Digital soil morphometrics, 2016, 225-240 ( 0) |
| [35] |
常帅, 于红博, 曹聪明, 等. 锡林郭勒草原土壤有机碳分布特征及其影响因素[J]. 干旱区研究, 2021, 38(5): 1355-1366 ( 0) |
| [36] |
Wiesmeier M, Spörlein P, Geuß U, et al. Soil organic carbon stocks in southeast Germany (Bavaria) as affected by land use, soil type and sampling depth[J]. Global Change Biology, 2012, 18(7): 2233-2245 DOI:10.1111/j.1365-2486.2012.02699.x ( 0) |
| [37] |
Simo I, Schulte R, O'Sullivan L, et al. Digging deeper: Understanding the contribution of subsoil carbon for climate mitigation, a case study of Ireland[J]. Environmental Science & Policy, 2019, 98: 61-69 ( 0) |
| [38] |
Angst G, Messinger J, Greiner M, et al. Soil organic carbon stocks in topsoil and subsoil controlled by parent material, carbon input in the rhizosphere, and microbial-derived compounds[J]. Soil Biology and Biochemistry, 2018, 122: 19-30 DOI:10.1016/j.soilbio.2018.03.026 ( 0) |
| [39] |
Corbeels M, Cardinael R, Naudin K, et al. The 4 per 1000 goal and soil carbon storage under agroforestry and conservation agriculture systems in sub-Saharan Africa[J]. Soil and Tillage Research, 2019, 188: 16-26 DOI:10.1016/j.still.2018.02.015 ( 0) |
| [40] |
Olson K R, Al-Kaisi M M. The importance of soil sampling depth for accurate account of soil organic carbon sequestration, storage, retention and loss[J]. Catena, 2015, 125: 33-37 DOI:10.1016/j.catena.2014.10.004 ( 0) |
| [41] |
Jiao C X, Zheng G H, Xie X L, et al. Rate of soil organic carbon sequestration in a millennium coastal soil chronosequence in northern Jiangsu, China[J]. Catena, 2020, 193: 104627 DOI:10.1016/j.catena.2020.104627 ( 0) |
| [42] |
慈恩, 杨林章, 程月琴, 等. 耕作年限对水稻土有机碳分布和腐殖质结构特征的影响[J]. 土壤学报, 2008, 45(5): 950-956 DOI:10.3321/j.issn:0564-3929.2008.05.022 ( 0) |
2025, Vol. 57



0)